Glenmark bags two accolades at Pharmexcil Awards 2014
Glenmark bags two accolades at Pharmexcil Awards 2014
read

read at
http://www.glenmarkpharma.co.za/blog/glenmarks-bags-2-gold-accolades-at-pharmexcil-awards-2014
Welcome Scientific update to Pune, India 2-3 and 4-5 Dec 2014 for celebrating Process chemistry
WEBSITE http://www.scientificupdate.co.uk/
SCIENTIFIC UPDATE HAS A REPUTATION FOR ITS HIGH QUALITY EVENTS, BOTH FOR THE SCIENTIFIC CONTENT AND ALSO FOR THE EFFICIENCY OF ITS ORGANISATION. KEEP YOUR SKILLS UP TO DATE AND INVEST IN YOUR CONTINUING PERSONAL PROFESSIONAL DEVELOPMENT.
TRAINING COURSE 2-3 DEC 2014
Process Development for Low Cost Manufacturing
When:02.12.2014 – 03.12.2014
Tutors:
Where: National Chemical Laboratory – Pune, India
Brochure:View Brochure
Register http://scientificupdate.co.uk/training/scheduled-training-courses.html
DESCRIPTION
Chemical process research and development is recognised as a key function during the commercialisation of a new product particularly in the generic and contract manufacturing arms of the chemical, agrochemical and pharmaceutical industries.
The synthesis and individual processes must be economic, safe and must generate product that meets the necessary quality requirements.
This 2-day course presented by highly experienced process chemists will concentrate on the development and optimisation of efficient processes to target molecules with an emphasis on raw material cost, solvent choice, yield improvement, process efficiency and work up, and waste minimisation.
Process robustness testing and reaction optimisation via stastical methods will also be covered.
A discussion of patent issues and areas where engineering and technology can help reduce operating costs.
The use of engineering and technology solutions to reduce costs will be discussed and throughout the course the emphasis will be on minimising costs and maximising returns.


Conference 4-5 DEC 2014
TITLE . Organic Process Research & Development – India
Subtitle:The 32nd International Conference and Exhibition
When:04.12.2014 – 05.12.2014
Where:National Chemical Laboratory – Pune, India
Brochure:View Brochure
Register..http://scientificupdate.co.uk/conferences/conferences-and-workshops.html

for
- Process Research & Development Chemists
- Chemical Engineers in Industry
- Heads of Departments & Team Leaders
Benefits
- Invest in yourself: keeping up to date on current developments and future trends could mean greater job security.
- Learn from a wide range of industrial case studies given by hand-picked industrial speakers.
- Take home relevant ideas and information that are directly applicable to your own work with the full proceedings and a CD of the talks.
- Save time. Our intensive, commercial-free programme means less time away from work.
- Meet and network with the key people in the industry in a relaxed and informal atmosphere.

Do you want to improve efficiency and innovation in your synthetic route design, development and optimisation?
The efficient conversion of a chemical process into a process for manufacture on tonnage scale has always been of importance in the chemical and pharmaceutical industries. However, in the current economic and regulatory climate, it has become increasingly vital and challenging to do so efficiently. Indeed, it has never been so important to keep up to date with the latest developments in this dynamic field.
At this Organic Process Research & Development Conference, you will hear detailed presentations and case studies from top international chemists. The hand-picked programme of speakers has been put together specifically for an industrial audience. They will discuss the latest issues relating to synthetic route design, development and optimisation in the pharmaceutical, fine chemical and allied fields. Unlike other conferences, practically all our speakers are experts from industry, which means the ideas and information you take home will be directly applicable to your own work.
The smaller numbers at our conferences create a more intimate atmosphere. You will enjoy plenty of opportunities to meet and network with speakers and fellow attendees during the reception, sit-down lunches and extended coffee breaks in a relaxed and informal environment. Together, you can explore the different strategies and tactics evolving to meet today’s challenges.
This is held in Pune, close proximity to Mumbai city, very convenient to stay and travel to either in Pune or Mumbai. I feel this should be an opportunity to be grabbed before the conference is full and having no room
Hurry up rush

![]()
References
1 https://newdrugapprovals.org/scientificupdate-uk-on-a-roll/
2 http://scientificupdate.co.uk/conferences/conferences-and-workshops.html
3 http://en.wikipedia.org/wiki/Pune
PROFILES
Will Watson

Dr Will Watson gained his PhD in Organic Chemistry from the University of Leeds in 1980. He joined the BP Research Centre at Sunbury-on-Thames and spent five and a half years working as a research chemist on a variety of topics including catalytic dewaxing, residue upgrading, synthesis of novel oxygenates for use as gasoline supplements, surfactants for use as gasoline detergent additives and non-linear optical compounds.
In 1986 he joined Lancaster Synthesis and during the next 7 years he was responsible for laboratory scale production and process research and development to support Lancaster’s catalogue, semi-bulk and custom synthesis businesses.
In 1993 he was appointed to the position of Technical Director, responsible for all Production (Laboratory and Pilot Plant scale), Process Research and Development, Engineering and Quality Control. He helped set up and run the Lancaster Laboratories near Chennai, India and had technical responsibility for the former PCR laboratories at Gainesville, Florida.
He joined Scientific Update as Technical Director in May 2000. He has revised and rewritten the ‘Chemical Development and Scale Up in the Fine Chemical & Pharmaceutical Industries’ course and gives this course regularly around the world. He has been instrumental in setting up and developing new courses such as ‘Interfacing Chemistry with Patents’ and ‘Making and Using Fluoroorganic Molecules’.
He is also involved in an advisory capacity in setting up conferences and in the running of the events. He is active in the consultancy side of the business and sits on the Scientific Advisory Boards of various companies.
………………………………………………………………………………………………….
John Knight

Dr John Knight gained a first class honours degree in chemistry at the University of Southampton, UK. John remained at Southampton to study for his PhD in synthetic methodology utilizing radical cyclisation and dipolar cyloaddition chemistry.
After gaining his PhD, John moved to Columbia University, New York, USA where he worked as a NATO Postdoctoral Fellow with Professor Gilbert Stork. John returned to the UK in 1987 joining Glaxo Group Research (now GSK) as a medicinal chemist, where he remained for 4 years before moving to the process research and development department at Glaxo, where he remained for a further 3½ years.
During his time at Glaxo, John worked on a number of projects and gained considerable plant experience (pilot and manufacturing). In 1994 John moved to Oxford Asymmetry (later changing its name to Evotec and most recently to Aptuit) when it had just 25 staff. John’s major role when first at Oxford Asymmetry was to work with a consultant project manager to design, build and commission a small pilot plant, whilst in parallel developing the chemistry PRD effort at Oxford Asymmetry.
The plant was fully operational within 18 months, operating to a 24h/7d shift pattern. John continued to run the pilot plant for a further 3 years, during which time he had considerable input into the design of a second plant, which was completed and commissioned in 2000. After an 18-month period at a small pharmaceutical company, John returned to Oxford in 2000 (by now called Evotec) to head the PRD department. John remained in this position for 6.5 years, during which time he assisted in its expansion, established a team to perform polymorph and salt screening studies and established and maintained high standards of development expertise across the department.
John has managed the chemical development and transfer of numerous NCE’s into the plant for clients and been involved in process validations. He joined Scientific Update in January 2008 as Scientific Director.
Pune images
From top:1 Fergusson College, 2 Mahatma Gandhi Road, Shaniwarwada 3 the HSBC Global Technology India Headquarters, and the 4National War Memorial Southern Command



NCL PUNE
The National Chemical Laboratory is located in the state of Maharashtra in India. Maharashtra state is the largest contributor to India’s GDP. The National Chemical Laboratory is located in Pune city, and is the cultural capital of Maharashtra. Pune city is second only to Mumbai (the business capital of India) in size and industrial strength. Pune points of interest include: The tourist places in Pune include: Lal Deval Synagogue, Bund Garden, Osho Ashram, Shindyanchi Chhatri and Pataleshwar Cave Temple.

MAKE IN INDIA
http://makeinindia.com/sector/pharmaceuticals/
Read all about Organic Spectroscopy on ORGANIC SPECTROSCOPY INTERNATIONAL 



KEYWORDS
JOHN KNIGHT, WILL WATSON, SCIENTIFIC UPDATE, PROCESS, COURSE, CONFERENCE, INDIA, PUNE, PROCESS DEVELOPMENT, LOW COST, MANUFACTURING, SCALEUP
Organic Process Research and Development – India, The 32nd International Conference and Exhibition, NCL, Pune, India, 4-5 Dec 2014
WEBSITE http://www.scientificupdate.co.uk/
SCIENTIFIC UPDATE HAS A REPUTATION FOR ITS HIGH QUALITY EVENTS, BOTH FOR THE SCIENTIFIC CONTENT AND ALSO FOR THE EFFICIENCY OF ITS ORGANISATION. KEEP YOUR SKILLS UP TO DATE AND INVEST IN YOUR CONTINUING PERSONAL PROFESSIONAL DEVELOPMENT.
TITLE . Organic Process Research & Development – India
Subtitle:The 32nd International Conference and Exhibition
When:04.12.2014 – 05.12.2014
Where:National Chemical Laboratory – Pune, India
Brochure:View Brochure
Register..http://scientificupdate.co.uk/conferences/conferences-and-workshops.html

for
- Process Research & Development Chemists
- Chemical Engineers in Industry
- Heads of Departments & Team Leaders
Benefits
- Invest in yourself: keeping up to date on current developments and future trends could mean greater job security.
- Learn from a wide range of industrial case studies given by hand-picked industrial speakers.
- Take home relevant ideas and information that are directly applicable to your own work with the full proceedings and a CD of the talks.
- Save time. Our intensive, commercial-free programme means less time away from work.
- Meet and network with the key people in the industry in a relaxed and informal atmosphere.
Do you want to improve efficiency and innovation in your synthetic route design, development and optimisation?
The efficient conversion of a chemical process into a process for manufacture on tonnage scale has always been of importance in the chemical and pharmaceutical industries. However, in the current economic and regulatory climate, it has become increasingly vital and challenging to do so efficiently. Indeed, it has never been so important to keep up to date with the latest developments in this dynamic field.
At this Organic Process Research & Development Conference, you will hear detailed presentations and case studies from top international chemists. The hand-picked programme of speakers has been put together specifically for an industrial audience. They will discuss the latest issues relating to synthetic route design, development and optimisation in the pharmaceutical, fine chemical and allied fields. Unlike other conferences, practically all our speakers are experts from industry, which means the ideas and information you take home will be directly applicable to your own work.
The smaller numbers at our conferences create a more intimate atmosphere. You will enjoy plenty of opportunities to meet and network with speakers and fellow attendees during the reception, sit-down lunches and extended coffee breaks in a relaxed and informal environment. Together, you can explore the different strategies and tactics evolving to meet today’s challenges.
This is held in Pune, close proximity to Mumbai city, very convenient to stay and travel to either in Pune or Mumbai. I feel this should be an opportunity to be grabbed before the conference is full and having no room
Hurry up rush

References
1 https://newdrugapprovals.org/scientificupdate-uk-on-a-roll/
2 http://scientificupdate.co.uk/conferences/conferences-and-workshops.html
3 http://en.wikipedia.org/wiki/Pune
PROFILES
Will Watson

Dr Will Watson gained his PhD in Organic Chemistry from the University of Leeds in 1980. He joined the BP Research Centre at Sunbury-on-Thames and spent five and a half years working as a research chemist on a variety of topics including catalytic dewaxing, residue upgrading, synthesis of novel oxygenates for use as gasoline supplements, surfactants for use as gasoline detergent additives and non-linear optical compounds.
In 1986 he joined Lancaster Synthesis and during the next 7 years he was responsible for laboratory scale production and process research and development to support Lancaster’s catalogue, semi-bulk and custom synthesis businesses.
In 1993 he was appointed to the position of Technical Director, responsible for all Production (Laboratory and Pilot Plant scale), Process Research and Development, Engineering and Quality Control. He helped set up and run the Lancaster Laboratories near Chennai, India and had technical responsibility for the former PCR laboratories at Gainesville, Florida.
He joined Scientific Update as Technical Director in May 2000. He has revised and rewritten the ‘Chemical Development and Scale Up in the Fine Chemical & Pharmaceutical Industries’ course and gives this course regularly around the world. He has been instrumental in setting up and developing new courses such as ‘Interfacing Chemistry with Patents’ and ‘Making and Using Fluoroorganic Molecules’.
He is also involved in an advisory capacity in setting up conferences and in the running of the events. He is active in the consultancy side of the business and sits on the Scientific Advisory Boards of various companies.
………………………………………………………………………………………………….
John Knight

Dr John Knight gained a first class honours degree in chemistry at the University of Southampton, UK. John remained at Southampton to study for his PhD in synthetic methodology utilizing radical cyclisation and dipolar cyloaddition chemistry.
After gaining his PhD, John moved to Columbia University, New York, USA where he worked as a NATO Postdoctoral Fellow with Professor Gilbert Stork. John returned to the UK in 1987 joining Glaxo Group Research (now GSK) as a medicinal chemist, where he remained for 4 years before moving to the process research and development department at Glaxo, where he remained for a further 3½ years.
During his time at Glaxo, John worked on a number of projects and gained considerable plant experience (pilot and manufacturing). In 1994 John moved to Oxford Asymmetry (later changing its name to Evotec and most recently to Aptuit) when it had just 25 staff. John’s major role when first at Oxford Asymmetry was to work with a consultant project manager to design, build and commission a small pilot plant, whilst in parallel developing the chemistry PRD effort at Oxford Asymmetry.
The plant was fully operational within 18 months, operating to a 24h/7d shift pattern. John continued to run the pilot plant for a further 3 years, during which time he had considerable input into the design of a second plant, which was completed and commissioned in 2000. After an 18-month period at a small pharmaceutical company, John returned to Oxford in 2000 (by now called Evotec) to head the PRD department. John remained in this position for 6.5 years, during which time he assisted in its expansion, established a team to perform polymorph and salt screening studies and established and maintained high standards of development expertise across the department.
John has managed the chemical development and transfer of numerous NCE’s into the plant for clients and been involved in process validations. He joined Scientific Update in January 2008 as Scientific Director.
Pune images



From top:1 Fergusson College, 2 Mahatma Gandhi Road, Shaniwarwada 3 the HSBC Global Technology India Headquarters, and the 4National War Memorial Southern Command
NCL PUNE


MAKE IN INDIA
http://makeinindia.com/sector/pharmaceuticals/
Read all about Organic Spectroscopy on ORGANIC SPECTROSCOPY INTERNATIONAL 
(S)-Atenolol

(S)-atenolol
- Description
Selective β1 adrenoceptor antagonist
- Biological descriptionSelective β1 adrenoceptor antagonist. Orally active. Limited ability to cross the blood-brain barrier. Antihypertensive activity in vivo.
Properties
- Chemical name(S)-(-)-4-[2-Hydroxy-3-[(1-methylethyl)amino]propoxy]benzeneacetamide
- Molecular Weight 266.34
- Molecular formula C14H22N2O3
- CAS Number 93379-54-5
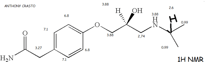
1H NMR (DMSO-d6): δ 0.99 (d, J=7 Hz, 6H, 2×CH3), 2.60 (m, 1H, CH), 2.74 (m, 2H, CH2), 3.27 (s, 2H, CH2), 3.88 (m, 4H, CH2, CH, NH), 6.83 (d, J=8 Hz, 2H, Ar—H), 7.14 (d, J=8 Hz, 2H, Ar—H), 7.40 (bs, 1H).
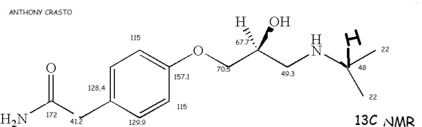
22.01, 22.09,
41.26, 48.39, 49.38, 67.73, 70.58, 114.16, 128.41, 129.93, 157.17, 172.59 ppm.
The compound (R,S)-atenolol (4-[2-hydroxy-3-[(1-methylethyl)amino]propoxy]-benzeneacetamide) is useful as a β-adrenegic blocker for the treatment of angina pectoris, arrhythmia and hypertension. It is known that atenolol is a 1-aryloxy-3-aminopropane-2-ol derivative wherein the hydroxy bearing carbon is an asymmetric carbon and hence exists as R- and S-isomers. It is also known that the S-isomer is particularly useful as a β-adrenegic blocker in view of its superior pharmacological activities. It is reported that S-atenolol has hypotensive activity and activity on brachycardia (A. A. Pearson, T. E. Gaffney, T. Walle, P. J. Privitera; J. Pharmacol. Exp. Ther., 250(3), 759, 1989).
In prior art, the optical resolution of racemic atenolol has been studied to obtain the desired optically active atenolol, however, any practical method has not been reported so far. It is also reported that the diastereomers of atenolol having high purity is obtained from racemic mixture by using (R,R)-O,O-di-toluoyltartaric acid anhydride (M. J. Wilson et al., J. Chromatogr. (NLD) 431 (1), 222–227, 1988). However, this method is not suitable for large scale production of optically active atenolol as it requires a large volume of solvent and further it is technically very troublesome to recycle (R,R)-O,O-di-toluoyltartaric acid anhydride.
Another method of preparing optically active atenolol has been proposed in JP-A-50-77331 and DE-A-2453324:
Wherein Z is halogen atom or sulphonyloxy group, and * means asymmetric carbon.
However, this process has some disadvantages as this process requires several steps for obtaining optically active S-atenolol stating from D-manitol; moreover the yield of S-atenolol by this process is less than 50% and the optical purity is just about 80% ee.
Another method for the preparation of S-atenolol has been reported in U.S. Pat. No. 5,223,646 which consists of reacting sodium salt of 4-carbamoylmethylphenol with R-epichlorohydrin at 0° to 35° C. to obtain an intermediate—an optically active glycidyl ether and then reacting the optically active intermediate glycidyl ether with isopropylamine to obtain S-atenolol (see also EP-435068 A2; EP-605384; JP 03077856 A2).
It has also been reported that the above procedure gives optically active glycidyl ether and atenolol of 90–96% ee optical purity. According to this report, the optical purity of atenolol may be enhanced to 98% or higher, if the intermediate optically active glycidyl ether is repeatedly recrystallised from a suitable solvent.
It has also been reported that the optically active atenolol in an optical purity of 98% or higher can be produced from atenolol of lower optical purity by converting it to its salt with Bronsted’s acid (K. Kazuhiro; T. Yosikazu; F. Yoshiro; Y. Hiroshi; O. Junzo, Chem. Pharm. Bull., 46(3), 505–507, 1998).
The separation of the atenolol salt having higher optical purity (>98% ee) is carried out by dissolving the atenolol salt having lower optical purity in a solvent, precipitating solid materials having a high content of racemic atenolol salt, and then isolating the desired atenolol salt having higher optical purity (>98% ee) by solid-liquid separation method. The optically active salt having high optical purity is then subjected to removal of acid moiety to isolate the desired optically active atenolol in free form. Though this process yields atenolol of higher optical purity, it involves salt formation and tedious separation of racemic salt from an optically active salt, which leads to the lower yields of desired optically active atenolol. Further, the salt has to be converted to free atenolol either by neutralisation or using ion exchange resins. Thus, this process gives lower overall yield of the desired optically active atenolol is low.
There is therefore a need to provide a process whereby S-atenolol may be obtained in high yield and high optical purity.
Emcure Pharmaceuticals Limited
http://www.google.com/patents/US6982349
Satish Ramanlal Mehta, Baburao Manikroa Bhawal, Vishnu Hari Deshpande, Mukund Keshav Gurjar
Accordingly, the present invention provides a process for the preparation of (S)-atenolol (1), which comprises the steps of:
-
- a) reacting a phenol of formula 2:
with an (R)-epichlorohydrin of formula (3):
in presence of an alkali metal hydroxide and a quaternary ammonium salt as phase transfer catalyst (PTC) in an aqueous solution at a temperature in a range of −10° C. to 0° C. to obtain optically active intermediate glycidyl ether of formula 4:
- b) reacting the optically active intermediate glycidyl ether (4) with isopropylamine at 10° to 40° C. to obtain (S)-atenolol of the formula 1:
in good chemical yield and high optical purity (>99 ee).
- a) reacting a phenol of formula 2:
One major advantage of this process is that S-atenolol may be obtained directly without going through the cumbersome step of recrystallization or additional salt formation step, as in the prior art.
The aqueous alkali metal hydroxide used in the process is selected from sodium hydroxide or potassium hydroxide and is used as aqueous solution in 1 to 1.5 moles to 1 mole of the phenol 2. The (R)-epichlorohydrin (3) used in the process is preferably of high optical purity and used in an amount of 1 to 3 moles, more preferably 1 to 1.6 moles, to 1 mole of phenol (2).
The quaternary ammonium salt has the formula:
R1R2R3R4N+X−
Wherein R1, R2, R3 and R4 are same or different, each an alkyl group having 1 to 16 carbon atoms (e.g. methyl, ethyl, propyl butyl etc), phenyl or benzyl, X is chlorine, bromine, iodine, hydrogen sulphate or hydroxyl group. The amount of quaternary ammonium salt used is 0.001 to 2% by weight of phenol (2).
The Applicant studied the reaction temperature extensively and found that it plays an important role in deciding optical purity of (S)-atenolol (1) formed via optically active glycidyl ether. When the reaction of phenol (2) and (R)-epichlorohydrin is carried out at 5° C. or at any other higher temperature, (S)-atenolol (1) of a lower optical purity was obtained via optically active glycidyl ether, as for example in EP 435068.
The Applicant, after studying the prior art processes found that during the course of these reactions, the phenoxide (or phenol) attacks the C-1 carbon atom of (R)-epichlorohydrin with the expulsion of chloride to yield (R)-glycidyl ether, which on reaction with isopropyl amine gives (R)-atenolol. The original epoxide ring remains unchanged in the reaction.
Thus, the reaction of phenol (2) at carbon centre C-1 of (R)-epichlorohydrin by nucleophilic displacement of chlorine leads to the formation of undesired (R)-atenolol via optically active (R)-glycidyl ether as a side product, which accounts for the low yield of optically active S-atenolol in the prior art.
The Applicant then conducted this reaction at a lower temperature and found to their surprise that S-atenolol could be obtained in high yield. The reason is that during the course of reaction, the phenoxide (or phenol) ion attacks the C-3 carbon atom of (R)-epichlorohydrin and opens the epoxide ring. The new epoxide ring formation takes place by the attack of O− on C-3 carbon with expulsion of chloride to give (S)-glycidyl ether, which on reaction with isopropyl amine gives (S)-atenolol. Thus, the reaction of phenol (2) at carbon centre C-3 of (R)-epichlorohydrin leads to the formation desired (S)-atenolol (1) as a major product via optically active glycidyl ether (4).
The lower optical purity in (S)-atenolol formation in the prior art may therefore be on account of the slow reaction rate at carbon atom 1 and the high yield of S-atenolol obtained by the process of the present invention may be due to the reaction at carbon atom 3 of (R)-epichlorohydrin (3). Both these reactions occurring on different atoms are shown as path ‘a’ and path ‘b’ in the following scheme herebelow.
Path ‘a’ is the process of the present invention whereas path ‘b’ is the process of the prior art.
EXAMPLE 1A mixture of (R)-epichlorohydrin ([α]D 25: −35.1 (neat), 138.75 g, 1.5 mole) and water (82 ml) was cooled to −7° C. and to this cold reaction mixture is added a solution of 4-hydroxyphenyl acetamide of formula 1 (151.00 g, 1 mole) and benzyltrimethylammonium chloride (1.3 g) in sodium hydroxide [40 g, 1 mole; dissolved in water (670 ml)] with stirring over a period of 3 hrs. maintaining the temperature at −7° C. to −5° C. The reaction mixture is then stirred further at −7° C. to −5° C. for 50 hrs. The precipitated solid is filtered, washed with water and dried at 60° C. to give 176 g of a mixture of S-glycidyl ether of formula 4 and S-chlorohydrin of formula 5 in about 3:2 ratio. m.p. 159–161° C.
EXAMPLE 2A mixture of isopropylamine (1.1 kg) and water (200 ml) is cooled to 10° C. and a mixture of S-glycidyl ether of formula 4 and S-chlorohydrin of formula 5 obtained in Example 1 (176 g) is added to it in lots maintaining temperature between 10 to 15° C. over a period of 3 hrs. The reaction is then stirred further for another 10 hr. The excess of isopropylamine is removed by distillation and the residue was treated with the water. The slurry so obtained is acidified with 5N HCl to pH 2.0. The resulting solution is then filtered, washed with water. The filtrate is basified with 2N NaOH to pH 11.7 and precipitated solid is filtered washed with water and dried to get (S)-atenolol (206 g, 91%) in 99.1% ee when analysed by using Chiracel OD column.
m.p. 152–153° C.
[α]D 25: −17.2 (c=1.0, 1N HCl).
IR: νmax 3352, 3168, 1635, 1242 cm−1.
1H NMR (DMSO-d6): δ 0.99 (d, J=7 Hz, 6H, 2×CH3), 2.60 (m, 1H, CH), 2.74 (m, 2H, CH2), 3.27 (s, 2H, CH2), 3.88 (m, 4H, CH2, CH, NH), 6.83 (d, J=8 Hz, 2H, Ar—H), 7.14 (d, J=8 Hz, 2H, Ar—H), 7.40 (bs, 1H).
13C NMR (DMSO-d6): 22.01, 22.09, 41.26, 48.39, 49.38, 67.73, 70.58, 114.16, 128.41, 129.93, 157.17, 172.59 ppm.
OTHER INFO
Despite both optical isomers being bioactive, as briefly mentioned in the Physical section, recent studies have shown that the S-ATENOLOL isomer was found to avoid the occasional side effect of an excessively lowered heart rate sometimes encountered with the racemate. The following steps are involved with the isolation of each enantiomer from 1-[p-[ (butoxy-carbonyl)methyl]phenoxy]-3-chloropropan-2-ol (7) using Lipase Catalysis.
The subsequent step highlights the production of S-ATENOLOL via (S-)1-[p-[ (butoxy-
carbonyl)methyl]phenoxy]-3-chloropropan-2-ol (8). This is fundamentally achieved using lipase from Pseudomonas Cepacia in a mixture of acetic anhydride and DIPE.
STEP 4 (b)

Whereas lipase from Pseudomonas Cepacia was used to isolate the S-ATENOLOL ISOMER, lipase from Candida Cylindracea is utilised in the production of the R + ATENOLOL ISOMER. The same principle applies in each isomeric scenario as demonstated below.
STEP 5 (a)

Acetic anhydride may also be used as a substitute for 1-butanol however, its inherent toxicity led to one opting for 1-butanol. Even though 1-butanol is harmful in its own right, on a relative scale is was the most suitable and effective alternative evolving an approximate 94 %conversion.
STEP 5 (b)

Yet again, greater than 95 % conversion is achieved after purifying the precipitate by treating(R) 1-[p-[(butoxy-carbonyl)methyl]phenoxy]-3-chloropropan-2-ol (10) with 2-methyl-ethanamine. This is then followed by addition of ammonium hydroxide in methanol and finally single recrystallisation in ethyl acetate.
References for (S)-(-)-Atenolol (ab120856)
This product has been referenced in:
- Agon P et al. Permeability of the blood-brain barrier for atenolol studied by positron emission tomography. J Pharm Pharmacol 43:597-600 (1991). Read more (PubMed: 1681079) »
- Tsuchihashi H et al. Characteristics of 125I-iodocyanopindolol binding to beta-adrenergic and serotonin-1B receptors of rat brain: selectivity of beta-adrenergic agents. Jpn J Pharmacol 52:195-200 (1990). Read more (PubMed: 1968985) »
| Cited Patent | Filing date | Publication date | Applicant | Title |
|---|---|---|---|---|
| US4085136 | Jun 9, 1976 | Apr 18, 1978 | Imperial Chemical Industries Limited | Adrenergic blocking agents |
| US5223646 | Apr 21, 1992 | Jun 29, 1993 | Daiso Company, Ltd. | Process for producing optically active atenolol and intermediate thereof |
| JPH0377856A | Title not available | |||
| JPH01102072A * | Title not available | |||
| JPH04198175A * | Title not available |
| Cited Patent | Filing date | Publication date | Applicant | Title |
|---|---|---|---|---|
| US4085136 | Jun 9, 1976 | Apr 18, 1978 | Imperial Chemical Industries Limited | Adrenergic blocking agents |
| US5223646 | Apr 21, 1992 | Jun 29, 1993 | Daiso Company, Ltd. | Process for producing optically active atenolol and intermediate thereof |
| JPH0377856A | Title not available | |||
| JPH01102072A * | Title not available | |||
| JPH04198175A * | Title not available |
Nicox stock leaps on positive Ph III glaucoma drug data , 英文名称

- 4- (nitrooxy) butyl (5Z) -7 – {(1R, 2R, 3R, 5S) -3,5-dihydroxy-2 – [(3R) -3-hydroxy-5-phenylpentyl] cyclopentyl} hept-5- enoate
- CAS No.860005-21-6
- Formula C 27 H 41 NO 8
The firms have published top-line results from the pivotal Phase 3 studies conducted with Vesneo (latanoprostene bunod) for the reduction of intraocular pressure in patients with glaucoma or ocular hypertension. The drug is a nitric oxide-donating prostaglandin F2-alpha analog licensed by Nicox to Bausch + Lomb.
Read more at: http://www.pharmatimes.com/Article/14-09-25/Nicox_stock_leaps_on_positive_Ph_III_glaucoma_drug_data.aspx#ixzz3ETxo7SBd
prostaglandin nitrooxyderivatives, pharmaceutical compositions containing them and their use as drugs for treating glaucoma and ocular hypertension. Glaucoma is optic nerve damage, often associated with increased intraocular pressure (IOP), that leads to progressive, irreversible loss of vision. . Almost 3 million people in the United States and 14 million people worldwide have glaucoma; this is the third leading cause of blindness worldwide. Glaucoma occurs when an imbalance in production and drainage of fluid in the eye (aqueous humor) increases eye pressure to unhealthy levels. It is known that elevated IOP can be at least partially controlled by administering drugs which either‘ reduce the production of aqueous humor within the eye or increase the fluid drainage, such as beta-blockers, α- agonists, ■ ‘ cholinergic agents, carbonic anhydrase inhibitors, or prostaglandin analogs. . Several side effects are associated with the drugs conventionally used to treat glaucoma. . ■ Topical beta-blockers show serious pulmonary side effects, depression, fatigue,’ confusion, impotence, hair loss, heart failure and bradycardia. Topical -agonists have a fairly high incidence of allergic, .or toxic reactions; topical cholinergic agents (miotics) can cause visual side effects. The side effects associated with oral carbonic anhydrase inhibitors include fatigue, anorexia, depression, paresthesias and serum■ electrolyte abnormalities (The Merck Manual of Diagnosis and Therapy, Seventeenth Edition, M. H. Beers and R. Berkow Editors, Sec. 8, Ch. 100) . Finally, the topical prostaglandin analogs (bimatoprost, latanoprost, travoprost and unoprostone) ‘ used in the treatment of glaucoma, can produce ocular side effects, such as increased pigmentation of the iris, ocular irritation, conjunctival hyperaemia, iritis, uveitis and macular oedema (Martindale, Thirty-third edition, p. 1.445) U.S. Pat. No. 3,922,293 describes monocarboxyacylates of prostaglandins F-type and their 15β isomers, at the C-9 position, and processes for preparing them; U.S. Pat. No. 6,417,228 discloses 13-aza prostaglandins having functional PGF2α receptor agonist activity and their use in treating glaucoma and ocular hypertension. WO 90/02553 • discloses the use ‘ of prostaglandins derivatives of PGA, PGB, PGE and PGF, in which the omega chain contains a ring structure, for the treatment of glaucoma or ocular hypertension. WO 00/51978 describes novel nitrosated and/or nitrosylated prostaglandins, ‘ • in ‘ particular novel derivatives of PGEi, novel compositions and their use for treating sexual dysfunctions. • : U.S.- Pat. No. 5,625,083 • discloses” ‘diriitroglycerol esters of prostaglandins which may‘ be used as vasodilators, antihypertensive cardiovascular agents- or bronchodilators . U.S. Pat. No. 6,211,233 discloses compounds of the general formula A-Xι-N02,‘ wherein A contains ‘a ■■ – prostaglandin residue, .in ‘particular .‘PGEi, and Xi • is a bivalent connecting bridge; .’and their use fo ‘ treating impotence. It is an object of the present invention to provide new derivatives of prostaglandins able not only to eliminate or at least reduce the side ■ effects associated with these compounds, but also to possess an improved pharmacological activity. It has been surprisingly found that prostaglandin nitroderivatives have a significantly improved overall profile as compared to native, prostaglandins both in terms of -wider pharmacological .activity and enhanced tolerability. In particular, it has been recognized that the prostaglandin nitroderivatives of the present invention can be employed for treating glaucoma and ocular hypertension. The compounds of the present invention are indicated for the reduction of intraocular pressure in patients with open-angle glaucoma or with chronic angle- closure glaucoma who underwent peripheral iridotomy or laser iridoplasty.
Latanoprostene bunod
Currently in Phase 3 clinical development with Nicox’s partner Bausch + Lomb
Latanoprostene bunod is a nitric oxide-donating prostaglandin F2-alpha analog in Phase 3 clinical development for the reduction of intraocular pressure in patients with glaucoma and ocular hypertension. It was licensed to Bausch + Lomb by Nicox in March 2010
Bausch + Lomb initiated a global Phase 3 program for latanoprostene bunod (previously known as BOL-303259-X and NCX 116) in January 2013. This pivotal Phase 3 program includes two separate randomized, multicentre, double-masked, parallel-group clinical studies, APOLLO andLUNAR, designed to compare the efficacy and safety of latanoprostene bunod administered once daily (QD) with timolol maleate 0.5% administered twice daily (BID) in lowering intraocular pressure (IOP) in patients with open-angle glaucoma or ocular hypertension.
The primary endpoint of both studies, which will include a combined total of approximately 800 patients, is the reduction in mean IOP measured at specified time points during three months of treatment. The Phase 3 studies are pivotal for U.S. registration and will be conducted in North America and Europe.
In July 2013, Bausch + Lomb initiated two additional studies in Japan: JUPITER (Phase 3) and KRONUS (Phase 1). A confirmatory efficacy study is expected to be required for the Japanese registration of latanoprostene bunod.
Phase 2b top-line results
A phase 2b study conducted by Bausch + Lomb with latanoprostene bunod met its primary efficacy endpoint and showed positive results on a number of secondary endpoints, including responder rate.
No new class of drugs has come to market for treating glaucoma since 1996, when the FDA approved the first prostaglandin analogue, latanoprost (Xalatan). That could change soon: Experts who follow drug development are hopeful that we’re on the brink of reaping the benefits of years of research.
“It’s been a decade and a half and counting since we’ve had new class of drugs to treat glaucoma. We’ve had formulary improvements and fixed combinations, but no novel agents,” said Louis B. Cantor, MD, at Indiana University. “We’ve gone through a long dry spell but are just beginning to see, in the last couple of years, exploration by pharma of some new types of drugs.” But, he added, “We don t know how well those will pan out.
The uncertainty about “panning out” involves both drug efficacy and marketplace issues. As Dr. Cantor said, “Prostaglandin analogues are pretty effective. For a company to go into the investment of developing a new class of drugs for glaucoma, they have to be better than prostaglandin analogues.
Andrew G. Iwach, MD, at the University of California, San Francisco, agreed: “This is a unique time period for glaucoma medications in that we have very good drugs, usually well tolerated. And they’ve gone generic. That’s important, because having such strong generic contenders out there makes it harder for drug companies to try to introduce new molecules into this arena. Specifically, the prostaglandin analogues have set a high bar. It’s hard to compete with them.
Given this barrier, what are the marketplace incentives for development? Sheer numbers, for a start: Ten thousand people a day turn 65, and this rate will continue for 18 years, Dr. Cantor said. “The number of people who are going to need treatment for glaucoma has already begun to increase substantially.
Even more important, “Despite all the advances, our medical therapy fails not only for compliance reasons, but just fails,” Dr. Cantor said. “We need to continue to have new alternatives for treatment that are more effective, that last longer, and that have simple dosing requirements.
Thus, any new drug that makes it from the bench to the clinic will be a welcome addition. “Obviously, we want new and better therapies. We still have no cure for glaucoma. And while half of all patients are treatable with one drug, half are not. So we still need additional therapies to treat glaucoma,” said Gary D. Novack, PhD, president of Pharmalogic Development.
……………………….
http://www.google.com/patents/EP1704141A1?cl=en
EXAMPLE 1 Synthesis of [1R- [l (Z) , 2α (R*) , 3α, 5α] ] -7- [3, 5-dihydroxy-2- (3-hydroxy-5-phenylpentyl) cyclopentyl] -5-heptenoic acid 4- (nitrooxy) butyl ester (compound 1)
I Synthetic Pathway ONO,
MW 72.11 MW 153.02 MW 198.02
MW 390.51 MW 507.62
II EXPERIMENTAL II.1 Preparation of 4-bromobutanol
Tetrahydrofuran (12.5 g – 173 mmol) was charged under nitrogen in a reactor cooled to 5-10 °C. Hydrogen bromide (7.0 g. – 86.5 mmol) was then added slowly and the reaction ■medium was stirred over a period of 4.5 hours at 5-10°C. The mixture was diluted with 22.5 g of cold water and the pH of this solution was adjusted to pH=5-7 by adding 27.65% sodium hydroxide (2.0 g) keeping the temperature at 5-10 °C. The solution was then extracted twice with dichloromethane (13.25 g) . The combined organic phases were washed with -25% brine (7.5 g) , adjusted to pH=6-7 with 27.65% sodium hydroxide and dried over magnesium sulfate. Dichloromethane was distilled off and crude 4-bromobutanol (10.3 g – 66.9 mmol) was obtained in a yield of about 77%. II.2 Preparation of 4-bromobutyl nitrate
In reactor cooled to -5 to 5°C, nitric acid fuming (8.5 g – 135 mmol) was slowly added to a solution of 98% sulfuric acid (13.0 g – 130 mmol) in dichloromethane (18.0 g – 212 mmol). 4-bromobutanol (10.2 g – 66.6 mmol) was then added to this mixture and the reaction medium was stirred at -5 to 5°C over a period of 2-5 hours. The mixture was poured into cold water (110 g) keeping the temperature between -5 °C and 3°C. After decantation, the upper aqueous phase was extracted with dichloromethane and the combined organic phases were washed with water, adjusted to pH=6-7 by addition of 27.65% sodium hydroxide, washed with brine and dried over magnesium sulfate. Dichloromethane was distilled off under vacuum and crude 4-bromobutyl nitrate (12.7 g – 64.1 mmol) was recovered in a yield of about 96%.
II.3 Preparation of [1R- [lα-(Z) , 2β (R*) , 3α, 5α] ] -7- [3, 5- dihydroxy-2- (3-hydroxy-5-phenylpentyl) cyclopentyl] -5- heptenoic acid 4- (nitrooxy) butyl ester
Latanoprost acid (97.7%, S-isomer <1%) (213mg, 0.54 mmol) was dis.solved in 5.0 g anhydrous DMF. K2C03 (206′ mg, 1.49 mmol), KI (77 mg, 0.46 mmol)‘ and ‘4-bromobutylnitrate (805 mg, .25% w/w in methylene chloride, 1.02 mmol) were added. The reaction mixture was heated and stirred on a rotary evaporator at 45-50°C. fter 1.5. hour, TLC (Si, ■ CH2Cl2-MeOH, 5%) showed -no – starting acid. . . .. The reaction mixture was diluted with 100 ml ethyl acetate, washed with brine (3 x 50 ml), dried over MgS04 and evaporated to give yellowish oil (420 mg) .
5 1H NMR/13C NMR showed target molecule as a major product together with some starting 4-bromobutylnitrate and DMF. HPLC showed no starting acid. Residual solvent, 4- bromobutylnitrate and target ester were the main peaks. Butylnitrate ester showed similar UV spectrum as0 latanoprost and relative retention time was as expected.
Instrument: Bruker 300 MHz Solvent : CDC13 -5 H-NMR (CDC13) δ: 7.29-7.19 (5H, m, Ar) ; 5.45 (IH, m. CH=CH) ; 5.38 (IH, m, CH=CH) ;. 4.48 (2H, t, CH2-ON02) ; 4.18 (IH, m, CH-OH); 4.10 (2H, t, C00CH2) ; 3.95 (IH, m, CH-OH); 3.68 (IH, m, CH-OH); 2.87-2.60 (2H, ) ; 2.35 (2H, t) ; 2.25 (2H,m) ; 2.13 (2H,m) ; 1.90-1.35 (16H, m) .0 13C-NMR (CDCI3) ppm: 173.94 (C=0) ; 142.14; 129.55 (C5); 129.50 (C6) ; 128.50; 125.93 78.80 (Cu) ; 74.50 (C9) ; 72.70 (C-0N02) ; 71.39 (Ci5) ; 63.57; 52.99 (C12) 51.99 (C8); 41.30 (C10) ; 39.16 (Ci6) ; 33.66; 32.21; 29.73; 27.04; 26.70;5 25.04; 24.91; 23.72; 15.37.
![]() |
|
| Trabecular meshwork structure. The colors in this drawing delineate the layers of the TM. |
![]() |
|
| Hyperemia. A side effect that emerged in trials of ROCK inhibitors is hyperemia; researchers are exploring different strategies to reduce it. |
LEXANOPADOL, For Treatment of acute and chronic pain requiring opioid analgesia
LEXANOPADOL
trans-6′-Fluoro-N-methyl-4-phenyl-4′,9′-dihydro-3’H-spiro(cyclohexane-1,1′-pyrano(3,4-b)indol)-4-amine
PRONUNCIATION lex” an oh’ pa dol
THERAPEUTIC CLAIM Treatment of acute and chronic pain requiring opioid analgesia
CHEMICAL NAMES
1. Spiro[cyclohexane-1,1′(3’H)-pyrano[3,4-b]indol]-4-amine, 6′-fluoro-4′,9′-dihydro-N-methyl-4-phenyl-, trans-
2. Trans-6′-fluoro-N-methyl-4-phenyl-4′,9′-dihydro-3’H-spiro[cyclohexane-1,1′-pyrano[3,4-b]indol]-4-amine
3. Trans -6’-fluoro-4’,9’-dihydro-N-methyl-4-phenyl-spiro[cyclohexane-1,1’(3’H)-pyrano[3,4-b]indol]-4-amine
MOLECULAR FORMULA C23H25FN2O
MOLECULAR WEIGHT 364.5
SPONSOR Grűnenthal GmbH
CODE DESIGNATIONS GRT6006, GRT13106G
CAS REGISTRY NUMBER 1357348-09-4
UNIIDZ4NDW1LZX
WHO NUMBER 9765
gbk
The heptadecapeptide nociceptin is an endogenous ligand of the ORL1 (opioid receptor-like) receptor (Meunier et al., Nature 377, 1995, p. 532-535), which belongs to the family of opioid receptors and is to be found in many regions of the brain and spinal cord, and has a high affinity for the ORL1 receptor. The ORL1 receptor is homologous to the μ, κ and δ opioid receptors and the amino acid sequence of the nociceptin peptide has a marked similarity to those of the known opioid peptides. The receptor activation induced by nociceptin leads, via coupling with Gi/o proteins, to an inhibition of adenylate cyclase (Meunier et al., Nature 377, 1995, p. 532-535).
The nociceptin peptide shows a pronociceptive and hyperalgesic activity after intercerebroventicular administration in various animal models (Reinscheid et al., Science 270, 1995, p. 792-794). These findings can be explained as an inhibition of stress-induced analgesia (Mogil et al., Neuroscience 75, 1996, p. 333-337). In this connection, it has also been possible to demonstrate an anxiolytic activity of nociceptin (Jenck et al., Proc. Natl. Acad. Sci. USA 94, 1997, 14854-14858).
On the other hand, it has also been possible to demonstrate an antinociceptive effect of nociceptin in various animal models, in particular after intrathecal administration. Nociceptin has an antinociceptive action in various pain models, for example in the tail flick test in the mouse (King et al., Neurosci. Lett., 223, 1997, 113-116. It has likewise been possible to demonstrate an antinociceptive action of nociceptin in models for neuropathic pain, which is of particular interest inasmuch as the activity of nociceptin increases after axotomy of spinal nerves. This is in contrast to conventional opioids, the activity of which decreases under these conditions (Abdulla and Smith, J. Neurosci., 18, 1998, p. 9685-9694).
The ORL1 receptor is moreover also involved in regulation of further physiological and pathophysiological processes. These include, inter alia, learning and memory development (Manabe et al., Nature, 394, 1997, p. 577-581), audition (Nishi et al., EMBO J., 16, 1997, p. 1858-1864) and numerous further processes. A review article by Cabo et al. (Br. J. Pharmacol., 129, 2000, 1261-1283) gives an overview of the indications or biological processes in which the ORL1 receptor plays a role or with high probability could play a role. This mentions, inter alia: analgesia, stimulation and regulation of food intake, influence on μ-agonists, such as morphine, treatment of withdrawal symptoms, reduction in the addiction potential of opioids, anxiolysis, modulation of motor activity, impaired memory, epilepsy; modulation of neurotransmitter secretion, in particular glutamate, serotonin and dopamine, and therefore neurodegenerative diseases; influencing of the cardiovascular system, initiation of an erection, diuresis, anti-natriuresis, electrolyte balance, arterial blood pressure, water retention diseases, intestinal motility (diarrhea), relaxing effects on the respiratory tract, micturation reflex (urinary incontinence). The use of agonists and antagonists as anoretics, analgesics (also in co-administration with opioids) or nootropics is furthermore discussed.
The possible uses of compounds which bind to the ORL1 receptor and activate or inhibit this are correspondingly diverse. Alongside this, however, opioid receptors, such as the μ-receptor, but also the other sub-types of these opioid receptors, namely δ and κ, play a large role precisely in the area of pain therapy, but also in that of other indications of those mentioned. Accordingly, it is favourable if the compound also show an action on these opioid receptors.
SYN
http://www.google.com/patents/US20110319440

SYNTHESIS ……………..ON THE WAY ….. WATCH OUT
The dimethyl analogue is

Jirkovsky et al., J. Heterocycl. Chem., 12, 1975, 937-940;
Campaigne et al., J. Heterocycl. Chem., 2, 1965, 231-235;
Efange et al., J. Med. Chem., 41, 1998, 4486-4491;
Ellingboe et al., J. Med. Chem., 35, 1992, 1176-1183;
Pearson et al., Aust. J. Chem., 44, 1991, 907-917;
Yokohama et al., Chem. Pharm. Bull., 40, 1992, 2391-2398;
Beck et al., J. Chem. Soc. Perkin 1, 1992, 813-822;
Shinada et al., Tetrahedron Lett., 39, 1996, 7099-7102;
Garden et al., Tetrahedron, 58, 2002, 8399-8412;
Lednicer et al., J. Med. Chem., 23, 1980, 424-430.
|
2-10-2012
|
Pharmaceutical dosage forms comprising 6′-fluoro-(N-methyl- or N,N-dimethyl-)-4-phenyl-4′,9′-dihydro-3’H-spiro[cyclohexane-1,1′-pyrano[3,4,b]indol]-4-amine
|
|
|
11-9-2011
|
Compositions containing spirocyclic cyclohexane compounds
|
|
|
10-12-2011
|
Spirocyclic Cyclohexane Compounds Useful To Treat Substance Dependency
|
|
|
5-32-2011
|
Spirocyclic Cyclohexane Compounds
|
|
|
1-21-2011
|
MIXED ORL1/MU-AGONISTS FOR THE TREATMENT OF PAIN
|
|
|
9-22-2010
|
SPIROCYCLIC CYCLOHEXANE COMPOUNDS
|
|
|
6-17-2009
|
Spirocyclic cyclohexane compounds
|
|
|
9-12-2008
|
Spirocyclic Cyclohexane Compounds Useful To Treat Substance Dependency
|
|
|
5-30-2008
|
Mixed ORL1/mu-agonists for the treatment of pain
|
| US8614245 | Jan 8, 2013 | Dec 24, 2013 | Gruenenthal Gmbh | Crystalline (1r,4r)-6′-fluoro-N,N-dimethyl-4-phenyl-4′,9′-dihydro-3′H-spiro[cyclohexane-1,1′-pyrano[3,4,b]indol]-4-amine |
| US8618156 * | Jul 6, 2012 | Dec 31, 2013 | Gruenenthal Gmbh | Crystalline (1r,4r)-6′-fluoro-N,N-dimethyl-4-phenyl-4′,9′-dihydro-3’H-spiro[cyclohexane-1,1′-pyrano[3,4,b]indol]-4-amine |
| US8765800 | Mar 15, 2013 | Jul 1, 2014 | Gruenenthal Gmbh | Crystalline (1r,4r)-6′-fluoro-N,N-dimethyl-4-phenyl-4′,9′-dihydro-3′H-spiro[cyclohexane-1,1′-pyrano[3,4,b]indol]-4-amine |
| US20130231381 * | Mar 15, 2013 | Sep 5, 2013 | Gruenenthal Gmbh | Crystalline (1r,4r)-6′-fluoro-N,N-dimethyl-4-phenyl-4′,9′-dihydro-3’H-spiro[cyclohexane-1,1′-pyrano[3,4,b]indol]-4-amine |
| US5356896 * | Dec 22, 1992 | Oct 18, 1994 | Sandoz Ltd. | Alkaline stabiling medium |
| US20060004034 * | May 11, 2005 | Jan 5, 2006 | Gruenenthal Gmbh | Treating conditions associated with the nociceptin/ORL1 receptor system, e.g. pain, drug withdrawal, anxiety, muscle relaxants, anxiolytic agents; e.g. 1,1-[3-dimethylamino-3-(pyridin-2-yl)pentamethylene]-3,4-dihydro-1H-2,9-diazafluorene |
MAKE IN INDIA
http://makeinindia.com/sector/pharmaceuticals/
Read all about Organic Spectroscopy on ORGANIC SPECTROSCOPY INTERNATIONAL 
keep watching for synthesis update on this drug
QP Declaration: EMA publishes Comments
DRUG REGULATORY AFFAIRS INTERNATIONAL
QP Declaration: EMA publishes Comments
More than three years ago, the EMA has published two draft documents for a template for the QP’s declaration concerning GMP compliance of the API used as starting material and verification of its supply chain called “The QP declaration template“:
1. The draft template for the Qualified Person’s declaration
and
2. the respective draft Q&A on the template for the Qualified Person’s declaration
The QP Declaration should be provided in support of an application for a new marketing authorisation, variation or renewal of a medicinal product(s) authorised in the Community, using EU or national procedures within the scope of the respective Directives.
The consultation for the template ended on 30 April 2011. In June 2014, the final version was published together with a template guidance. Now, three months after publication of the final document, the comments from 2011 have been published.
The…
View original post 559 more words
FDA Approves Vitekta (elvitegravir) for HIV-1 Infection
FDA Approves Vitekta (elvitegravir) for HIV-1 Infection
September 24, 2014 — The U.S. Food and Drug Administration (FDA) has approved Vitekta (elvitegravir), an integrase strand transfer inhibitor for the combination treatment of human immunodeficiency virus type 1 (HIV-1) infection in treatment-experienced adults.
![]()
Elvitegravir
697761-98-1 CAS

Elvitegravir (EVG, formerly GS-9137) is a drug used for the treatment of HIV infection. It acts as an integrase inhibitor. It was developed[1] by the pharmaceutical company Gilead Sciences, which licensed EVG from Japan Tobacco in March 2008.[2][3][4] The drug gained approval by U.S. Food and Drug Administration on August 27, 2012 for use in adult patients starting HIV treatment for the first time as part of the fixed dose combination known as Stribild.[5]
According to the results of the phase II clinical trial, patients taking once-daily elvitegravir boosted by ritonavir had greater reductions in viral load after 24 weeks compared to individuals randomized to receive a ritonavir-boosted protease inhibitor.[6]
Human immunodeficiency virus type 1 (HIV-1) is the causative agent of acquired immunodeficiency disease syndrome (AIDS). After over 26 years of efforts, there is still not a therapeutic cure or an effective vaccine against HIV/AIDS. The clinical management of HIV-1 infected people largely relies on antiretroviral therapy (ART). Although highly active antiretroviral therapy (HAART) has provided an effective way to treat AIDS patients, the huge burden of ART in developing countries, together with the increasing incidence of drug resistant viruses among treated people, calls for continuous efforts for the development of anti-HIV-1 drugs. Currently, four classes of over 30 licensed antiretrovirals (ARVs) and combination regimens of these ARVs are in use clinically including: reverse transcriptase inhibitors (RTIs) (e.g. nucleoside reverse transcriptase inhibitors, NRTIs; and non-nucleoside reverse transcriptase inhibitors, NNRTIs), protease inhibitors (PIs), integrase inhibitors and entry inhibitors (e.g. fusion inhibitors and CCR5 antagonists).
- Gilead Press Release Phase III Clinical Trial of Elvitegravir July 22, 2008
- Gilead Press Release Gilead and Japan Tobacco Sign Licensing Agreement for Novel HIV Integrase Inhibitor March 22, 2008
- Shimura K, Kodama E, Sakagami Y, et al. (2007). “Broad Anti-Retroviral Activity and Resistance Profile of a Novel Human Immunodeficiency Virus Integrase Inhibitor, Elvitegravir (JTK-303/GS-9137)”. J Virol 82 (2): 764. doi:10.1128/JVI.01534-07. PMC 2224569. PMID 17977962.
- Stellbrink HJ (2007). “Antiviral drugs in the treatment of AIDS: what is in the pipeline ?”. Eur. J. Med. Res. 12 (9): 483–95. PMID 17933730.
- Sax, P. E.; Dejesus, E.; Mills, A.; Zolopa, A.; Cohen, C.; Wohl, D.; Gallant, J. E.; Liu, H. C.; Zhong, L.; Yale, K.; White, K.; Kearney, B. P.; Szwarcberg, J.; Quirk, E.; Cheng, A. K.; Gs-Us-236-0102 Study, T. (2012). “Co-formulated elvitegravir, cobicistat, emtricitabine, and tenofovir versus co-formulated efavirenz, emtricitabine, and tenofovir for initial treatment of HIV-1 infection: A randomised, double-blind, phase 3 trial, analysis of results after 48 weeks”.The Lancet 379 (9835): 2439–2448. doi:10.1016/S0140-6736(12)60917-9. PMID 22748591. edit
- Thaczuk, Derek and Carter, Michael. ICAAC: Best response to elvitegravir seen when used with T-20 and other active agents Aidsmap.com. 19 Sept. 2007.

The life cycle of HIV-1. 1. HIV-1 gp120 binds to CD4 and co-receptor CCR5/CXCR4 on target cell; 2. HIV-1 gp41 mediates fusion with target cell; 3. Nucleocapsid containing viral genome and enzymes enters cells; 4. Viral genome and enzymes are released; 5. Viral reverse transcriptase catalyzes reverse transcription of ssRNA, forming RNA-DNA hybrids; 6. RNA template is degraded by ribonuclease H followed by the synthesis of HIV dsDNA; 7. Viral dsDNA is transported into the nucleus and integrated into the host chromosomal DNA by the viral integrase enzyme; 8. Transcription of proviral DNA into genomic ssRNA and mRNAs formation after processing; 9. Viral RNA is exported to cytoplasm; 10. Synthesis of viral precursor proteins under the catalysis of host-cell ribosomes; 11. Viral protease cleaves the precursors into viral proteins; 12. HIV ssRNA and proteins assemble under host cell membrane, into which gp120 and gp41 are inserted; 13. Membrane of host-cell buds out, forming the viral envelope; 14. Matured viral particle is released
Elvitegravir, also known as GS 9137 or JTK 303, is an investigational new drug and a novel oral integrase inhibitor that is being evaluated for the treatment of HIV-1 infection. After HIVs genetic material is deposited inside a cell, its RNA must be converted (reverse transcribed) into DNA. A viral enzyme called integrase then helps to hide HIVs DNA inside the cell’s DNA. Once this happens, the cell can begin producing genetic material for new viruses. Integrase inhibitors, such as elvitegravir, are designed to block the activity of the integrase enzyme and to prevent HIV DNA from entering healthy cell DNA. Elvitegravir has the chemical name: 6-(3-chloro-2-fluorobenzyl)-1-[(S)-1 -hydroxy -methyl-2- methylpropyl]-7-methoxy-4-oxo-1, 4-dihydroquinoline-3-carboxylic acid and has the following structural formula:
WO 2000040561 , WO 2000040563 and WO 2001098275 disclose 4-oxo-1 , 4-dihydro-3- quinoline which is useful as antiviral agents. WO2004046115 provides certain 4- oxoquinoline compounds that are useful as HIV Integrase inhibitors.
US 7176220 patent discloses elvitegravir, solvate, stereoisomer, tautomer, pharmaceutically acceptable salt thereof or pharmaceutical composition containing them and their method of treatment. The chemistry involved in the above said patent is depicted below in the Scheme A. Scheme-A
Toluene, DIPEA
SOCl2 ,COCl (S)-(+)-Valinol
Toluene
,4-Difluoro-5-iodo- benzoic acid
THF
dichlorobis(triphenylphosphine)
palladium argon stream,
Elvitegravir Form ] Elvitegravir (residue) US 7635704 patent discloses certain specific crystalline forms of elvitegravir. The specific crystalline forms are reported to have superior physical and chemical stability compared to other physical forms of the compound. Further, process for the preparation of elvitegravir also disclosed and is depicted below in the Scheme B. The given processes involve the isolation of the intermediates at almost all the stages.
Scheme B
2,
–
Zn THF,
CK Br THF CU “ZnBr dιchlorobis(trιphenylphos
phine)palladium
Elvitegravir WO 2007102499 discloses a compound which is useful as an intermediate for the synthesis of an anti-HIV agent having an integrase-inhibiting activity; a process for production of the compound; and a process for production of an anti-HIV agent using the intermediate.
WO 2009036161 also discloses synthetic processes and synthetic intermediates that can be used to prepare 4-oxoquinolone compounds having useful integrase inhibiting properties.
The said processes are tedious in making and the purity of the final compound is affected because of the number of steps, their isolation, purification etc., thus, there is a need for new synthetic methods for producing elvitegravir which process is cost effective, easy to practice, increase the yield and purity of the final compound, or that eliminate the use of toxic or costly reagents.
US Patent No 7176220 discloses Elvitegravir, solvate, stereoisomer, tautomer, pharmaceutically acceptable salt thereof or pharmaceutical composition containing them and ■ their method of treatment. US Patent No 7635704 discloses Elvitegravir Form II, Form III and processes for their preparation. The process for the preparation of Form Il disclosed in the said patent is mainly by three methods – a) dissolution of Elvitegravir followed by seeding with Form II, b) recrystallisation of Elvitegravir, and c) anti-solvent method.
The process for the preparation of Form III in the said patent is mainly by three methods – a) dissolution of Form Il in isobutyl acetate by heating followed by cooling the reaction mass, b) dissolution of Form Il in isobutyl acetate by heating followed by seeding with Form III, and c) dissolving Form Il in 2-propanol followed by seeding with Form III.
Amorphous materials are becoming more prevalent in the pharmaceutical industry. In order to overcome the solubility and potential bioavailability issues, amorphous solid forms are becoming front-runners. Of special importance is the distinction between amorphous and crystalline forms, as they have differing implications on drug substance stability, as well as drug product stability and efficacy.
An estimated 50% of all drug molecules used in medicinal therapy are administered as salts. A drug substance often has certain suboptimal physicochemical or biopharmaceutical properties that can be overcome by pairing a basic or acidic drug molecule with a counter- ion to create a salt version of the drug. The process is a simple way to modify the properties of a drug with ionizable functional groups to overcome undesirable features of the parent drug. Salt forms of drugs have a large effect on the drugs’ quality, safety, and performance. The properties of salt-forming species significantly affect the pharmaceutical properties of a drug and can greatly benefit chemists and formulators in various facets of drug discovery and development.



chemical synthesis from a carboxylic acid 1 starts after conversion to the acid chloride iodide NIS 2 , and with three condensation 4 . 4 and the amino alcohol 5 addition-elimination reaction occurs 6 , 6 off under alkaline conditions with TBS protected hydroxy get the ring 7 , 7 and zinc reagent 8 Negishi coupling occurs to get 9 , the last 9 hydrolysis and methoxylated
Elvitegravir dimer impurity, WO2011004389A2
Isolation of 1-[(2S)-1-({3-carboxy-6-(3-chloro-2-fluorobenzyl)-1 -[(2S)-I- hydroxy-3-methylbutan-2-yl]-4-oxo-1 , 4-dihydroquinolin-7-yl}oxy)-3- methylbutan-2-yl 6-(3-chloro-2-fluorobenzyl)-7-methoxy-4-oxo-1 , 4-dihydroquinoline-3-carboxylic acid (elvitegravir dimer impurity, 13)
After isolation of the elvitegravir from the mixture of ethyl acetate-hexane, solvent from the filtrate was removed under reduced pressure. The resultant residue purified by column chromatography using a mixture of ethyl acetate-hexane (gradient, 20-80% EtOAc in hexane) as an eluent. Upon concentration of the required fractions, a thick solid was obtained which was further purified on slurry washing with ethyl acetate to get pure elvitegravir dimer impurity (13). The 1H-NMR, 13C-NMR and mass spectral data complies with proposed structure.
1H-NMR (DMSO-Cf6, 300 MHz, ppm) – δ 0.79 (m, d=6.3 Hz, 6H, 20 & 2O’)\ 1.18 & 1.20 (d, J=6.3 Hz & J=6.2 Hz, 6H, 21 & 21′)1, 2.42-2.49 (m, 2H, 19 & 19′), 3.81-3.89 (m, 3H, T & 17’Ha), 3.94-4.01 (m, 1 H, 17’Hb), 4.01 (s, 3H, 23), 4.11 (s, 2H, 7), 4.83-4.85 (m, 3H, 17 & 18′), 5.22 (t, J=4.7 Hz, 1H, OH), 5.41-5.44 (m, 1 H, 18), 6.73-6.78 (t, J=7.1 Hz, 1 H, 11)1‘ 2, 6.92-6.98 (t, J=8.0 Hz, 1H, 3′) 1‘2, 7.12-7.22 (m, 2H, 1 & 3), 7.34-7.39 (m, 1H, 2′),
7.45-7.48 (m, 1 H, 2), 7.49, 7.56 (s, 2H, 15 & 15′), 7.99, 8.02 (s, 2H, 9 & 9′), 8.89, 9.01 (s, 2H, 13 & 13′), 15.30, 15.33 (s, 2H, COOH’ & COOH”).
13C-NMR (DMSO-Cf6, 75 MHz, ppm)- δ 18.87, 19.03 (2OC, 20’C), 19.11 , 19.24 (21 C, 21 ‘C), 27.94 (7’C), 28.40 (7C), 28.91 , 30.08 (19C, 19’C), 56.80(23C), 60.11 (171C), 63.59 (18C), 66.52 (18’C), 68.53 (17C), 97.86, 98.97 (15, 15′), 107.43, 108.16 (12C, 12’C),
118.77, 119.38 (1OC, 10’C), 119.57 (d, J=17.6 Hz, 41C), 119.61 (d, J=17.9 Hz, 4C),
124.88 (d, J=4.3 Hz, 31C), 125.18 (d, J=4.2 Hz, 3C), 126.59, 126.96 (9C1 9’C), 127.14 (8’C), 127.62 (d, J=15.9 Hz, 61C), 127.73 (8C), 127.99 (d, J=15.2 Hz, 6C), 128.66 (2’C),
128.84 (11C), 128.84 (2C), 130.03 (d, J=3.4 Hz, 1C), 142.14, 142.44 (14C, 14’C), 144.37, 145.56 (13C, 131C), 155.24 (d, J=245.1 Hz, 5’C)1 155.61 (d, J=245.1 Hz, 5C),
160.17 (16’C), 162.04 (16C), 166.00, 166.14 (22C, 22’C), 176.17, 176.22 (11C, 111C).
DIP MS: m/z (%)- 863 [M+H]+, 885 [M+Na]+.
MAKE IN INDIA
http://makeinindia.com/sector/pharmaceuticals/

FDA Approves Spiriva Respimat (tiotropium) for the Maintenance Treatment of COPD

Ridgefield, Conn., September 25, 2014 – Boehringer Ingelheim Pharmaceuticals, Inc. announced today that the U.S. Food and Drug Administration (FDA) approved Spiriva Respimat (tiotropium bromide) inhalation spray for the long-term, once-daily maintenance treatment of bronchospasm associated with chronic obstructive pulmonary disease (COPD), including chronic bronchitis and emphysema and to reduce exacerbations in COPD patients. Boehringer Ingelheim anticipates Spiriva Respimat to be available in January 2015.

Spiriva Respimat provides a pre-measured amount of medicine in a slow-moving mist that helps patients inhale the medicine. Spiriva Respimat was developed to actively deliver medication in a way that does not depend of how fast air is breathed in from the inhaler.
READ AT


MAKE IN INDIA
DRUG APPROVALS BY DR ANTHONY MELVIN CRASTO
.....































