MK ? NGD?
MK 2295; NGD 8243 may be???????
CAS 878811-00-8 FREE FORM
| Molecular Formula: | C27H31FN6O2 |
|---|---|
| Molecular Weight: | 490.572443 g/mol |
6-[(3R)-4-[6-(4-fluorophenyl)-2-[(2R)-2-methylpyrrolidin-1-yl]pyrimidin-4-yl]-3-methylpiperazin-1-yl]-5-methylpyridine-3-carboxylic acid
6-{4-[6-(4-Fluoro-phenyl)-2-(2-methyl-pyrrolidin-1-yl)-pyrimidin-4-yl]-3-(R)-methyl-piperazin-1-yl}-5-methyl-nicotinic acid
3-Pyridinecarboxylic acid, 6-[(3R)-4-[6-(4-fluorophenyl)-2-[(2R)-2-methyl-1-pyrrolidinyl]-4-pyrimidinyl]-3-methyl-1-piperazinyl]-5-methyl-
Neurogen Corp INNOVATOR
MESYLATE
CAS 1855897-95-8
6-((R)-4-(6-(4-Fluorophenyl)-2-((R)-2-methylpyrrolidin-1-yl)pyrimidin-4-yl)-3-methylpiperazin-1-yl)-5-methylnicotinic acid methanesulfonic acid salt
white solid. 1H NMR (CD3OD, 400 MHz) δ 1.37 (d, 3H, J= 6.4 Hz), 1.48 (d, 3H, J = 6.7 Hz), 1.84 (m, 1H), 2.09 (m, 1H), 2.17–2.25 (m, 2H), 2.42 (s, 3H), 2.66 (s, 3H), 3.10 (dt, 1H, J = 12.3 and 3.3 Hz), 3.28 (dd, 1H, J = 13.1 and 3.7 Hz), 3.65–3.72 (m, 3H), 3.78 (m, 1H), 3.87 (m, 1H), 4.49 (m, 1H), 4.63 (m, 3H), 4.96 (br m, 1H), 6.61 (s, 1H), 7.32 (m, 2H), 7.82 (m, 2H), 8.05 (m, 1H), 8.69 (d, 1H, J = 1.9 Hz);
13C NMR (CD3OD, 125 MHz) δ 19.4, 24.5, 33.5, 39.6, 41.5, 48.6, 50.0, 50.9, 54.1, 56.9, 94.8, 117.3 (d, J = 22.5 Hz), 122.1, 125.0, 130.1 (d, J = 3.3 Hz), 131.8 (d, J = 8.9 Hz), 142.1, 148.7, 153.1, 153.3, 162.4, 165.4, 166.4, (d, J = 251.3 Hz), 168.8;
19F NMR (CD3OD, 470 MHz) δ −108.6.
Anal. Calcd For C28H35FN6O5S: C, 57.32; H, 6.01; N, 14.32. Found: C, 57.34; H, 6.13; N, 14.29.
Activated by a wide range of stimuli such as capsaicin, acid, or heat, the transient receptor potential vanilloid-1 (TRPV1) has been identified as a potential treatment for chronic pain.TRPV1 is a highly characterized member of the TRP cation channel family believed to be involved in a number of important biological roles and plays a role in the transmission of pain.TRPV1 activation inhibits the transition of pain signals from the periphery to the central nervous system (CNS), leading to the possible development of analgesic and anti-inflammatory agents. TRPV1 antagonists have also been evaluated in multiple clinical trials where hyperthermic effects seen preclinically are also observed in humans
PATENT
http://www.google.com.na/patents/US20110003813
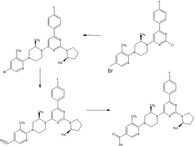
6-{4-[6-(4-Fluoro-phenyl)-2-(2-methyl-pyrrolidin-1-yl)-pyrimidin-4-yl]-3-(R)-methyl-piperazin-1-yl}-5-methyl-nicotinic acid 1. 1-(5-Bromo-3-methyl-pyridin-2-yl)-3-(R)-methyl-piperazine
-
Heat a solution of 2,5-dibromo-3-methyl-pyridine (Chontech Inc., Waterford, Conn.) (2.0 g, 7.97 mmol), (R)-2-methyl-piperazine (ChemPacific Corp., Baltimore, Md.; 3.2 g, 31.9 mmol) in DMA at 130° C. for 16 h. Partition the reaction mixture between water and EtOAc. Wash the EtOAc layer with water (1×) and brine (1×), dry (Na2SO4) and concentrate under reduced pressure to give 1-(5-bromo-3-methyl-pyridin-2-yl)-3-(R)-methyl-piperazine as a solid.
2. 2,4-dichloro-6-(4-fluorophenyl)pyrimidine
-
Dissolve 4-fluorobromobenzene (8.75 g, 0.05 moles) in anhydrous ether (80 mL) under nitrogen atmosphere and cool to −78° C. Add dropwise 1.6 M n-BuLi (34 mL, 0.055 moles) and stir at −78° C. for 45 min. Dissolve 2,4-dichloropyrimidine (7.45 g, 0.05 moles) in Et2O (100 mL) and add dropwise to the reaction mixture. Warm the reaction mixture to −30° C. and stir at this temperature for 30 min followed by 0° C. for 30 min. Quench the reaction mixture with AcOH (3.15 mL, 0.055 moles) and water (0.5 mL, 0.027 moles) dissolved in THF (5.0 mL). Add dropwise a THF (40 mL) solution of DDQ (11.9 g, 0.053 moles) to the reaction mixture. Bring the reaction mixture to room temperature and stir at room temperature for 30 min. Cool the reaction mixture to 0° C., add 3.0 N aq. NaOH (35 mL) and stir for 30 min. Decant the organic layer from the reaction mixture and wash the brown solid with Et2O (3×100 mL). Combine the organic layers, wash several times with saturated NaCl solution and dry with MgSO4. Filter and evaporate under vacuum to afford a brown colored solid. Purify by flash column chromatography using 5% EtOAc/hexane to afford the title product as a white solid.
3. 4-[4-(5-Bromo-3-methyl-pyridin-2-yl)-2-(R)-methyl-piperazin-1-yl]-2-chloro-6-(4-fluoro-phenyl)-pyrimidine
-
Heat a mixture of 2,4-dichloro-6-(4-fluoro-phenyl)-pyrimidine (6.0 g, 24.7 mmol), 1-(5-bromo-3-methyl-pyridin-2-yl)-3-(R)-methyl-piperazine (7.0 g, 25.9 mmol) and K2CO3 (6.8 g, 49.4 mmol) in DMA at 60° C. for 16 h. Partition the mixture between EtOAc and water, dry (Na2SO4) the organic layer and concentrate under reduced pressure. Purify with flash silica gel column eluting with 15% EtOAc/hexanes. Concentrate under reduced pressure to give the title compound.
4. 4-[4-(5-Bromo-3-methyl-pyridin-2-yl)-2-(R)-methyl-piperazin-1-yl]-6-(4-fluoro-phenyl)-2-(2-(R)-methyl-pyrrolidin-1-yl)-pyrimidine
-
Heat a mixture of 4-[4-(5-bromo-3-methyl-pyridin-2-yl)-2-(R)-methyl-piperazin-1-yl]-2-chloro-6-(4-fluoro-phenyl)-pyrimidine (7.7 g, 16.2 mmol), (R)-2-methylpyrrolidine hydrobromide [prepared essentially as described by Nijhuis et. al. (1989) J. Org. Chem. 54(1):209] (3.5 g, 21.1 mmol) and K2CO3 (5.1 g, 37.3 mmol) in DMA at 110° C. for 16 h. Partition the mixture between EtOAc and water, dry (Na2SO4) the organic layer and concentrate under reduced pressure. Purify with flash silica gel column eluting with 10% EtOAc/hexanes. Concentrate under reduced pressure to give the title compound.
-
5. 6-{4-[6-(4-Fluoro-phenyl)-2-(2-methyl-pyrrolidin-1-yl)-pyrimidin-4-yl]-3-(R)-methyl-piperazin-1-yl}-5-methyl-nicotinonitrile
-
To a mixture of 4-[4-(5-bromo-3-methyl-pyridin-2-yl)-2-(R)-methyl-piperazin-1-yl]-6-(4-fluoro-phenyl)-2-(2-methyl-pyrrolidin-1-yl)-pyrimidine (700 mg, 1.33 mmol) and Zn(CN)2 (94 mg, 0.799 mmol) in DMF, add Pd(PPh3)4 (77 mg, 0.067 mmol). Purge the reaction mixture for 10 min with dry N2. Heat the stirring reaction mixture overnight at 80° C., cool to room temperature and partition between water and EtOAc. Dry the solution (Na2SO4), concentrate under reduced pressure. Purify the residue by flash column eluting with EtOAc-Hexanes (1:1) to afford the title compound as a white solid.
-
6. 6-{4-[6-(4-Fluoro-phenyl)-2-(2-methyl-pyrrolidin-1-yl)-pyrimidin-4-yl]-3-(R)-methyl-piperazin-1-yl}-5-methyl-nicotinic acid
-
Heat a solution of 6-{4-[6-(4-fluoro-phenyl)-2-(2-methyl-pyrrolidin-1-yl)-pyrimidin-4-yl]-3-(R)-methyl-piperazin-1-yl}-5-methyl-nicotinonitrile (100 mg, 0.212 mmol) in 12 M HCl for 3 hours at 90° C. Concentrate the mixture under reduced pressure. Add a small amount of water, adjust the pH to 6-7, and collect the resulting white precipitate to afford the title compound as a off-white solid. 1H NMR (300 MHz, DMSO-d6): δ 1.24 (m, 6H, 2×CH3)); 1.61 (m, 1H,); 1.84 (m, 1H); 1.98 (m, 2H); 2.34 (s, 3H, Ar—CH3); 2.91 (m, 1H); 3.08 (m, 1H); 3.26 (m, 2H); 3.56 (m, 2H); 3.74 (m, 1H); 4.21 (m, 1H); 4.35 (m, 1H); 4.74 (m, 1H); 6.57 (s, 1H); 7.26 (m, 2H); 7.91 (d, 1H, J=3 Hz); 8.15 (m, 2H); 8.60 (d, 1H, J=3 Hz).
END…………………
MESYLATE NMR
1H NMR (CD3OD, 400 MHz) δ 1.37 (d, 3H, J= 6.4 Hz), 1.48 (d, 3H, J = 6.7 Hz), 1.84 (m, 1H), 2.09 (m, 1H), 2.17–2.25 (m, 2H), 2.42 (s, 3H), 2.66 (s, 3H), 3.10 (dt, 1H, J = 12.3 and 3.3 Hz), 3.28 (dd, 1H, J = 13.1 and 3.7 Hz), 3.65–3.72 (m, 3H), 3.78 (m, 1H), 3.87 (m, 1H), 4.49 (m, 1H), 4.63 (m, 3H), 4.96 (br m, 1H), 6.61 (s, 1H), 7.32 (m, 2H), 7.82 (m, 2H), 8.05 (m, 1H), 8.69 (d, 1H, J = 1.9 Hz);
13C NMR (CD3OD, 125 MHz) δ 19.4, 24.5, 33.5, 39.6, 41.5, 48.6, 50.0, 50.9, 54.1, 56.9, 94.8, 117.3 (d, J = 22.5 Hz), 122.1, 125.0, 130.1 (d, J = 3.3 Hz), 131.8 (d, J = 8.9 Hz), 142.1, 148.7, 153.1, 153.3, 162.4, 165.4, 166.4, (d, J = 251.3 Hz), 168.8;
19F NMR (CD3OD, 470 MHz) δ −108.6.
PATENT
http://www.google.ga/patents/WO2006026135
Scheme 1
Scheme 3
Scheme 4
Scheme 5
Scheme 6
Scheme 7
Scheme 8
Scheme 9
Scheme 10
Scheme 14
Scheme 15
Scheme 16
Scheme 17
Scheme 18
Scheme 19
Scheme 20
In
6-{4-[6~(4-Fluoro-phenyl)-2-(2~methyl-pyrrolidin-l-yl)-pyrimidin-4-yl]-3-(R)-met}τyl- piperazin-l-yl}-5-methyl-nicotinic acid
Heat a solution of 6-{4-[6-(4-fluoro-phenyl)-2-(2-methyl-pyrrolidin-l-yl)-pyrimidin-4-yl]- 3-(R)-methyl-piperazin-l-yl}-5-methyl-nicotinonitrile (100 mg, 0.212 mmol) in 12 M HCl for 3 hours at 9O0C. Concentrate the mixture under reduced pressure. Add a small amount of water, adjust the pH to 6-7, and collect the resulting white precipitate to afford the title compound as a off-white solid. 1H NMR (300 MHz, DMSO-d6): δ 1.24 (m, 6H, 2xCH3)); 1.61 (m, 1Η,); 1.84 (m, 1Η); 1.98 (m, 2Η); 2.34 (s, 3H, Ar-CH3); 2.91 (m, 1Η); 3.08 (m, 1Η); 3.26 (m, 2Η); 3.56 (m, 2H); 3.74 (m, IH); 4.21 (m, IH); 4.35 (m, IH); 4.74 (m, IH); 6.57 (s, IH); 7.26 (m, 2H); 7.91 (d, IH, J = 3Hz); 8.15 (m, 2H); 8.60 (d, IH, J = 3Hz).
PAPER
Development of a Multikilogram Scale Synthesis of a TRPV1 Antagonist
Abstract

A highly efficient, regioselective five-step synthesis of the TRPV1 antagonist 1 is described. The coupling of piperazine 7 with dichloropyrimidine 8 proceeded via a regioselective Pd-mediated amination affording product 11 in excellent yield. Conversion of the penultimate product 14 afforded 1 through formation of a magnesium ate complex and trapping with CO2.
http://pubs.acs.org/doi/suppl/10.1021/acs.oprd.5b00388/suppl_file/op5b00388_si_001.pdf
| Patent | Submitted | Granted |
|---|---|---|
| Substituted biaryl piperazinyl-pyridine analogues [US7662830] | 2006-06-08 | 2010-02-16 |
| SUBSTITUTED BIARYL PIPERAZINYL-PYRIDINE ANALOGUES [US2011003813] | 2011-01-06 |
Blum, C. A.; Brielmann, H.; Chenard, B. L.; Zheng, X. Preparation of substituted biaryl piperazinyl-pyridine analogues as capsaicin modulators. PCT Int. Appl. WO 2006026135 A2 20060309, 2006.
Neurogen and Merck Agreement for Next-Generation Pain Drugs Consummated
| Source | Press Release |
| Company | Neurogen, Merck & Co |
| Tags | Central Nervous System, Research Collaboration |
| Date | January 16, 2004 |
Branford, CT — January 16, 2004 — Neurogen Corporation (Nasdaq: NRGN) today announced that it has consummated its previously announced alliance with Merck & Co ., Inc. (NYSE: MRK) to discover and develop next-generation drugs for the treatment of pain. The deal received clearance from the Federal Trade Commission under the Hart-Scott-Rodino Act and the companies have now commenced the collaboration. The alliance, announced December 1, 2003, enables Merck , through a subsidiary, and Neurogen to pool drug candidates targeting the vanilloid receptor (VR1 ), a key integrator of pain signals in the nervous system, and combine their ongoing VR1 programs to form a global research and development collaboration.
With consummation of the deal, Neurogen has received $30 million from Merck , including a $15 million up-front license fee payment and a $15 million equity investment in Neurogen common stock. Under the agreement, Merck has purchased 1,783,252 shares of newly issued Neurogen common stock at $8.41 per share, the average market price per share for the 25 trading days preceding regulatory clearance. Merck ‘s new shareholder position represents approximately 9% of Neurogen ‘s 19,873,464 total shares outstanding.
About Neurogen
Neurogen Corporation targets new small molecule drugs to improve the lives of patients suffering from disorders with significant unmet medical need. Neurogen has generated a portfolio of compelling new drug candidates through its Accelerated Intelligent Drug Discovery (AIDD(TM)) system, its expertise in cellular functional assays, and its depth in medicinal chemistry. Neurogen conducts its research and development independently and, when advantageous, collaborates with world-class pharmaceutical companies to obtain additional resources and to access complementary expertise.
////////
n1c(nc(cc1c2ccc(cc2)F)N3CCN(C[C@H]3C)c4ncc(cc4C)C(=O)O)N5CCC[C@H]5C
DRUG APPROVALS BY DR ANTHONY MELVIN CRASTO
.....
























