


Nivegacetor
CAS 2443487-67-8
MF C23H25F2N7O2 MW 469.5 g/mol
(7R)-7-(3,5-difluorophenoxy)-N-[(1S,5R)-3-(6-methoxypyridazin-4-yl)-3-azabicyclo[3.2.1]octan-8-yl]-6,7-dihydro-5H-pyrrolo[1,2-b][1,2,4]triazol-2-amine
(7R)-7-(3,5-difluorophenoxy)-N-[(1R,5S,8s)-3-(6-methoxypyridazin-4-yl)-3-azabicyclo[3.2.1]octan-8-yl]-6,7-dihydro5H-pyrrolo[1,2-b][1,2,4]triazol-2-amine
gamma secretase modulator, SF4J7MVJ56, RG 6289, RG-6289, ROCHE, ALZHIEMER,
Nivegacetor is a potent γ-secretase modulator.
Nivegacetor is an investigational gamma-secretase modulator being developed by Roche for the treatment of Alzheimer’s disease.[1] The compound is also known by its development code name RG6289 and represents a second-generation gamma-secretase modulator designed to selectively alter amyloid beta peptide production while avoiding the toxicity issues associated with first-generation compounds.[2]
Mechanism of action
Nivegacetor is a gamma-secretase modulator (GSM) that targets the gamma-secretase enzyme complex, which plays a central role in the production of amyloid beta peptides implicated in the pathogenesis of Alzheimer’s disease.[1] It specifically modulates the catalytic subunit presenilin-1 (PSEN1), stabilizing the interaction between the complex and the amyloid precursor protein (APP) at the enzyme’s active site. This stabilization increases the processivity of APP cleavage—that is, the enzyme’s ability to carry out sequential cleavage steps before releasing the APP substrate.[3]
Unlike gamma-secretase inhibitors that completely block enzyme function and cause significant side effects, nivegacetor selectively reduces the production of amyloidogenic long amyloid beta peptides, particularly Aβ42 and Aβ40 that form insoluble amyloid fibrils, while simultaneously increasing the formation of shorter, non-amyloidogenic species such as Aβ38 and Aβ37. The compound demonstrates high potency with an IC50 below 10 nM for gamma-secretase modulation of APP cleavage, and importantly shows no effect on the processing of other gamma-secretase substrates, potentially avoiding the toxicity issues that plagued earlier compounds.[2]
A Study of Donanemab, RG6289, or the Combination of Donanemab and RG6289 in Presenilin 1 (PSEN1) E280A Mutation Carriers for the Treatment of Autosomal-Dominant Alzheimer’s Disease
CTID: NCT06996730
Phase: Phase 2/Phase 3
Status: Not yet recruiting
Date: 2025-08-03
- OriginatorRoche
- ClassAntidementias; Azabicyclo compounds; Bridged bicyclo compounds; Ethers; Fluorobenzenes; Methyl ethers; Pyridazines; Pyrrolidines; Triazoles
- Mechanism of ActionAmyloid precursor protein secretase modulator
- Phase IIAlzheimer’s disease
- 03 Dec 2025Efficacy data from a phase II trial in Alzheimer’s disease presented at the Alzheimer’s Association International Conference 2025 (AAIC-2025)
- 13 Aug 2025Chemical structure information added.
- 14 Nov 2024Banner Alzheimers Institute and Neurosciences Group at the University of Antioquia (GNA) in Medellin plans a clinical trial for Alzheimer’s-disease (Monotherapy, Prevention, In adults), in fall 2025 (IV) (NCT06996730)
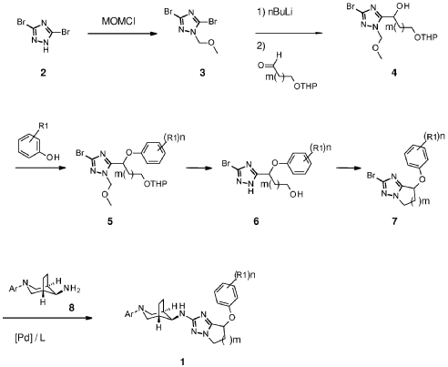
SYN
xamples 1 and 2
(R)-7-(3,5-difluorophenoxy)-N-((1R,5S,8s)-3-(6-methoxypyridazin-4-yl)-3-azabicyclo[3.2.1]octan-8-yl)-6,7-dihydro-5H-pyrrolo[1,2-b][1,2,4]triazol-2-amine and (S)-7-(3,5-difluorophenoxy)-N-((1R,5S,8s)-3-(6-methoxypyridazin-4-yl)-3-azabicyclo[3.2.1]octan-8-yl)-6,7-dihydro-5H-pyrrolo[1,2-b][1,2,4]triazol-2-amine

A Buchwald type coupling using the general procedure 1, between 2-bromo-7-(3,5-difluorophenoxy)-6,7-dihydro-5H-pyrrolo[1,2-b][1,2,4]triazole 7-1 and (1R,5S,8S)-3-(6-methoxypyridazin-4-yl)-3-azabicyclo[3.2.1]octan-8-amine 8-2, followed by a separation of the enantiomeres by preparative chiral HPLC afforded the title products as white solid (example 1): 27 mg, MS (ES+) m/z: 470.2 [(M+H) +] and (example 2): 28 mg, MS (ES+) m/z: 470.2 [(M+H) +].
PAT


Examples 1 and 2
(R)-7-(3,5-difluorophenoxy)-N-((lR,5S,8s)-3-(6-methoxypyridazin-4-yl)-3- azabicyclo[3.2.1]octan-8-yl)-6,7-dihydro-5H-pyrrolo[l,2-b][l,2,4]triazol-2-amine
and
(S)-7-(3,5-difluorophenoxy)-N-((lR,5S,8s)-3-(6-methoxypyridazin-4-yl)-3- azabicyclo[3.2.1]octan-8-yl)-6,7-dihydro-5H-pyrrolo[l,2-b][l,2,4]triazol-2-amine

A Buchwald type coupling using the general procedure 1, between 2-bromo-7-(3,5-difluorophenoxy)-6,7-dihydro-5H-pyrrolo[l,2-b][l,2,4]triazole 7-1 and (lR,5S,8S)-3-(6-methoxypyridazin-4-yl)-3-azabicyclo[3.2.1]octan-8-amine 8-2, followed by a separation of the enantiomeres by preparative chiral HPLC afforded the title products as white solid (example 1): 27 mg, MS (ES+) m/z 470.2 [(M+H)+] and (example 2): 28 mg, MS (ES+) m/z 470.2 [(M+H)+]
PAT
- 6, 7-Dihydro-5H-pyrrolo [1,2-B ] [1,2,4] triazol-2-amine derivativesPublication Number: CN-117946116-APriority Date: 2018-12-13
- 7-phenoxy-n-(3-azabicyclo[3.2.1]octan-8-yl)-6,7-dihydro-5h-pyrrolo[1,2-b][1,2,4]triazol-2-amine derivatives and related compounds as gamma-secretase modulators for the treatment of alzheimer’s diseasePublication Number: US-2022056036-A1Priority Date: 2018-12-13
- 6,7-Dihydro-5H-pyrrolo[1,2-B][1,2,4]triazole-2-amine derivativesPublication Number: CN-113179641-BPriority Date: 2018-12-13Grant Date: 2024-01-02
- 7-phenoxy-n-(3-azabicyclo[3.2.1]octan-8-yl)-6,7-dihydro-5h-pyrrolo[1,2-b][1,2,4]triazol-2-amine derivatives and related compounds as gamma-secretase modulators for the treatment of alzheimer’s diseasePublication Number: WO-2020120521-A1Priority Date: 2018-12-13
- 7-phenoxy-N-(3-azabicyclo[3.2.1]octan-8-yl-6,7-dihydro-5H-pyrrolo[1,2-b][1,2,4]triazol-2-amine derivatives and related compounds as gamma- secretase modulators for the treatment of alzheimer’s diseasePublication Number: US-12195470-B2Priority Date: 2018-12-13Grant Date: 2025-01-14



AS ON OCT2025 4.511 LAKHS VIEWS ON BLOG WORLDREACH AVAILABLEFOR YOUR ADVERTISEMENT

join me on Linkedin
Anthony Melvin Crasto Ph.D – India | LinkedIn
join me on Researchgate
RESEARCHGATE

join me on Facebook
Anthony Melvin Crasto Dr. | Facebook
join me on twitter
Anthony Melvin Crasto Dr. | twitter
+919321316780 call whatsaapp
EMAIL. amcrasto@gmail.com

Clinical development
Phase I studies
Nivegacetor has completed Phase I clinical trials in healthy volunteers, where it demonstrated a favorable safety profile and dose-dependent pharmacodynamic effects.[3] The study showed that treatment with nivegacetor resulted in a dose-dependent shift in amyloid beta monomers in cerebrospinal fluid (CSF), with significant reductions in Aβ42 levels and corresponding increases in shorter amyloid beta species.[4]
The Phase I results were presented at the 2023 Clinical Trials on Alzheimer’s Disease (CTAD) conference, where researchers reported that nivegacetor appeared safe and effectively shifted amyloid beta production toward smaller, less aggregation-prone peptides.[3]
Phase II studies
Based on the positive Phase I results, nivegacetor has been selected for advancement to Phase II clinical trials for Alzheimer’s disease treatment.[3] The dose selection for the Phase II study was informed by population pharmacokinetic/pharmacodynamic modeling derived from the Phase I data.[5][6][7]
Historical context
Nivegacetor represents a significant advancement in gamma-secretase modulator development, addressing the limitations of first-generation compounds that failed due to toxicology problems.[2] Previous attempts at gamma-secretase modulation were hampered by safety concerns and off-target effects, leading to the discontinuation of several promising candidates in the 2000s and early 2010s.[2] The development of nivegacetor as a second-generation GSM reflects improved understanding of gamma-secretase biology and more selective targeting approaches.[8]
References
- “nivegacetor | Ligand page”. IUPHAR/BPS Guide to IMMUNOPHARMACOLOGY. International Union of Basic and Clinical Pharmacology (IUPHAR). Retrieved 22 July 2025.
- “RG6289”. ALZFORUM. Archived from the original on 9 October 2024. Retrieved 22 July 2025.
- “Second-Generation γ-Secretase Modulator Heads to Phase 2”. ALZFORUM. Retrieved 22 July 2025.
- “Y-Secretase Modulator RG6289 Produces Dose-Dependent Shift of Amyloid-ß Monomers in Phase 1 Study”. Neurology live. 30 July 2024. Retrieved 22 July 2025.
- “RG6289, a new γ-secretase modulator for the treatment of Alzheimer’s disease: Dose selection for a phase II trial based on population PK/PD modeling”. medically.gene.com. Retrieved 22 July 2025.
- Banner Health (21 May 2025). A Double-Blind, Placebo-Controlled, Double-Dummy Study of Donanemab and RG6289 in PSEN1 E280A Mutation Carriers, and in Non-Randomized, Placebo-Treated Non-Carriers From the Same Kindred, to Evaluate the Efficacy and Safety of Donanemab, RG6289, or the Combination of Donanemab and RG6289, in the Treatment of Autosomal-Dominant Alzheimer’s Disease (Report). clinicaltrials.gov. NCT06996730.
- azalzeditor (19 November 2024). “New Alzheimer’s prevention trial receives $74.5 million NIH grant”. Arizona Alzheimer’s Consortium. Retrieved 22 July 2025.
- Nordvall G, Lundkvist J, Sandin J (16 October 2023). “Gamma-secretase modulators: a promising route for the treatment of Alzheimer’s disease”. Frontiers in Molecular Neuroscience. 16 1279740. doi:10.3389/fnmol.2023.1279740. ISSN 1662-5099. PMC 10613654. PMID 37908487.
| Identifiers | |
|---|---|
| IUPAC name | |
| CAS Number | 2443487-67-8 |
| PubChem CID | 153606610 |
| IUPHAR/BPS | 13509 |
| UNII | SF4J7MVJ56 |
| KEGG | D13199 |
| Chemical and physical data | |
| Formula | C23H25F2N7O2 |
| Molar mass | 469.497 g·mol−1 |
| 3D model (JSmol) | Interactive image |
| SMILES | |
| InChI | |
/////////nivegacetor, gamma secretase modulator, SF4J7MVJ56, RG 6289, RG-6289, ROCHE, ALZHIEMER,
DRUG APPROVALS BY DR ANTHONY MELVIN CRASTO
.....
