

Nacresertib
CAS 2629977-59-7
MF C22H26N4O4, 410.5 g/mol
N-[2-(4-hydroxy-4-methylcyclohexyl)-6-methoxyindazol-5-yl]-6-methyl-1-oxidopyridin-1-ium-2-carboxamide
2-({2-[(1r,4r)-4-hydroxy-4-methylcyclohexyl]-6-methoxy-2H-indazol-5-yl}carbamoyl)-6-methylpyridine
1-oxide
serine/threonine kinase inhibitor, MB3QBD4BE7,
SYN
Example 1: Synthesis of Compound 001

ynthesis of compound 001, namely 2-((2-(trans-4-hydroxy-cis-4-methylcyclohexyl)-6-methoxy-2H-indazol-5-yl)carbamoyl)-6-methylpyridine 1-oxide [0133]
[0134]Cesium carbonate (985 mg) was added to 5 mL of a DMF solution containing compound 12 (300 mg) and compound 5 (344 mg) at 25°C. The reaction mixture was stirred at 90°C for 16 hours. The reaction mixture was then added to 30 mL of water and extracted with ethyl acetate (10 mL * 3). The organic phase was concentrated under reduced pressure, and the residue was purified by preparative high-performance liquid chromatography (HPLC) using a column (CH3CN :
H2O ( 0.1 % NH4HCO3 ) = 15-45%, UV: 214 nm, flow rate: 15 mL/min) to obtain compound 001 (70 mg, yield 17%).[0135]
1 H NMR (400MHz, DMSO-d6): δ14.16(s,1H),8.78(s,1H),8.34(s,1H),8.32-8.30(m,1H),7.77(d,J=7.6Hz,1H),7.58(t,J=8.0Hz,1H),7.13(s,1 H),4.45(s,1H),4.43-4.40(m,1H),3.95(s,3H),2.53(s,3H),2.09-2.00(m,4H),1.68-1.58(m,4H),1.22(s,3H).LCMS: Rt=3.646min,[M+H] + =411.1.
SYN
2-((2-(trans-4-hydroxy-cis-4-methylcyclohexyl)-6-methoxy-2H-indazol-5-yl)carbamoyl)-6-methylpyridine 1-oxide as shown in the following formula:


[0257](1) Synthesis of compound 3
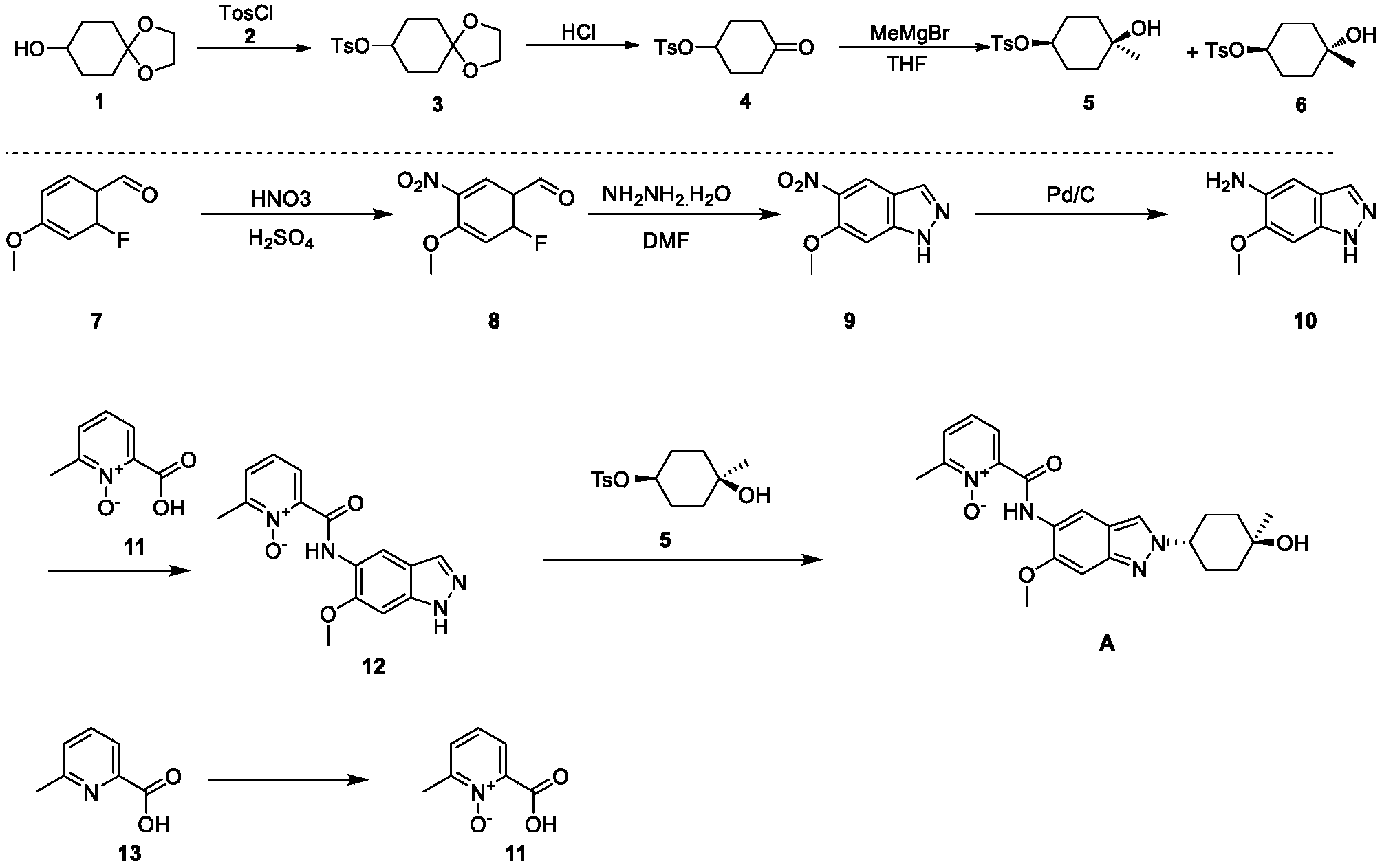
[0258]DMAP (42.5 g), compound 2 (63.4 g), and triethylamine (63.9 g) were added sequentially to a 500 mL solution of compound 1 (50 g) in dichloromethane at 15°C, and the mixture was stirred at 25°C for 18 hours. Dichloromethane (200 mL) was added to the reaction mixture, followed by washing with water (300 mL × 2), then with 1 M dilute hydrochloric acid (300 mL × 3). The organic phase was dried over anhydrous sodium sulfate, filtered, and concentrated under reduced pressure to obtain 98 g of a yellow solid, yield: 99% (i.e., compound 3).
[0259](2) Synthesis of compound 4
[0260]1M dilute hydrochloric acid (300 mL) was added to a tetrahydrofuran solution (50 g) of compound 3 at 15°C, and the mixture was stirred at 25°C for 20 hours. The mixture was cooled to 0°C. The pH was adjusted to 9 with 1M sodium hydroxide solution. Extraction was performed with ethyl acetate (200 mL × 3). The extract was washed with saturated sodium chloride solution (300 mL). The solution was dried over anhydrous sodium sulfate. The mixture was filtered. The solution was concentrated under reduced pressure, and the residue was slurried with petroleum ether (150 mL) to give 39 g of a white solid, 91% yield (i.e., compound 4).
[0261](3) Synthesis of compounds 5 & 6
[0262]At -40°C, a tetrahydrofuran solution (200 mL) of compound 4 (34.5 g) was added dropwise to a tetrahydrofuran solution (500 mL) of methyl magnesium bromide (85.8 mL). The mixture was stirred at -40°C for 4 hours. The reaction was quenched with a saturated ammonium chloride solution (100 mL). The mixture was extracted with ethyl acetate (500 mL × 3). The extract was washed with saturated brine (300 mL), dried over anhydrous sodium sulfate, filtered, concentrated under reduced pressure, and the residue was purified by silica gel column chromatography (petroleum ether: ethyl acetate = 5:1) to give a colorless oily compound 5 (4.3 g, 10%), a colorless oily compound 6 (7.0 g, 17%), and a mixture of 12 g.
[0264]
1H NMR (400MHz,CDCl3 ) : δ7.79(d,J=8.0Hz,2H), 7.32(d,J=8.4Hz,2H), 4.52-4.41(m,1H), 2.44(s,3H), 1.95-1.80(m,2H), 1.77-1.61(m,4H), 1.46-1.35(m,2H), 1.19(s,3H).
[0266]
1H NMR (400MHz,CDCl3 ) : δ7.79(d,J=8.4Hz,2H), 7.33(d,J=8.0Hz,2H), 4.74-4.64(m,1H), 2.44(s,3H), 1.92-1.79(m,2H), 1.77-1.62(m,4H), 1.49-1.38(m,2H), 1.23(s,3H).
[0267](4) Synthesis of compound 8
[0268]A mixture of concentrated sulfuric acid (1.6 mL, 98%) and nitric acid (1.6 mL, 70%) was added dropwise to a solution of compound 7 (2.0 g) in concentrated sulfuric acid (12 mL, 98%) at -15°C. After the addition was complete, the mixture was stirred at -15°C for 2 hours. The reaction solution was then slowly poured into ice water and stirred for 5 minutes. The mixture was filtered, washed with water, and the solid was collected and dried under reduced pressure to give 2.5 g of a yellow solid, yield: 97% (i.e., compound 8).
[0269](5) Synthesis of compound 9
[0270]Hydrazine hydrate (2.4 mL, 98%) was added to a DMF (20 mL) solution of compound 8 (2.0 g) at room temperature. After the addition was complete, the mixture was heated to 120 °C and stirred for 16 hours. After cooling to room temperature, the mixture was slowly poured into ice water and stirred. The mixture was filtered, the solid was washed with water, and the solid was collected and concentrated under reduced pressure to obtain 1.3 g of yellow solid. Yield: 67% (i.e., compound 9).
[0271](6) Synthesis of compound 10
[0272]Compound 9 (12.4 g) and palladium on carbon (7 g, 10%) were added sequentially to 400 mL of ethyl acetate at 15°C. After the addition was complete, the mixture was stirred for 18 hours under hydrogen protection at 15°C. The palladium on carbon was filtered off from the reaction solution, and the filtrate was concentrated and evaporated to dryness to obtain 10.4 g of white solid product, with a yield of 99% (i.e., compound 10).
[0273](7) Synthesis of compound 12
[0274]EDCI.HCl (2.6 g) was added to a Py (15 mL) solution of compound 10 (1.5 g) and compound 11 (1.4 g) at 25°C. The reaction mixture was stirred at 25°C for 16 hours. The reaction mixture was concentrated and evaporated to dryness. The residue was slurried by passing MeOH/H₂O ( 20 mL/20 mL) to obtain 1.3 g of a yellow solid product, with a yield of 48% (i.e., compound 12).
[0275](8) Synthesis of compound A
[0276]

[0277]Cesium carbonate (985 mg) was added to 5 mL of a DMF solution containing compound 12 (300 mg) and compound 5 (344 mg) at 25°C. The reaction mixture was stirred at 90°C for 16 hours. The reaction mixture was then added to 30 mL of water and extracted with ethyl acetate (10 mL × 3). The organic phase was concentrated under reduced pressure, and the residue was purified by preparative high-performance liquid chromatography (HPLC) using a column (CH3CN :
H2O (
0.1 % NH4HCO3
) = 15-45%, UV: 214 nm, Flowrate: 15 mL/min) to obtain 70 mg of a yellow solid, with a yield of 17% (i.e., compound A).
[0278]
1H NMR(400MHz,DMSO-d6):δ14.16(s,1H),8.78(s,1H),8.34(s,1H),8.32-8.30(m,1H),7.77(d,J=7.6Hz,1H),7.58(t,J=8.0Hz,1H),7.13(s,1H),4.45(s,1H),4.43-4.40(m,1H),3.95(s,3H),2.53(s,3H),2.09-2.00(m,4H),1.68-1.58(m,4H),1.22(s,3H).LCMS:Rt=3.646min,[M+H] +=411.1.
PAT
- Irak inhibitor and preparation method therefor and use thereofPublication Number: EP-4015513-B1Priority Date: 2019-09-24Grant Date: 2023-11-01
- An IRAK inhibitor and its preparation method and usePublication Number: CN-114391013-BPriority Date: 2019-09-24Grant Date: 2024-01-26
- Irak inhibitor and preparation method therefor and use thereofPublication Number: US-2022298139-A1Priority Date: 2019-09-24
- A kind of IRAK inhibitor and its preparation method and usePublication Number: CN-114391013-APriority Date: 2019-09-24
- A kind of polymorphic form of compound and its preparation method and applicationPublication Number: CN-115109035-APriority Date: 2021-03-19
- Polymorphic forms of compound and preparation method therefor and application thereofPublication Number: EP-4310080-A1Priority Date: 2021-03-19
- Polymorphic forms of compound and preparation method therefor and application thereofPublication Number: US-2024182443-A1Priority Date: 2021-03-19
- Preparation method for fused pyrazole-type compoundPublication Number: US-2023250064-A1Priority Date: 2020-06-23
- An IRAK inhibitor and its preparation method and usePublication Number: CN-118146193-APriority Date: 2019-09-24
- IRAK4 inhibitor composition, and preparation method and application thereofPublication Number: CN-115252609-BPriority Date: 2022-08-01Grant Date: 2023-05-26
- Irak4 inhibitor composition, preparation method therefor and use thereofPublication Number: EP-4566607-A1Priority Date: 2022-08-01
- Composition of IRAK4 inhibitor, preparation method and application thereofPublication Number: CN-115252609-APriority Date: 2022-08-01
- Use of indazoles for treating psoriasisPublication Number: CN-114404415-APriority Date: 2022-02-25
- Use of indazole compound for treating psoriasisPublication Number: US-2025161283-A1Priority Date: 2022-02-25



AS ON OCT2025 4.511 LAKHS VIEWS ON BLOG WORLDREACH AVAILABLEFOR YOUR ADVERTISEMENT

join me on Linkedin
Anthony Melvin Crasto Ph.D – India | LinkedIn
join me on Researchgate
RESEARCHGATE

join me on Facebook
Anthony Melvin Crasto Dr. | Facebook
join me on twitter
Anthony Melvin Crasto Dr. | twitter
+919321316780 call whatsaapp
EMAIL. amcrasto@gmail.com

//////////nacresertib, serine/threonine kinase inhibitor, MB3QBD4BE7,
DRUG APPROVALS BY DR ANTHONY MELVIN CRASTO
.....
