


Mevrometostat
CAS 1844849-10-0
MF C22H24Cl2N2O5 MW467.3 g/mol
5,8-dichloro-2-[(4-methoxy-6-methyl-2-oxo-1H-pyridin-3-yl)methyl]-7-[(R)-methoxy(oxetan-3-yl)methyl]-3,4-dihydroisoquinolin-1-one
5,8-dichloro-7-[(R)-methoxy(oxetan-3-yl)methyl]-2-[(4-methoxy-6-methyl-2-oxo-1,2-dihydropyridin-3-yl)methyl]-3,4-
dihydroisoquinolin-1(2H)-one
enhancer of zeste homolog 2 (EZH2) inhibitor, antineoplastic, PF-06821497, PF 06821497, S4L4MM20B6
Mevrometostat (development code PF-06821497) is an investigational anticancer drug that functions as a potent and selective inhibitor of enhancer of zeste homolog 2 (EZH2).[1][2] Currently under development by Pfizer, mevrometostat is being investigated primarily for the treatment of metastatic castration-resistant prostate cancer (mCRPC) in combination with enzalutamide.
PF-06821497 is under investigation in clinical trial NCT03460977 (PF-06821497 Treatment Of Relapsed/Refractory SCLC, Castration Resistant Prostate Cancer, and Follicular Lymphoma).
Mevrometostat is an orally available selective inhibitor of the histone lysine methyltransferase (HMT) enhancer of zeste homolog 2 (EZH2), with potential antineoplastic activity. Upon oral administration, mevrometostat selectively targets, binds to and inhibits the activity of EZH2. Inhibition of EZH2 specifically prevents the methylation of histone H3 on lysine 27 (H3K27). This decrease in histone methylation alters gene expression patterns associated with cancer pathways and results in decreased proliferation of EZH2-expressing cancer cells. EZH2, an HMT class enzyme and the catalytic subunit of the polycomb repressive complex 2 (PRC2), is overexpressed or mutated in a variety of cancer cells and plays a key role in tumor cell proliferation; its expression is correlated with tumor initiation, progression, stem cell self-renewal, migration and angiogenesis.
MEVROMETOSTAT is a small molecule drug with a maximum clinical trial phase of II and has 1 investigational indication.
Synthesis

LAST STEP CONDITIONS
METHYL IODIDE REAGENT, Tetrahydrofuran , Potassium tert-butoxide
NEXT Hydrogen, Platinum dioxide,
SYN
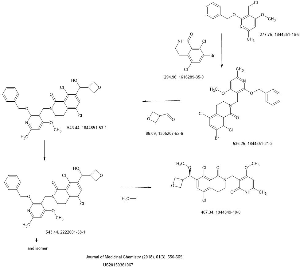
Optimization of Orally Bioavailable Enhancer of Zeste Homolog 2 (EZH2) Inhibitors Using Ligand and Property-Based Design Strategies: Identification of Development Candidate (R)-5,8-Dichloro-7-(methoxy(oxetan-3-yl)methyl)-2-((4-methoxy-6-methyl-2-oxo-1,2-dihydropyridin-3-yl)methyl)-3,4-dihydroisoquinolin-1(2H)-one (PF-06821497)Publication Name: Journal of Medicinal ChemistryPublication Date: 2017-12-27PMID: 29211475DOI: 10.1021/acs.jmedchem.7b01375


5,8-dichloro-2-[(4-methoxy-6-methyl-2-oxo-1,2-dihydropyridin-3-yl)methyl]-7-[(R)-
methoxy(oxetan-3-yl)methyl]-3,4-dihydroisoquinolin-1(2H)-one (23a) and 5,8-dichloro-2-[(4-
methoxy-6-methyl-2-oxo-1,2-dihydropyridin-3-yl)methyl]-7-[(S)-methoxy(oxetan-3-yl)methyl]-
3,4-dihydroisoquinolin-1(2H)-one (23b)

Multiple batches of (±)-5,8-dichloro-2-[(4-methoxy-6-
methyl-2-oxo-1,2-dihydropyridin-3-yl)methyl]-7-[methoxy-
(oxetan-3-yl)methyl]-3,4-dihydroisoquinolin-1(2H)-one 40
were combined (140 mg total), and the enantiomers separated
by preparative chiral SFC [Column: (R,R)Whelk O1
250mm*30mm,5µ; mobile phase: EtOH; wavelength: 220
nm] to give, after lyophilization, 23a (50.3 mg, 36%) as a
white solid, and 23b (22.8 mg, 16%) as a white solid. A
small-molecule X-Ray crystal structure of 23a showed it to
have absolute (R) stereochemistry. A small-molecule X-Ray crystal structure of 23b confirmed
the expected absolute (S) stereochemistry.
5,8-dichloro-2-[(4-methoxy-6-methyl-2-oxo-1,2-dihydropyridin-3-yl)methyl]-7-[(R)-
methoxy(oxetan-3-yl)methyl]-3,4-dihydroisoquinolin-1(2H)-one (23a). After chiral SFC and
lyophilization, 23a (50.3 mg, 36%) was obtained as a white solid. LCMS m/z 489 [M+Na]+; 1H
NMR (400 MHz, CDCl3) δ 12.34 (br s, 1H), 7.49 (s, 1H), 5.93 (s, 1H), 5.05 (d, J=6.0 Hz, 1H),
4.78-4.61 (m, 6H), 3.88 (s, 3H), 3.50-3.48 (m, 2H), 3.38-3.37 (m, 1H), 3.31 (s, 3H), 2.94 (t,
J=6.2 Hz, 2H), 2.35 (s, 3H). [α]D
22 +67.7° (c 0.1, MeOH); Chiral analysis: 100% ee; retention
time 9.85 min; column (R,R)Whelk O1, 250×4.6mm I.D., 5µ; mobile phase 50% ethanol (0.05%
DEA) in CO2; wavelength 220 nm. A crystalline sample of 23a was obtained by dissolving the
lyophilized powder in hot isopropanol in a 1 dram vial, then letting the vial stand in a capped
TLC chamber containing a layer of hexanes in the bottom, which allowed slow diffusion of hexanes into isopropanol. After two days, crystals (square plates) were collected. A smallmolecule X-Ray crystal structure of 23a showed it to have absolute (R) stereochemistry.
Crystallographic data are available in the Supporting Information.

syn
Pfizer Inc.
United States, US20150361067
REF
- Computational exploration in search for novel natural product-derived EZH2 inhibitors for advancing anti-cancer therapyPublication Name: Molecular DiversityPublication Date: 2025-02-19PMID: 39969739DOI: 10.1007/s11030-025-11128-3
- TTD: Therapeutic Target Database describing target druggability informationPublication Name: Nucleic Acids ResearchPublication Date: 2023-09-15PMCID: PMC10767903PMID: 37713619DOI: 10.1093/nar/gkad751
- BLM overexpression as a predictive biomarker for CHK1 inhibitor response in PARP inhibitor–resistant BRCA -mutant ovarian cancerPublication Name: Science Translational MedicinePublication Date: 2023-06-21PMCID: PMC10758289PMID: 37343085DOI: 10.1126/scitranslmed.add7872
- Structural modification aimed for improving solubility of lead compounds in early phase drug discoveryPublication Name: Bioorganic & Medicinal ChemistryPublication Date: 2022-02-15PMID: 35033884DOI: 10.1016/j.bmc.2022.116614
- High-Throughput Screening to Identify Inhibitors of the Type I Interferon–Major Histocompatibility Complex Class I Pathway in Skeletal MusclePublication Name: ACS Chemical BiologyPublication Date: 2020-05-27PMCID: PMC7859889PMID: 32459468DOI: 10.1021/acschembio.0c00343
- Translational Pharmacokinetic-Pharmacodynamic Modeling for an Orally Available Novel Inhibitor of Epigenetic Regulator Enhancer of Zeste Homolog 2Publication Name: The Journal of Pharmacology and Experimental TherapeuticsPublication Date: 2020-05PMID: 32094296DOI: 10.1124/jpet.119.263491
- Optimization of Orally Bioavailable Enhancer of Zeste Homolog 2 (EZH2) Inhibitors Using Ligand and Property-Based Design Strategies: Identification of Development Candidate (R)-5,8-Dichloro-7-(methoxy(oxetan-3-yl)methyl)-2-((4-methoxy-6-methyl-2-oxo-1,2-dihydropyridin-3-yl)methyl)-3,4-dihydroisoquinolin-1(2H)-one (PF-06821497)Publication Name: Journal of Medicinal ChemistryPublication Date: 2017-12-27PMID: 29211475DOI: 10.1021/acs.jmedchem.7b01375
- Somatic mutations at EZH2 Y641 act dominantly through a mechanism of selectively altered PRC2 catalytic activity, to increase H3K27 trimethylationPublication Name: BloodPublication Date: 2011-02-24PMCID: PMC3062411PMID: 21190999DOI: 10.1182/blood-2010-11-321208
PAT
- Novel 3-amino-3,4,6-trideoxyglycals, their production methods and anthracyclines obtained from these glycalsPublication Number: JP-S6110572-APriority Date: 1984-06-15
- CARBON HYDROGENATION METHOD WITH INCREASED RETENTION OF SOLIDS IN FLUID BED REACTORSPublication Number: DE-3245494-A1Priority Date: 1981-12-21
- Group extraction of organic compounds present in liquid samplesPublication Number: US-3966410-APriority Date: 1972-07-24Grant Date: 1976-06-29
- PRMT5 inhibitors and uses thereofPublication Number: US-12448388-B2Grant Date: 2025-10-21
- KRAS G12D modulating compoundsPublication Number: US-12448400-B2Grant Date: 2025-10-21
- Fungicidal, acaricidal and insecticidal composition comprising imidazole derivatives as active ingredient and process for producing the active ingredientsPublication Number: HU-206245-BPriority Date: 1987-03-13
- Fluorine derivatives of vitamin d _and process for producing the samePublication Number: CA-1297869-CPriority Date: 1986-10-20Grant Date: 1992-03-24
- Fluorine derivatives of vitamin d3 and process for producing the samePublication Number: EP-0264880-B1Priority Date: 1986-10-20Grant Date: 1991-03-13
- Fluorine derivatives of vitamin D3 and process for producing the samePublication Number: EP-0264880-A1Priority Date: 1986-10-20
- Process for production of new derivatives of imidasolil-alkyl-guanidin and medical preparatives containing these substancesPublication Number: HU-198024-BPriority Date: 1985-04-02
WO-0003990-A1 WO-0059513-A1 WO-0127114-A1 WO-02100354-A2 WO-2004029040-A1 WO-2004033420-A1 WO-2004078712-A2 WO-2004092118-A2 WO-2005000869-A1 WO-2005040109-A1 WO-2005082368-A1 WO-2006083424-A2 WO-2007022638-A1 WO-2007030089-A1 WO-2007058503-A1 WO-2008116833-A1 WO-2009005690-A2 WO-2009142969-A1 WO-2010015656-A2 WO-2010123599-A9 WO-2011102800-A1 WO-2011115818-A1 WO-2011139702-A2 WO-2012033149-A1 WO-2012037372-A2 WO-2012069856-A1 WO-2012097013-A1 WO-2012112969-A1 WO-2012129673-A1 WO-2012130912-A1 WO-2013096679-A1 WO-2013096680-A1 WO-2013102242-A1 WO-2013142525-A1 WO-2013177983-A1 WO-2014037498-A2 WO-2014057415-A2 WO-2015193765-A1 WO-2020190754-A1 WO-2021163064-A9 WO-2022053990-A1 WO-2022058405-A2 WO-2022087149-A2 WO-2022087230-A1 WO-2022164789-A1 WO-2022164789-A9 WO-2022212746-A1 WO-2022212748-A1 WO-2022221304-A1 WO-2022232435-A1 WO-2022261243-A1 WO-2022271650-A1 WO-2022271659-A1 WO-2022271677-A1 WO-2022271684-A1 WO-2023015164-A1 WO-2023041674-A1 WO-2023055885-A2 WO-2023061446-A1 WO-2023076554-A9 WO-2023076983-A1 WO-2023077030-A1 WO-2023100131-A1 WO-2023108563-A1 WO-2023111810-A1 WO-2023114460-A1 WO-2023122581-A2 WO-2023122615-A1 WO-2023147418-A1 WO-2023166418-A2 WO-2023166420-A1 WO-2023178181-A1 WO-2023178354-A1 WO-2023183817-A1 WO-2023196784-A1 WO-2023205719-A1 WO-2023205850-A1 WO-2023212504-A1 WO-2023218320-A1 WO-2023242769-A1 WO-2023249714-A1 WO-2024003773-A1 WO-2024006929-A1 WO-2024009191-A1 WO-2024015566-A1 WO-2024019995-A1 WO-2024020534-A2 WO-2024033513-A1 WO-2024035688-A1 WO-2024064668-A1 WO-2024074977-A1 WO-2024086094-A1 WO-2024105563-A1 WO-2024187153-A1 WO-2024189607-A1 WO-2024192373-A1 WO-2024193570-A1 WO-2024193570-A9 WO-2024209339-A1 WO-2024213979-A1 WO-2024215754-A1 WO-2024218686-A1 WO-2024220917-A1 WO-2024246965-A1 WO-2025006704-A1 WO-2025006720-A1 WO-2025024663-A1 WO-2025024811-A1 WO-2025031307-A1 WO-2025038726-A2 WO-2025049966-A2 WO-2025049966-A9 WO-2025054347-A1 WO-2025054530-A1 WO-2025059027-A1 WO-2025085536-A1 WO-2025094035-A1 WO-2025096589-A1 WO-2025121805-A1 WO-2025121807-A1 WO-2025137640-A1 WO-2025151706-A1 WO-2025245003-A1 WO-9012007-A1 WO-9522521-A1 WO-9954305-A1



AS ON OCT2025 4.511 LAKHS VIEWS ON BLOG WORLDREACH AVAILABLEFOR YOUR ADVERTISEMENT

join me on Linkedin
Anthony Melvin Crasto Ph.D – India | LinkedIn
join me on Researchgate
RESEARCHGATE

join me on Facebook
Anthony Melvin Crasto Dr. | Facebook
join me on twitter
Anthony Melvin Crasto Dr. | twitter
+919321316780 call whatsaapp
EMAIL. amcrasto@gmail.com

Mechanism of action
Mevrometostat is a small molecule inhibitor that targets EZH2, the catalytic subunit of polycomb repressive complex 2 (PRC2).[1][3] EZH2 plays a crucial role in epigenetic regulation by modifying gene expression patterns that control cellular fate decisions, including differentiation and self-renewal.[1]
In prostate cancer, EZH2 dysregulation contributes to treatment resistance through multiple pathways, including:
- Silencing of tumor suppressor genes
- Activation of androgen receptor transcription factors
- Promotion of neuroendocrine transdifferentiation[4]
Mevrometostat demonstrates dose-dependent EZH2 inhibition, leading to reactivation of tumor suppressor genes while suppressing genes involved in tumor progression.[5]
Clinical development
Phase I/II trials
The primary clinical evaluation of mevrometostat is being conducted through a phase 1/2 dose-expansion study (NCT03460977) investigating the combination of mevrometostat with enzalutamide and androgen deprivation therapy in patients with mCRPC.[6]
The dose-expansion portion of this study enrolled patients with mCRPC who had previously received abiraterone, with evidence of disease progression per modified Prostate Cancer Working Group 3 criteria.[2]
Key efficacy results
In the randomized dose-expansion study, the combination of mevrometostat (1,250 mg twice daily on an empty stomach) plus enzalutamide demonstrated:
- 49% relative reduction in the rate of progression or death
- Approximately 8-month improvement in median radiographic progression-free survival (rPFS)
- Hazard ratio of 0.51 (90% CI: 0.28–0.95)[7]
The median radiographic progression-free survival was 14.3 months with the combination therapy compared to 6.2 months with enzalutamide alone.[8]
Phase III trials
Based on promising phase I/II results, Pfizer has initiated multiple phase 3 clinical trials:
MEVPRO-1 study
The MEVPRO-1 study (NCT06551324) is a randomized phase 3 trial evaluating mevrometostat in combination with enzalutamide versus physician’s choice of therapy in patients with mCRPC previously treated with abiraterone acetate.[9][10]
- Study design: Randomized 1:1 to receive mevrometostat (875 mg twice daily with food) plus enzalutamide (160 mg daily) versus physician’s choice of enzalutamide or docetaxel
- Target enrollment: Approximately 600 patients
- Primary endpoint: Blinded independent central review-assessed rPFS per RECIST 1.1 and PCWG3 criteria
- Key secondary endpoint: Overall survival
MEVPRO-2 study
The MEVPRO-2 study (NCT06629779) is evaluating mevrometostat plus enzalutamide in androgen receptor pathway inhibitor (ARPI)-naïve patients with mCRPC.[11][12]
Additional development
Pfizer has also initiated phase 3 trials evaluating mevrometostat plus enzalutamide in first-line metastatic castration-sensitive prostate cancer.[8][13]
Safety profile
The most common adverse events considered related to mevrometostat treatment include:
Dose optimization studies found that mevrometostat 875 mg twice daily with food showed similar efficacy and better safety compared to the 1,250 mg dose on an empty stomach.[15]
Pharmacokinetics
Based on safety and pharmacokinetic findings from phase 1 trials, mevrometostat 875 mg twice daily with food was selected as the recommended dose for phase 3 clinical development in combination with enzalutamide.[16]
Regulatory status
As of 2025, mevrometostat remains an investigational agent under clinical development by Pfizer. The drug has not received regulatory approval from the Food and Drug Administration (FDA), European Medicines Agency (EMA), or other regulatory authorities.
See also
- Polycomb repressive complex 2
- Tazemetostat (approved EZH2 inhibitor)
- Prostate cancer
- Enzalutamide
References
- “Mevrometostat (PF-06821497)”. Pfizer Oncology Development. Retrieved 11 September 2025.
- Schweizer MT, Calvo M, Moreno V, Mellado B, Castellano D, Spira AI, et al. (2025). “Mevrometostat (PF-06821497), an enhancer of zeste homolog 2 (EZH2) inhibitor, in combination with enzalutamide in patients with metastatic castration-resistant prostate cancer (mCRPC): A randomized dose-expansion study”. Journal of Clinical Oncology. 43 (5_suppl) LBA138. doi:10.1200/JCO.2025.43.5_suppl.LBA138.
- Schweizer MT, Penkov K, Choudhury AD, Calvo E, Frank RC, Liu L, et al. (2024). “Phase 1 trial of mevrometostat (PF-06821497), a potent and selective inhibitor of enhancer of zeste homolog 2 (EZH2), in castration-resistant prostate cancer (CRPC)”. Journal of Clinical Oncology. 42 (16_suppl): 5061. doi:10.1200/JCO.2024.42.16_suppl.5061.
- “SUO 2024: Mevrometostat (PF-06821497) in Combination with Enzalutamide in Patients with Metastatic Castration-Resistant Prostate Cancer Previously Treated with Abiraterone Acetate”. UroToday. Retrieved 11 September 2025.
- “Mevrometostat and enzalutamide in mCRPC: gene expression and EZH2 modulation”. VJ Oncology. 17 February 2025. Retrieved 11 September 2025.
- Pfizer (4 September 2025). A PHASE I DOSE ESCALATION AND EXPANDED COHORT STUDY OF PF 06821497 (MEVROMETOSTAT) IN THE TREATMENT OF ADULT PATIENTS WITH RELAPSED/REFRACTORY SMALL CELL LUNG CANCER (SCLC), CASTRATION RESISTANT PROSTATE CANCER (CRPC) AND FOLLICULAR LYMPHOMA (FL) (Report). clinicaltrials.gov.
- “ASCO GU 2025: Mevrometostat (PF-06821497), an EZH2 Inhibitor, in Combination with Enzalutamide in Patients with mCRPC”. UroToday. Retrieved 11 September 2025.
- “Mevrometostat/enzalutamide combo shows rPFS benefit in mCRPC”. Urology Times. 21 February 2025. Retrieved 11 September 2025.
- Agarwal N, Schweizer MT, Castro E, Azad A, George DJ, Chakrabarti J, et al. (2025). “Mevrometostat (PF-06821497) in combination with enzalutamide in patients with metastatic castration-resistant prostate cancer previously treated with abiraterone acetate: The phase 3, randomized MEVPRO-1 study”. Journal of Clinical Oncology. 43 (5_suppl) TPS288. doi:10.1200/JCO.2025.43.5_suppl.TPS288.
- Pfizer (4 September 2025). A PHASE 3, RANDOMIZED, OPEN-LABEL STUDY OF PF-06821497 (MEVROMETOSTAT) IN COMBINATION WITH ENZALUTAMIDE COMPARED WITH ENZALUTAMIDE OR DOCETAXEL IN PARTICIPANTS WITH METASTATIC CASTRATION RESISTANT PROSTATE CANCER PREVIOUSLY TREATED WITH ABIRATERONE ACETATE (MEVPRO-1) (Report). clinicaltrials.gov.
- “ASCO GU 2025: Mevrometostat (PF-06821497) in Combination With Enzalutamide for ARPI-Naïve Patients With mCRPC: The Phase 3, Randomized MEVPRO-2 Trial”. UroToday. Retrieved 11 September 2025.
- Pfizer (4 September 2025). A PHASE 3, RANDOMIZED, DOUBLE BLIND, PLACEBO CONTROLLED STUDY OF PF-06821497 (MEVROMETOSTAT) WITH ENZALUTAMIDE IN METASTATIC CASTRATION RESISTANT PROSTATE CANCER (MEVPRO-2) (Report). clinicaltrials.gov.
- Pfizer (4 September 2025). A Phase 3, Randomized, Double-Blind, Placebo-Controlled Study of Mevrometostat (PF-06821497) With Enzalutamide in Metastatic Castration-Sensitive Prostate Cancer (MEVPRO-3) (Report). clinicaltrials.gov.
- “ASCO 2025: Mevrometostat in Combination with Enzalutamide in Patients with mCRPC Previously Treated with Abiraterone Acetate”. UroToday. Retrieved 11 September 2025.
- “Mevrometostat Plus Enzalutamide Improves rPFS vs Enzalutamide in Metastatic CRPC”. OncLive. 21 February 2025. Retrieved 11 September 2025.
- “ASCO 2025: Safety and Pharmacokinetics of Mevrometostat in Combination with Enzalutamide in Patients with mCRPC”. UroToday. Retrieved 11 September 2025.
| Clinical data | |
|---|---|
| Other names | PF-06821497 |
| Identifiers | |
| IUPAC name | |
| CAS Number | 1844849-10-0 |
| PubChem CID | 118572065 |
| IUPHAR/BPS | 10516 |
| DrugBank | DB14799 |
| ChemSpider | 65321668 |
| UNII | S4L4MM20B6 |
| KEGG | D12845 |
| ChEMBL | ChEMBL4080228 |
| PDB ligand | CJD (PDBe, RCSB PDB) |
| Chemical and physical data | |
| Formula | C22H24Cl2N2O5 |
| Molar mass | 467.34 g·mol−1 |
| 3D model (JSmol) | Interactive image |
| SMILES | |
| InChI | |
/////////mevrometostat, enhancer of zeste homolog 2 (EZH2) inhibitor, antineoplastic, PF-06821497, PF 06821497, S4L4MM20B6
#mevrometostat, #enhancer of zeste homolog 2 (EZH2) inhibitor, #antineoplastic, #PF-06821497, #PF 06821497, #S4L4MM20B6
DRUG APPROVALS BY DR ANTHONY MELVIN CRASTO
.....
