

Cirtociclib
CAS 2888704-84-3
MF C15H17F2N7O2 MW365.34 g/mol
N-[3-(difluoromethoxy)-1H-pyrazol-5-yl]-1-(oxan-4-ylmethyl)pyrazolo[3,4-b]pyrazin-6-amine
N-[5-(difluoromethoxy)-1H-pyrazol-3-yl]-1-[(oxan-4-yl)methyl]-1H-pyrazolo[3,4-b]pyrazin-6-amine
cyclin-dependent kinase inhibitor, antineoplastic, BLU-222, BLU 222, BLU 170298, U93X72ED47, CDK2 Inhibitor BLU-222
Cirtociclib (also known as BLU-222) is an investigational drug that acts as a highly selective inhibitor of cyclin-dependent kinase 2 (CDK2). It is being developed by Blueprint Therapeutics for the treatment of advanced solid tumours, particularly those with genetic drivers like CCNE1 amplification, which are common in certain ovarian and breast cancers
Certociclib is a small molecule drug. Certociclib is under investigation in clinical trial NCT05252416 ((VELA) Study of BLU-222 in Advanced Solid Tumors). Certociclib has a monoisotopic molecular weight of 365.14 Da.
Certociclib is an orally bioavailable inhibitor of cyclin-dependent kinase 2 (CDK2), with potential antineoplastic activity. Upon administration, certociclib selectively targets, binds to and inhibits the activity of CDK2. This may lead to cell cycle arrest, the induction of apoptosis, and the inhibition of tumor cell proliferation. CDK2, a serine/threonine kinase that plays an important role in the regulation of cell cycle progression and cellular proliferation, is overexpressed in certain tumor cells.
How It Works
- Targeting CDK2: It binds to CDK2, a protein that regulates the cell cycle.
- Cell Cycle Arrest: By inhibiting CDK2, the drug causes G1 arrest, preventing cancer cells from replicating.
- Selectivity: It is designed to be “best-in-class” for its high selectivity for CDK2 over other kinases like CDK1, CDK4, or CDK6.
Therapeutic Potential
- Ovarian Cancer: Specifically targets high-grade serous ovarian cancer where CCNE1 is amplified.
- Breast Cancer: Shows promise in treating hormone receptor-positive/HER2-negative (HR+/HER2-) breast cancer, especially when the cancer has become resistant to existing CDK4/6 inhibitors.
- Combination Therapy: Researchers are testing it alongside other drugs, such as palbociclib, ribociclib, or chemotherapy agents like carboplatin, to enhance efficacy.
Current Status
- Clinical Trials: It is currently being evaluated in a Phase 1/2 clinical trial known as the VELA study (NCT05252416) for patients with advanced solid tumours.
- Research Status: It is not yet approved for general medical use and is primarily available for research and clinical trial participants.
(VELA) Study of BLU-222 in Advanced Solid Tumors
CTID: NCT05252416
Phase: Phase 1
Status: Terminated
Date: 2025-11-28
🌟 Key Point: Cirtociclib represents a new generation of precision medicine aimed at overcoming resistance to standard cancer therapies by specifically targeting the CDK2 pathway
PAT
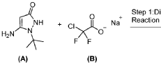
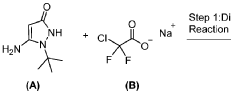
The structure of one CDK2 inhibitor, referred to herein as “a compound of formula (I)” or N-(5-(difluoromethoxy)-lH-pyrazol-3-yl)-l-((tetrahydro-2H-pyran-4-yl)methyl)-lH-pyrazolo[3,4-b]pyrazin-6-amine is shown below:






PAT
Example 2
N-(5-(difluoromethoxy)-1H-pyrazol-3-yl)-1-((tetrahydro-2H-pyran-4-yl)methyl)-1H-pyrazolo[3,4-b]pyrazin-6-amine

A mixture of 6-chloro-1-((tetrahydro-2H-pyran-4-yl)methyl)-1H-pyrazolo[3,4-b]pyrazine (Preparation 87, 780 mg, 3.09 mmol), 5-(difluoromethoxy)-1H-pyrazol-3-amine (554 mg, 3.72 mmol), tBuXphos Pd G3 (150 mg, 0.19 mmol) and KOAc (892 mg, 9.08 mmol) in dioxane (15 mL) was stirred at 90° C. for 6 h under N 2. The reaction mixture was evaporated to dryness in vacuo and the residue was purified by prep-HPLC-4 to afford the title compound as a white solid (361.4 mg, 32%). LCMS m/z=366 [M+H] +; 1H NMR (400 MHz, DMSO-d 6) δ: 12.21 (s, 1H), 10.82 (s, 1H), 8.19 (s, 1H), 8.17 (s, 1H), 7.32 (t, 1H), 5.98 (d, 1H), 4.40 (d, 2H), 3.87-3.75 (m, 2H), 3.29-3.16 (m, 2H), 2.24-2.11 (m, 1H), 1.46-1.29 (m, 4H).
PAT
- The cdk2 inhibitor blu-222 for treatment of cancerPublication Number: WO-2024168298-A1Priority Date: 2023-02-10
- Solid forms of a cdk2 inhibitorPublication Number: WO-2024148083-A1Priority Date: 2023-01-04
- Cdk2 inhibitorsPublication Number: US-2023322791-A1Priority Date: 2021-06-28
- Cdk2 inhibitorsPublication Number: US-2023159535-A1Priority Date: 2021-06-28
- CDK2 inhibitorsPublication Number: US-11970498-B2Priority Date: 2021-06-28Grant Date: 2024-04-30
- Cdk2 inhibitorsPublication Number: US-2024383902-A1Priority Date: 2021-06-28
- CDK2 inhibitorsPublication Number: US-11932648-B2Priority Date: 2021-06-28Grant Date: 2024-03-19



AS ON FEB2026 4.574 LAKHS VIEWS ON BLOG WORLDREACH AVAILABLEFOR YOUR ADVERTISEMENT

join me on Linkedin
Anthony Melvin Crasto Ph.D – India | LinkedIn
join me on Researchgate
RESEARCHGATE

join me on Facebook
Anthony Melvin Crasto Dr. | Facebook
join me on twitter
Anthony Melvin Crasto Dr. | twitter
+919321316780 call whatsaapp
EMAIL. amcrasto@gmail.com

References
/////////cirtociclib, cyclin-dependent kinase inhibitor, antineoplastic, BLU-222, BLU 222, BLU 170298, U93X72ED47, CDK2 Inhibitor BLU-222
DRUG APPROVALS BY DR ANTHONY MELVIN CRASTO
.....
