


Mobinitinib
CAS1402709-93-6
MF C22H23Cl2N7 MW456.37
6-chloro-7-{4-[(4-chlorophenyl)methyl]piperazin-1-yl}-2-(1,3-dimethyl-1Hpyrazol-4-yl)-3H-imidazo[4,5-b]pyridine
6-chloro-7-{4-[(4-chlorophenyl)methyl]piperazin-1-yl}-2-(1,3-dimethyl-1Hpyrazol-4-yl)-3H-imidazo[4,5-b]pyridine
dual FMS-like tyrosine kinase-3 (FLT3)-Aurora kinase inhibitor, antineoplastic, CCT241736, CCT 241736, ZE94SP78UG, EP0042, EP 0042
Mobinitinib (CCT241736) is an investigational, orally bioavailable, small-molecule, dual inhibitor targeting Aurora kinase and FLT3 (including ITD and D835Y mutations). It shows potent antineoplastic activity in preclinical models, including acute myeloid leukemia (AML), by inhibiting tumor cell proliferation and disrupting mitotic spindle assembly. It is a distinct compound from similarly named drugs like Momelotinib or Binimetinib.
Key Details About Mobinitinib (CCT241736)
- Mechanism of Action: Acts as a dual inhibitor of Aurora kinases (A and B) and FMS-related tyrosine kinase 3 (FLT3). By inhibiting these kinases, it interferes with mitotic spindle assembly and chromosome segregation, leading to cell cycle arrest.
- Target Indications: Primarily studied for its potential to treat hematological malignancies and solid tumors that overexpress FLT3 or Aurora kinases. Preclinical studies show effectiveness in FLT3-ITD positive AML cell lines (e.g., MOLM-13, MV4-11).
- Preclinical Activity: Demonstrates strong anti-proliferative activity with
values in the sub-micromolar range (e.g., 0.1–0.3
M) in certain human tumor cell lines. It has shown significant tumor growth inhibition in mouse xenograft models at doses of 50-100 mg/kg.
- Chemical Properties: It is a 1H-imidazo[5-b]pyridine derivative.
It is important to distinguish mobinitinib (CCT241736) from momelotinib, a JAK1/JAK2 inhibitor approved for myelofibrosis, and binimetinib, a MEK inhibitor for melanoma.
Mobinitinib is an orally bioavailable inhibitor of both the serine/threonine protein kinase Aurora kinase and FMS-related tyrosine kinase 3 (FLT3; STK1; CD135; FLK2), with potential antineoplastic activity. Upon oral administration, mobinitinib specifically binds to and inhibits Aurora kinase and FLT3, which interferes with the activation of Aurora kinase- and FLT3-mediated signal transduction pathways. This may result in the disruption of the assembly of the mitotic spindle apparatus, the disruption of chromosome segregation and the inhibition of cell proliferation in tumor cells that overexpress Aurora kinase and/or FLT3. Aurora kinase plays essential roles in mitotic checkpoint control during mitosis. Aurora kinase and FLT3 are overexpressed in a variety of cancers and play key roles in tumor cell proliferation.
MOBINITINIB is a small molecule drug with a maximum clinical trial phase of II and has 1 investigational indication.
Study to Evaluate the Safety and Tolerability of EP0042
CTID: NCT04581512
Phase: Phase 1/Phase 2
Status: Recruiting
Date: 2025-10-14
SYN


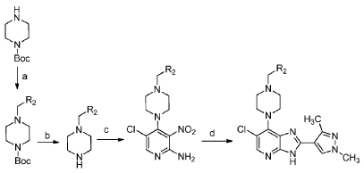
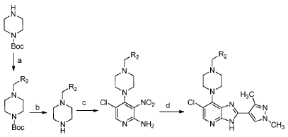
5-Chloro-4-(4-(4-chlorobenzyl)piperazin-1-yl)-3-nitropyridin-2-amine

[00119] To a mixture of 2-amino-4,5-dichloro-3-nitropyridine (0.152 g, 0.73 mmol) and isopropanol (22 mL) was added 1 -(4-chlorobenzyl)piperazine (0.165 g, 0.78 mmol) followed by diisopropylethylamine (0.17 mL, 0.97 mmol). The reaction mixture was heated at 45 °C for 18 h, then allowed to cool to room temperature, and diluted with isopropanol (5 mL). The precipitate was collected by filtration, washed with isopropanol and diethyl ether. The title compound was thus obtained as a yellow solid (0.215 g, 77%); 1H-NMR (500 MHz, DMSO-d6) 2.48 (br s, obscured by DMSO peak, 4H, piperazine C-H), 3.06 (br t, J = 4.3 Hz, 4H, piperazine C-H), 3.52 (s, 2H, NCH2C6H4Cl), 6.95 (s, 2H, NH2), 7.35 (d, J = 8.5 Hz, 2H) and 7.38 (d, J = 8.5 Hz, 2H) (3,5-ArH and 2,6- ArH), 8.06 (s, 1 H, 6-H); LC – MS (ESI, m/z): Rt = 1 .70 min – 382, 384, 386 [(M+H)+, Cl2 isotopic pattern].
6-Chloro-7-(4-(4-chlorobenzyl)piperazin-1-yl)-2-(1,3-dimethyl-1H-pyrazol-4-yl)-3H-imidazo[4,5-b]pyridine

[00120] To a mixture of 5-chloro-4-(4-(4-chlorobenzyl)piperazin-1 -yl)-3-nitropyridin-2-amine (0.076 g, 0.20 mmol) and EtOH (4.0 ml.) was added 1 ,3-dimethyl-1 H-pyrazole-4-carbaldehyde (0.027 g, 0.22 mmol) followed by a freshly prepared aqueous solution of Na2S2O4 (1 M; 0.85 mL, 0.85 mmol). The reaction mixture was stirred at 80 °C for 24 h, it was then allowed to cool to room temperature, concentrated in vacuo, and the residue was absorbed on silica gel and placed on a 10 g isolute silica column. Elution with ethyl acetate / dichloromethane (v/v; 1 :1 ), and then 4% methanol in ethyl acetate / dichloromethane (v/v; 1 :1 ) afforded the title compound as a white solid after trituration with diethyl ether (0.023 g, 25%).
[00121 ] 1 H-NMR (500 MHz, DMSO-d6) 2.51 (s, obscured by solvent peak, pyrazole 3-CH3), 2.57 (br s, 4H, piperazine C-H), 3.54 (s, 2H, N-CH2C6H4Cl), 3.68 (br s, 4H, piperazine C-H), 3.84 (s, 3H, pyrazole N-Me), 7.37 (d, J = 8.5 Hz, 2H) and 7.40 (d, J = 8.5 Hz, 2H) (C6H4Cl), 8.02 (s, 1 H), and 8.18 (s, 1 H) (pyrazole 5-H, and imidazo[4,5-b]pyridine 5-H), 12.95 (br s, 1 H, imidazo[4,5-b]pyridine N-H); LC – MS (ESI, m/z): Rt = 1.97 min – 456, 458, 460 [(M+H)+, Cl2 isotopic pattern].
[00122] HRMS: Found: 456.1457, calculated for C22H24Cl2N7 (M+H)+: 456.1465.
LIT
- FLT3 Inhibitors in Acute Myeloid Leukemia: Challenges and Recent Developments in Overcoming ResistancePublication Name: Journal of Medicinal ChemistryPublication Date: 2021-03-10PMID: 33719439DOI: 10.1021/acs.jmedchem.0c01851
- Quizartinib-resistant FLT3-ITD acute myeloid leukemia cells are sensitive to the FLT3-Aurora kinase inhibitor CCT241736Publication Name: Blood AdvancesPublication Date: 2020-04-13PMCID: PMC7160287PMID: 32282883DOI: 10.1182/bloodadvances.2019000986
- Metabolism of the dual FLT-3/Aurora kinase inhibitor CCT241736 in preclinical and human in vitro models: Implication for the choice of toxicology speciesPublication Name: European journal of pharmaceutical sciences : official journal of the European Federation for Pharmaceutical SciencesPublication Date: 2019-11-01PMCID: PMC6892276PMID: 30953752DOI: 10.1016/j.ejps.2019.04.004
- Optimization of Imidazo[4,5-b]pyridine-Based Kinase Inhibitors: Identification of a Dual FLT3/Aurora Kinase Inhibitor as an Orally Bioavailable Preclinical Development Candidate for the Treatment of Acute Myeloid LeukemiaPublication Name: Journal of Medicinal ChemistryPublication Date: 2012-10-08PMCID: PMC3483018PMID: 23043539DOI: 10.1021/jm300952s
PAT
- Pharmaceutically active compoundsPublication Number: WO-2013190319-A1Priority Date: 2012-06-21
- Compound and, pharmaceutical compositionPublication Number: BR-112014032142-B1Priority Date: 2012-06-21
- Pharmaceutically active compoundsPublication Number: US-9447092-B2Priority Date: 2012-06-21Grant Date: 2016-09-20
- Pharmaceutically active compoundsPublication Number: CA-2876357-A1Priority Date: 2012-06-21
- Pharmaceutically active compoundsPublication Number: US-2015266868-A1Priority Date: 2012-06-21
- PHARMACEUTALLY ACTIVE COMPOUNDSPublication Number: RU-2015101702-APriority Date: 2012-06-21
- Pharmaceutically active compoundsPublication Number: SI-2864328-T1Priority Date: 2012-06-21



AS ON OCT2025 4.511 LAKHS VIEWS ON BLOG WORLDREACH AVAILABLEFOR YOUR ADVERTISEMENT

join me on Linkedin
Anthony Melvin Crasto Ph.D – India | LinkedIn
join me on Researchgate
RESEARCHGATE

join me on Facebook
Anthony Melvin Crasto Dr. | Facebook
join me on twitter
Anthony Melvin Crasto Dr. | twitter
+919321316780 call whatsaapp
EMAIL. amcrasto@gmail.com

////////////////mobinitinib, antineoplastic, CCT241736, CCT 241736, ZE94SP78UG, EP0042, EP 0042
DRUG APPROVALS BY DR ANTHONY MELVIN CRASTO
.....
