Home » ANTI DEPRESSANT
Category Archives: ANTI DEPRESSANT
Maritupirdine


Maritupirdine
CAS 1025725-91-0
MF C21H24N2 MW304.4 g/mol
2,3,4,5-TETRAHYDRO-2,8-DIMETHYL-5-PHENETHYL-1H-PYRIDO(4,3-B)INDOLE
2,8-dimethyl-5-(2-phenylethyl)-2,3,4,5-tetrahydro-1H-pyrido[4,3-b]indole
serotonin receptor antagonist, antidepressant, AVN-101, AVN 101, CD 008 0045, 6MHR5IV28S
- OriginatorChemDiv
- DeveloperAllaChem; Avineuro Pharmaceuticals; ChemDiv
- ClassAntidementias; Indoles; Neuroprotectants; Pyridines; Small molecules
- Mechanism of ActionAdrenergic receptor antagonists; Dopamine receptor antagonists; Histamine receptor antagonists; Serotonin 6 receptor antagonists
- Phase IIAlzheimer’s disease; Anxiety disorders
- 27 Sep 2022No development reported – Phase-II for Anxiety disorders in Russia (PO)
- 22 Dec 2020Chemical structure information added
- 22 Oct 2020Avineuro Pharmaceuticals and Avineuro Pharmaceuticals plans a phase III trial in Anxiety disorders in December 2020 (PO, Capsules) (NCT04598867)
MARITUPIRDINE is a small molecule drug with a maximum clinical trial phase of II and has 1 investigational indication.
Maritupirdine (developmental code name AVN-101), a close structural analogue of latrepirdine, is a selective 5-HT6 receptor antagonist which is under development by Avineuro Pharmaceuticals for the treatment of Alzheimer’s disease and anxiety disorders.[1][2][3] As of November 2013, it was in phase II clinical trials for these indications.[2][3][4][needs update]
It was approved in Russia on May 31, 2023 under the brand name Aviandr for the treatment of generalized anxiety disorder, mild-to-moderate anxiety conditions (stress reactions and adjustment disorders) and anxiety after COVID-19.[5]
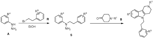
SYN

PAT


REF
- Alzheimer’s disease: Updated multi-targets therapeutics are in clinical and in progressPublication Name: European Journal of Medicinal ChemistryPublication Date: 2022-08-05PMID: 35635955DOI: 10.1016/j.ejmech.2022.114464
- Structure–Activity Relationships and Therapeutic Potentials of 5-HT7Receptor Ligands: An UpdatePublication Name: Journal of Medicinal ChemistryPublication Date: 2018-05-16PMID: 29767995DOI: 10.1021/acs.jmedchem.7b01898
- Serotonin 5-HT6Receptor Antagonists for the Treatment of Cognitive Deficiency in Alzheimer’s DiseasePublication Name: Journal of Medicinal ChemistryPublication Date: 2014-06-03PMID: 24850589DOI: 10.1021/jm5003952
- Synthesis and biological activity of 5-styryl and 5-phenethyl-substituted 2,3,4,5-tetrahydro-1H-pyrido[4,3-b]indolesPublication Name: Bioorganic & Medicinal Chemistry LettersPublication Date: 2010-01-01PMID: 19945877DOI: 10.1016/j.bmcl.2009.11.037
PAT
- Ligands of 5-ht6 receptors, a pharmaceutical composition, method for the production and use thereofPublication Number: EP-2184064-A2Priority Date: 2006-11-16
- Ligands of 5-ht6 receptors, a pharmaceutical composition, method for the production and use thereofPublication Number: US-2011046368-A1Priority Date: 2006-11-16
- Substituted 2,3,4,5-tetrahydro-1h-pyrido[4,3-b]indoles, methods for the production and use thereofPublication Number: AU-2008236872-A1Priority Date: 2007-04-05
- Substituted 2,3,4,5-tetrahydro-1h-pyrido[4,3-b]indoles, methods for the production and use thereofPublication Number: WO-2008123796-A2Priority Date: 2007-04-05
- Substituted 2,3,4,5-Tetrahyrdo-1H-Pyrido[4,3-B]Indoles, Methods for the Production and Use ThereofPublication Number: US-2010120792-A1Priority Date: 2007-04-05
- Sustituted 2,3,4,5-tetrahydro-1h-pyrido[4,3-b]indoles, methods for use thereofPublication Number: US-2013217703-A1Priority Date: 2007-04-05
- Ligands of 5-ht6 receptors, a pharmaceutical composition, method for the production and use thereofPublication Number: WO-2008060190-A2Priority Date: 2006-11-16



AS ON OCT2025 4.511 LAKHS VIEWS ON BLOG WORLDREACH AVAILABLEFOR YOUR ADVERTISEMENT

join me on Linkedin
Anthony Melvin Crasto Ph.D – India | LinkedIn
join me on Researchgate
RESEARCHGATE

join me on Facebook
Anthony Melvin Crasto Dr. | Facebook
join me on twitter
Anthony Melvin Crasto Dr. | twitter
+919321316780 call whatsaapp
EMAIL. amcrasto@gmail.com

References
- Ivachtchenko V, Ivanenkov Y (2013). “Small Molecule 5-HT6R Ligands: A Comprehensive Insight into their Selectivity and Activity”. Current Bioactive Compounds. 9 (1): 64–100. doi:10.2174/1573407211309010007. ISSN 1573-4072.
- Griebel G, Holmes A (September 2013). “50 years of hurdles and hope in anxiolytic drug discovery”. Nature Reviews. Drug Discovery. 12 (9): 667–87. doi:10.1038/nrd4075. PMC 4176700. PMID 23989795.
- Benhamú B, Martín-Fontecha M, Vázquez-Villa H, Pardo L, López-Rodríguez ML (September 2014). “Serotonin 5-HT6 receptor antagonists for the treatment of cognitive deficiency in Alzheimer’s disease”. Journal of Medicinal Chemistry. 57 (17): 7160–81. doi:10.1021/jm5003952. PMID 24850589.
- “AVN 101”. AdisInsight. Retrieved 2015-06-10.
- “Aviandr (2,8-dimethyl-5-(2-phenylethyl)-2,3,4,5-tetrahydro-1H-pyrido[4,3-b]indole hydrochloride) film-coated tablets. Full prescribing information”. Russian State Register of Medicines (in Russian). Avineuro Pharmaceuticals, Inc.
External links
| Identifiers | |
|---|---|
| IUPAC name | |
| CAS Number | 1025725-91-0 1061354-48-0 (hydrochloride) |
| ChemSpider | 24643855 |
| UNII | 6MHR5IV28S |
| ChEMBL | ChEMBL592752 |
| CompTox Dashboard (EPA) | DTXSID901032403 |
| Chemical and physical data | |
| Formula | C21H24N2 |
| Molar mass | 304.437 g·mol−1 |
| 3D model (JSmol) | Interactive image |
| SMILES | |
| InChI | |
////////////maritupirdine, serotonin receptor antagonist, antidepressant, AVN-101, AVN 101, CD 008 0045, 6MHR5IV28S
DRUG APPROVALS BY DR ANTHONY MELVIN CRASTO
.....










