NARONAPRIDE

NARONAPRIDE
860174-12-5
Average: 537.1
C27H41ClN4O5
ATI 7505 / ATI-7505
(3R)-1-azabicyclo[2.2.2]octan-3-yl 6-[(3S,4R)-4-(4-amino-5-chloro-2-methoxybenzamido)-3-methoxypiperidin-1-yl]hexanoate
| INGREDIENT | UNII | CAS | |
|---|---|---|---|
| Naronapride dihydrochloride | 898PE2W8US | 860169-57-9 |
860174-12-5 (free base) 860169-57-9 (HCl)
Naronapride (free base), also known as ATI-7505, is a highly selective, high-affinity 5-HT(4) receptor agonist for gastrointestinal motility disorders. ATI-7505 accelerates overall colonic transit and tends to accelerate GE and AC emptying and loosen stool consistency.
Investigated for use/treatment in gastroesophageal reflux disease (GERD) and gastroparesis.
Renexxion , presumed to have been spun-out from Armetheon , under license from ARYx Therapeutics is developing naronapride (ATI-7505; phase 2 clinical in February 2020), an analog of the gastroprokinetic 5-HT 4 agonist cisapride identified using ARYx’s RetroMetabolic platform technology (ARM), for the oral treatment of upper GI disorders. In September 2018, this was still the case . PATENT
WO2005068461
NEW PATENT
WO-2020096911
Process for preparing trihydrate salt of naronapride hydrochloride as 5-HT 4 receptor agonist useful for treating gastrointestinal disorders such as dyspepsia, gastroparesis, constipation, post-operative ileus. Appears to be the first filing from the assignee and the inventors on this compound,
In some aspects, provided herein is a method of making a trihydrate form of (3S, 4R, 3’R)-6-[4-(4-amino-5-chloro-2-methoxy-benzoylamino)-3-methoxy-piperidin-l-yl]-hexanoic acid l-azabicyclo[2.2.2]oct-3’-yl ester di-hydrochloride salt, which has the following formula:
Example 5: NMR Characterization of the Trihydrate
[0282] ^-Nuclear Magnetic Resonance Spectroscopy (‘H-NMR) : Approximately 6 mg of the trihydrate was dissolved in in 1 g of deuterated solvent (dimethylsulfoxide (DMSO)-C45 99.9% d, with 0.05% v/v tetramethyl silane (TMS)). A Varian Gemini 300 MHz FT-NMR spectrometer was used to obtain the ¾-NMK spectrum. A list of the peaks is provided in Table 1 below. A representative ‘H-NMR spectrum is provided in FIG. 6.
Table 1. ‘H-NMR peak list for trihydrate
[0283] 13 C-Nuclear Magnetic Resonance Spectroscopy ( 13C-NMR ): Approximately 46 mg of the trihydrate was dissolved in 1 mL of deuterated solvent (deuterium oxide, Aldrich, 99.9% D, TPAS 0.75%). The 13C-NMR spectrum was obtained using a Varian Gemini 300 MHz FT-NMR spectrometer. A list of the peaks is provided in Table 2 below. A representative 13C-NMR spectrum is provided in FIG. 7.
Table 2. 13C-NMR peak list for trihydrate
PATENT
US10570127 claiming composition (eg tablet) comprising a trihydrate form of naronapride.
patent
ARYX THERAPEUTICS, WO2005/68461, A1, (2005)
Methods
titanium tetraethoxide; toluene;
Reactants can be synthesized in 1 step.
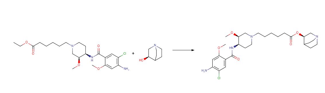
ARYX THERAPEUTICS, WO2005/68461, A1, (2005) The ester (1 part by weight) and (R)-3-Quinuclidinol (about 1.12 part by weight) were suspended in toluene before slowly adding titanium (IV) ethoxide (about 0.5 part by weight) to the stirred suspens ion. The mixture was heated to about 91 °C under a stream of nitrogen, and partial vacuum was applie d to the flask through a distillation apparatus in order to azeotropically remove the ethanol. Addit ional toluene was added as needed to maintain a minimum solvent volume in the flask. The reaction was considered complete after about 33 hours. The mixture was cooled to about room temperature and ext racted five times with water. The organic layer was concentrated under reduced pressure and the resulting residue was redissolved in EtOH/iPrOH (about 1: 1 v/v) and then filtered through a 0.45 micron membrane filter to remove any particulates. Concentrated hydrochloric acid was added slowly to the stirred filtrate to precipitate out the desired product as the dihydrochloride salt. The resulting s uspension was stirred for several hours at room temperature and collected under vacuum filtration and rinsed with EtOH/tPrOH (1: 1; v/v) to provide 0.53 part by weight of the crude product salt. Crude dihydrochloride salt was resuspended in ethanol and heated to reflux before cooling to room temperature over about 1 hour. The product was collected under vacuum filtration and rinsed with ethanol an d then air-dried. The solids were resuspended in ethanol and warmed to about 55 °C to give a clear s olution before adding warm isopropanol and the product was allowed to precipitate by slow cooling to room temperature. The resulting suspension was stirred for several hours before vacuum filtering and rinsing with, e. g., isopropanol. The product was vacuum dried, initially at room temperature for several hours and then at about 55 °C until a constant weight was achieved.
Methods
dmap; 1-ethyl-(3-(3-dimethylamino)propyl)-carbodiimide hydrochloride; DMFA;
Reactants can be synthesized in 2 steps.
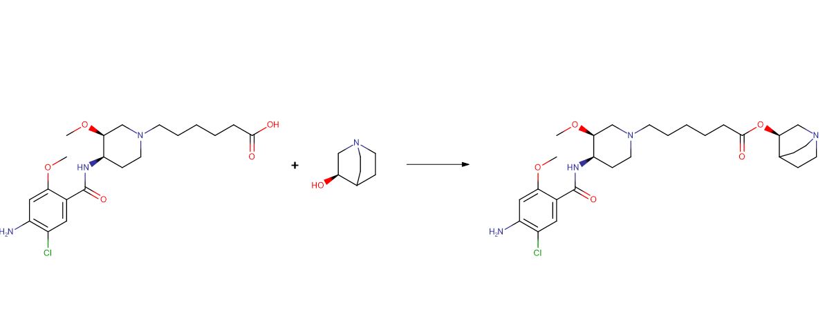
ARYX THERAPEUTICS, WO2007/28073, A2, (2007) Production of Compound IV and Compound VI[0394] A mixture of (+)-Comrhoound II (1 eq.), (R)-(-)-3-quinuclidinol HCl salt (1 eq.), EDAC (1 eq.) and DMAP (1 eq.) in DMF is heated at around 5OC overnight . After cooling and diluting with water, the mixture is purified by chromatography or by crystallization to provide Compound IV. Similarly, using (S)-(+)-quinuclidinol, Compound VI is obtained
REFERENCES
1: Jiang C, Xu Q, Wen X, Sun H. Current developments in pharmacological therapeutics for chronic constipation. Acta Pharm Sin B. 2015 Jul;5(4):300-9. doi: 10.1016/j.apsb.2015.05.006. Epub 2015 Jun 6. Review. PubMed PMID: 26579459; PubMed Central PMCID: PMC4629408.
2: Buchwald P, Bodor N. Recent advances in the design and development of soft drugs. Pharmazie. 2014 Jun;69(6):403-13. Review. PubMed PMID: 24974571.
3: Mozaffari S, Didari T, Nikfar S, Abdollahi M. Phase II drugs under clinical investigation for the treatment of chronic constipation. Expert Opin Investig Drugs. 2014 Nov;23(11):1485-97. doi: 10.1517/13543784.2014.932770. Epub 2014 Jun 24. Review. PubMed PMID: 24960333.
4: Shin A, Camilleri M, Kolar G, Erwin P, West CP, Murad MH. Systematic review with meta-analysis: highly selective 5-HT4 agonists (prucalopride, velusetrag or naronapride) in chronic constipation. Aliment Pharmacol Ther. 2014 Feb;39(3):239-53. doi: 10.1111/apt.12571. Epub 2013 Dec 5. Review. PubMed PMID: 24308797.
5: Stevens JE, Jones KL, Rayner CK, Horowitz M. Pathophysiology and pharmacotherapy of gastroparesis: current and future perspectives. Expert Opin Pharmacother. 2013 Jun;14(9):1171-86. doi: 10.1517/14656566.2013.795948. Epub 2013 May 11. Review. PubMed PMID: 23663133.
6: Tack J, Camilleri M, Chang L, Chey WD, Galligan JJ, Lacy BE, Müller-Lissner S, Quigley EM, Schuurkes J, De Maeyer JH, Stanghellini V. Systematic review: cardiovascular safety profile of 5-HT(4) agonists developed for gastrointestinal disorders. Aliment Pharmacol Ther. 2012 Apr;35(7):745-67. doi: 10.1111/j.1365-2036.2012.05011.x. Epub 2012 Feb 22. Review. PubMed PMID: 22356640; PubMed Central PMCID: PMC3491670.
7: Hoffman JM, Tyler K, MacEachern SJ, Balemba OB, Johnson AC, Brooks EM, Zhao H, Swain GM, Moses PL, Galligan JJ, Sharkey KA, Greenwood-Van Meerveld B, Mawe GM. Activation of colonic mucosal 5-HT(4) receptors accelerates propulsive motility and inhibits visceral hypersensitivity. Gastroenterology. 2012 Apr;142(4):844-854.e4. doi: 10.1053/j.gastro.2011.12.041. Epub 2012 Jan 4. PubMed PMID: 22226658; PubMed Central PMCID: PMC3477545.
8: Bowersox SS, Lightning LK, Rao S, Palme M, Ellis D, Coleman R, Davies AM, Kumaraswamy P, Druzgala P. Metabolism and pharmacokinetics of naronapride (ATI-7505), a serotonin 5-HT(4) receptor agonist for gastrointestinal motility disorders. Drug Metab Dispos. 2011 Jul;39(7):1170-80. doi: 10.1124/dmd.110.037564. Epub 2011 Mar 29. PubMed PMID: 21447732.
9: Tack J. Current and future therapies for chronic constipation. Best Pract Res Clin Gastroenterol. 2011 Feb;25(1):151-8. doi: 10.1016/j.bpg.2011.01.005. Review. PubMed PMID: 21382586.
10: Manabe N, Wong BS, Camilleri M. New-generation 5-HT4 receptor agonists: potential for treatment of gastrointestinal motility disorders. Expert Opin Investig Drugs. 2010 Jun;19(6):765-75. doi: 10.1517/13543784.2010.482927. Review. PubMed PMID: 20408739.
11: Sanger GJ. Translating 5-HT receptor pharmacology. Neurogastroenterol Motil. 2009 Dec;21(12):1235-8. doi: 10.1111/j.1365-2982.2009.01425.x. Review. PubMed PMID: 19906028.
12: Vakil N. New pharmacological agents for the treatment of gastroesophageal reflux disease. Rev Gastroenterol Disord. 2008 Spring;8(2):117-22. Review. PubMed PMID: 18641594.
13: Bayés M, Rabasseda X, Prous JR. Gateways to clinical trials. Methods Find Exp Clin Pharmacol. 2007 Jun;29(5):359-73. PubMed PMID: 17805439.
14: Camilleri M, Vazquez-Roque MI, Burton D, Ford T, McKinzie S, Zinsmeister AR, Druzgala P. Pharmacodynamic effects of a novel prokinetic 5-HT receptor agonist, ATI-7505, in humans. Neurogastroenterol Motil. 2007 Jan;19(1):30-8. PubMed PMID: 17187586.
////////////NARONAPRIDE, ATI 7505, ATI 7505,PHASE 2
CO[C@H]1CN(CCCCCC(=O)O[C@H]2CN3CCC2CC3)CC[C@H]1NC(=O)C1=C(OC)C=C(N)C(Cl)=C1
DRUG APPROVALS BY DR ANTHONY MELVIN CRASTO
.....














