New Drug Approvals

Home » SPOTLIGHT » BENAZEPRIL SYNTHESIS

BENAZEPRIL SYNTHESIS

DRUG APPROVALS BY DR ANTHONY MELVIN CRASTO .....FOR BLOG HOME CLICK HERE

ORGANIC SPECTROSCOPY

Read all about Organic Spectroscopy on ORGANIC SPECTROSCOPY INTERNATIONAL 

Archives

Categories

Recent Posts

Blog Stats

  • 4,933,180 hits

Unknown's avatar

Enter your email address to follow this blog and receive notifications of new posts by email.

Join 37.8K other subscribers

add to any

Share

BENAZEPRIL

CAS NO AS HCl SALT

86541-75-5
Benazepril, brand name Lotensin (Novartis), is a medication used to treat high blood pressure (hypertension), congestive heart failure, and chronic renal failure. Upon cleavage of its ester group by the liver, benazepril is converted into its active form benazeprilat, a non-sulfhydryl angiotensin-converting enzyme (ACE) inhibitor.
Benazepril, brand name Lotensin, is a medication used to treat high blood pressure (hypertension), congestive heart failure, and chronic renal failure. Upon cleavage of its ester group by the liver, benazepril is converted into its active form benazeprilat, a non-sulfhydryl angiotensin-converting enzyme (ACE) inhibitor.
The reaction of 2,3,4,5-tetrahydro-1H-(1)benzazepin-2-one (I) with PCl5 in hot xylene gives 3,3-dichloro-2,3,4,5-tetrahydro-1H-(1)benzazepin-2-one (II), which is treated with sodium acetate and reduced with H2 over Pd/C in acetic acid yielding 3-chloro-2,3,4,5-tetrahydro-1H-(1)benzazepin-2-one (III). The reaction of (III) with sodium azide in DMSO affords 3-azido-2,3,4,5-tetrahydro-1H-(1)benzazepin-2-one (IV), which is condensed with benzyl bromoacetate (V) by means of NaH in DMF giving 3-azido-1-(benzyloxycarbonylmethyl)-2,3,4,5-tetrahydro-1H-(1)benzazepin-2-one (VI). The treatment of (VI) with Raney-Ni in ethanol-water yields 3-amino-1-(benzyloxycarbonylmethyl)-2,3,4,5-tetrahydro-1H-(1)benzazepin-2-one (VII), which is debenzylated by hydrogenation with H2 over Pd/C in ethanol affording 3-amino-1-(carboxymethyl)-2,3,4,5-tetrahydro-1H-(1)benzazepin-2-one (VIII). Finally, this compound is condensed with ethyl 3-benzylpyruvate (IX) by means of sodium cyanoborohydride in methanol acetic acid.
REFERENCE
Casta馿r, J.; Serradell, M.N.; CGS-14824 A. Drugs Fut 1984, 9, 5, 317
Ciba-Geigy Corp. (USA). References 1. Watthey, J.W.H. (Ciba-Geigy AG); EP 72.352, GB 2.103.614, JP 83.38.260.

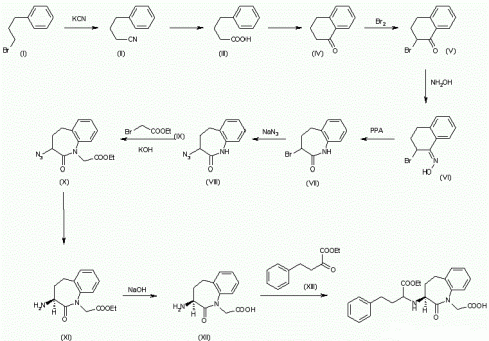
The reaction of 3-bromo-1-phenylpropane (I) with KCN gives 4-phenylbutyronitrile (II), which is hydrolyzed to the corresponding butyric acid (III). The cyclization of (III) with polyphosphoric acid affords 1-tetralone (IV), which is brominated to 2-bromo-1-tetralone (V) and treated with hydroxylamine to give the oxime (VI). The Beckman rearrangement of (VI) yields 3-bromo-2,3,4,5-tetrahydro-1H-(1)benzazepin-2-one (VII), which is treated with sodium azide to afford the azide derivative (VIII). The N-alkylation of (VIII) with ethyl bromoacetate (IX) by means of KOH and tetrabutylammonium bromide in THF gives the N-alkylated azide (X), which is reduced by catalytic hydrogenation to the corresponding amine (XI). The hydrolysis of the ester group of (XI) with NaOH yields the free acetic acid derivative (XII), which is finally reductocondensed with ethyl 2-oxo-4-phenylbutyrate (XIII) by means of sodium cyanoborohydride

WO 2003092698 A1



4 Comments

  1. medchemnintabelle's avatar medchemnintabelle says:

    Reblogged this on MedCheminAustralia.

    Like

  2. ashokkumar's avatar ashokkumar says:

    Reblogged on openaccess-chemistry.com

    Like

Leave a comment

This site uses Akismet to reduce spam. Learn how your comment data is processed.

DR ANTHONY CRASTO

Follow New Drug Approvals on WordPress.com

Enter your email address to follow this blog and receive notifications of new posts by email.

Join 37.8K other subscribers
DR ANTHONY MELVIN CRASTO Ph.D

DR ANTHONY MELVIN CRASTO Ph.D

DR ANTHONY MELVIN CRASTO, Born in Mumbai in 1964 and graduated from Mumbai University, Completed his Ph.D from ICT, 1991,Matunga, Mumbai, India, in Organic Chemistry, The thesis topic was Synthesis of Novel Pyrethroid Analogues, Currently he is working with AFRICURE PHARMA, ROW2TECH, NIPER-G, Department of Pharmaceuticals, Ministry of Chemicals and Fertilizers, Govt. of India as ADVISOR, earlier assignment was with GLENMARK LIFE SCIENCES LTD, as CONSUlTANT, Retired from GLENMARK in Jan2022 Research Centre as Principal Scientist, Process Research (bulk actives) at Mahape, Navi Mumbai, India. Total Industry exp 32 plus yrs, Prior to joining Glenmark, he has worked with major multinationals like Hoechst Marion Roussel, now Sanofi, Searle India Ltd, now RPG lifesciences, etc. He has worked with notable scientists like Dr K Nagarajan, Dr Ralph Stapel, Prof S Seshadri, etc, He did custom synthesis for major multinationals in his career like BASF, Novartis, Sanofi, etc., He has worked in Discovery, Natural products, Bulk drugs, Generics, Intermediates, Fine chemicals, Neutraceuticals, GMP, Scaleups, etc, he is now helping millions, has 9 million plus hits on Google on all Organic chemistry websites. His friends call him Open superstar worlddrugtracker. His New Drug Approvals, Green Chemistry International, All about drugs, Eurekamoments, Organic spectroscopy international, etc in organic chemistry are some most read blogs He has hands on experience in initiation and developing novel routes for drug molecules and implementation them on commercial scale over a 32 PLUS year tenure till date Feb 2023, Around 35 plus products in his career. He has good knowledge of IPM, GMP, Regulatory aspects, he has several International patents published worldwide . He has good proficiency in Technology transfer, Spectroscopy, Stereochemistry, Synthesis, Polymorphism etc., He suffered a paralytic stroke/ Acute Transverse mylitis in Dec 2007 and is 90 %Paralysed, He is bound to a wheelchair, this seems to have injected feul in him to help chemists all around the world, he is more active than before and is pushing boundaries, He has 100 million plus hits on Google, 2.5 lakh plus connections on all networking sites, 100 Lakh plus views on dozen plus blogs, 227 countries, 7 continents, He makes himself available to all, contact him on +91 9323115463, email amcrasto@gmail.com, Twitter, @amcrasto , He lives and will die for his family, 90% paralysis cannot kill his soul., Notably he has 38 lakh plus views on New Drug Approvals Blog in 227 countries......https://newdrugapprovals.wordpress.com/ , He appreciates the help he gets from one and all, Friends, Family, Glenmark, Readers, Wellwishers, Doctors, Drug authorities, His Contacts, Physiotherapist, etc He has total of 32 International and Indian awards

View Full Profile →

bloglovin

Follow my blog with Bloglovin The title of your home page You could put your verification ID in a comment Or, in its own meta tag Or, as one of your keywords Your content is here. The verification ID will NOT be detected if you put it here.