


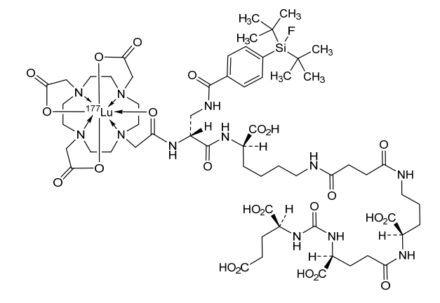
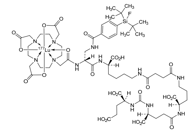
Lutetium (177Lu) tezuvotide tetraxetan
CAS2613239-73-7
MF C60H92F177LuN12O23Si , 1573.5 g/mol
2-[4-[2-[[(2R)-1-[[(1R)-1-carboxy-5-[[4-[[(4R)-4-carboxy-4-[[(4S)-4-carboxy-4-[[(1S)-1,3-dicarboxypropyl]carbamoylamino]butanoyl]amino]butyl]amino]-4-oxobutanoyl]amino]pentyl]amino]-3-[[4-[ditert-butyl(fluoro)silyl]benzoyl]amino]-1-oxopropan-2-yl]amino]-2-oxoethyl]-7,10-bis(carboxylatomethyl)-1,4,7,10-tetrazacyclododec-1-yl]acetate;lutetium-177(3+)

antineoplastic, 177LU-RHPSMA-10.1, RHPSMA-10.1 LUTETIUM LU-177, FJ9Z7Y8MRW
Lutetium (177Lu) tezuvotide tetraxetan ($^{177}$Lu-rhPSMA-10.1) is an experimental radioligand therapy, developed by Bracco, that targets prostate-specific membrane antigen (PSMA) to treat metastatic castration-resistant prostate cancer. It uses a radiohybrid (rh) PSMA molecule, designed to have high binding affinity to PSMA-positive cancer cells and deliver targeted beta-minus radiation.
Key details:
- Mechanism: It binds to PSMA-expressing cells, leading to DNA damage and tumor cell death.
- Target: Prostate-specific membrane antigen (PSMA)-positive metastatic castration-resistant prostate cancer.
- Distinction: It is distinct from the FDA-approved ${177}$Lu-vipivotide tetraxetan (Pluvicto), though it is part of the same class of PSMA-targeted radiopharmaceutical agents.
- Status: It has been tested in clinical trials as a potential therapy for advanced prostate cancer, including studies evaluating its efficacy and safety.
It is important to distinguish between the various PSMA-targeted agents, such as vipivotide tetraxetan, which is approved for use.
Lutetium Lu 177 Tezuvotide Tetraxetan is a radioconjugate composed of PSMA-10.1, a prostate-specific membrane antigen (PSMA)-targeting ligand and radiolabeled with the beta-emitting radioisotope lutetium Lu 177 (177Lu), with potential antineoplastic activity against PSMA-expressing tumor cells. Upon intravenous administration, lutetium Lu 177 tezuvotide tetraxetan targets and binds to PSMA-expressing tumor cells. Upon binding, PSMA-expressing tumor cells are destroyed by 177Lu through the specific delivery of beta particle radiation. PSMA, a tumor-associated antigen (TAA) and type II transmembrane protein, is expressed on the membrane of prostatic epithelial cells and overexpressed on prostate tumor cells as well as a variety of other solid tumors.
An open-label, multicentre, integrated Phase 1 & 2 study to evaluate the safety, tolerability, radiation dosimetry and anti-tumour activity of Lutetium (177Lu) rhPSMA-10.1 injection in men with metastatic castrate-resistant prostate cancer
EudraCT: 2022-002407-37
Phase: Phase 2
Status: Trial now transitioned
Date: 2023-05-22
PAT
https://patents.google.com/patent/WO2024121722A1/en



AS ON OCT2025 4.511 LAKHS VIEWS ON BLOG WORLDREACH AVAILABLEFOR YOUR ADVERTISEMENT

join me on Linkedin
Anthony Melvin Crasto Ph.D – India | LinkedIn
join me on Researchgate
RESEARCHGATE

join me on Facebook
Anthony Melvin Crasto Dr. | Facebook
join me on twitter
Anthony Melvin Crasto Dr. | twitter
+919321316780 call whatsaapp
EMAIL. amcrasto@gmail.com

//////////////lutetium (177Lu) tezuvotide tetraxetan, antineoplastic, 177LU-RHPSMA-10.1, RHPSMA-10.1 LUTETIUM LU-177, FJ9Z7Y8MRW
DRUG APPROVALS BY DR ANTHONY MELVIN CRASTO
.....
