New Drug Approvals

Home » Uncategorized » Tasquinimod for patients with metastatic castrate-resistant prostate cancer (mCRPC) who have not yet received chemotherapy

Tasquinimod for patients with metastatic castrate-resistant prostate cancer (mCRPC) who have not yet received chemotherapy

DRUG APPROVALS BY DR ANTHONY MELVIN CRASTO .....FOR BLOG HOME CLICK HERE

ORGANIC SPECTROSCOPY

Read all about Organic Spectroscopy on ORGANIC SPECTROSCOPY INTERNATIONAL 

Archives

Categories

Recent Posts

Blog Stats

  • 4,932,598 hits

Unknown's avatar

Enter your email address to follow this blog and receive notifications of new posts by email.

Join 37.8K other subscribers

add to any

Share

Tasquinimod

Tasquinimod (ABR-215050, CID 54682876) is a novel, oral drug currently being investigated for the treatment of solid tumors. Tasquinimod has been mostly studied in prostate cancer, but its mechanism of action suggests that it could be used to treat other cancers. Castration-resistant prostate cancer (CRPC), formerly called hormone-resistant or hormone-refractory prostate cancer, is prostate cancer that grows despite medical or surgical androgen deprivation therapy. Tasquinimod targets the tumor microenvironment and counteracts cancer development by inhibiting angiogenesis and metastasis and by modulating the immune system. It is now in phase III development, following successful phase II trial outcomes.

Collaborative studies by laboratories at The Johns Hopkins University School of Medicine, Baltimore, Maryland, USA, and Active Biotech Research AB, Lund, Sweden, identified tasquinimod as the lead agent for developing a treatment for prostate cancer.Tasquinimod was one of several second-generation quinoline-3-carboxamide variants synthesized using the drug roquinimex as a starting point, and it performed well in pre-clinical studies of cancer models

Tasquinimod is a novel small molecule that targets the tumor microenvironment by binding to S100A9 and modulating regulatory myeloid cell functions, exerting immunomodulatory, anti-angiogenic and anti-metastatic properties. Tasquinimod may also suppress the tumor hypoxic response, contributing to its effect on the tumor microenvironment. Today the development of tasquinimod is principally focused on the treatment of prostate cancer, but clinical studies in other cancer indications are performed. The ongoing 10TASQ10 trial is a randomized, double-blind, placebo-controlled, global Phase III clinical trial evaluating tasquinimod in patients with metastatic castrate-resistant prostate cancer (mCRPC) who have not yet received chemotherapy.

The aim of the 10TASQ10 study is to confirm tasquinimod’s efficacy, with radiological Progression Free Survival (rPFS) as primary endpoint and overall survival (OS) as key secondary endpoint. The Phase III 10TASQ10 trial met its enrollment target in December 2012 with 1,245 randomized patients as planned in the clinical protocol. The study recruited patients in 37 countries covering more than 200 centers. Active Biotech and Ipsen plan to conduct the primary PFS analysis for the 10TASQ10 trial in 2014, at the same time as the first interim overall survival (OS) analysis.

About Active Biotech

Active Biotech AB (nasdaq omx nordic:ACTI) is a biotechnology company with focus on autoimmune/inflammatory diseases and cancer. Projects in pivotal phase are laquinimod, an orally administered small molecule with unique immunomodulatory properties for the treatment of multiple sclerosis, tasquinimod for prostate cancer and ANYARA primarily for the treatment of renal cell cancer. In addition, laquinimod is also in Phase II development for Crohn’s and Lupus. The company also has one additional project in clinical development, the orally administered compound paquinimod (57-57) for systemic sclerosis. Please visit http://www.activebiotech.com for more information.

About Ipsen

Ipsen is a global specialty-driven pharmaceutical company with total sales exceeding EUR1.2 billion in 2012. Ipsen’s ambition is to become a leader in specialty healthcare solutions for targeted debilitating diseases. Its development strategy is supported by 3 franchises: neurology, endocrinology and uro-oncology. Moreover, the Group has an active policy of partnerships. Ipsen’s R&D is focused on its innovative and differentiated technological platforms, peptides and toxins. In 2012, R&D expenditure totaled close to EUR250 million, representing more than 20% of Group sales. The Group has close to 4,900 employees worldwide. Ipsen’s shares are traded on segment A of Euronext Paris (stock code:IPN)(isin code:FR0010259150) and eligible to the “Service de Reglement Differe” (“SRD”). The Group is part of the SBF 120 index. Ipsen has implemented a Sponsored Level I American Depositary Receipt (ADR) program, which trade on the over-the-counter market in the United States under the symbol IPSEY. For more information on Ipsen, visit http://www.ipsen.com.

In 2011, Active Biotech and Ipsen entered into a broad partnership for the co-development and commercialization of tasquinimod. Under the terms of the agreement, Active Biotech has granted Ipsen exclusive rights to commercialize tasquinimod worldwide, except for North and South America and Japan, where Active Biotech has retained all commercial and marketing rights. Both companies co-develop tasquinimod for the treatment of metastatic castrate-resistant prostate cancer (mCRPC) and Ipsen is developing tasquinimod also in other cancer indications. Active Biotech is responsible for conducting and funding the Phase III 10TASQ10 pivotal clinical trial and will receive up to EUR 200M (whereof EUR 25M upfront and EUR 32M in milestones have been received so far) upon achievement of clinical, regulatory and commercial milestones. In addition, Ipsen will pay Active Biotech tiered double-digit royalties on all sales of TASQ in Ipsen’s territories

N-alkyl-N-phenyl-quinoline-3-carboxamides such as paquinimod (herein below also referred to as A), laquinimod (herein below also referred to as B), andtasquinimod (herein below also referred to as C), have been prepared by a method involving distillation of the volatiles from a mixture comprising an ester, aniline and an aliphatic solvent such as n-heptane or n-octane.

Figure imgf000002_0001

Paquinimod (A) Laquinimod (B) Tasquinimod (C)

This method is described in US patent No. 6,875,869.

The prior art synthetic protocol (Org. Process. Res&Dev. 2007, 11, 674-680) for N-alkyl-N- phenyl-quinoline-3-carboxamides such as paquinimod (A), laquinimod (B), and tasquinimod (C) is exemplified with synthesis of paquinimod in Scheme 1. The route starts with an an- thranilic acid 1 which is transformed into an isatoic anhydride 2. The isatoic anhydride is methylated to give 3, which is condensed with dimethylmalonate to give the corresponding methyl ester 4. The methyl ester is subsequently condensed with the appropriate aniline, to give the desired final compound.

Figure imgf000003_0001
Figure imgf000003_0002

Scheme 1. The synthetic route to N-alkyl-N-phenyl-quinoline-3-carboxamides, exemplified with the synthesis of paquinimod (A) via the corresponding methyl ester 4.

This manufacturing method is short and avoids the use of expensive reagents. All intermediates are stable and easy to isolate in high purity by precipitation and filtration. The main impurity in the final condensation step is remaining alkyl ester. Alternative methods, such as carbodiimide mediated coupling between a carboxylic acid and aniline, or the condensation of N-alkyl-N-phenyl-malonamic acid methyl ester with an isatoic anhydride (US patent No. 5,912,349) are either longer or yield product of lower purity.

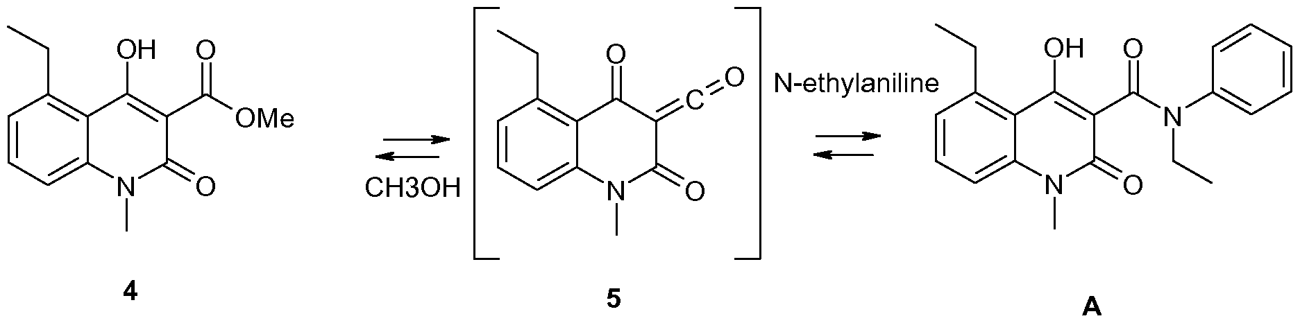
The final condensation step is an equilibrium (Scheme 2) that favors the alkyl ester and a action mechanism involving a ketene intermediate 5 has been strongly indicated (J. Org. Chem. 2006, 71, 1658-1667 and J Phys. Chem. A 2008, 112, 4501-4510).

Figure imgf000003_0003

Scheme 2. An intermediate ketene 5 is involved in the equilibrium between 4 and A. Usually formation of amides from esters and anilines requires very high reaction temperatures that also cause extensive byproduct formation. The above-mentioned reaction is enabled at moderate temperatures by the ability of 4 to unimolecularly form the ketene intermediate 5 instead of a tetrahedral intermediate. The method, which is described e.g. in US patent No. 6,875,869, comprises charging the reactor with an appropriate ester and an aniline derivative in an aliphatic solvent such as n-heptane or n-octane.

The equilibrium is driven towards the desired product by distilling off the solvent and any formed alcohol. After complete reaction the mixture is cooled and the precipitated raw product is isolated by filtration. Unlike most other reactions where esters are transformed into thermodynamically more stable amides this particular reaction needs a very efficient removal of formed alcohol in order to give a high yield.


1 Comment

Leave a comment

This site uses Akismet to reduce spam. Learn how your comment data is processed.

DR ANTHONY CRASTO

Follow New Drug Approvals on WordPress.com

Enter your email address to follow this blog and receive notifications of new posts by email.

Join 37.8K other subscribers
DR ANTHONY MELVIN CRASTO Ph.D

DR ANTHONY MELVIN CRASTO Ph.D

DR ANTHONY MELVIN CRASTO, Born in Mumbai in 1964 and graduated from Mumbai University, Completed his Ph.D from ICT, 1991,Matunga, Mumbai, India, in Organic Chemistry, The thesis topic was Synthesis of Novel Pyrethroid Analogues, Currently he is working with AFRICURE PHARMA, ROW2TECH, NIPER-G, Department of Pharmaceuticals, Ministry of Chemicals and Fertilizers, Govt. of India as ADVISOR, earlier assignment was with GLENMARK LIFE SCIENCES LTD, as CONSUlTANT, Retired from GLENMARK in Jan2022 Research Centre as Principal Scientist, Process Research (bulk actives) at Mahape, Navi Mumbai, India. Total Industry exp 32 plus yrs, Prior to joining Glenmark, he has worked with major multinationals like Hoechst Marion Roussel, now Sanofi, Searle India Ltd, now RPG lifesciences, etc. He has worked with notable scientists like Dr K Nagarajan, Dr Ralph Stapel, Prof S Seshadri, etc, He did custom synthesis for major multinationals in his career like BASF, Novartis, Sanofi, etc., He has worked in Discovery, Natural products, Bulk drugs, Generics, Intermediates, Fine chemicals, Neutraceuticals, GMP, Scaleups, etc, he is now helping millions, has 9 million plus hits on Google on all Organic chemistry websites. His friends call him Open superstar worlddrugtracker. His New Drug Approvals, Green Chemistry International, All about drugs, Eurekamoments, Organic spectroscopy international, etc in organic chemistry are some most read blogs He has hands on experience in initiation and developing novel routes for drug molecules and implementation them on commercial scale over a 32 PLUS year tenure till date Feb 2023, Around 35 plus products in his career. He has good knowledge of IPM, GMP, Regulatory aspects, he has several International patents published worldwide . He has good proficiency in Technology transfer, Spectroscopy, Stereochemistry, Synthesis, Polymorphism etc., He suffered a paralytic stroke/ Acute Transverse mylitis in Dec 2007 and is 90 %Paralysed, He is bound to a wheelchair, this seems to have injected feul in him to help chemists all around the world, he is more active than before and is pushing boundaries, He has 100 million plus hits on Google, 2.5 lakh plus connections on all networking sites, 100 Lakh plus views on dozen plus blogs, 227 countries, 7 continents, He makes himself available to all, contact him on +91 9323115463, email amcrasto@gmail.com, Twitter, @amcrasto , He lives and will die for his family, 90% paralysis cannot kill his soul., Notably he has 38 lakh plus views on New Drug Approvals Blog in 227 countries......https://newdrugapprovals.wordpress.com/ , He appreciates the help he gets from one and all, Friends, Family, Glenmark, Readers, Wellwishers, Doctors, Drug authorities, His Contacts, Physiotherapist, etc He has total of 32 International and Indian awards

View Full Profile →

bloglovin

Follow my blog with Bloglovin The title of your home page You could put your verification ID in a comment Or, in its own meta tag Or, as one of your keywords Your content is here. The verification ID will NOT be detected if you put it here.