


Lecufexor
CAS 2247972-61-6
MF C32H21Cl3N2O5 MW619.88
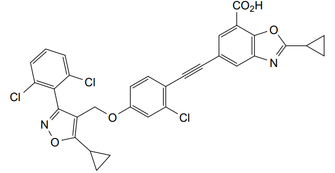
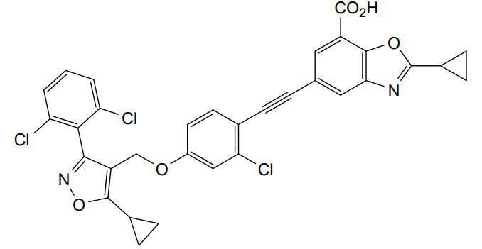
7-Benzoxazolecarboxylic acid, 5-[2-[2-chloro-4-[[5-cyclopropyl-3-(2,6-dichlorophenyl)-4-isoxazolyl]methoxy]phenyl]ethynyl]-2-cyclopropyl-
5-[2-[2-chloro-4-[[5-cyclopropyl-3-(2,6-dichlorophenyl)-1,2-oxazol-4-yl]methoxy]phenyl]ethynyl]-2-cyclopropyl-1,3-benzoxazole-7-carboxylic acid

farnesoid X receptor (FXR) agonist, K3K2F4N8BY, ID 119031166, ID 166
Lecufexor is a farnesoid X receptor (FXR) agonist.
Lecufexor (also known as ID119031166 or ID166) is a potent, selective, and non-steroidal farnesoid X receptor (FXR) agonist. It is primarily studied for its potential in treating liver diseases, particularly Non-Alcoholic Steatohepatitis (NASH) and liver fibrosis.
Key Characteristics and Research
- Mechanism of Action: It acts as an agonist for the farnesoid X receptor, which is a key regulator of bile acid homeostasis, lipid metabolism, and glucose metabolism.
- Therapeutic Potential: Research indicates it can improve NASH and liver fibrosis by modulating the gut-liver axis.
- Safety Profile: Unlike some other FXR agonists, Lecufexor is designed to be intestine-preferential and does not show activity against potential itch receptors (like MRGPRX4), which may help avoid common side effects like pruritus (itching).
Farnesoid X receptor(FXR, NR1H4)is a member of the nuclear hormone receptor superfamily of ligand-activated transcription factors. FXR is highly expressed in the liver, intestine, kidney, adrenal glands, white adipose tissue and in induced during adipocyte differentiation in vitro . (Cariu B. et al., J. Biol. Chem., 2006, 16, 11039-11049)
Not only FXR regulates various physiological processed such as modulates regulrated of bile acid(BA) regulation, lipids/glucose metabolism, inflammation/fibrosis, but recently it has also been linked to the pathology of FXR receptors
This nuclear receptor is the intracellular bile acid ¡“sensor” and its major physiological role is to protect liver cells from the deleterious effect of bile acids(BA) overload. Intestine is the tissue expressing the first FXR target gene identified. Indeed IBAB-P is expressed in enterocytes and binds bile acids, thus limiting the free concentration of BA intracellularly and consequently their toxicity.(Makishima M, et al., Science, 1999, 284(5418), 1362-1365). FXR is highly expressed in the liver and regulates key genes involved in BA synthesis, metabolism and transport including CYP7A1, UGT2B4, BSEP, MDR3, MRP2, ASBT, NTCP, OST α and OST β in humans. One effect of FXR activation is down regulation of CYP7A1 and thus bile acid synthesis; this is accomplished through induction of SHP(Small Heterodimer Partner) which then represses CYP7A1 transcription(Claude T, et al., Arterioscler. Thromb. Vasc. Biol., 2005, 25, 2020-2031). Altered expression or malfunction of these genes has been described in patients with cholestatic liver disease. FXR agonist 6-ethyl-chenodeoxycholic acid(6EtCDCA)was found to fully reverse the impairment of bile flow and to protect the hepatocytes against liver cell injury caused by the cytotoxic lithocholic acid.(Pelliciari R, et al., J. Med. Chem., 2002, 45(17), 3569-3572).
SYN

PAT

Manufacturing Example 1. Preparation of 5-((2-chloro-4-((5-cyclopropyl-3-(2,6-dichlorophenyl)isoxazol-4-yl)methoxy)phenyl)ethynyl)-2-cyclopropylbenzo[d]oxazole-7-carboxylic acid (compound of chemical formula 1)[288] [289]
Step 1: Preparation of methyl 5-((2-chloro-4-((5-cyclopropyl-3-(2,6-dichlorophenyl)isoxazol-4-yl)methoxy)phenyl)ethynyl)-2-cyclopropylbenzo[d]oxazole-7-carboxylate[290] [291]4-((3-Chloro-4-ethynylphenoxy)methyl)-5-cyclopropyl-3-(2,6-dichlorophenyl)isoxazole (182 mg, 0.43 mmol), methyl 5-bromo-2-cyclopropylbenzo[d]oxazole-7-carboxylate (117 mg, 0.40 mmol), bis(triphenylphosphine)palladium(II) dichloride (PdCl
2 (PPh
3 )
2 , 14 mg, 0.02 mmol), copper(I) iodide (3.8 mg, 0.02 mmol), and triethylamine (67 μl, 0.48 mmol) were added, and the mixture was stirred at 80°C for 4 hours. The reaction mixture was diluted with ethyl acetate and washed with distilled water. Dried over magnesium sulfate, filtered, concentrated, and purified by silica gel chromatography to obtain the intermediate compound methyl 5-((2-chloro-4-((5-cyclopropyl-3-(2,6-dichlorophenyl)isoxazol-4-yl)methoxy)phenyl)ethynyl)-2-cyclopropylbenzo[d]oxazole-7-carboxylate (121 mg, 48%). [292]
1 H-NMR (CDCl
3 , 400MHz): 8.06(d, 1H), 7.90(d, 1H), 7.43-7.40(m, 3H), 7.36-7.31(m, 1H), 6.88(d, 1H), 6.69(dd,1H), 4.82(s, 2H), 4.00(s, 3H), 2.32-2.24(m, 1H), 2.20-2.12(m, 1H), 1.38-1.33(m, 2H), 1.32-1.27(m, 2H), 1.26-1.23(m, 2H), 1.19-1.15(m, 2H). [293] [294]
Step 2: Preparation of 5-((2-chloro-4-((5-cyclopropyl-3-(2,6-dichlorophenyl)isoxazol-4-yl)methoxy)phenyl)ethynyl)-2-cyclopropylbenzo[d]oxazole-7-carboxylic acid[295] [296]The intermediate compound (120 mg, 0.19 mmol) prepared in the above step 1 and lithium hydroxide (79.4 mg, 1.9 mmol) were combined in the same manner as in step 6 of Example 1 to obtain the target compound (102 mg, 87.4%). [297]
1 H-NMR (DMSO, 400MHz): 13.6(br s, 1H), 7.99(d, 1H), 7.97(d, 1H), 7.87-7.62(m, 2H), 7.57-7.55(m, 2H), 7.09(d, 1H), 6.83(dd, 1H), 4.98(s, 2H), 2.39-2.30(m, 1H), 1.26-1.12(m, 8H).
PAT
- Isoxazole derivatives as nuclear receptor agonists and uses thereofPublication Number: US-2024262799-A1Priority Date: 2017-04-12
- Isoxazole derivatives as nuclear receptor agonists and uses thereofPublication Number: US-10988449-B2Priority Date: 2017-04-12Grant Date: 2021-04-27
- Isoxazole derivatives as nuclear receptor agonists and use thereofPublication Number: RU-2741306-C1Priority Date: 2017-04-12Grant Date: 2021-01-25
- Isoxazole derivatives as nuclear receptor agonists and uses thereofPublication Number: US-2021188790-A1Priority Date: 2017-04-12
- Isoxazole derivatives as nuclear receptor agonists and uses thereofPublication Number: CN-110678450-BPriority Date: 2017-04-12Grant Date: 2023-06-20
- An isoxazole derivatives as nuclear receptor agonists and used thereofPublication Number: AU-2018252880-A1Priority Date: 2017-04-12
- ISOXAZOLE DERIVATIVES AS NUCLEAR RECEPTOR AGONISTS AND THEIR USESPublication Number: HR-P20220026-T1Priority Date: 2017-04-12
- Isoxazole derivatives that are nuclear receptor efficacy agents and their usesPublication Number: JP-6886074-B2Priority Date: 2017-04-12Grant Date: 2021-06-16
- Isoxazole derivatives as nuclear receptor agonists and uses thereofPublication Number: EP-3612520-B1Priority Date: 2017-04-12Grant Date: 2021-11-10
- Isoxazole derivatives as nuclear receptor agonists and uses thereofPublication Number: US-11912674-B2Priority Date: 2017-04-12Grant Date: 2024-02-27
- Isoxazole derivative which is an effector of nuclear receptor and its usePublication Number: JP-2020516697-APriority Date: 2017-04-12
- An isoxazole derivatives as nuclear receptor agonists and used thereofPublication Number: WO-2018190643-A1Priority Date: 2017-04-12
- Isoxazole derivatives as nuclear receptor agonists and uses thereofPublication Number: ES-2904294-T3Priority Date: 2017-04-12Grant Date: 2022-04-04
- An isoxazole derivatives as nuclear receptor agonists and used thereofPublication Number: EP-3612520-A1Priority Date: 2017-04-12
- Isoxazole derivatives as nuclear receptor agonists and uses thereofPublication Number: CN-110678450-APriority Date: 2017-04-12
- Method for preparing isoxazole derivative, and novel intermediate thereforPublication Number: WO-2023090859-A1Priority Date: 2021-11-17
- Preparation method of isoxazole derivatives and intermediates thereofPublication Number: KR-20230072437-APriority Date: 2021-11-17
- Isoxazole derivatives as nuclear receptor agonists and uses thereofPublication Number: US-2020115349-A1Priority Date: 2017-04-12
- Isoxazole derivatives as nuclear receptor agonists and uses thereofPublication Number: CA-3059869-A1Priority Date: 2017-04-12
- pharmaceutical compound and compositionPublication Number: BR-112019021320-A2Priority Date: 2017-04-12
- Novel use of isoxazole derivates and salts thereofPublication Number: TW-202408498-APriority Date: 2022-06-30
- Novel use of isoxazole derivative or salt thereofPublication Number: WO-2024005587-A1Priority Date: 2022-06-30
- Novel crystalline form of isoxazole derivative or salt thereofPublication Number: WO-2024005586-A1Priority Date: 2022-06-30
- Preparation method of isoxazole derivatives and intermediates thereofPublication Number: KR-102740618-B1Priority Date: 2021-11-17Grant Date: 2024-12-10
- Method for preparing isoxazole derivative, and intermediate thereofPublication Number: WO-2023090858-A1Priority Date: 2021-11-17



AS ON OCT2025 4.511 LAKHS VIEWS ON BLOG WORLDREACH AVAILABLEFOR YOUR ADVERTISEMENT

join me on Linkedin
Anthony Melvin Crasto Ph.D – India | LinkedIn
join me on Researchgate
RESEARCHGATE

join me on Facebook
Anthony Melvin Crasto Dr. | Facebook
join me on twitter
Anthony Melvin Crasto Dr. | twitter
+919321316780 call whatsaapp
EMAIL. amcrasto@gmail.com

……
///////lecufexor, farnesoid X receptor (FXR) agonist, K3K2F4N8BY, ID 119031166, ID 166
DRUG APPROVALS BY DR ANTHONY MELVIN CRASTO
.....
