1206799-15-6 (Merestinib)
Chemical Formula: C30H22F2N6O3
Exact Mass: 552.17215
N-(3-fluoro-4-((1-methyl-6-(1H-pyrazol-4-yl)-1H-indazol-5-yl)oxy)phenyl)-1-(4-fluorophenyl)-6-methyl-2-oxo-1,2-dihydropyridine-3-carboxamide
- OriginatorEli Lilly…..Eli Lilly And Company
- ClassAmides; Antineoplastics; Dihydropyridines; Pyrazoles; Small molecules
- Mechanism of ActionMKNK1 protein inhibitors; MKNK2 protein inhibitors; Proto oncogene protein c met inhibitors; ROS1-protein-inhibitors
- 29 Jun 2015Immunocore in collaboration with Eli Lilly plans a phase Ib/II trial for Uveal Melanoma (Metastatic disease, Combination therapy)
- 18 Jun 2015Eli Lilly completes a phase I bioavailability trial in healthy volunteers in USA (NCT02370485)
- 01 Feb 2015Eli Lilly initiates enrolment in a phase I bioavailability trial in healthy volunteers in USA (NCT02370485)
| Company | Eli Lilly and Co. |
| Description | C-Met inhibitor |
| Molecular Target | c-Met receptor tyrosine kinase (c-MET) (MET) (HGFR) (c-Met proto-oncogene) |
| Mechanism of Action | c-Met receptor tyrosine kinase inhibitor |
| Therapeutic Modality | Small molecule |
| Latest Stage of Development | Phase II |
| Standard Indication | Cancer (unspecified) |
| Indication Details | Treat advanced cancer |
LY2801653 was identified and developed as a novel, potent, and orally active small molecule inhibitor of human c-Met. It demonstrated dose dependent inhibition of c-Met phosphorylation in xenograft tumors with a long lasting PD effect. LY2801653 displayed potent anti-tumor efficacy in a number of non small cell lung, renal, pancreatic, and breast tumor models. Examination of c-Met expression in these tumors by immunohistochemistry (IHC) revealed a good correlation between response and c-Met expression in the tumor tissue. LY2801653 treatment led to increase in functional vessel areas, and decrease in tumor hypoxia. Enhanced anti-tumor efficacy was achieved when Erlotinib was combined with LY2801653. . (source: http://cancerres.aacrjournals.org/cgi/content/meeting_abstract/70/8_MeetingAbstracts/3611).
Patent
MAIN
INTERMEDIATES
https://www.google.com/patents/US8030302
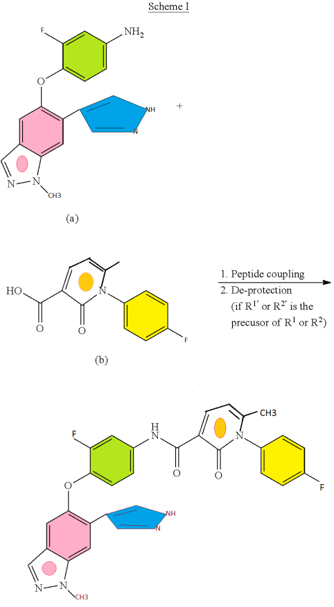
Example 1 N-(3-Fluoro-4-(1-methyl-6-(1H-pyrazol-4-yl)-1H-indazol-5-yloxy)phenyl)-1-(4-fluorophenyl)-6-methyl-2-oxo-1,2-dihydropyridine-3-carboxamide
To a 100 mL round bottom flask is added tert-butyl 4-(5-(4-amino-2-fluorophenoxy)-1-methyl-1H-indazol-6-yl)-1H-pyrazole-1-carboxylate (1.43 g, 3.38 mmol), 1-(4-flurorophenyl)-6-methyl-2-oxo-1,2-dihydropyridine-3-carboxylic acid (1.25 g, 5.07 mmol), EDCI (1.48 g, 7.6 mmol) and HOBt (776 mg, 5.07 mmol) followed by DMF (15 mL, 193.99 mmol) and then DIPEA (1.47 mL, 8.44 mmol). The mixture is allowed to stir at RT overnight. The reaction mixture is diluted into EtOAc (300 mL) and washed with saturated aqueous sodium chloride (5×100 mL). The combined aqueous solution is extracted with EtOAc (1×100 mL) and then the combined organic solutions are dried over N2SO4, filtered, and concentrated to dryness. The solid is purified on a silica gel column eluting with DCM (A) and a 10% MeOH in a DCM solution (B), gradient from 100% (A) to 80% (A):20% (B) over 70 min to give tert-butyl 4-(5-(2-fluoro-4-(1-(4-fluorophenyl)-6-methyl-2-oxo-1,2-dihydropyridine-3-carboxamido)phenoxy)-1-methyl-1H-indazol-6-yl)-1H-pyrazole-1-carboxylate as a gold solid (2.20 g, 87% yield). MS (m/z): 653. (M+H), 675 (M+Na).
Example 2 N-(3-Fluoro-4-(1-methyl-6-(1H-pyrazol-4-yl)-1H-indazol-5-yloxy)phenyl)-1-(4-fluorophenyl)-6-methyl-2-oxo-1,2-dihydropyridine-3-carboxamide
A 12 L round bottom flask is equipped with overhead agitation, a thermocouple, and a N2 purge. tert-Butyl 4-(5-(4-amino-2-fluorophenoxy)-1-methyl-1H-indazol-6-yl)-1H-pyrazole-1-carboxylate (404 g, 954.08 mmol) is dissolved in DMF (2 L) and charged to the flask. DMF (1 L) is used to rinse the flask. 1-(4-Fluorophenyl)-6-methyl-2-oxo-1,2-dihydropyridine-3-carboxylic acid (259.46 g, 1.05 mol) and EDCI (228.63 g, 1.19 mol) are added and it is rinse in with DMF (500 mL). Then HOBt (189.94 g, 1.24 mol) is added and it is again rinsed in with DMF (500 mL). Finally, DIPEA is slowly added (184.97 g, 1.43 mol). The dark solution is then stirred at RT over the weekend. To a 20 L bottom outlet flask is added DI water (3 L) and DCM (5 L). The reaction mixture is poured in and it is rinsed in with DCM (1 L). The organic layer is separated, washed with DI water (3×3 L), dried over Na2SO4, filtered, rinsed solids with DCM and concentrated the filtrate. EtOAc (2 L) is added to the residue and the solution is stirred for 1 hour. The product crystallizes out. The mixture is concentrated. Another portion of EtOAc (2 L) is added and concentrated to remove all of the DCM. EtOAc (650 mL) and MTBE (3 L) are added to the residue and the solution is stirred in an ice bath for 1 hour. The tan slurry is filtered using a polypropylene pad. The cake is rinsed with MTBE (2×500 mL). The light tan solid is dried overnight in the vacuum oven at 40° C. to give the crude product (553 g). The crude product is purified by silica gel column chromatography eluting with (50% EtOAc (50%):35% DCM (35%): n-heptane (15%)) to give the pure desired product tert-butyl 4-(5-(2-fluoro-4-(1-(4-fluorophenyl)-6-methyl-2-oxo-1,2-dihydropyridine-3-carboxamido)phenoxy)-1-methyl-1H-indazol-6-yl)-1H-pyrazole-1-carboxylate (424 g, 68%). MS (m/z): 651.0 (M−H).
tert-Butyl 4-(5-(2-fluoro-4-(1-(4-fluorophenyl)-6-methyl-2-oxo-1,2-dihydropyridine-3-carboxamido)phenoxy)-1-methyl-1H-indazol-6-yl)-1H-pyrazole-1-carboxylate (423.9 g, 649.50 mmol) is dissolved in DCM (4.24 L). HCl in MeOH (5.74 N, 799.99 mL, 4.59 mol) is added and the solution is heated at 30° C. for 1 hour. Then the reaction mixture is heated to 45° C. and DCM (1.5 L) is added. After two hours, the solution is heated to 50° C. and DCM (2 L) is added. After 3 hours, DCM (2 L) is added followed by HCl in MeOH (4.5 N, 721.67 mL, 3.25 mol). After another 45 min, DCM (1 L), HCl in MeOH (4.5 N, 288.67 mL, 1.30 mol), and MeOH (1.5 L) are added. The reaction solution is then heated to 60° C. After 4 hours, MeOH (2 L) is added and 10 min later DCM (1 L) is added followed by HCl in MeOH (4.5 N, 200 mL). After 5 hours, the reaction is complete. The reaction mixture is concentrated to about ⅓ volume. MeOH (2 L) is added and the solution is concentrated to a thick slurry. Again, MeOH (2 L) is added and the mixture is concentrated to a thick slurry. The slurry is cooled to about 10-15° C. and then filtered. The solids are washed with MeOH. The solids are placed in a 55° C. vacuum oven for 2 days to give the desired product N-(3-fluoro-4-(1-methyl-6-(1H-pyrazol-4-yl)-1H-indazol-5-yloxy)phenyl)-1-(4-fluorophenyl)-6-methyl-2-oxo-1,2-dihydropyridine-3-carboxamide hydrochloride (377 g, 92.8%). MS (m/z): 551.0 (M−H).
To a 22 L round bottom flask equipped with mechanical stirring under nitrogen is added N-(3-fluoro-4-(1-methyl-6-(1H-pyrazol-4-yl)-1H-indazol-5-yloxy)phenyl)-1-(4-fluorophenyl)-6-methyl-2-oxo-1,2-dihydropyridine-3-carboxamide hydrochloride (367 g, 0.62 mol) followed by DCM (7.34 L) and water (7.34 L). Na2CO3 (181.6 g, 1.71 mol) is added and the mixture is stirred at RT for 30 min. The pH is checked and found to be about 9.4. The mixture is filtered over polypropylene. The solids are collected and placed into a 5 L round bottom flask. A 20% water/MeOH solution (2.6 L) is added and the slurry is stirred for 30 min. The slurry is filtered and the solids are washed with 20% water/MeOH (600 mL). The solids are placed in a vacuum oven at 35° C. overnight. The first weighing indicates 394 g (theoretical yield 324.8 g, about 121% mass recovery). TGA (Thermogravimetric analysis)/DSC (differential scanning calorimetry) shows about 17 wt % free water and 10-11 wt% volatile loss at the melt. The solids are dried at 55° C. in a vacuum oven with a N2 sweep for 3.5 hours (354.7 g, about 109% mass recovery, NMR shows about 9.3 wt % DCM). No free water is present according to TGA/DSC. The material is sent for milling.
The jet mill (Aljet™ 0101) in a glove bag is assembled inside a walk in hood and hooked up to N2 to a 100 lb header. The inlet pusher nozzle is adjusted for maximum draw and max nitrogen flow is introduced into the mill. Pressure readings are noted as 90 psi on pusher nozzle and 85 psi on both grind nozzles. The starting material (353.4 g) is slowly fed to the mill inlet, stopping to empty the receiver sock as needed. The total milling time is 22 min and 25 second. The calculated feed rate is 15.8 g/min (353.4 grams divided by 22.42 min). The milled material (335.7 g, 95%) is obtained with 17.7 g loss. Particle size analysis result of the milled material is d90 of 4.6 microns.
TGA/DSC indicates about 11.4 wt % volatiles at the melt and NMR (DMSO) shows about 9.3 wt % DCM. 1H NMR (DMSO) δ 12.94 (br s, 1 H), 11.88 (s, 1H), 8.44 (d,J=7.47 Hz, 1 H), 8.12 (br s, 1 H), 8.00 (br s, 1 H), 7.96 (s, 1 H), 7.94 (d,J=2.2 Hz, 1 H), 7.91 (d,J=2.6 Hz, 1 H), 7.87 (s, 1H), 7.47-7.37 (m, 5 H), 6.82 (t,J=9.26 Hz, 8.82 Hz, 1 H), 6.65 (d,J=7.49 Hz, 1 H), 4.04 (s, 3 H), 2.03 (s, 3 H). LC/MS: (M+H) 553.1.
Anhydrous Crystal Form Preparation
To 10 mL of EtOH is added 120 mg of the above compound into a 20 mL vial. The sample is heated to 70° C. with stirring. Initially the solids start to dissolve and then a suspension forms followed by a white precipitate. The sample is cooled to RT while being stirred. A small sample of the slurry is taken by pipette and allowed to air dry. This material is highly crystalline and proves to be an ethanol solvate by TGA. To the remaining suspension, 10 mL of heptane is added and then heated to boiling. The measured temperature is monitored at 70.8° C. until the volume has been reduced to 10 mL. When the temperature starts to rise, the heat is removed and the slurry stirred at RT overnight. The solid is isolated by vacuum filtration and dried in a vacuum oven at 45° C. for 3 hours, resulting in 77% recovery. The crystalline form shows a weight loss of 0.17% from 25-238° C. by TGA. The form’s onset of melting is 247.8° C.
PAPER
N-(3-Fluoro-4-((1-methyl-6-(1H-pyrazol-4-yl)-1H-indazol-5-yl)oxy)phenyl)-1-(4-fluorophenyl)-6-methyl-2-oxo-1,2-dihydropyridine-3-carboxamide (1, LY2801653)
1H NMRof Merestinib
PAPER
1 MERESTENIBAn NH4Cl-catalyzed ethoxy ethyl deprotection was developed for the synthesis of merestinib, a MET inhibitor. Alternative reactor technologies using temperatures above the solvent boiling point are combined with this mild catalyst to promote the deprotection reaction. The reaction is optimized for flow and has been used to synthesize over 100 kg of the target compound. The generality of the reaction conditions is also demonstrated with other compounds and protecting groups.
1: 1H NMR (500 MHz, DMSO-d6): δ = 13.00 (s, 1 H), 11.93 (s, 1 H), 8.45 (d, J = 7.5 Hz, 1 H), 8.17 (s, 1 H), 8.05 (s, 1 H), 8.01 (s, 1 H), 7.97 (d, J = 2.2 Hz, 1 H), 7.91 (d, J = 2.6 Hz, 1 H), 7.50–7.46 (m, 2 H), 7.43–7.40 (m, 2 H), 7.27 (s, 1 H), 7.26–7.25 (m, 1 H), 6.86 (t, J = 9.0 Hz, 1 H), 6.67–6.65 (m, 1 H), 4.08 (s, 3 H), 2.03 (s, 3 H) ppm; 13C NMR (125 MHz, DMSO-d6): δ = 163.0, 161.5, 161.0, 153.2, 152.2, 147.5, 144.0, 140.1, 138.0, 137.3, 134.5, 134.1, 132.0, 130.1, 127.4, 124.2, 121.8, 119.8, 117.0, 116.8, 116.6, 116.1, 108.9, 108.6, 108.2, 107.8, 35.5, 21.7 ppm; HR-MS [ESI]: Calcd for C30H23F2N6O3+ [M + H+]: 553.1794, found 553.1793.

……….
WO 2010011538
http://www.google.co.in/patents/WO2010011538A1?cl=en
Example 1 N-(3 -Fluoro-4-( 1 -methyl-6-( lH-pyrazol-4-yl)- lH-indazol-5 -yloxy)phenyl)- 1 -(4- fluorophenyl)-6-methyl-2-oxo- 1 ,2-dihydropyridine-3 -carboxamide
To a 100 mL round bottom flask is added tert-butyl 4-(5-(4-amino-2- fluorophenoxy)-l -methyl- IH- indazol-6-y I)- lH-pyrazole-1-carboxylate (1.43 g, 3.38 mmol), l-(4-fluorophenyl)-6-methyl-2-oxo-l,2-dihydropyridine-3-carboxylic acid (1.25 g, 5.07 mmol), EDCI (1.48 g , 7.6 mmol) and ΗOBt (776 mg, 5.07 mmol) followed by DMF (15 mL, 193.99 mmol) and then DIPEA (1.47 mL, 8.44 mmol). The mixture is allowed to stir at RT overnight. The reaction mixture is diluted into EtOAc (300 mL) and washed with saturated aqueous sodium chloride (5 x 100 mL). The combined aqueous solution is extracted with EtOAc (1 x 100 mL) and then the combined organic solutions are dried over Na2SO4, filtered, and concentrated to dryness. The solid is purified on a silica gel column eluting with DCM (A) and a 10% MeOH in a DCM solution (B), gradient from 100% (A) to 80% (A):20% (B) over 70 min to give tert-butyl 4-(5-(2- fluoro-4-(l-(4-fluoroplienyl)-6-metliy 1-2-oxo- 1,2-dihy dropyridine-3- carboxamido)phenoxy)- 1 -methyl- lH-indazol-6-yl)- lH-pyrazole- 1 -carboxylate as a gold solid (2.20 g, 87% yield). MS (m/z): 653. (M+Η), 675 (M+Na).
To a round bottom flask is added tert-butyl 4-(5-(2-fluoro-4-(l-(4-fluorophenyl)- 6-methyl-2-oxo- 1 ,2-dihydropyridine-3 -carboxamido)phenoxy)- 1 -methyl- lH-indazol-6- yl)-lΗ-pyrazole-l -carboxylate (1.92 g, 2.94 mmol) and DCM (50 mL) followed by triethylsilane (1.88 mL, 11.77 mmol) and TFA (17.8 mL, 235.35 mmol). The reaction mixture is allowed to stir at RT for 1.5 hours. The solvent is removed and diluted into DCM (150 mL) and washed with saturated aqueous NaHCθ3 solution (2 x 100 mL). The organic solution is dried with Na2SO4, and concentrated under reduced pressure to give a solid material. The solid is purified on a silica gel column eluting with DCM (A) and a 10% MeOH in DCM solution (B), gradient from 100% (A) to 75%(A):25%(B) over 70 min, held at this 75:25 ratio for 15 min to give the title compound as an off-white solid. The solid is dissolved in hot EtOH (50 mL) followed by a portion-wise addition of distilled water (250 mL) causing a white solid to precipitate. The solid is filtered over a Buchner funnel and washed with distilled water (3 x 15 mL), air dried, and vacuum dried at 60 0C for 15 hours to give the title compound as an off-white solid (1.27 g, 78% yield). MS (m/z): 552.8 (M+H).
Example 2
N-(3-Fluoro-4-(l-methyl-6-(lH-pyrazol-4-yl)-lH-indazol-5-yloxy)phenyl)-l-(4- fluorophenyl)-6-methyl-2-oxo-l,2-dihydropyridine-3-carboxamide
A 12 L round bottom flask is equipped with overhead agitation, a thermocouple, and a N2 purge. tert-Butyl 4-(5-(4-amino-2-fluorophenoxy)-l -methyl- lH-indazol-6-yl)- lH-pyrazole-1-carboxylate (404 g, 954.08 mmol) is dissolved in DMF (2 L) and charged to the flask. DMF (1 L) is used to rinse the flask. l-(4-Fluorophenyl)-6-methyl-2-oxo- l,2-dihydropyridine-3-carboxylic acid (259.46 g ,1.05 mol) and EDCI (228.63 g , 1.19 mol) are added and it is rinse in with DMF (500 mL). Then ΗOBt (189.94 g, 1.24 mol) is added and it is again rinsed in with DMF (500 mL). Finally, DIPEA is slowly added (184.97 g, 1.43 mol). The dark solution is then stirred at RT over the weekend. To a 20 L bottom outlet flask is added DI water (3 L) and DCM (5 L). The reaction mixture is poured in and it is rinsed in with DCM (1 L). The organic layer is separated, washed with DI water (3 X 3 L), dried over Na2SO4, filtered, rinsed solids with DCM and concentrated the filtrate. EtOAc (2 L) is added to the residue and the solution is stirred for 1 hour. The product crystallizes out. The mixture is concentrated. Another portion of EtOAc (2 L) is added and concentrated to remove all of the DCM. EtOAc (650 mL) and MTBE (3 L) are added to the residue and the solution is stirred in an ice bath for 1 hour. The tan slurry is filtered using a polypropylene pad. The cake is rinsed with MTBE (2 x 500 mL). The light tan solid is dried overnight in the vacuum oven at 40 0C to give the crude product (553 g). The crude product is purified by silica gel column chromatography eluting with (50% EtOAc (50%):35% DCM (35%): n-heptane (15%)) to give the pure desired product tert-butyl 4-(5-(2-fluoro-4-(l-(4-fluorophenyl)-6-methyl-2-oxo-l,2- dihydropyridine-3 -carboxamido)phenoxy)- 1 -methyl- lH-indazol-6-yl)- lH-pyrazole- 1 – carboxylate (424 g, 68%). MS (m/z): 651.0 (M-H). tert-Butyl 4-(5-(2-fluoro-4-(l-(4-fluorophenyl)-6-methyl-2-oxo-l,2- dihydropyridine-3 -carboxamido)phenoxy)- 1 -methyl- lH-indazol-6-yl)- lH-pyrazole- 1 – carboxylate (423.9 g, 649.50 mmol) is dissolved in DCM (4.24 L). HCl in MeOH (5.74 N, 799.99 mL, 4.59 mol) is added and the solution is heated at 30 0C for 1 hour. Then the reaction mixture is heated to 45 0C and DCM (1.5 L) is added. After two hours, the solution is heated to 50 0C and DCM (2 L) is added. After 3 hours, DCM (2 L) is added followed by HCl in MeOH (4.5 N, 721.67 mL, 3.25 mol). After another 45 min, DCM (1 L), HCl in MeOH (4.5 N, 288.67 mL, 1.30 mol), and MeOH (1.5 L) are added. The reaction solution is then heated to 60 0C. After 4 hours, MeOH (2 L) is added and 10 min later DCM (1 L) is added followed by HCl in MeOH (4.5 N, 200 mL). After 5 hours, the reaction is complete. The reaction mixture is concentrated to about 1/3 volume. MeOH (2 L) is added and the solution is concentrated to a thick slurry. Again, MeOH (2 L) is added and the mixture is concentrated to a thick slurry. The slurry is cooled to about 10- 15 0C and then filtered. The solids are washed with MeOH. The solids are placed in a 55 0C vacuum oven for 2 days to give the desired product N-(3-fluoro-4-(l-methyl-6-(lH- pyrazol-4-yl)- lH-indazol-5-yloxy)phenyl)- 1 -(4-fluorophenyl)-6-methyl-2-oxo- 1,2- dihydropyridine-3-carboxamide hydrochloride (377 g, 92.8%). MS (m/z): 551.0 (M-H).
To a 22 L round bottom flask equipped with mechanical stirring under nitrogen is added N-(3-fluoro-4-(l-methyl-6-(lH-pyrazol-4-yl)-lH-indazol-5-yloxy)phenyl)-l-(4- fluorophenyl)-6-methyl-2-oxo-l,2-dihydropyridine-3-carboxamide hydrochloride (367 g, 0.62 mol) followed by DCM (7.34 L) and water (7.34 L). Na2CO3 (181.6 g, 1.71 mol) is added and the mixture is stirred at RT for 30 min. The pΗ is checked and found to be about 9.4. The mixture is filtered over polypropylene. The solids are collected and placed into a 5 L round bottom flask. A 20% water/MeOΗ solution (2.6 L) is added and the slurry is stirred for 30 min. The slurry is filtered and the solids are washed with 20% water/MeOΗ (600 mL). The solids are placed in a vacuum oven at 35 0C overnight. The first weighing indicates 394 g (theoretical yield 324.8 g, about 121% mass recovery).
TGA (Thermogravimetric analysis)/DSC (differential scanning calorimetry) shows about 17 wt % free water and 10-11 wt% volatile loss at the melt. The solids are dried at 55 0C in a vacuum oven with a N2 sweep for 3.5 hours (354.7 g, about 109% mass recovery, NMR shows about 9.3 wt % DCM). No free water is present according to TGA/DSC. The material is sent for milling. The jet mill (AIj et™ 0101) in a glove bag is assembled inside a walk in hood and hooked up to N2 to a 100 Ib header. The inlet pusher nozzle is adjusted for maximum draw and max nitrogen flow is introduced into the mill. Pressure readings are noted as 90 psi on pusher nozzle and 85 psi on both grind nozzles. The starting material (353.4 g) is slowly fed to the mill inlet, stopping to empty the receiver sock as needed. The total milling time is 22 min and 25 second. The calculated feed rate is 15.8 g/min (353.4 grams divided by 22.42 min). The milled material (335.7 g, 95%) is obtained with 17.7 g loss. Particle size analysis result of the milled material is d90 of 4.6 microns.
TGA/DSC indicates about 11.4 wt % volatiles at the melt and NMR (DMSO) shows about 9.3 wt % DCM. 1H NMR (DMSO) δ 12.94 (br s, 1 H), 11.88 (s, IH), 8.44 (d, J= 7.47 Hz, 1 H), 8.12 (br s, 1 H), 8.00 (br s, 1 H), 7.96 (s, 1 H), 7.94 (d, J= 2.2 Hz, 1 H), 7.91 (d, J= 2.6 Hz, 1 H), 7.87 (s, IH), 7.47-7.37 (m, 5 H), 6.82 (t, J= 9.26 Hz, 8.82 Hz, 1 H), 6.65 (d, J= 7.49 Hz, 1 H), 4.04 (s, 3 H), 2.03 (s, 3 H). LC/MS: (M + H) 553.1.
Anhydrous Crystal Form Preparation To 10 mL of EtOH is added 120 mg of the above compound into a 20 mL vial.
The sample is heated to 70 0C with stirring. Initially the solids start to dissolve and then a suspension forms followed by a white precipitate. The sample is cooled to RT while being stirred. A small sample of the slurry is taken by pipette and allowed to air dry. This material is highly crystalline and proves to be an ethanol solvate by TGA. To the remaining suspension, 10 mL of heptane is added and then heated to boiling. The measured temperature is monitored at 70.8 0C until the volume has been reduced to 10 mL. When the temperature starts to rise, the heat is removed and the slurry stirred at RT overnight. The solid is isolated by vacuum filtration and dried in a vacuum oven at 45 0C for 3 hours, resulting in 77% recovery. The crystalline form shows a weight loss of 0.17% from 25-238 0C by TGA. The form’s onset of melting is 247.80C.
|
References |
1: Yan SB, Peek VL, Ajamie R, Buchanan SG, Graff JR, Heidler SA, Hui YH, Huss KL, Konicek BW, Manro JR, Shih C, Stewart JA, Stewart TR, Stout SL, Uhlik MT, Um SL, Wang Y, Wu W, Yan L, Yang WJ, Zhong B, Walgren RA. LY2801653 is an orally bioavailable multi-kinase inhibitor with potent activity against MET, MST1R, and other oncoproteins, and displays anti-tumor activities in mouse xenograft models. Invest New Drugs. 2012 Dec 29. [Epub ahead of print] PubMed PMID: 23275061.
-
Liu, X.; Newton, R. C.; Scherle, P. A. Expert Opin. Invest. Drugs 2011, 20, 1225,DOI: 10.1517/13543784.2011.600687
-
Yan, S. B.; Peek, V. L.; Ajamie, R.; Buchanan, S. G.; Graff, J. R.; Heidler, S. A.; Hui, Y.;Huss, K. L.; Konicek, B. W.; Manro, J. R.; Shih, C.; Stewart, J. A.; Stewart, T. R.; Stout, S. L.; Uhlik, M. T.; Um, S. L.; Wang, Y.; Wu, W.; Yan, L.; Yang, W. J.; Zhong, B.; Walgren, R. A. Invest. New Drugs 2013, 31, 833, DOI: 10.1007/s10637-012-9912-9
-
Kallman, N. J.; Liu, C.; Yates, M. H.; Linder, R. J.; Ruble, J. C.; Kogut, E. F.; Patterson, L. E.; Laird, D. L. T.; Hansen, M. M. Org. Process Res. Dev. 2014, 18, 501,DOI: 10.1021/op400317zKallman, N.J.; Yates, M.H.; Linder, R.J.; Hansen, M.M.
Route design and development of c-Met inhibitor LY2801653
244th Am Chem Soc (ACS) Natl Meet (August 19-23, Philadelphia) 2012, Abst ORGN 212
////////
UPDATE…..
A new synthesis of a key indazole-containing building block for the MET kinase inhibitor merestinib was designed and demonstrated. Crucial to the successful construction of the challenging indazole is an SNAr reaction, which forges the heterocyclic ring. Continuous processing was applied to two of the five steps: nitration of a benzaldehyde and high-temperature hydrolysis of an aniline to phenol. Compared to a highly developed historical route, the new route shows clear benefits in terms of product quality and potentially manufacturability and robustness.
An Alternative Indazole Synthesis for Merestinib
6-Bromo-5-(2-fluoro-4-nitrophenoxy)-1-methyl-1H-indazole (2)
DRUG APPROVALS BY DR ANTHONY MELVIN CRASTO
.....












