


Naxtarubicin, Annamycin
CAS 92689-49-1
MF C26H25IO11 MW 640.4 g/mol
2′-Iodo-3′-hydroxy-4′-epi-4-demethoxydoxorubicin
(7S,9S)-7-[(2R,3R,4R,5R,6S)-4,5-dihydroxy-3-iodo-6-methyloxan-2-yl]oxy-6,9,11-trihydroxy-9-(2-hydroxyacetyl)-8,10-dihydro-7H-tetracene-5,12-dione
(7S,9S)-7-[(2,6-dideoxy-2-iodo-α-L-mannopyranosyl)oxy]-6,9,11-trihydroxy-9-(2-hydroxyacetyl)-7,8,9,10-
tetrahydrotetracene-5,12-dione
DNA topoisomerase II inhibitor, antineoplastic, Annamycin, Annamycin-LF, Annamycin-liposomal, L-ANNA, L-annamycin, Liposomal annamycin, S-ANNA, SNU299M83Q
- OriginatorUniversity of Texas M. D. Anderson Cancer Center
- DeveloperAronex Pharmaceuticals; Callisto Pharmaceuticals; Moleculin Biotech; University of Texas M. D. Anderson Cancer Center
- ClassAnthracyclines; Antineoplastics; Cytostatic antibiotics; Small molecules
- Mechanism of ActionType II DNA topoisomerase inhibitors
- Orphan Drug StatusYes – Soft tissue sarcoma; Precursor cell lymphoblastic leukaemia-lymphoma; Acute myeloid leukaemia
- Phase II/IIIAcute myeloid leukaemia
- Phase IIOvarian cancer
- Phase I/IISoft tissue sarcoma
- PreclinicalColorectal cancer; Liver cancer; Pancreatic cancer; Solid tumours
- DiscontinuedChronic myeloid leukaemia; Precursor cell lymphoblastic leukaemia-lymphoma; Triple negative breast cancer
- 30 Oct 2025Moleculin biotech plans future regulatory filings based on data from phase III MIRACLE trial
- 29 Oct 2025Moleculin Biotech has patent protection for Naxtarubicin in Australia
- 23 Oct 2025Moleculin Biotech plans to submit an IND application to the US FDA for Pancreatic cancer
Naxtarubicin is a lipophilic, anthracycline antineoplastic antibiotic.Naxtarubicin intercalates into DNA and inhibits topoisomerase II, thereby inhibiting DNA replication and repair as well as inhibiting RNA and protein synthesis. This agent appears to not be a substrate for the p-glycoprotein associated multidrug-resistance (MDR) transporter; therefore, overcoming the resistance pattern seen with other anthracycline compounds.
Annamycin is an anthracycline antibiotic being investigated for the treatment of cancer.
SYN
US 4537882

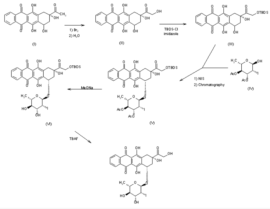
The reaction of racemic 4-demethoxydaunomycinone (I) with Br2 followed by hydrolysis in basic medium gives 4-demethoxyadriamycinone (II), which is treated with tert-butyldimethylsilyl chloride and imidazole in DMF to yield the monoprotected compound (III). The condensation of (III) with 3,4-di-O-acetyl-2,6-dideoxy-2-iodo-alpha-L-mannopyranose (IV) by means of N-iodosuccinimide (NIS), followed by chromatographic separation of the diastereomers affords (7S,9S)-14-O-(tert-butyldimethylsilyl)-4-demethoxy-7-O-(3,4-di-O-acetyl-2,6-dideoxy-2-iodo-alpha-L-mannopyranosyl)adriamycinone (V). The hydrolysis of (V) with sodium methoxide in methanol gives the silylated compound (VI), which is finally desilylated with tetrabutylammonium fluoride (TBAF) in dichloromethane/THF/pyridine.
SYN
https://patents.google.com/patent/US5977327A/en



EXAMPLE VIIIPURIFICATION OF ANNAMYCIN
Crude product was purified further by triple precipitation from THF. To accomplish this, approximately 87 mL of THF was used to redissolve each gram of Annamycin product and an equal volume of one of the following solvents was added to precipitate the Annamycin in each successive precipitation step. In the preferred method, the first precipitation was accomplished by adding an equal volume of a 7:3 mixture of hexane\diethylether, the second precipitation was accomplished by the addition of an equal volume of hexane, and the third precipitation was by addition of an equal volume of water and evaporation of half of the THF. Product obtained in this way (9.0146 g; 59%) was a complex containing 3 molecules of Annamycin per 2 molecules of THF and its purity by HPLC analysis was better than 98%. HPLC analysis was on an analytical C-18 reverse phase column with increasing concentrations of methanol/acetonitrile in water. The purity was determined by measuring the area of the absorbance peaks. 1 H NMR (DMSO-d6) d 1.20 (d, 3H, J6′, 5′ =6.2 Hz, H-6′), 1.75 (m, 2.7H, Ha from THF), 2.10 (dd, 1H, J8a,7 =5.6 Hz, J8a,8e =14.5 Hz, H-8a), 2.18 (dd, 1H, J8e,8a =14.8 Hz, J8e,7 =2.9 Hz, H-8e), 250 (DMSO peak), 2.75 (dd, 1H, J3′,2′ =3.9 Hz, J3′,4′ =8.8 Hz, H-3′), 2.95 (d, 1H, J10a,10e =18.4 Hz, H-10a), 3.00 (d, 1H, J10e,10a =18.4 Hz, H-10e), 3.20 (t, 1H, SJ=18.1 Hz, H-4′), 3.59 (m, 2.7H, Hb from THF), 3.95 (m, 1H, H-5′), 4.30 (d, 1H, J2′,3′ =4.0 Hz, H-2′), 4.55 (s, 2H, H-14), 4.89 (t, 1H, exchangeable, OH), 4.92 (m, 1H, H-7), 5.18 (d, 1H, exchangeable, OH), 5.38 (d, 1H, exchangeable, OH), 5.49 (s, 1H, H-1′), 5.50 (d, 1H, exchangeable, OH), 7.9, 8.4 (2m, 4H,H-1,2,3,4); 13 C NMR (DMSO-d6) d 17.0(s, 1C, C-6′), 24.5 (s, 1C, THFb), 31.7 (s, 1C, C-2′), 31.9 (s, 1C, C-10), 36.4 (s, 1C, C-8), 63.0 (s, 1C, C-3′), 66.4 (s, 1C, C-5′), 67.4 (s, 1C, THFa), 69.4, 13 C-NMR (DMSO-d6) δ 17.9 (s, 1C, C-6′), 25.1 (s, 1C, THFb), 40.6, 36.6, 32.1 (3s, 3C, C-2′,8,10), 63.6 (s, 1C, C-14), 67.0, 67.5, 70.4, 69.7 (4s, 4C, C-7, 5′, 3′, THFa), 74.2, 74.7 (2s, 2C, C-9, 4′), 104.5 (s, 1C, C-1′), 110.1, 110.8 (2s, 1C, C-11a, 5a), 126.6, 132.6, 132.8, 134.4, 135.1, 135.0, 136.0 (7s, 8C, C-2, 3, 1, 4, 4a, 12a, 10a), 136.0 (s, 1C, C-6a), 155.1, 156.4 (2s, 2C, C-6, 11), 186.2, 186.3 (2s, 2C, C-5, 12), 214 (s, 1C, C-13).
SYN
SYN
SYN
EXAMPLE I. SYNTHESIS OF (+)-4-DEMETHOXY-14-O-TERT-BUTYL
DIMETHYLSILYL-7-O-(2,6-DIDEOXY-2-IODO-α-L-MANNOPYRANOSYL)ADRIAMYCINONE (8)
To a solution consisting of a mixture of compounds (6) and (7), shown in Figure 1 , (1.8530g, 2.21mmol) in CH2CI2 (48 mL) and EtOH (16 mL), a IN MeONa solution in MeOH (1.6 mL) was added at room temperature with stirring. Next 1.6 mL of a IN MeONa solution in MeOH (1.6 mL) was added after 50 min. After 1.5 hr. the reaction was checked by TLC developed with CCl4/MeOH (96:4), and the reaction mixture was diluted with dichloromethane (300 mL) and 0.05N HCL (100 mL) was added. The resulting mixture was shaken in a separatory funnel and, after separation, the organic layer was washed with water (2 x 50 mL), dried over Na2SO4, filtered and evaporated. The residue left after evaporation was precipitated from 4 mL of CH2CI2 by addition of 35 mL of hexane. The precipitate was filtered, washed with hexane (40 mL) and then dried in vacuo (1 lmbar) at ambient temperature for 30 min. to give crude product (8) (1.3618g, 82%). The crude product was then filtered through silica with a solution of 95:5 toluene/acetone and precipitated from CH2CI2 by addition of hexane. Product was then dried in vacuo (1 lmbar) at ambient temperature for 30 minutes to give pure compound (8) (1.358g; 55%): ^H NMR d 0.15 (s, 6H, Me2Si), 0.95 (s, 9H, CMe3), 1.40 (d, 3H, J6′,5’=6.2Hz, H-6′), 2.18 (dd, 1H, J8a,7=4.4Hz, J8a,8e=l 5.0Hz, H-8a), 2.35 (d, 1H, J8e,8a=14.9Hz, H-8e), 2.85 (dd, 1H, J3′,2’*=4-0Hz, J3′54’=8.9Hz, H-3′), 3.02 (d, 1H, Jl0a,10e=19.0Hz, H-lOa), 3.24 (d, 1H, Jl0e,10a=l 9.0Hz, H-lOe), 3.58 (t, 1H, SJ=18.2Hz, H-4′), 3.94 (m, 1H, H-5′), 4.18 (s, 1H, 9OH), 4.54 (d, 1H, J2′,3’=3.9Hz, H-2′) 4.84, 4.90 (2d, 2H, H-14), 5.22 (bs, 1H, H-7), 5.75 (s, 1H, H-l’), 7.9, 8.4 (2m, 4H, H-1,2,3,4).
EXAMPLE II. DESILYLATION IN THF/HCl
To a solution of compound (8), (16.5928g, 21.99mmol) in THF (415 mL), IN HC1 (415 mL) was added. After 25 minutes the progress of the reaction was checked by TLC developed in toluene/acetone (6:4 or 5:1) and half of the THF was evaporated in vacuo at 20°C (35mbar). The precipitate was filtered off and washed with water until the pH reached neutral (14 x 40 mL), then washed with ether (Et2θ, 5 x 32 mL) and subsequently with water (3 x 40 mL). The crude product was pre-dried on a Buchner funnel and then dried in vacuo (0.08mbar) at room temperature for 38 hrs.
EXAMPLE III. DESILYLATION IN METHANOL/HC1
To a solution/suspension of compound (8) (1.0064 g, 1.33 mmol) in methanol (45 mL), IN HC1 (10 mL) was added. The progress of the reaction was monitored by TLC developed in toluene/acetone, 6:4 and chloroform methanol, 94:6. After 45 min. 5 mL of IN HC1 solution was added to the reaction mixture. After 1 hr. 15 min. the product of the reaction was precipitated by addition of 30 mL water and filtered off. Product was washed with water until neutral pH (4 x 10 mL), diethylether (3 x 10 mL) and again with water (2 x 10 mL). Crude product was pre-dried on Buchner funnel and then dried in vacuo (0.1 mbar) at room temperature for 24 hrs. to give 0.6722 g (79% yield) of deep red powder.
EXAMPLE IV. DESILYLATION IN METHANOL/H2SO4
To a solution suspension of compound (8) (1.0065 g, 1.33 mmol) in methanol (45 mL), 10 mL of IN H2SO4 was added. The progress of the reaction was monitored by TLC developed in toluene/acetone, 6:4 and chloroform/methanol, 94:6. After 15 min. the product of the reaction was precipitated by adding 35 mL of water and filtered off. Product was washed with water until neutral pH (4 x 10 mL), diethylethe (3 x 10 mL) and again with water (2 x 10 mL). Crude product was pre-dried on Buchner funnel and then dried in vacuo (0.1 mbar) at room temperature for 24 hrs. to give 0.6318 g (74% yield) of deep red powder. EXAMPLE V. DESILYLATION IN ACETONE/H2SO4
To a solution of compound (8) (0.7592 g, 1.01 mmol) in acetone (30 mL) 3.5 mL IN H2SO4 was added. The progress of the reaction was monitored by TLC developed in toluene/acetone, 6:4 and chloroform/methanol, 94:6. After 1 hr. the product of the reaction was precipitated by addition of 35 mL water and filtered off. The product was washed with water until neutral pH (4 x 10 mL), dicthyleher (3 x 10 mL) and again with water (2 x 10 mL). Crude product was pre-dried on Buchner funnel and then dried in vacuo (0.1 mbar) at room temperature for 48 hrs. to give 0.4994 g (77% yield) of deep red powder.
EXAMPLE VI. DESILYLATION IN DMSO/HC1
To a solution of compound (8) (0.7815 g, 1.04 mmol) in DMSO (30 mL) 7.5 mL of IN HC1 was added. Progress of the reaction was monitored by TLC developed in toluene/acetone, 6:4 and chloroform/methanol, 94:6. After 1 hr. 20 min. the product of the reaction was precipitated by addition of water (37 mL) and filtered off. The product was washed with water until neutral pH (4 x 10 mL), dietheylether (3 x 10 mL) and again with water (2 x 10 mL). Crude product was pre-dried on Buchner funnel and then dried in vacuo (0.1 mbar) at room temperature for 48 hrs. to give 0.5165 g (78% yield) of deep red powder. EXAMPLE VII. DESILYLATION IN DMSO/H2SO
To a solution of compound (8) (0.7613 g, 1.01 mmol) in DMSO (5 mL) and ethanol
(10 mL) 1 mL of IN H2SO4 was added. Progress of the reaction was monitored by TLC developed in toluene/acetone, 6:4 and chloroform/methanol, 94:6. After 1 hr. 10 min. product of the reaction was precipitated by addition of water (15 mL) and filtered off. Product was washed with water until neutral pH (4 x 10 mL), diethylether (3 x 10 mL) and again with water (2 x 10 mL). Crude product was pre-dried on Buchner funnel and then dried in vacuo (0.1 mbar) at room temperature for 48 hrs. to give 0.5338 g (83% yield) of deep red powder. EXAMPLE VIII. PURIFICATION OF ANNAMYCIN
Crude product was purified further by triple precipitation from THF. To accomplish this, approximately 87 mL of THF was used to redissolve each gram of Annamycin product and an equal volume of one of the following solvents was added to precipitate the .Annamycin in each successive precipitation step. In the preferred method, the first precipitation was accomplished by adding an equal volume of a 7:3 mixture of hexane\diethylether, the second precipitation was accomplished by the addition of an equal volume of hexane, and the third precipitation was by addition of an equal volume of water and evaporation of half of the THF. Product obtained in this way (9.0146g; 59%) was a complex containing 3 molecules of .Annamycin per 2 molecules of THF and its purity by HPLC analysis was better than 98%. HPLC analysis was on an analytical C-18 reverse phase column with increasing concentrations of methanol/acetonitrile in water. The purity was determined by measuring the area of the absorbance peaks. H NMR (DMSO-d6) d 1.20 (d, 3H, J6′,5′-=6.2Hz, H-6′), 1.75 (m, 2.7H, Ha from THF), 2.10 (dd, IH, J8a,7=5.6Hz, J8a,8e=14.5Hz, H-8a), 2.18 (dd, IH, J8e,8a=14.8Hz, J8e,7=2.9Hz, H-8e), 2.50 (DMSO peak), 2.75 (dd, IH, J3′,2’=3.9Hz, J3′,4’=8.8Hz, H-3′), 2.95 (d, IH, Jl0a,10e=18.4Hz, H-10a), 3.00 (d, IH, Jl0e,10a=18.4Hz, H-lOe), 3.20 (t, IH, SJ=18.1Hz, H-4′), 3.59 (m, 2.7H, Hb from THF), 3.95 (m, IH, H-5′), 4.30 (d, IH, J2′,3’=4.0Hz, H-2′), 4.55 (s, 2H, H-14), 4.89 (t, IH, exchangeable, OH), 4.92 (m, IH, H-7), 5.18 (d, IH, exchangeable, OH), 5.38 (d, IH, exchangeable, OH), 5.49 (s, IH, H-l’), 5.50 (d, IH, exchangeable, OH), 7.9, 8.4 (2m, 4H,H- 1,2,3,4); 13C NMR (DMSO-d6) d 17.0(s, IC, C-6′), 24.5 (s, IC, THFb), 31.7 (s, IC, C-2′), 31.9 (s, IC, C-10), 36.4 (s, IC, C-8), 63.0 (s, IC, C-3′), 66.4 (s, IC, C-5′), 67.4 (s, IC, THFa), 69.4, ,3C-NMR (DMSO-d6) δ 17.9 (s, IC, C-6′), 25.1 (s, IC, THFb), 40.6, 36.6, 32.1 (3s, 3C, C-2′, 8, 10), 63.6 (s, IC, C-14), 67.0, 67.5, 70.4, 69.7 (4s, 4C, C-7, 5′, 3′, THFa), 74.2, 74.7 (2s, 2C, C-9, 4′), 104.5 (s, IC, C-l’), 110.1, 110.8 (2s, IC, C-lla, 5a), 126.6, 132.6, 132.8, 134.4, 135.1, 135.0, 136.0 (7s, 8C, C-2, 3, 1, 4, 4a, 12a, 10a), 136.0 (s, IC, C-6a), 155.1, 156.4 (2s, 2C, C-6, 11), 186.2, 186.3 (2s, 2C, C-5, 12), 214 (s, IC, C-13).
PAT
- Co-solvent compositions and methods for improved delivery of dantrolene therapeutic agentsPublication Number: US-2011160261-A2
- HER2 mutation inhibitorsPublication Number: US-12447153-B2Grant Date: 2025-10-21
- Submicron liposome suspensions obtained from preliposome lyophilizatesPublication Number: US-7238366-B1Priority Date: 1995-06-06Grant Date: 2007-07-03
- Submicron liposome suspension obtained from freeze-dried preliposomePublication Number: JP-H11507369-APriority Date: 1995-06-06
- Submicron liposome suspensions obtained from preliposome lyophilizatesPublication Number: EP-1800665-A3Priority Date: 1995-06-06
- Submicron liposome suspensions obtained from preliposome lyophilizatesPublication Number: EP-0831781-A1Priority Date: 1995-06-06
- Process for preparing aminoglycsidic antibioticsPublication Number: CS-202570-B2Priority Date: 1976-04-14
- Methods and systems for assessing biological materials using optical and spectroscopic detection techniquesPublication Number: US-2004052730-A1Priority Date: 1995-10-04
- Submicron liposome suspensions obtained from preliposome lyophilizatesPublication Number: EP-1800665-A2Priority Date: 1995-06-06
- Submicron liposome suspensions obtained from preliposome lyophilizatesPublication Number: US-5902604-APriority Date: 1995-06-06Grant Date: 1999-05-11
- Submicron liposome suspensions obtained from preliposome lyophilizatesPublication Number: WO-9639121-A1Priority Date: 1995-06-06
- Submicron liposome suspensions obtained from preliposome lyophilizatesPublication Number: CA-2221341-A1Priority Date: 1995-06-06
- Compounds and methods for the selective treatment of cancer and bacterial infectionsPublication Number: WO-9739007-A1Priority Date: 1996-04-12
- Compounds and methods for the selective treatment of cancer and bacterial infectionsPublication Number: US-6218519-B1Priority Date: 1996-04-12Grant Date: 2001-04-17
- Methods and systems for assessing biological materials using optical and spectroscopic detection techniquesPublication Number: US-6573063-B2Priority Date: 1995-10-04Grant Date: 2003-06-03
- Methods and systems for assessing biological materials using optical and spectroscopic detection techniquesPublication Number: US-6319682-B1Priority Date: 1995-10-04Grant Date: 2001-11-20
- Methods and systems for assessing biological materials using optical and spectroscopic detection techniquesPublication Number: US-2002055092-A1Priority Date: 1995-10-04



AS ON OCT2025 4.511 LAKHS VIEWS ON BLOG WORLDREACH AVAILABLEFOR YOUR ADVERTISEMENT

join me on Linkedin
Anthony Melvin Crasto Ph.D – India | LinkedIn
join me on Researchgate
RESEARCHGATE

join me on Facebook
Anthony Melvin Crasto Dr. | Facebook
join me on twitter
Anthony Melvin Crasto Dr. | twitter
+919321316780 call whatsaapp
EMAIL. amcrasto@gmail.com

Further reading
- Priebe W (1995). “Mechanism of action-governed design of anthracycline antibiotics: a “turn-off/turn-on” approach”. Current Pharmaceutical Design. 1 (1): 51–68. doi:10.2174/1381612801666220524190711. S2CID 90406009.
- Trevino AV, Woynarowska BA, Herman TS, Priebe W, Woynarowski JM (November 2004). “Enhanced topoisomerase II targeting by annamycin and related 4-demethoxy anthracycline analogues”. Mol Cancer Ther. 3 (11): 1403–10. doi:10.1158/1535-7163.1403.3.11. PMID 15542779.
External links
| Clinical data | |
|---|---|
| ATC code | none |
| Identifiers | |
| IUPAC name | |
| CAS Number | 92689-49-1 |
| PubChem CID | 115212 |
| ChemSpider | 103088 |
| UNII | SNU299M83Q |
| KEGG | D12844 |
| CompTox Dashboard (EPA) | DTXSID901027238 |
| ECHA InfoCard | 100.235.298 |
| Chemical and physical data | |
| Formula | C26H25IO11 |
| Molar mass | 640.379 g·mol−1 |
| 3D model (JSmol) | Interactive image |
| SMILES | |
| InChI | |
//////////naxtarubicin, DNA topoisomerase II inhibitor, antineoplastic, Annamycin, Annamycin-LF, Annamycin-liposomal, L-ANNA, L-annamycin, Liposomal annamycin, S-ANNA, SNU299M83Q
DRUG APPROVALS BY DR ANTHONY MELVIN CRASTO
.....
