

Napazimone
CAS 1800405-30-4
MF C14H12N2O2 MW240.26 g/mol
2-(propan-2-yl)-1H-naphtho[1,2-d]imidazole-4,5-dione
NAD(P)H dehydrogenase [quinone] 1 (NQO1) activator, KL 1333, KL-1333, NA2ZOL5UGM
Napazimone (also known as KL1333) is an investigational small molecule drug currently being developed for the treatment of primary mitochondrial disease. It is an orally available modulator that aims to improve energy production in patients with rare genetic conditions affecting mitochondrial DNA (mtDNA).
Mechanism of Action
According to ProbeChem.com and Synapse, Napazimone works through the following mechanisms:
- NAD+ Modulation: It increases intracellular levels of NAD+ by reacting with the enzyme NQO1, which helps shift the NAD+/NADH ratio.
- Signaling Pathway Activation: The drug activates the SIRT1/AMPK/PGC-1α signaling network, which is critical for regulating mitochondrial biogenesis and function.
- Mitochondrial Improvement: In laboratory studies using MELAS (Mitochondrial Encephalomyopathy, Lactic Acidosis, and Stroke-like episodes) fibroblasts, the compound increased ATP levels and decreased harmful reactive oxygen species (ROS) and lactate.
Clinical Development and Indications
Napazimone is being developed by Pharming Group for adult patients with primary mitochondrial disease, a condition often characterized by extreme fatigue and muscle weakness.
- Trial Status: As of early 2026, the drug is in Phase II/III clinical trials.
- FALCON Trial: A pivotal study known as the FALCON trial is currently ongoing, with a data readout expected in 2027.
- Potential Indications: It is primarily being investigated for mtDNA-driven mitochondrial diseases and has shown potential in research for protecting against hearing loss (ototoxicity) caused by chemotherapy drugs like cisplatin.
Chemical Properties
The following specifications are provided by Inxight Drugs and PubChem:
- Chemical Name: 2-isopropyl-3H-naphtho[1, 2-d]imidazole-4,5-dione.
- Molecular Formula: C14H12N2O2.
- Molecular Weight: 240.26 g/mol.
Would you like more information on the FALCON clinical trial or details about the mitochondrial diseases Napazimone is intended to treat?
- Efficacy of KL1333 in Adult Patients With Primary Mitochondrial DiseaseCTID: NCT05650229Phase: Phase 2Status: RecruitingDate: 2025-10-09
- A Phase Ia/Ib, SAD and MAD Study of of KL1333 in Healthy Subjects and Patients With Primary Mitochondrial DiseaseCTID: NCT03888716Phase: Phase 1Status: CompletedDate: 2021-10-20
- Drug-drug Interaction Study of KL1333 in Healthy SubjectsCTID: NCT04643249Phase: Phase 1Status: CompletedDate: 2021-10-20
- Safety, Tolerability and Pharmacokinetic Study of KL1333 in Healthy Male VolunteersCTID: NCT03056209Phase: Phase 1Status: CompletedDate: 2018-04-27
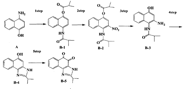
SYN
Example 1 [Synthesis of Compound 1]: 2-isopropyl-lH-naphtho [2, l-d] imidazole-4,5-dione

1) IStep Pyridine (5 ml) is added to compound A (4-amino-1 -naphthol hydrochloride, 500 mg, 2.55 mmol), and the ice bath is dehydrated and cooled. This is followed by dropwise isobutyric anhydride (1.7 ml, 10.2 mmol). The reaction product is stirred for 2.5 hours at the same temperature. The reactants are quenched with methanol and concentrated under reduced pressure to remove any pyridine. After adding EA and distilled water, adjust pH to about 6.5 with 1 N HC1 solution, and then wash the organic layer several times to remove the remaining pyridine. The organic layer was dried over Na 2 S0 4 , filtered and concentrated under reduced pressure. The concentrated reaction product was purified by silica gel column chromatography to obtain compound B-1 (686 mg, 90%).
2) 2Step
Add Acetic anhydride (3 ml) to Compound B-1 (300 mg, 1.00 mmol) and dropwise fuming nitric acid (0.20 ml, 2.00 mmol) at 0 ° C. The reaction product is stirred for 1 hour and then filtered. The filtered solid is then washed several times with Hexane with compound B-2. compound B-2 (217 mg, 63%).
1 H NMR (300 MHz, Acetone-d 6 ) δ 9.55 (s, IH), 8.33 (d, J = 6.6 Hz, IH), 8.06 (d, J = 6.2 Hz, IH), 7.86 (s, IH), 7.81-7.73 (m, 2H), 3.16-3.07 (m, IH), 2.96-2.87 (m, IH), 1.41 (d, J-7.0 Hz, 6H), 1.25 (d, J-7.0 Hz, 6H)
3) 3 Step
Compound B-2 (500 mg, 1.45 mmol) is dissolved in ethanol (5 ml), and then Pd / C (50 mg) and Hydrazine (0.29 ml, 5.81 mmol) are added in this order. The reaction is allowed to react for 1 hour at 70 degrees. The reaction product is cooled to room temperature and the Pelite / C is removed by celite filter. The filtrate is concentrated under reduced pressure and purified by silica gel column chromatography to obtain compound B-3 (232 mg, 51%).
MR NMR (300 MHz, CD 3 OD) δ 8.02 (d, J = 8.4 Hz, IH), 7.50 (d, J = 8.0 Hz, IH), 7.35 (t, J-8.0 Hz, IH), 7.13 (t, J = 8.1 Hz, IH), 6.47 (s, IH), 2.85-2.83 (m, IH), 1.31 (d, J = 7.0 Hz, 6H)
LC-MS m / z 245.1 (M + l)
4) 4Step
Acetic acid (15 ml) is added to Compound B-3 (700 mg, 2.86 mmol), and the mixture is stirred and refluxed for 3 hours. Acetic acid is removed by concentration under reduced pressure, and purified by silica gel column chromatography to obtain compound B-4 (575 mg, 89%) ¾-
MR NMR (300 MHz, CD 3 OD) δ 8.30 (d, J = 8.4 Hz, 2H), 7.60 (t, J = 8.0 Hz, IH), 7.47
(t, J = 8.1 Hz, IH), 6.99 (s, IH), 3.35-3.28 (m, IH), 1.46 (d, J = 7.0 Hz, 6H)
LC-MS m / z 227.0 (M + l)
5) 5 Step
Dissolve DMF (2.5 ml) in Compound B-4 (50 mg, 0.22 mmol), and add IBX (159 mg, 0.26 mmol). The reaction is reacted at room temperature for 1 hour. After adding EA, the organic layer is washed with NaHC0 3 saturated aqueous solution. The separated organic layer was dried over MgS0 4 and filtered. The filtrate was concentrated under reduced pressure and purified by column chromatography to obtain compound B-5 (47 mg, 89%).
1 H NM (300 MHz, CDC1 3 ) δ 9.96 (NH, s, IH), 8.06 (d, J = 7.7 Hz, IH), 7.99 (d, J = 7.7 Hz, IH), 7.65 (t, J = 7.7 Hz, IH), 7.44 (t, J = 7.7 Hz, IH), 3.26-3.17 (m, IH), 1.45 (d, j = 7.0 Hz, 6H)
PAT
1,2-naphthoquinone based derivative and method of preparing the same
Publication Number: US-10766882-B2
Priority Date: 2013-12-30
Grant Date: 2020-09-08
- 1,2-naphthoquinone based derivative and method of preparing the samePublication Number: US-2016376258-A1Priority Date: 2013-12-30
- 1,2-naphthoquinone based derivative and method of preparing the samePublication Number: CA-2935317-CPriority Date: 2013-12-30Grant Date: 2022-11-22
- 1,2-naphthoquinone derivative and method for preparing samePublication Number: EP-3091003-B1Priority Date: 2013-12-30Grant Date: 2025-06-04
- 1,2-naphthoquinone derivative and method for preparing samePublication Number: EP-4582424-A2Priority Date: 2013-12-30
- 1, 2-naphthoquinone derivative and preparation method thereofPublication Number: CN-105992759-BPriority Date: 2013-12-30Grant Date: 2020-10-30



AS ON OCT2025 4.511 LAKHS VIEWS ON BLOG WORLDREACH AVAILABLEFOR YOUR ADVERTISEMENT

join me on Linkedin
Anthony Melvin Crasto Ph.D – India | LinkedIn
join me on Researchgate
RESEARCHGATE

join me on Facebook
Anthony Melvin Crasto Dr. | Facebook
join me on twitter
Anthony Melvin Crasto Dr. | twitter
+919321316780 call whatsaapp
EMAIL. amcrasto@gmail.com

////////////napazimone, NAD(P)H dehydrogenase [quinone] 1 (NQO1) activator, KL 1333, KL-1333, NA2ZOL5UGM
DRUG APPROVALS BY DR ANTHONY MELVIN CRASTO
.....
