New Drug Approvals
Follow New Drug Approvals on WordPress.com

FLAGS AND HITS

Flag Counter
DRUG APPROVALS BY DR ANTHONY MELVIN CRASTO

Archives

Categories

Join me on Linkedin

View Anthony Melvin Crasto Ph.D's profile on LinkedIn

Join me on Researchgate

Anthony Melvin Crasto Dr.

  Join me on Facebook FACEBOOK   ...................................................................Join me on twitter Follow amcrasto on Twitter     ..................................................................Join me on google plus Googleplus

MYSELF

DR ANTHONY MELVIN CRASTO Ph.D ( ICT, Mumbai) , INDIA 36Yrs Exp. in the feld of Organic Chemistry,Working for AFRICURE PHARMA as ADVISOR earlier with GLENMARK PHARMA at Navi Mumbai, INDIA. Serving chemists around the world. Helping them with websites on Chemistry.Million hits on google, NO ADVERTISEMENTS , ACADEMIC , NON COMMERCIAL SITE, world acclamation from industry, academia, drug authorities for websites, blogs and educational contribution, ........amcrasto@gmail.com..........+91 9323115463, Skype amcrasto64 View Anthony Melvin Crasto Ph.D's profile on LinkedIn Anthony Melvin Crasto Dr.

Enter your email address to follow this blog and receive notifications of new posts by email.

Join 37.9K other subscribers
DR ANTHONY MELVIN CRASTO Ph.D

DR ANTHONY MELVIN CRASTO Ph.D

DR ANTHONY MELVIN CRASTO, Born in Mumbai in 1964 and graduated from Mumbai University, Completed his Ph.D from ICT, 1991,Matunga, Mumbai, India, in Organic Chemistry, The thesis topic was Synthesis of Novel Pyrethroid Analogues, Currently he is working with AFRICURE PHARMA, ROW2TECH, NIPER-G, Department of Pharmaceuticals, Ministry of Chemicals and Fertilizers, Govt. of India as ADVISOR, earlier assignment was with GLENMARK LIFE SCIENCES LTD, as CONSUlTANT, Retired from GLENMARK in Jan2022 Research Centre as Principal Scientist, Process Research (bulk actives) at Mahape, Navi Mumbai, India. Total Industry exp 32 plus yrs, Prior to joining Glenmark, he has worked with major multinationals like Hoechst Marion Roussel, now Sanofi, Searle India Ltd, now RPG lifesciences, etc. He has worked with notable scientists like Dr K Nagarajan, Dr Ralph Stapel, Prof S Seshadri, etc, He did custom synthesis for major multinationals in his career like BASF, Novartis, Sanofi, etc., He has worked in Discovery, Natural products, Bulk drugs, Generics, Intermediates, Fine chemicals, Neutraceuticals, GMP, Scaleups, etc, he is now helping millions, has 9 million plus hits on Google on all Organic chemistry websites. His friends call him Open superstar worlddrugtracker. His New Drug Approvals, Green Chemistry International, All about drugs, Eurekamoments, Organic spectroscopy international, etc in organic chemistry are some most read blogs He has hands on experience in initiation and developing novel routes for drug molecules and implementation them on commercial scale over a 32 PLUS year tenure till date Feb 2023, Around 35 plus products in his career. He has good knowledge of IPM, GMP, Regulatory aspects, he has several International patents published worldwide . He has good proficiency in Technology transfer, Spectroscopy, Stereochemistry, Synthesis, Polymorphism etc., He suffered a paralytic stroke/ Acute Transverse mylitis in Dec 2007 and is 90 %Paralysed, He is bound to a wheelchair, this seems to have injected feul in him to help chemists all around the world, he is more active than before and is pushing boundaries, He has 100 million plus hits on Google, 2.5 lakh plus connections on all networking sites, 100 Lakh plus views on dozen plus blogs, 227 countries, 7 continents, He makes himself available to all, contact him on +91 9323115463, email amcrasto@gmail.com, Twitter, @amcrasto , He lives and will die for his family, 90% paralysis cannot kill his soul., Notably he has 38 lakh plus views on New Drug Approvals Blog in 227 countries......https://newdrugapprovals.wordpress.com/ , He appreciates the help he gets from one and all, Friends, Family, Glenmark, Readers, Wellwishers, Doctors, Drug authorities, His Contacts, Physiotherapist, etc He has total of 32 International and Indian awards

Verified Services

View Full Profile →

Recent Posts

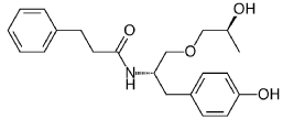
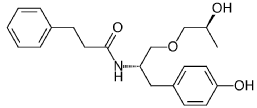
Nispomeben


Nispomeben

CAS 1443133-41-2

MF C21H27NO4 MW357.4 g/mol

N-[(2S)-1-(4-hydroxyphenyl)-3-[(2S)-2-hydroxypropoxy]propan-2-yl]-3-phenylpropanamide

N-{(2S)-1-(4-hydroxyphenyl)-3-[(2S)-2-hydroxypropoxy]propan-2-yl}-3-phenylpropanamide
non-opioid analgesic, 470338M5XD,  E1, NRD 135S E1, NRD E1, NRD.E1, NRD135S, NRD135S.E1, NRD135SE.1

Nispomeben is a small molecule drug. Nispomeben has a monoisotopic molecular weight of 357.19 Da.

  • OriginatorNovaremed
  • ClassAlcohols; Amides; Anti-inflammatories; Benzene derivatives; Non-opioid analgesics; Phenols; Small molecules
  • Mechanism of ActionLyn protein-tyrosine kinase modulators
  • Phase IINeuropathic pain
  • 02 Sep 2025Updated adverse events data from a phase II trial in Neuropathic pain released by Novaremed
  • 07 May 2025Novaremed completes enrolment in a phase-II clinical trial in Neuropathic pain in USA (PO) (NCT05480228)
  • 16 Sep 2022Phase-II clinical trials in Neuropathic pain in USA (PO) (NCT05480228)

PAT

WO 2013/084238

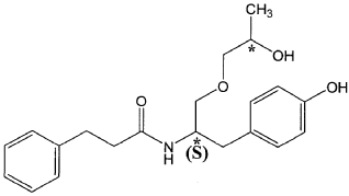
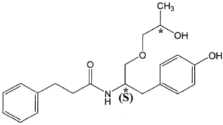
The present invention is based in part on the surprising discovery that the substantially pure enantiomers (S)2-N(3-0-((S)propan 2-ol)-l-propyl-4-hydroxybenzene)-3-phenylpropylamide (also known as the (S,S) enantiomer or El) and (S)2-N(3-0-((R)propan 2-ol)-l -propyl -4-hydroxybenzene)-3-phenylpropyl amide (also known as the (S,R) enantiomer or E2) modulate the activity of specific tyrosine kinases in an opposite manner. It was unexpectedly found that while the (S,S) enantiomer activated protein tyrosine kinases LynA and BLK, the (S,R) enantiomer inhibited their activity. It was further unexpectedly shown that the (S,S) enantiomer was effective as a pain analgesic in animal models of pain, while the (S,R) enantiomer was shown to be ineffective or less effective in these models. Furthermore, the analgesic effect of the (S,S) enantiomer was long acting as it was efficacious for more than 24 hours post administration, in comparison to the commonly used analgesic agent gabapentin which was effective for no longer than 5 hours post administration.

The isolated enantiomers according to some embodiments of the invention may be synthesized as a racemate by known in the art methods described for example in US 7,754,771, US 7,642,290, US 7,674,829 or US 2011/0086910. The racemate may be further separated by known in the art methods for the separation of chiral compounds. According to an exemplary embodiment, the enantiomers may be synthesized as a racemate (comprising (S)2-N(3-0-((S)propan 2-ol)-l-propyl-4-hydroxybenzene)-3-phenylpropylamide and (S)2-N(3-0-((R)propan 2-ol)-l-propyl-4-hydroxybenzene)-3-phenylpropylamide and be further separated by a supercritical fluid chromatography (SFC) in combination with chiral stationary phases. Specifically, the (S,S) and (S,R) compounds may be separated on RegisPack™ column a polysaccharide coated chiral column (with a tris-(3,5-dimethylphenyl) carbamoyl cellulose selector) generally used for enantiomeric separations of a wide range of racemate classes (Figure 7A-C).

According to some embodiments, the enantiomers may be synthesized directly using for example, the process described in scheme 1 for the preparation of the (S,S) enantiomer.

PAT

The bis-protected ether (15.7 g) was exposed to one-pot hydrogenation-debenzylation conditions (10% loading of 10% Pd/C and 0.25 eq of p-toluenesulfonic acid) in methanol. After 2 hours at 60° C. under a hydrogen atmosphere, HPLC analysis indicated that the hydrogenation of the benzyl and the debenzylation of PMB ring was complete. The reaction mixture was filtered over Celite and concentrated under reduced pressure. The residue was dissolve in ethyl acetate and a saturated aqueous sodium bicarbonate treatment was conducted to effectively remove p-toluenesulfonic acid, then DURP to provide 12.13 g of an oil (PR030-120-4). Desired product was isolated from an EA/Heptane recrystallization to provide 8.83 g of a white solid (PR030-120-6, 89.4% yield). The purity of PR030-120-6 was 99.3% via HPLC analysis. 1H NMR and Mass spec analysis supported the assigned structure for desired product.

PAT

((S,S)-2-N(3-0-(propan-2-ol)-1 -propyl-4-hydroxybenzene)-3-phenylpropylamide), including its enantiomers and diastereomers may be prepared as described in WO 2013/084238,

Example 1 – Preparation of -2-N(3-Q-(propan-2-ol)-1-propyl-4-hvdroxybenzene)-3- 

phenylpropylamide

(S,S)-2-N(3-0-(propan-2-ol)-1 -propyl-4-hydroxybenzene)-3-phenylpropylamide was prepared as described in WO 2013/084238 and US 201 1/0086910.

In a first step, 2 g of methyl lactate was reacted with excess of benzyl bromide to get 880 mg of (S)-benzyloxymethyl lactate. The reaction was performed by slurring sodium hydride in THF and cooling down to approximately -15°C. The reaction mixture was then allowed to warm slowly to room temperature and stirred for approximately 1 to 2 hours. The reaction was quenched with saturated ammonium chloride solution and extracted with MTBE twice followed by the removal of solvent on a rotary evaporator to obtain a crude oil. The crude product was purified by column chromatography to yield pure (S)-2-benzyloxymethyl lactate. The (R)-2-benzyloxymethyl lactate isomer was present at 0.93% only. The yield of this step may be increased by avoiding the presence of moisture in the reaction solution.

In a second step, 880 mg (S)-2-benzyloxymethyl lactate obtained in step 1 were reduced using lithium aluminum hydride to obtain (S)-2-benzyloxypropylene glycol in 83.8% yield with 98.7% purity. A solution of pure (S)-2-benzyloxymethyl lactate in methylene chloride was stirred and a solution of lithium aluminum hydride was slowly added thereto at approximately 5°C. The reaction was monitored by TLC and quenched by USP-PW water very carefully. No racemization occurred in this step.

In a third step, the (S)-2-benzyloxypropylene glycol was then reacted with methane sulfonyl chloride in methylene chloride in the presence of triethyl amine to yield the mesylate in 88% yield. A solution of step 2 was stirred in methylene chloride and methane sulfonyl chloride was added to it dropwise at <5°C. After the addition was complete, the progress of the reaction was monitored by TLC. The reaction was quenched with USP-PW water. After the layers were separated, the aqueous layer was back extracted with methylene chloride. The methylene chloride layers were then combined and washed with USP-PW water 3 times to remove most of the methane sulfonic acid. No racemization occurred in this step.

In a fourth step, the mesylate (of step 3) was coupled with S-O-benzyl tyrosinol to form the bis-protected product in 22.7% yield, with a purity of 97.4%. The reaction was carried out at room temperature using a combination of DMF as the solvent and sodium hydride as the base. The reaction went to completion after stirring for at least 12 hours at room temperature.

In a fifth step, 340 mg of the product of step 4 were reduced by hydrogenation in the presence of 10% palladium on carbon catalyst and hydrochloric acid using methylene chloride as a solvent at 50°C. The reaction went to completion in approximately 4 hours with no racemization to yield the desired product in 84.3% yield and 98.9% purity. More specifically, the catalyst was removed by filtration and the filtrate was then concentrated at 33°C. The resulting mixture of solid and oil was mixed with ethyl acetate. The resulting slurry was filtered and the solids washed with ethyl acetate and dried under vacuum at 40 to 45°C to obtain the desired product.

PAT

Example 1—Preparation of (S,S)-2-N(3-O-(propan-2-ol)-1-propyl-4-hydroxybenzene)-3-phenylpropylamide

      (S,S)-2-N(3-O-(propan-2-ol)-1-propyl-4-hydroxybenzene)-3-phenylpropylamide was prepared as described in WO 2013/084238 and US 2011/0086910.
      In a first step, 2 g of methyl lactate was reacted with excess of benzyl bromide to get 880 mg of (S)-benzyloxymethyl lactate. The reaction was performed by slurring sodium hydride in THF and cooling down to approximately −15° C. The reaction mixture was then allowed to warm slowly to room temperature and stirred for approximately 1 to 2 hours. The reaction was quenched with saturated ammonium chloride solution and extracted with MTBE twice followed by the removal of solvent on a rotary evaporator to obtain a crude oil. The crude product was purified by column chromatography to yield pure (S)-2-benzyloxymethyl lactate. The (R)-2-benzyloxymethyl lactate isomer was present at 0.93% only. The yield of this step may be increased by avoiding the presence of moisture in the reaction solution.
      In a second step, 880 mg (S)-2-benzyloxymethyl lactate obtained in step 1 were reduced using lithium aluminum hydride to obtain (S)-2-benzyloxypropylene glycol in 83.8% yield with 98.7% purity. A solution of pure (S)-2-benzyloxymethyl lactate in methylene chloride was stirred and a solution of lithium aluminum hydride was slowly added thereto at approximately 5° C. The reaction was monitored by TLC and quenched by USP-PW water very carefully. No racemization occurred in this step.
      In a third step, the (S)-2-benzyloxypropylene glycol was then reacted with methane sulfonyl chloride in methylene chloride in the presence of triethyl amine to yield the mesylate in 88% yield. A solution of step 2 was stirred in methylene chloride and methane sulfonyl chloride was added to it dropwise at <5° C. After the addition was complete, the progress of the reaction was monitored by TLC. The reaction was quenched with USP-PW water. After the layers were separated, the aqueous layer was back extracted with methylene chloride. The methylene chloride layers were then combined and washed with USP-PW water 3 times to remove most of the methane sulfonic acid. No racemization occurred in this step.
      In a fourth step, the mesylate (of step 3) was coupled with S—O-benzyl tyrosinol to form the bis-protected product in 22.7% yield, with a purity of 97.4%. The reaction was carried out at room temperature using a combination of DMF as the solvent and sodium hydride as the base. The reaction went to completion after stirring for at least 12 hours at room temperature.
      In a fifth step, 340 mg of the product of step 4 were reduced by hydrogenation in the presence of 10% palladium on carbon catalyst and hydrochloric acid using methylene chloride as a solvent at 50° C. The reaction went to completion in approximately 4 hours with no racemization to yield the desired product in 84.3% yield and 98.9% purity. More specifically, the catalyst was removed by filtration and the filtrate was then concentrated at 33° C. The resulting mixture of solid and oil was mixed with ethyl acetate. The resulting slurry was filtered and the solids washed with ethyl acetate and dried under vacuum at 40 to 45° C. to obtain the desired product.

PAT

str1

AS ON OCT2025 4.511 LAKHS VIEWS ON BLOG WORLDREACH AVAILABLEFOR YOUR ADVERTISEMENT

wdt-16

join me on Linkedin

Anthony Melvin Crasto Ph.D – India | LinkedIn

join me on Researchgate

RESEARCHGATE

This image has an empty alt attribute; its file name is research.jpg

join me on Facebook

Anthony Melvin Crasto Dr. | Facebook

join me on twitter

Anthony Melvin Crasto Dr. | twitter

+919321316780 call whatsaapp

EMAIL. amcrasto@gmail.com

////////nispomeben, non-opioid analgesic, 470338M5XD,  E1, NRD 135S E1, NRD E1, NRD.E1, NRD135S, NRD135S.E1, NRD135SE.1, Neuropathic pain

Nedemelteon


Nedemelteon

CAS 1000334-38-2

MF C15H18N2O2 MW258.32

N-[2-[(8S)-2-methyl-7,8-dihydro-6H-cyclopenta[g][1,3]benzoxazol-8-yl]ethyl]acetamide

N-{2-[(8S)-2-methyl-7,8-dihydro-6H-indeno[5,4-d][1,3]oxazol-8-yl]ethyl}acetamide
melatonin receptor agonist, CW62HV1TTF, MT1/2 Agonist (S)-3b

Nedemelteon is a melatonin receptor agonist.

Nedemelteon is a small molecule drug. The usage of the INN stem ‘-melteon’ in the name indicates that Nedemelteon is a melatonin receptor agonist. Nedemelteon has a monoisotopic molecular weight of 258.14 Da.

SYN

Discovery of a Potent and Orally Bioavailable Melatonin Receptor Agonist

Publication Name: Journal of Medicinal Chemistry

Publication Date: 2021-03-08

PMID: 33682410

DOI: 10.1021/acs.jmedchem.0c01836

SYN

US8552037,

EXAMPLE 11

N-[2-(2-Methyl-7,8-dihydro-6H-indeno[5,4-d][1,3]oxazol-8-yl)ethyl]acetamide

N-[2-(2-Methyl-6,7-dihydro-8H-indeno[5,4-d][1,3]oxazol-8-ylidene)ethyl]acetamide (165 mg, 0.644 mmol) was dissolved in methanol (6.4 mL), a 10% palladium-carbon powder (82 mg) was added, and the mixture was stirred at room temperature for 12 hr under a hydrogen atmosphere. The catalyst was filtered off using celite, and the filtrate was concentrated under reduced pressure. The residue was purified by silica gel column chromatography (ethyl acetate/methanol=100/0→95/5) to give the title compound (148 mg, yield 89%).
       1H-NMR (CDCl 3) δ: 1.69-1.96 (2H, m), 1.99 (3H, s), 2.23-2.50 (2H, m), 2.63 (3H, s), 2.89-3.15 (2H, m), 3.28-3.56 (3H, m), 5.54 (1H, brs), 7.15 (1H, d, J=8.0 Hz), 7.44 (1H, d, J=8.0 Hz),
      melting point: 93-95° C. (recrystallized from hexane/ethyl acetate),
      MS (ESI+): 259 (M+H),
      Elemental analysis: for C 151822
      Calcd. (%): C, 69.74; H, 7.02; N, 10.84
      Found (%): C, 69.77; H, 6.97; N, 10.95.

EXAMPLE 12

(S)-N-[2-(2-Methyl-7,8-dihydro-6H-indeno[5,4-d][1,3]oxazol-8-yl)ethyl]acetamide

Racemic N-[2-(2-methyl-7,8-dihydro-6H-indeno[5,4-d][1,3]oxazol-8-yl)ethyl]acetamide (768 mg, 3.00 mmol) was fractionated by high performance liquid chromatography (instrument: Prep LC 2000 (manufactured by Nihon Waters K.K.), column: CHIRALPAK AD (50 mmID×500 mL, manufactured by Daicel Chemical Industries, Ltd.), mobile phase: hexane/ethanol/diethylamine=90/10/0.1, flow rate: 60 mL/min, column temperature: 30° C., sample concentration: 1.02 mg/mL, injection weight: 31 mg). A fraction containing an optically active compound having a shorter retention time under the above-mentioned high performance liquid chromatography conditions was concentrated. The concentrate was re-dissolved in ethanol, and concentrated to dryness. Hexane was added again, and the mixture was concentrated to dryness to give the title compound (381 mg, 99.9% ee). Enantiomer excess (ee) was measured by high performance liquid chromatography (column: CHIRALPAK AD (4.6 mmID×250 mL, manufactured by Daicel Chemical Industries, Ltd.), mobile phase: hexane/ethanol/diethylamine=90/10/0.1, flow rate: 0.5 mL/min, column temperature: 30° C., sample concentration: 0.65 mg/mL (hexane/ethanol), injection volume: 10 μL).
       1H-NMR (CDCl 3) δ: 1.69-1.96 (2H, m), 1.99 (3H, s), 2.23-2.50 (2H, m), 2.63 (3H, s), 2.89-3.15 (2H, m), 3.28-3.56 (3H, m), 5.54 (1H, brs), 7.15 (1H, d, J=8.0 Hz), 7.44 (1H, d, J=8.0 Hz),
      melting point: 111-113° C. (recrystallized from hexane/ethyl acetate),
      MS (ESI+): 259 (M+H),
      [α] D 20: −53.4° (c 0.5035, methanol),
      Elemental analysis: for C 151822
      Calcd. (%): C, 69.74; H, 7.02; N, 10.84
      Found (%): C, 69.53; H, 7.01; N, 10.96.

SYN

WO-2007148808

Example 12
(S) -N- [2- (2-Methyl-7, 8-dihydro-6H-indeno [5, 4-d] [1, 3] oxazol-8-yl) ethyl] acetamide



Racemic N- [2- (2-methyl-7, 8-dihydro-6H-indeno [5, 4-d] [1,3] oxazol-8-yl) ethyl] acetamide (768 mg, 3.00 mmol) was fractionated by high performance liquid chromatography
(instrument: Prep LC 2000 (manufactured by Nihon Waters K.K.), column: CHIRΔLPAK AD (50 mmID x 500 mmL, manufactured by Daicel Chemical Industries, Ltd.), mobile phase:
hexane/ethanol/diethylamine=90/10/0.1, flow rate: 60 mL/min, column temperature: 30°C, sample concentration: 1.02 mg/mL, injection weight: 31 mg) . A fraction containing an optically active compound having a shorter retention time under the above-mentioned high performance liquid chromatography conditions was concentrated. The concentrate was re-dissolved in ethanol, and concentrated to dryness. Hexane was added again, and the mixture was concentrated to dryness to give the title compound (381 mg, 99.9%ee). Enantiomer excess (ee) was measured by high performance liquid chromatography (column: CHIRALPAK AD (4.6 mmID x 250 mmL, manufactured by Daicel Chemical Industries, Ltd.), mobile phase: hexane/ethanol/diethylamine=90/10/0.1, flow rate: 0.5 mL/min, column temperature: 300C, sample concentration:

0.65 mg/mL (hexane/ethanol) , injection volume: 10 μL) .
1H-NMR (CDCl3) δ: 1.69 – 1.96 (2H, m) , 1.99 (3H, s) , 2.23 – 2.50 (2H, m) , 2.63 (3H, s) , 2.89 – 3.15 (2H, m) , 3.28 – 3.56 (3H, m) ,

5.54 (IH, brs), 7.15 (IH, d, J = 8.0 Hz), 7.44 (IH, d, J = 8.0Hz),
melting point: 111 – 113°C (recrystallized from hexane/ethyl acetate) ,
MS (ESI+) : 259 (M+H) ,
[α] D20: -53.4° (c 0.5035, methanol),
Elemental analysis: for Ci5Hi8N2O2
Calcd. (%) : C, 69.74; H, 7.02; N, 10.84
Found (%) : C, 69.53; H, 7.01; N, 10.96.

PAT

str1

AS ON OCT2025 4.511 LAKHS VIEWS ON BLOG WORLDREACH AVAILABLEFOR YOUR ADVERTISEMENT

wdt-16

join me on Linkedin

Anthony Melvin Crasto Ph.D – India | LinkedIn

join me on Researchgate

RESEARCHGATE

This image has an empty alt attribute; its file name is research.jpg

join me on Facebook

Anthony Melvin Crasto Dr. | Facebook

join me on twitter

Anthony Melvin Crasto Dr. | twitter

+919321316780 call whatsaapp

EMAIL. amcrasto@gmail.com

///////////nedemelteon, melatonin receptor agonist, CW62HV1TTF, MT1/2 Agonist (S)-3b

Naxtarubicin, Annamycin


Naxtarubicin, Annamycin

CAS 92689-49-1

MF C26H25IO11 MW 640.4 g/mol

2′-Iodo-3′-hydroxy-4′-epi-4-demethoxydoxorubicin

(7S,9S)-7-[(2R,3R,4R,5R,6S)-4,5-dihydroxy-3-iodo-6-methyloxan-2-yl]oxy-6,9,11-trihydroxy-9-(2-hydroxyacetyl)-8,10-dihydro-7H-tetracene-5,12-dione

(7S,9S)-7-[(2,6-dideoxy-2-iodo-α-L-mannopyranosyl)oxy]-6,9,11-trihydroxy-9-(2-hydroxyacetyl)-7,8,9,10-
tetrahydrotetracene-5,12-dione
DNA topoisomerase II inhibitor, antineoplastic, Annamycin, Annamycin-LF, Annamycin-liposomal, L-ANNA, L-annamycin, Liposomal annamycin, S-ANNA, SNU299M83Q

  • OriginatorUniversity of Texas M. D. Anderson Cancer Center
  • DeveloperAronex Pharmaceuticals; Callisto Pharmaceuticals; Moleculin Biotech; University of Texas M. D. Anderson Cancer Center
  • ClassAnthracyclines; Antineoplastics; Cytostatic antibiotics; Small molecules
  • Mechanism of ActionType II DNA topoisomerase inhibitors
  • Orphan Drug StatusYes – Soft tissue sarcoma; Precursor cell lymphoblastic leukaemia-lymphoma; Acute myeloid leukaemia
  • Phase II/IIIAcute myeloid leukaemia
  • Phase IIOvarian cancer
  • Phase I/IISoft tissue sarcoma
  • PreclinicalColorectal cancer; Liver cancer; Pancreatic cancer; Solid tumours
  • DiscontinuedChronic myeloid leukaemia; Precursor cell lymphoblastic leukaemia-lymphoma; Triple negative breast cancer
  • 30 Oct 2025Moleculin biotech plans future regulatory filings based on data from phase III MIRACLE trial
  • 29 Oct 2025Moleculin Biotech has patent protection for Naxtarubicin in Australia
  • 23 Oct 2025Moleculin Biotech plans to submit an IND application to the US FDA for Pancreatic cancer

Naxtarubicin is a lipophilic, anthracycline antineoplastic antibiotic.Naxtarubicin intercalates into DNA and inhibits topoisomerase II, thereby inhibiting DNA replication and repair as well as inhibiting RNA and protein synthesis. This agent appears to not be a substrate for the p-glycoprotein associated multidrug-resistance (MDR) transporter; therefore, overcoming the resistance pattern seen with other anthracycline compounds.

Annamycin is an anthracycline antibiotic being investigated for the treatment of cancer.

SYN

US 4537882

The reaction of racemic 4-demethoxydaunomycinone (I) with Br2 followed by hydrolysis in basic medium gives 4-demethoxyadriamycinone (II), which is treated with tert-butyldimethylsilyl chloride and imidazole in DMF to yield the monoprotected compound (III). The condensation of (III) with 3,4-di-O-acetyl-2,6-dideoxy-2-iodo-alpha-L-mannopyranose (IV) by means of N-iodosuccinimide (NIS), followed by chromatographic separation of the diastereomers affords (7S,9S)-14-O-(tert-butyldimethylsilyl)-4-demethoxy-7-O-(3,4-di-O-acetyl-2,6-dideoxy-2-iodo-alpha-L-mannopyranosyl)adriamycinone (V). The hydrolysis of (V) with sodium methoxide in methanol gives the silylated compound (VI), which is finally desilylated with tetrabutylammonium fluoride (TBAF) in dichloromethane/THF/pyridine.

SYN

https://patents.google.com/patent/US5977327A/en

EXAMPLE VIIIPURIFICATION OF ANNAMYCIN

Crude product was purified further by triple precipitation from THF. To accomplish this, approximately 87 mL of THF was used to redissolve each gram of Annamycin product and an equal volume of one of the following solvents was added to precipitate the Annamycin in each successive precipitation step. In the preferred method, the first precipitation was accomplished by adding an equal volume of a 7:3 mixture of hexane\diethylether, the second precipitation was accomplished by the addition of an equal volume of hexane, and the third precipitation was by addition of an equal volume of water and evaporation of half of the THF. Product obtained in this way (9.0146 g; 59%) was a complex containing 3 molecules of Annamycin per 2 molecules of THF and its purity by HPLC analysis was better than 98%. HPLC analysis was on an analytical C-18 reverse phase column with increasing concentrations of methanol/acetonitrile in water. The purity was determined by measuring the area of the absorbance peaks. 1 H NMR (DMSO-d6) d 1.20 (d, 3H, J6′, 5′ =6.2 Hz, H-6′), 1.75 (m, 2.7H, Ha from THF), 2.10 (dd, 1H, J8a,7 =5.6 Hz, J8a,8e =14.5 Hz, H-8a), 2.18 (dd, 1H, J8e,8a =14.8 Hz, J8e,7 =2.9 Hz, H-8e), 250 (DMSO peak), 2.75 (dd, 1H, J3′,2′ =3.9 Hz, J3′,4′ =8.8 Hz, H-3′), 2.95 (d, 1H, J10a,10e =18.4 Hz, H-10a), 3.00 (d, 1H, J10e,10a =18.4 Hz, H-10e), 3.20 (t, 1H, SJ=18.1 Hz, H-4′), 3.59 (m, 2.7H, Hb from THF), 3.95 (m, 1H, H-5′), 4.30 (d, 1H, J2′,3′ =4.0 Hz, H-2′), 4.55 (s, 2H, H-14), 4.89 (t, 1H, exchangeable, OH), 4.92 (m, 1H, H-7), 5.18 (d, 1H, exchangeable, OH), 5.38 (d, 1H, exchangeable, OH), 5.49 (s, 1H, H-1′), 5.50 (d, 1H, exchangeable, OH), 7.9, 8.4 (2m, 4H,H-1,2,3,4); 13 C NMR (DMSO-d6) d 17.0(s, 1C, C-6′), 24.5 (s, 1C, THFb), 31.7 (s, 1C, C-2′), 31.9 (s, 1C, C-10), 36.4 (s, 1C, C-8), 63.0 (s, 1C, C-3′), 66.4 (s, 1C, C-5′), 67.4 (s, 1C, THFa), 69.4, 13 C-NMR (DMSO-d6) δ 17.9 (s, 1C, C-6′), 25.1 (s, 1C, THFb), 40.6, 36.6, 32.1 (3s, 3C, C-2′,8,10), 63.6 (s, 1C, C-14), 67.0, 67.5, 70.4, 69.7 (4s, 4C, C-7, 5′, 3′, THFa), 74.2, 74.7 (2s, 2C, C-9, 4′), 104.5 (s, 1C, C-1′), 110.1, 110.8 (2s, 1C, C-11a, 5a), 126.6, 132.6, 132.8, 134.4, 135.1, 135.0, 136.0 (7s, 8C, C-2, 3, 1, 4, 4a, 12a, 10a), 136.0 (s, 1C, C-6a), 155.1, 156.4 (2s, 2C, C-6, 11), 186.2, 186.3 (2s, 2C, C-5, 12), 214 (s, 1C, C-13).

SYN

WO-9739007-A1

SYN

WO-9639121-A1

SYN

EXAMPLE I. SYNTHESIS OF (+)-4-DEMETHOXY-14-O-TERT-BUTYL
DIMETHYLSILYL-7-O-(2,6-DIDEOXY-2-IODO-α-L-MANNOPYRANOSYL)ADRIAMYCINONE (8)
To a solution consisting of a mixture of compounds (6) and (7), shown in Figure 1 , (1.8530g, 2.21mmol) in CH2CI2 (48 mL) and EtOH (16 mL), a IN MeONa solution in MeOH (1.6 mL) was added at room temperature with stirring. Next 1.6 mL of a IN MeONa solution in MeOH (1.6 mL) was added after 50 min. After 1.5 hr. the reaction was checked by TLC developed with CCl4/MeOH (96:4), and the reaction mixture was diluted with dichloromethane (300 mL) and 0.05N HCL (100 mL) was added. The resulting mixture was shaken in a separatory funnel and, after separation, the organic layer was washed with water (2 x 50 mL), dried over Na2SO4, filtered and evaporated. The residue left after evaporation was precipitated from 4 mL of CH2CI2 by addition of 35 mL of hexane. The precipitate was filtered, washed with hexane (40 mL) and then dried in vacuo (1 lmbar) at ambient temperature for 30 min. to give crude product (8) (1.3618g, 82%). The crude product was then filtered through silica with a solution of 95:5 toluene/acetone and precipitated from CH2CI2 by addition of hexane. Product was then dried in vacuo (1 lmbar) at ambient temperature for 30 minutes to give pure compound (8) (1.358g; 55%): ^H NMR d 0.15 (s, 6H, Me2Si), 0.95 (s, 9H, CMe3), 1.40 (d, 3H, J6′,5’=6.2Hz, H-6′), 2.18 (dd, 1H, J8a,7=4.4Hz, J8a,8e=l 5.0Hz, H-8a), 2.35 (d, 1H, J8e,8a=14.9Hz, H-8e), 2.85 (dd, 1H, J3′,2’*=4-0Hz, J3′54’=8.9Hz, H-3′), 3.02 (d, 1H, Jl0a,10e=19.0Hz, H-lOa), 3.24 (d, 1H, Jl0e,10a=l 9.0Hz, H-lOe), 3.58 (t, 1H, SJ=18.2Hz, H-4′), 3.94 (m, 1H, H-5′), 4.18 (s, 1H, 9OH), 4.54 (d, 1H, J2′,3’=3.9Hz, H-2′) 4.84, 4.90 (2d, 2H, H-14), 5.22 (bs, 1H, H-7), 5.75 (s, 1H, H-l’), 7.9, 8.4 (2m, 4H, H-1,2,3,4).

EXAMPLE II. DESILYLATION IN THF/HCl
To a solution of compound (8), (16.5928g, 21.99mmol) in THF (415 mL), IN HC1 (415 mL) was added. After 25 minutes the progress of the reaction was checked by TLC developed in toluene/acetone (6:4 or 5:1) and half of the THF was evaporated in vacuo at 20°C (35mbar). The precipitate was filtered off and washed with water until the pH reached neutral (14 x 40 mL), then washed with ether (Et2θ, 5 x 32 mL) and subsequently with water (3 x 40 mL). The crude product was pre-dried on a Buchner funnel and then dried in vacuo (0.08mbar) at room temperature for 38 hrs.
EXAMPLE III. DESILYLATION IN METHANOL/HC1
To a solution/suspension of compound (8) (1.0064 g, 1.33 mmol) in methanol (45 mL), IN HC1 (10 mL) was added. The progress of the reaction was monitored by TLC developed in toluene/acetone, 6:4 and chloroform methanol, 94:6. After 45 min. 5 mL of IN HC1 solution was added to the reaction mixture. After 1 hr. 15 min. the product of the reaction was precipitated by addition of 30 mL water and filtered off. Product was washed with water until neutral pH (4 x 10 mL), diethylether (3 x 10 mL) and again with water (2 x 10 mL). Crude product was pre-dried on Buchner funnel and then dried in vacuo (0.1 mbar) at room temperature for 24 hrs. to give 0.6722 g (79% yield) of deep red powder.
EXAMPLE IV. DESILYLATION IN METHANOL/H2SO4
To a solution suspension of compound (8) (1.0065 g, 1.33 mmol) in methanol (45 mL), 10 mL of IN H2SO4 was added. The progress of the reaction was monitored by TLC developed in toluene/acetone, 6:4 and chloroform/methanol, 94:6. After 15 min. the product of the reaction was precipitated by adding 35 mL of water and filtered off. Product was washed with water until neutral pH (4 x 10 mL), diethylethe (3 x 10 mL) and again with water (2 x 10 mL). Crude product was pre-dried on Buchner funnel and then dried in vacuo (0.1 mbar) at room temperature for 24 hrs. to give 0.6318 g (74% yield) of deep red powder. EXAMPLE V. DESILYLATION IN ACETONE/H2SO4
To a solution of compound (8) (0.7592 g, 1.01 mmol) in acetone (30 mL) 3.5 mL IN H2SO4 was added. The progress of the reaction was monitored by TLC developed in toluene/acetone, 6:4 and chloroform/methanol, 94:6. After 1 hr. the product of the reaction was precipitated by addition of 35 mL water and filtered off. The product was washed with water until neutral pH (4 x 10 mL), dicthyleher (3 x 10 mL) and again with water (2 x 10 mL). Crude product was pre-dried on Buchner funnel and then dried in vacuo (0.1 mbar) at room temperature for 48 hrs. to give 0.4994 g (77% yield) of deep red powder.

EXAMPLE VI. DESILYLATION IN DMSO/HC1
To a solution of compound (8) (0.7815 g, 1.04 mmol) in DMSO (30 mL) 7.5 mL of IN HC1 was added. Progress of the reaction was monitored by TLC developed in toluene/acetone, 6:4 and chloroform/methanol, 94:6. After 1 hr. 20 min. the product of the reaction was precipitated by addition of water (37 mL) and filtered off. The product was washed with water until neutral pH (4 x 10 mL), dietheylether (3 x 10 mL) and again with water (2 x 10 mL). Crude product was pre-dried on Buchner funnel and then dried in vacuo (0.1 mbar) at room temperature for 48 hrs. to give 0.5165 g (78% yield) of deep red powder. EXAMPLE VII. DESILYLATION IN DMSO/H2SO
To a solution of compound (8) (0.7613 g, 1.01 mmol) in DMSO (5 mL) and ethanol

(10 mL) 1 mL of IN H2SO4 was added. Progress of the reaction was monitored by TLC developed in toluene/acetone, 6:4 and chloroform/methanol, 94:6. After 1 hr. 10 min. product of the reaction was precipitated by addition of water (15 mL) and filtered off. Product was washed with water until neutral pH (4 x 10 mL), diethylether (3 x 10 mL) and again with water (2 x 10 mL). Crude product was pre-dried on Buchner funnel and then dried in vacuo (0.1 mbar) at room temperature for 48 hrs. to give 0.5338 g (83% yield) of deep red powder. EXAMPLE VIII. PURIFICATION OF ANNAMYCIN
Crude product was purified further by triple precipitation from THF. To accomplish this, approximately 87 mL of THF was used to redissolve each gram of Annamycin product and an equal volume of one of the following solvents was added to precipitate the .Annamycin in each successive precipitation step. In the preferred method, the first precipitation was accomplished by adding an equal volume of a 7:3 mixture of hexane\diethylether, the second precipitation was accomplished by the addition of an equal volume of hexane, and the third precipitation was by addition of an equal volume of water and evaporation of half of the THF. Product obtained in this way (9.0146g; 59%) was a complex containing 3 molecules of .Annamycin per 2 molecules of THF and its purity by HPLC analysis was better than 98%. HPLC analysis was on an analytical C-18 reverse phase column with increasing concentrations of methanol/acetonitrile in water. The purity was determined by measuring the area of the absorbance peaks. H NMR (DMSO-d6) d 1.20 (d, 3H, J6′,5′-=6.2Hz, H-6′), 1.75 (m, 2.7H, Ha from THF), 2.10 (dd, IH, J8a,7=5.6Hz, J8a,8e=14.5Hz, H-8a), 2.18 (dd, IH, J8e,8a=14.8Hz, J8e,7=2.9Hz, H-8e), 2.50 (DMSO peak), 2.75 (dd, IH, J3′,2’=3.9Hz, J3′,4’=8.8Hz, H-3′), 2.95 (d, IH, Jl0a,10e=18.4Hz, H-10a), 3.00 (d, IH, Jl0e,10a=18.4Hz, H-lOe), 3.20 (t, IH, SJ=18.1Hz, H-4′), 3.59 (m, 2.7H, Hb from THF), 3.95 (m, IH, H-5′), 4.30 (d, IH, J2′,3’=4.0Hz, H-2′), 4.55 (s, 2H, H-14), 4.89 (t, IH, exchangeable, OH), 4.92 (m, IH, H-7), 5.18 (d, IH, exchangeable, OH), 5.38 (d, IH, exchangeable, OH), 5.49 (s, IH, H-l’), 5.50 (d, IH, exchangeable, OH), 7.9, 8.4 (2m, 4H,H- 1,2,3,4); 13C NMR (DMSO-d6) d 17.0(s, IC, C-6′), 24.5 (s, IC, THFb), 31.7 (s, IC, C-2′), 31.9 (s, IC, C-10), 36.4 (s, IC, C-8), 63.0 (s, IC, C-3′), 66.4 (s, IC, C-5′), 67.4 (s, IC, THFa), 69.4, ,3C-NMR (DMSO-d6) δ 17.9 (s, IC, C-6′), 25.1 (s, IC, THFb), 40.6, 36.6, 32.1 (3s, 3C, C-2′, 8, 10), 63.6 (s, IC, C-14), 67.0, 67.5, 70.4, 69.7 (4s, 4C, C-7, 5′, 3′, THFa), 74.2, 74.7 (2s, 2C, C-9, 4′), 104.5 (s, IC, C-l’), 110.1, 110.8 (2s, IC, C-lla, 5a), 126.6, 132.6, 132.8, 134.4, 135.1, 135.0, 136.0 (7s, 8C, C-2, 3, 1, 4, 4a, 12a, 10a), 136.0 (s, IC, C-6a), 155.1, 156.4 (2s, 2C, C-6, 11), 186.2, 186.3 (2s, 2C, C-5, 12), 214 (s, IC, C-13).

PAT

str1

AS ON OCT2025 4.511 LAKHS VIEWS ON BLOG WORLDREACH AVAILABLEFOR YOUR ADVERTISEMENT

wdt-16

join me on Linkedin

Anthony Melvin Crasto Ph.D – India | LinkedIn

join me on Researchgate

RESEARCHGATE

This image has an empty alt attribute; its file name is research.jpg

join me on Facebook

Anthony Melvin Crasto Dr. | Facebook

join me on twitter

Anthony Melvin Crasto Dr. | twitter

+919321316780 call whatsaapp

EMAIL. amcrasto@gmail.com

Further reading

External links

Clinical data
ATC codenone
Identifiers
IUPAC name
CAS Number92689-49-1 
PubChem CID115212
ChemSpider103088 
UNIISNU299M83Q
KEGGD12844
CompTox Dashboard (EPA)DTXSID901027238 
ECHA InfoCard100.235.298 
Chemical and physical data
FormulaC26H25IO11
Molar mass640.379 g·mol−1
3D model (JSmol)Interactive image
SMILES
InChI

//////////naxtarubicin, DNA topoisomerase II inhibitor, antineoplastic, Annamycin, Annamycin-LF, Annamycin-liposomal, L-ANNA, L-annamycin, Liposomal annamycin, S-ANNA, SNU299M83Q

Navepdekinra


Navepdekinra

CAS 2467732-66-5

MF C33H48FN7O4 MW625.78

1H-Pyrazole-5-carboxamide, 1-ethyl-N-[(1S)-2-[[2-fluoro-4-[(1S,2R)-1-methyl-3-(4-methyl-1-piperazinyl)-3-oxo-2-[(1-oxopropyl)amino]propyl]phenyl]amino]-1-(trans-4-methylcyclohexyl)-2-oxoethyl]-

1-ethyl-N-{(1S)-2-{2-fluoro-4-[(2S,3R)-4-(4-methylpiperazin-1-yl)-4-oxo-3-propanamidobutan-2-yl]anilino}-1-[(1r,4S)-4-methylcyclohexyl]-2-oxoethyl}-1H-pyrazole-5-carboxamide

1-ethyl-N-{(1S)-2-{2-fluoro-4-[(2S,3R)-4-(4-methylpiperazin-1-yl)-4-oxo-3-propanamidobutan-2-
yl]anilino}-1-[(1r,4S)-4-methylcyclohexyl]-2-oxoethyl}-1H-pyrazole-5-carboxamide
interleukin-17A (IL-17A) inhibitor, anti-inflammatory, DC-806, LY4100504, DC 806, LY 4100504, Y64F9MC2QM

Navepdekinra (also known as DC-806 or LY4100504) is an experimental, orally active small-molecule inhibitor of interleukin-17A (IL-17A). It was primarily developed to treat autoimmune and inflammatory conditions, such as psoriasis, by disrupting the interaction between IL-17A and its receptor.

Key Properties and Development

  • Mechanism: It is a potent inhibitor with an IC50 of 10.81 nM, designed to provide an oral alternative to existing injectable IL-17 biologic therapies.
  • Acquisition: The drug was originally developed by DICE Therapeutics, which was acquired by Eli Lilly and Company in 2023 for approximately $2.4 billion to bolster their immunology pipeline.

Navepdekinra (DC-806) is an orally active, potent interleukin-17A (IL-17A) inhibitor (IC50 = 10.81 nM). Navepdekinra disrupts the IL-17A protein-receptor interaction, suppressing the downstream pro-inflammatory signaling pathway. Navepdekinra inhibits arthritis in a collage-induced arthritis (CIA) rat model. Navepdekinra can be used for psoriasis, psoriatic arthritis, and ankylosing spondylitis

SYN

Example 210: N-[(2R,3S)-3-{4-[(2S)-2-[(1-ethyl-1H-pyrazol-5-yl)formamido]-2-[(1r,4S)-4-methylcyclo hexyl]acetamido]-3-fluorophenyl}-1-(4-methylpiperazin-1-yl)-1-oxobutan-2-yl]propanamide) (234)

 Following General Procedure R, 0.227 g, 0.310 mmol, 1.0 eq) of 82d in DMF (1 mL) were added 1-ethyl-1H-pyrazole-5-carboxylic acid (0.052 g, 0.372 mmol, 1.2 eq), DIPEA (0.43 mL, 2.482 mmol, 8.0 eq) and then HATU (0.177 g, 0.465 mmol, 1.5 eq.) and the resulting mixture was stirred at RT for 1 h. The mixture was concentrated to dryness and the residue was purified via reverse phase column chromatography on a 120 g C18 cartridge eluting with a 5-95% H 2O:MeCN eluent (0.1% ammonia) to afford 234 (0.025 g) as a white solid. 1H NMR (400 MHz, DMSO-d 6) δ 9.86 (s, 1H), 8.46 (d, J=8.3 Hz, 1H), 8.26 (d, J=8.7 Hz, 1H), 7.75 (t, J=8.3 Hz, 1H), 7.47 (d, J=2.1 Hz, 1H), 7.15-7.07 (m, 1H), 7.05-6.97 (m, 2H), 4.86 (t, J=9.4 Hz, 1H), 4.53 (t, J=8.4 Hz, 1H), 4.47 (q, J=7.2 Hz, 2H), 3.46-3.38 (m, 2H), 3.29-3.14 (m, 2H), 3.12-2.99 (m, 2H), 2.25-2.03 (m, 5H), 1.98 (s, 3H), 1.81 (ddt, J=15.0, 9.9, 5.6 Hz, 2H), 1.74-1.60 (m, 4H), 1.58-1.47 (m, 1H), 1.28 (t, J=7.1 Hz, 4H), 1.20 (d, J=7.0 Hz, 3H), 1.14-1.02 (m, 1H), 0.99 (t, J=7.6 Hz, 3H), 0.93-0.87 (m, 1H), 0.86 (d, J=6.5 Hz, 3H). UPLC-MS (basic 4 min): rt=1.76 min; m/z=626.4 for [M+H] +.

PAT

Example 1: Exemplary Scheme—Synthesis of Intermediate Compounds 62a-62d

PAT

IL-17 Ligands And Uses Thereof

Publication Number: US-2020247785-A1

Priority Date: 2019-02-06

str1

AS ON OCT2025 4.511 LAKHS VIEWS ON BLOG WORLDREACH AVAILABLEFOR YOUR ADVERTISEMENT

wdt-16

join me on Linkedin

Anthony Melvin Crasto Ph.D – India | LinkedIn

join me on Researchgate

RESEARCHGATE

This image has an empty alt attribute; its file name is research.jpg

join me on Facebook

Anthony Melvin Crasto Dr. | Facebook

join me on twitter

Anthony Melvin Crasto Dr. | twitter

+919321316780 call whatsaapp

EMAIL. amcrasto@gmail.com

//////////navepdekinra, interleukin-17A (IL-17A) inhibitor, anti-inflammatory, DC-806, LY4100504, DC 806, LY 4100504, Y64F9MC2QM

Napazimone


Napazimone

CAS 1800405-30-4

MF C14H12N2O2 MW240.26 g/mol

2-(propan-2-yl)-1H-naphtho[1,2-d]imidazole-4,5-dione
NAD(P)H dehydrogenase [quinone] 1 (NQO1) activator, KL 1333, KL-1333, NA2ZOL5UGM

Napazimone (also known as KL1333) is an investigational small molecule drug currently being developed for the treatment of primary mitochondrial disease. It is an orally available modulator that aims to improve energy production in patients with rare genetic conditions affecting mitochondrial DNA (mtDNA). 

Mechanism of Action

According to ProbeChem.com and Synapse, Napazimone works through the following mechanisms:

  • NAD+ Modulation: It increases intracellular levels of NAD+ by reacting with the enzyme NQO1, which helps shift the NAD+/NADH ratio.
  • Signaling Pathway Activation: The drug activates the SIRT1/AMPK/PGC-1α signaling network, which is critical for regulating mitochondrial biogenesis and function.
  • Mitochondrial Improvement: In laboratory studies using MELAS (Mitochondrial Encephalomyopathy, Lactic Acidosis, and Stroke-like episodes) fibroblasts, the compound increased ATP levels and decreased harmful reactive oxygen species (ROS) and lactate. 

Clinical Development and Indications

Napazimone is being developed by Pharming Group for adult patients with primary mitochondrial disease, a condition often characterized by extreme fatigue and muscle weakness. 

  • Trial Status: As of early 2026, the drug is in Phase II/III clinical trials.
  • FALCON Trial: A pivotal study known as the FALCON trial is currently ongoing, with a data readout expected in 2027.
  • Potential Indications: It is primarily being investigated for mtDNA-driven mitochondrial diseases and has shown potential in research for protecting against hearing loss (ototoxicity) caused by chemotherapy drugs like cisplatin. 

Chemical Properties

The following specifications are provided by Inxight Drugs and PubChem:

  • Chemical Name: 2-isopropyl-3H-naphtho[1, 2-d]imidazole-4,5-dione.
  • Molecular Formula: C14H12N2O2.
  • Molecular Weight: 240.26 g/mol. 

Would you like more information on the FALCON clinical trial or details about the mitochondrial diseases Napazimone is intended to treat?

  • Efficacy of KL1333 in Adult Patients With Primary Mitochondrial DiseaseCTID: NCT05650229Phase: Phase 2Status: RecruitingDate: 2025-10-09
  • A Phase Ia/Ib, SAD and MAD Study of of KL1333 in Healthy Subjects and Patients With Primary Mitochondrial DiseaseCTID: NCT03888716Phase: Phase 1Status: CompletedDate: 2021-10-20
  • Drug-drug Interaction Study of KL1333 in Healthy SubjectsCTID: NCT04643249Phase: Phase 1Status: CompletedDate: 2021-10-20
  • Safety, Tolerability and Pharmacokinetic Study of KL1333 in Healthy Male VolunteersCTID: NCT03056209Phase: Phase 1Status: CompletedDate: 2018-04-27

SYN

Example 1 [Synthesis of Compound 1]: 2-isopropyl-lH-naphtho [2, l-d] imidazole-4,5-dione

1) IStep Pyridine (5 ml) is added to compound A (4-amino-1 -naphthol hydrochloride, 500 mg, 2.55 mmol), and the ice bath is dehydrated and cooled. This is followed by dropwise isobutyric anhydride (1.7 ml, 10.2 mmol). The reaction product is stirred for 2.5 hours at the same temperature. The reactants are quenched with methanol and concentrated under reduced pressure to remove any pyridine. After adding EA and distilled water, adjust pH to about 6.5 with 1 N HC1 solution, and then wash the organic layer several times to remove the remaining pyridine. The organic layer was dried over Na 2 S0 4 , filtered and concentrated under reduced pressure. The concentrated reaction product was purified by silica gel column chromatography to obtain compound B-1 (686 mg, 90%).

2) 2Step

 Add Acetic anhydride (3 ml) to Compound B-1 (300 mg, 1.00 mmol) and dropwise fuming nitric acid (0.20 ml, 2.00 mmol) at 0 ° C. The reaction product is stirred for 1 hour and then filtered. The filtered solid is then washed several times with Hexane with compound B-2. compound B-2 (217 mg, 63%).

1 H NMR (300 MHz, Acetone-d 6 ) δ 9.55 (s, IH), 8.33 (d, J = 6.6 Hz, IH), 8.06 (d, J = 6.2 Hz, IH), 7.86 (s, IH), 7.81-7.73 (m, 2H), 3.16-3.07 (m, IH), 2.96-2.87 (m, IH), 1.41 (d, J-7.0 Hz, 6H), 1.25 (d, J-7.0 Hz, 6H)

3) 3 Step

 Compound B-2 (500 mg, 1.45 mmol) is dissolved in ethanol (5 ml), and then Pd / C (50 mg) and Hydrazine (0.29 ml, 5.81 mmol) are added in this order. The reaction is allowed to react for 1 hour at 70 degrees. The reaction product is cooled to room temperature and the Pelite / C is removed by celite filter. The filtrate is concentrated under reduced pressure and purified by silica gel column chromatography to obtain compound B-3 (232 mg, 51%).

MR NMR (300 MHz, CD 3 OD) δ 8.02 (d, J = 8.4 Hz, IH), 7.50 (d, J = 8.0 Hz, IH), 7.35 (t, J-8.0 Hz, IH), 7.13 (t, J = 8.1 Hz, IH), 6.47 (s, IH), 2.85-2.83 (m, IH), 1.31 (d, J = 7.0 Hz, 6H)

 LC-MS m / z 245.1 (M + l)

4) 4Step

 Acetic acid (15 ml) is added to Compound B-3 (700 mg, 2.86 mmol), and the mixture is stirred and refluxed for 3 hours. Acetic acid is removed by concentration under reduced pressure, and purified by silica gel column chromatography to obtain compound B-4 (575 mg, 89%) ¾-

MR NMR (300 MHz, CD 3 OD) δ 8.30 (d, J = 8.4 Hz, 2H), 7.60 (t, J = 8.0 Hz, IH), 7.47

(t, J = 8.1 Hz, IH), 6.99 (s, IH), 3.35-3.28 (m, IH), 1.46 (d, J = 7.0 Hz, 6H)

 LC-MS m / z 227.0 (M + l)

5) 5 Step

Dissolve DMF (2.5 ml) in Compound B-4 (50 mg, 0.22 mmol), and add IBX (159 mg, 0.26 mmol). The reaction is reacted at room temperature for 1 hour. After adding EA, the organic layer is washed with NaHC0 3 saturated aqueous solution. The separated organic layer was dried over MgS0 4 and filtered. The filtrate was concentrated under reduced pressure and purified by column chromatography to obtain compound B-5 (47 mg, 89%).

1 H NM (300 MHz, CDC1 3 ) δ 9.96 (NH, s, IH), 8.06 (d, J = 7.7 Hz, IH), 7.99 (d, J = 7.7 Hz, IH), 7.65 (t, J = 7.7 Hz, IH), 7.44 (t, J = 7.7 Hz, IH), 3.26-3.17 (m, IH), 1.45 (d, j = 7.0 Hz, 6H)

PAT

1,2-naphthoquinone based derivative and method of preparing the same

Publication Number: US-10766882-B2

Priority Date: 2013-12-30

Grant Date: 2020-09-08

str1

AS ON OCT2025 4.511 LAKHS VIEWS ON BLOG WORLDREACH AVAILABLEFOR YOUR ADVERTISEMENT

wdt-16

join me on Linkedin

Anthony Melvin Crasto Ph.D – India | LinkedIn

join me on Researchgate

RESEARCHGATE

This image has an empty alt attribute; its file name is research.jpg

join me on Facebook

Anthony Melvin Crasto Dr. | Facebook

join me on twitter

Anthony Melvin Crasto Dr. | twitter

+919321316780 call whatsaapp

EMAIL. amcrasto@gmail.com

////////////napazimone, NAD(P)H dehydrogenase [quinone] 1 (NQO1) activator, KL 1333, KL-1333, NA2ZOL5UGM

Nacresertib


Nacresertib

CAS 2629977-59-7

MF C22H26N4O4, 410.5 g/mol

N-[2-(4-hydroxy-4-methylcyclohexyl)-6-methoxyindazol-5-yl]-6-methyl-1-oxidopyridin-1-ium-2-carboxamide

2-({2-[(1r,4r)-4-hydroxy-4-methylcyclohexyl]-6-methoxy-2H-indazol-5-yl}carbamoyl)-6-methylpyridine
1-oxide
serine/threonine kinase inhibitor, MB3QBD4BE7,

SYN

compound 001 [WO2021057785]

Example 1: Synthesis of Compound 001

ynthesis of compound 001, namely 2-((2-(trans-4-hydroxy-cis-4-methylcyclohexyl)-6-methoxy-2H-indazol-5-yl)carbamoyl)-6-methylpyridine 1-oxide [0133]

[0134]Cesium carbonate (985 mg) was added to 5 mL of a DMF solution containing compound 12 (300 mg) and compound 5 (344 mg) at 25°C. The reaction mixture was stirred at 90°C for 16 hours. The reaction mixture was then added to 30 mL of water and extracted with ethyl acetate (10 mL * 3). The organic phase was concentrated under reduced pressure, and the residue was purified by preparative high-performance liquid chromatography (HPLC) using a column (CH3CN : 

H2O ( 0.1 % NH4HCO3 ) = 15-45%, UV: 214 nm, flow rate: 15 mL/min) to obtain compound 001 (70 mg, yield 17%).[0135]

1 H NMR (400MHz, DMSO-d6): δ14.16(s,1H),8.78(s,1H),8.34(s,1H),8.32-8.30(m,1H),7.77(d,J=7.6Hz,1H),7.58(t,J=8.0Hz,1H),7.13(s,1 H),4.45(s,1H),4.43-4.40(m,1H),3.95(s,3H),2.53(s,3H),2.09-2.00(m,4H),1.68-1.58(m,4H),1.22(s,3H).LCMS: Rt=3.646min,[M+H] + =411.1.

SYN

2-((2-(trans-4-hydroxy-cis-4-methylcyclohexyl)-6-methoxy-2H-indazol-5-yl)carbamoyl)-6-methylpyridine 1-oxide as shown in the following formula:

[0257](1) Synthesis of compound 3 

[0258]DMAP (42.5 g), compound 2 (63.4 g), and triethylamine (63.9 g) were added sequentially to a 500 mL solution of compound 1 (50 g) in dichloromethane at 15°C, and the mixture was stirred at 25°C for 18 hours. Dichloromethane (200 mL) was added to the reaction mixture, followed by washing with water (300 mL × 2), then with 1 M dilute hydrochloric acid (300 mL × 3). The organic phase was dried over anhydrous sodium sulfate, filtered, and concentrated under reduced pressure to obtain 98 g of a yellow solid, yield: 99% (i.e., compound 3). 

[0259](2) Synthesis of compound 4 

[0260]1M dilute hydrochloric acid (300 mL) was added to a tetrahydrofuran solution (50 g) of compound 3 at 15°C, and the mixture was stirred at 25°C for 20 hours. The mixture was cooled to 0°C. The pH was adjusted to 9 with 1M sodium hydroxide solution. Extraction was performed with ethyl acetate (200 mL × 3). The extract was washed with saturated sodium chloride solution (300 mL). The solution was dried over anhydrous sodium sulfate. The mixture was filtered. The solution was concentrated under reduced pressure, and the residue was slurried with petroleum ether (150 mL) to give 39 g of a white solid, 91% yield (i.e., compound 4). 

[0261](3) Synthesis of compounds 5 & 6 

[0262]At -40°C, a tetrahydrofuran solution (200 mL) of compound 4 (34.5 g) was added dropwise to a tetrahydrofuran solution (500 mL) of methyl magnesium bromide (85.8 mL). The mixture was stirred at -40°C for 4 hours. The reaction was quenched with a saturated ammonium chloride solution (100 mL). The mixture was extracted with ethyl acetate (500 mL × 3). The extract was washed with saturated brine (300 mL), dried over anhydrous sodium sulfate, filtered, concentrated under reduced pressure, and the residue was purified by silica gel column chromatography (petroleum ether: ethyl acetate = 5:1) to give a colorless oily compound 5 (4.3 g, 10%), a colorless oily compound 6 (7.0 g, 17%), and a mixture of 12 g. 

[0263]Compound 5 

[0264]

1H NMR (400MHz,CDCl3 ) : δ7.79(d,J=8.0Hz,2H), 7.32(d,J=8.4Hz,2H), 4.52-4.41(m,1H), 2.44(s,3H), 1.95-1.80(m,2H), 1.77-1.61(m,4H), 1.46-1.35(m,2H), 1.19(s,3H). 

[0265]Compound 6 

[0266]

1H NMR (400MHz,CDCl3 ) : δ7.79(d,J=8.4Hz,2H), 7.33(d,J=8.0Hz,2H), 4.74-4.64(m,1H), 2.44(s,3H), 1.92-1.79(m,2H), 1.77-1.62(m,4H), 1.49-1.38(m,2H), 1.23(s,3H). 

[0267](4) Synthesis of compound 8 

[0268]A mixture of concentrated sulfuric acid (1.6 mL, 98%) and nitric acid (1.6 mL, 70%) was added dropwise to a solution of compound 7 (2.0 g) in concentrated sulfuric acid (12 mL, 98%) at -15°C. After the addition was complete, the mixture was stirred at -15°C for 2 hours. The reaction solution was then slowly poured into ice water and stirred for 5 minutes. The mixture was filtered, washed with water, and the solid was collected and dried under reduced pressure to give 2.5 g of a yellow solid, yield: 97% (i.e., compound 8). 

[0269](5) Synthesis of compound 9 

[0270]Hydrazine hydrate (2.4 mL, 98%) was added to a DMF (20 mL) solution of compound 8 (2.0 g) at room temperature. After the addition was complete, the mixture was heated to 120 °C and stirred for 16 hours. After cooling to room temperature, the mixture was slowly poured into ice water and stirred. The mixture was filtered, the solid was washed with water, and the solid was collected and concentrated under reduced pressure to obtain 1.3 g of yellow solid. Yield: 67% (i.e., compound 9). 

[0271](6) Synthesis of compound 10 

[0272]Compound 9 (12.4 g) and palladium on carbon (7 g, 10%) were added sequentially to 400 mL of ethyl acetate at 15°C. After the addition was complete, the mixture was stirred for 18 hours under hydrogen protection at 15°C. The palladium on carbon was filtered off from the reaction solution, and the filtrate was concentrated and evaporated to dryness to obtain 10.4 g of white solid product, with a yield of 99% (i.e., compound 10). 

[0273](7) Synthesis of compound 12 

[0274]EDCI.HCl (2.6 g) was added to a Py (15 mL) solution of compound 10 (1.5 g) and compound 11 (1.4 g) at 25°C. The reaction mixture was stirred at 25°C for 16 hours. The reaction mixture was concentrated and evaporated to dryness. The residue was slurried by passing MeOH/H₂O ( 20 mL/20 mL) to obtain 1.3 g of a yellow solid product, with a yield of 48% (i.e., compound 12). 

[0275](8) Synthesis of compound A 

[0276]

[0277]Cesium carbonate (985 mg) was added to 5 mL of a DMF solution containing compound 12 (300 mg) and compound 5 (344 mg) at 25°C. The reaction mixture was stirred at 90°C for 16 hours. The reaction mixture was then added to 30 mL of water and extracted with ethyl acetate (10 mL × 3). The organic phase was concentrated under reduced pressure, and the residue was purified by preparative high-performance liquid chromatography (HPLC) using a column (CH3CN : 

H2O ( 

0.1 % NH4HCO3 

) = 15-45%, UV: 214 nm, Flowrate: 15 mL/min) to obtain 70 mg of a yellow solid, with a yield of 17% (i.e., compound A).

[0278]

1H NMR(400MHz,DMSO-d6):δ14.16(s,1H),8.78(s,1H),8.34(s,1H),8.32-8.30(m,1H),7.77(d,J=7.6Hz,1H),7.58(t,J=8.0Hz,1H),7.13(s,1H),4.45(s,1H),4.43-4.40(m,1H),3.95(s,3H),2.53(s,3H),2.09-2.00(m,4H),1.68-1.58(m,4H),1.22(s,3H).LCMS:Rt=3.646min,[M+H] +=411.1.

PAT

str1

AS ON OCT2025 4.511 LAKHS VIEWS ON BLOG WORLDREACH AVAILABLEFOR YOUR ADVERTISEMENT

wdt-16

join me on Linkedin

Anthony Melvin Crasto Ph.D – India | LinkedIn

join me on Researchgate

RESEARCHGATE

This image has an empty alt attribute; its file name is research.jpg

join me on Facebook

Anthony Melvin Crasto Dr. | Facebook

join me on twitter

Anthony Melvin Crasto Dr. | twitter

+919321316780 call whatsaapp

EMAIL. amcrasto@gmail.com

//////////nacresertib, serine/threonine kinase inhibitor, MB3QBD4BE7,

Mosperafenib


Mosperafenib

CAS 2649372-20-1

MF C20H17F2N5O4S MW 461.4 g/mol

  • (3R)-N-{2-cyano-4-fluoro-3-[(3-methyl-4-oxo-3,4-dihydroquinazolin-6-yl)oxy]phenyl}-3-fluoropyrrolidine-1-sulfonamide
  • (3R)-N-(2-cyano-4-fluoro-3-((3-methyl-4-oxo-3,4-dihydroquinazolin-6-yl)oxy)phenyl)-3-fluoropyrrolidine-1-sulfonamide

(3R)-N-{2-cyano-4-fluoro-3-[(3-methyl-4-oxo-3,4-dihydroquinazolin-6-yl)oxy]phenyl}-3-fluoropyrrolidine-1-sulfonamide
B-Raf (BRAF) inhibitor, antineoplastic, RG6344, RO7276389, RG 6344, RO 7276389, 881-730-4, B-Raf IN 2

Mosperafenib is a small molecule drug. The usage of the INN stem ‘-rafenib’ in the name indicates that Mosperafenib is a Raf (rapidly accelerated fibrosarcoma) kinase inhibitor. Mosperafenib has a monoisotopic molecular weight of 461.1 Da.

Mosperafenib (RG6344, RO7276389) is an investigational, oral, “paradox-breaker” BRAF inhibitor developed by Roche for treating BRAF-mutated cancers, particularly BRAF V600E-mutant metastatic colorectal cancer. It acts as a potent, selective inhibitor that avoids MAPK pathway overactivation in non-V600E contexts, showing superior preclinical activity and brain penetration compared to existing inhibitors like encorafenib. 

Key Aspects of Mosperafenib:

  • Mechanism: As a “paradox-breaker” BRAF inhibitor, it avoids the paradoxical MAPK pathway activation seen with earlier inhibitors. It inhibits BRAF mutants () and is effective in RAF dimer-mediated resistant models.
  • Clinical Development: Currently in Phase I clinical trials for BRAF V600E-mutant colorectal cancer.
  • Preclinical Performance: In studies, it demonstrated higher antitumor activity than encorafenib/cetuximab combinations, even in BRAFi-naïve models.
  • Combination Potential: It is being evaluated in combination with cetuximab and FOLFOX.
  • Targeting: It targets BRAF V600E/K/A/D mutations. 
  • OriginatorRoche
  • ClassAntineoplastics; Fluorinated hydrocarbons; Fluorobenzenes; Nitriles; Phenyl ethers; Pyridones; Pyrrolidines
  • Mechanism of ActionProto-oncogene protein b-raf inhibitors
  • Phase IMalignant melanoma; Solid tumours
  • 18 Sep 2025Chemical structure information added.
  • 30 May 2025Efficacy, pharmacokinetics and adverse events data from a phase I trial in Solid tumors presented at the 61st Annual Meeting of the American Society of Clinical Oncology (ASCO-2025)
  • 25 Apr 2025Efficacy, pharmacokinetics and adverse events data from a phase I trial in Solid tumors presented at the 116th Annual Meeting of the American Association for Cancer Research (AACR-2025)

SYN

[WO2021116050]

SYN

US20240174621,

3R)-N-[2-cyano-4-fluoro-3-(3-methyl-4-oxo-quinazolin-6-yl)oxy-phenyl]-3-fluoro-pyrrolidine-1-sulfonamide (Example 1)

R)-3-Fluoropyrrolidine-1-sulfonamide (1.26 g, 7.51 mmol, Eq: 2.1) and cesium carbonate (2.56 g, 7.87 mmol, Eq: 2.2) were suspended in dry DMF (10.2 ml) under an argon atmosphere. The reaction was stirred at 50° C. for 30 min. The reaction mixture was cooled to rt and a solution of 3,6-difluoro-2-((3-methyl-4-oxo-3,4-dihydroquinazolin-6-yl)oxy)benzonitrile (1.12 g, 3.58 mmol, Eq: 1.0) in DMF (25.5 ml) was added. The reaction mixture was stirred at 100° C. for 15 h, then concentrated in vacuo. The residue was taken up in sat. aq. NH 4Cl (100 mL) and EtOAc (100 mL). The phases were separated, and the aqueous layer was extracted further with 2×100 mL EtOAc. The combined organic layers were washed with water (200 mL) and brine (200 mL), dried (Na 2SO 4), filtered and concentrated in vacuo. The water layer was back-extracted with EtOAc (3×100 mL). The combined organic extracts were washed with brine (200 mL), dried (Na 2SO 4), filtered and concentrated in vacuo. The residue was diluted with DCM and MeOH, and concentrated onto silica. Purification by flash chromatography (120 g, 0.5-2% MeOH/DCM) gave an off-white solid which was triturated with 1:1 heptane/DCM (20 mL) with sonication, then dried in vacuo to give the title compound as a colourless solid (1.087 g, 66% yield). MS (ESI) m/z: 426.2 [M+H] +. Chiral SFC: RT=4.594 min [Chiralpak IC column, 4.6×250 mm, 5 μm particle size (Daicel); gradient of 20-40% MeOH containing 0.2% NHEt over 8 min; flow: 2.5 mL/min; 140 bar backpressure].

SYN

Refences compounds AR-25, AR-30 and AR-31 were prepared according to the synthesis disclosed in WO2012/118492 in example 25, example 30 and example 31 respectively.

6-hydroxy-3-methyl-quinazolin-4-one

2-Amino-5-hydroxybenzoic acid (10 g, 65.3 mmol, Eq: 1.0) and A-methylformamide (30 g, 29.9 mL, 503 mmol, Eq: 7.7) were heated at 145 °C for 21 h 45 min, then cooled to rt. The reaction mixture was diluted with 50 mL H2O and stirred at rt for 20 min. The resulting precipitate was collected by filtration. The light brown solid was washed 3 × with 20 mL water. The solid was taken up in toluene and evaporated to dryness (3 ×). The solid was dried in vacuo at 40 °C overnight under high vacuum to give the title compound as a light brown solid (10.3 g, 89% yield). MS (ESI) mlz: 177.1 [M+H]+.

3.6-difluoro-2-(3-methyl-4-oxo-quinazolin-6-yl)oxy-benzonitrile

Cesium carbonate (3.22 g, 9.79 mmol, Eq: 1.15) was added at rt to a solution of 6-hydroxy-3-methylquinazolin-4-one (1500 mg, 8.51 mmol, Eq: 1.0) in N,N-dimethylformamide (35 mL). The mixture was stirred for 30 min at rt then 2,3,6-trifluorobenzonitrile (1.47 g, 1.08 ml, 9.37 mmol, Eq: 1.1) was added. After 1 h, the reaction was cooled on ice and diluted with water (120 mL). The resultant solid was collected by filtration, washed with iced water (100 mL) and heptane (100 mL) and suction-dried. The solid was taken up in toluene and evaporated to dryness (3 ×) then dried overnight in vacuo to give the title compound as a light brown solid (2.58 g, 97% yield). MS (ESI) m/z: 314.1 [M+H]+.

(3R)-3 -fluoropyrrolidine- 1 -sulfonamide

(R)-3 -Fluoropyrrolidine hydrochloride (1.8 g, 14.3 mmol, Eq: 1.2) was added to a solution of sulfuric diamide (1.148 g, 11.9 mmol, Eq: 1.0) and triethylamine (2.42 g, 3.33 mL, 23.9 mmol, Eq: 2) in dioxane (10 mL). The reaction was stirred in a sealed tube at 115 °C for 15.5 h then cooled to rt and concentrated in vacuo. The residue was diluted with DCM, evaporated with silica gel to dryness and transferred to a column. Purification by flash chromatography (40 g silica, 80% EtOAc) gave the title compound as a white crystalline solid (1.82 g, 91% yield). MS (ESI) m/z: 169.1 [M+H]+.

(3S)-3 -fluoropyrrolidine- 1 -sulfonamide

Triethylamine (304 mg, 419 μl, 3.01 mmol, Eq: 2.0) was added to a suspension of sulfuric diamide (146 mg, 1.5 mmol, Eq: 1.0) and (S)-3 -fluoropyrrolidine hydrochloride (234 mg, 1.8 mmol, Eq: 1.2) in dioxane (1.3 ml). The reaction was stirred in a sealed tube at 115°C for 16 h 35 min, then concentrated in vacuo. The residue was diluted with MeOH and evaporated with silica gel to dryness and transferred to a column. Purification by flash chromatography (40 g silica, 0-8% MeOH/DCM) gave the title compound as a light yellow solid (193 mg, 75% yield). MS (ESI) m/z: 169.1 [M+H]+.

(3R)-N-[2-cyano-4-fluoro-3-(3-methyl-4-oxo-quinazolin-6-yl)oxy-phenyl]-3-fluoro-pyrrolidine-1 -sulfonamide (Example 1)

(R)-3-Fluoropyrrolidine-1-sulfonamide (1.26 g, 7.51 mmol, Eq: 2.1) and cesium carbonate (2.56 g, 7.87 mmol, Eq: 2.2) were suspended in dry DMF (10.2 ml) under an argon atmosphere. The reaction was stirred at 50 °C for 30 min. The reaction mixture was cooled to rt and a solution of 3,6-difluoro-2-((3-methyl-4-oxo-3,4-dihydroquinazolin-6-yl)oxy)benzonitrile (1.12 g, 3.58 mmol, Eq: 1.0) in DMF (25.5 ml) was added. The reaction mixture was stirred at 100 °C for 15 h, then concentrated in vacuo. The residue was taken up in sat. aq. NH4Cl (100 mL) and EtOAc (100 mL). The phases were separated, and the aqueous layer was extracted further with 2 x 100 mL EtOAc. The combined organic layers were washed with water (200 mL) and brine (200 mL), dried (Na2SO4), filtered and concentrated in vacuo. The water layer was back-extracted with EtOAc (3 x 100 mL). The combined organic extracts were washed with brine (200 mL), dried (Na2SO4), filtered and concentrated in vacuo. The residue was diluted with DCM and MeOH, and concentrated onto silica. Purification by flash chromatography (120 g, 0.5-2% MeOH/DCM) gave an off-white solid which was triturated with 1 : 1 heptane/DCM (20 mL) with sonication, then dried in vacuo to give the title compound as a colourless solid (1.087 g, 66% yield). MS (ESI) mlz: 426.2 [M+H]+. Chiral SFC: RT = 4.594 min [Chiralpak IC column, 4.6 x 250 mm, 5μm particle size (Daicel); gradient of 20 – 40% MeOH containing 0.2% NHEt2 over 8 min; flow: 2.5 mL/min; 140 bar backpressure],

(3S)-N-[2-cyano-4-fluoro-3-(3-methyl-4-oxo-quinazolin-6-yl)oxy-phenyl]-3-fluoro-pyrrolidine-1 -sulfonamide (Example 2)

(S)-3-Fluoropyrrolidine-1-sulfonamide (181 mg, 1.08 mmol, Eq: 2.1) was dissolved in DMF (1.6 ml). At rt cesium carbonate (368 mg, 1.13 mmol, Eq: 2.2) was added and the reaction mixture was stirred at 50 °C for 30 min. The reaction mixture was cooled to rt and a solution of 3,6-difluoro-2-((3-methyl-4-oxo-3,4-dihydroquinazolin-6-yl)oxy)benzonitrile (160.8 mg, 513 μmol, Eq: 1.0) in DMF (4 ml) was added. The reaction mixture was stirred at 105 °C for 2 h 50 min then concentrated in vacuo. The residue was taken up in DCM and washed with sat. aq. NH4Cl. The aq. layer was back-extracted twice with DCM. The combined organic layers were dried over Na2SO4, filtrated and evaporated. The residue (brown oil) was diluted with DCM and transferred to a column. Purification by flash chromatography (80 g, 0-100% EtOAc in DCM) gave a solid which was further purified by SFC to give the title compound as a light yellow solid (119 mg, 50% yield). MS (ESI) m/z: 426.2 [M+H]+. Chiral SFC: RT = 4.411 min [Chiralpak IC column, 4.6 x 250 mm, 5μm particle size (Daicel); gradient of 20 – 40% MeOH containing 0.2% NHEt2 over 8 min; flow: 2.5 mL/min; 140 bar backpressure].

PAT

New methylquinazolinone derivatives

Publication Number: AU-2020403443-A1

Priority Date: 2019-12-10

str1

AS ON OCT2025 4.511 LAKHS VIEWS ON BLOG WORLDREACH AVAILABLEFOR YOUR ADVERTISEMENT

wdt-16

join me on Linkedin

Anthony Melvin Crasto Ph.D – India | LinkedIn

join me on Researchgate

RESEARCHGATE

This image has an empty alt attribute; its file name is research.jpg

join me on Facebook

Anthony Melvin Crasto Dr. | Facebook

join me on twitter

Anthony Melvin Crasto Dr. | twitter

+919321316780 call whatsaapp

EMAIL. amcrasto@gmail.com

////////////////mosperafenib, B-Raf (BRAF) inhibitor, antineoplastic, RG6344, RO7276389, RG 6344, RO 7276389, 881-730-4, B-Raf IN 2

Mocaciclib


Mocaciclib

CAS 2766124-39-2

MF C33H36FN9O2 MW609.71

  • 2-fluoro-N-[1-[2-[[[2-[[(3R,4R)-3-hydroxypiperidin-4-yl]methylamino]-8-propan-2-ylpyrazolo[1,5-a][1,3,5]triazin-4-yl]amino]methyl]phenyl]isoquinolin-6-yl]prop-2-enamide
  • 2-Fluoro-N-[1-[2-[[[2-[[[(3R,4R)-3-hydroxy-4-piperidinyl]methyl]amino]-8-(1-methylethyl)pyrazolo[1,5-a]-1,3,5-triazin-4-yl]amino]methyl]phenyl]-6-isoquinolinyl]-2-propenamide
  • 2-fluoro-N-[1-[2-[[[2-[[(3R,4R)-3-hydroxypiperidin-4-yl]methylamino]-8-propan-2-ylpyrazolo[1,5-a][1,3,5]triazin-4-yl]amino]methyl]phenyl]isoquinolin-6-yl]prop-2-enamide

cyclin-dependent kinase (CDK) inhibitor, antineoplastic, Q 901,  CDK7-IN-21,

  • OriginatorThe Lead Discovery Center; The Max Planck Institute of Biochemistry
  • DeveloperQurient Co
  • ClassAntineoplastics; Small molecules
  • Mechanism of ActionCyclin-dependent kinase-activating kinase inhibitors
  • Phase I/IISolid tumours
  • 31 May 2024Preliminary efficacy, pharmacodynamics, pharmacokinetics and adverse events data from a phase I/II trial in Solid tumours presented at the 60th Annual Meeting of the American Society of Clinical Oncology (ASCO-2024)
  • 21 May 2024Qurient Therapeutics enters into an Cooperative Research and Development Agreement (CRADA) with the US National Cancer Institute (NCI) for phase I/II trial in Small cell lung cancer (SCLC) and Solid tumours
  • 21 May 2024Qurient Therapeutics plans phase I/II trial in Small cell lung cancer (SCLC) and Solid tumours

Mocaciclib (Q-901) is an orally bioavailable, selective cyclin-dependent kinase (CDK) inhibitor with potent activity against CDK2, CDK4, and CDK6. Preclinical data show that Mocaciclib inhibits CDK2/cyclin E with an IC₅₀ of 1.1 nM, CDK4/cyclin D1 with an IC₅₀ of 2.5 nM, and CDK6/cyclin D3 with an IC₅₀ of 4.1 nM, demonstrating high potency in enzymatic assays. In cancer cell lines, Mocaciclib suppresses retinoblastoma protein (Rb) phosphorylation, leading to G1 cell cycle arrest and growth inhibition in Rb-positive tumor models. It has shown antiproliferative effects in various preclinical models, including breast and lung cancers.

Mocaciclib is a selective inhibitor of cyclin-dependent kinase 7 (CDK7), with potential antineoplastic activity. Upon administration, mocaciclib selectively targets, covalently binds to and inhibits the activity of CDK7, thereby inhibiting CDK7-mediated signaling. The inhibition of CDK7 prevents phosphorylation of the carboxy-terminal domain (CTD) of RNA polymerase II, thereby preventing transcription of important cancer-promoting genes. It prevents phosphorylation of the cell cycle kinases CDK1, 2, 4, and 6, thereby disrupting uncontrolled cell cycle progression. Altogether, this may induce apoptosis, cause cell cycle arrest, inhibit DNA damage repair and inhibit tumor cell proliferation in certain cancers that are dependent on CDK7-mediated transcriptional regulation and signaling. CDK7, a serine/threonine kinase, plays a role in controlling cell cycle progression and transcriptional regulation, and promotes the expression of key oncogenes through the phosphorylation of RNA polymerase II. It is overexpressed in multiple cancers.

SYN

[WO2019197546A1]

compound 64

SYN

This is compound 64, as disclosed in WO2O19/197546. 

PAT

str1

AS ON OCT2025 4.511 LAKHS VIEWS ON BLOG WORLDREACH AVAILABLEFOR YOUR ADVERTISEMENT

wdt-16

join me on Linkedin

Anthony Melvin Crasto Ph.D – India | LinkedIn

join me on Researchgate

RESEARCHGATE

This image has an empty alt attribute; its file name is research.jpg

join me on Facebook

Anthony Melvin Crasto Dr. | Facebook

join me on twitter

Anthony Melvin Crasto Dr. | twitter

+919321316780 call whatsaapp

EMAIL. amcrasto@gmail.com

//////////mocaciclib, cyclin-dependent kinase (CDK) inhibitor, antineoplastic, Q 901,  CDK7-IN-21,

Mobinitinib


Mobinitinib

CAS1402709-93-6

MF C22H23Cl2N7 MW456.37

6-chloro-7-{4-[(4-chlorophenyl)methyl]piperazin-1-yl}-2-(1,3-dimethyl-1Hpyrazol-4-yl)-3H-imidazo[4,5-b]pyridine

6-chloro-7-{4-[(4-chlorophenyl)methyl]piperazin-1-yl}-2-(1,3-dimethyl-1Hpyrazol-4-yl)-3H-imidazo[4,5-b]pyridine
dual FMS-like tyrosine kinase-3 (FLT3)-Aurora kinase inhibitor, antineoplastic, CCT241736, CCT 241736, ZE94SP78UG, EP0042, EP 0042

Mobinitinib (CCT241736) is an investigational, orally bioavailable, small-molecule, dual inhibitor targeting Aurora kinase and FLT3 (including ITD and D835Y mutations). It shows potent antineoplastic activity in preclinical models, including acute myeloid leukemia (AML), by inhibiting tumor cell proliferation and disrupting mitotic spindle assembly. It is a distinct compound from similarly named drugs like Momelotinib or Binimetinib

Key Details About Mobinitinib (CCT241736)

  • Mechanism of Action: Acts as a dual inhibitor of Aurora kinases (A and B) and FMS-related tyrosine kinase 3 (FLT3). By inhibiting these kinases, it interferes with mitotic spindle assembly and chromosome segregation, leading to cell cycle arrest.
  • Target Indications: Primarily studied for its potential to treat hematological malignancies and solid tumors that overexpress FLT3 or Aurora kinases. Preclinical studies show effectiveness in FLT3-ITD positive AML cell lines (e.g., MOLM-13, MV4-11).
  • Preclinical Activity: Demonstrates strong anti-proliferative activity with  values in the sub-micromolar range (e.g., 0.1–0.3 M) in certain human tumor cell lines. It has shown significant tumor growth inhibition in mouse xenograft models at doses of 50-100 mg/kg.
  • Chemical Properties: It is a 1H-imidazo[5-b]pyridine derivative. 

It is important to distinguish mobinitinib (CCT241736) from momelotinib, a JAK1/JAK2 inhibitor approved for myelofibrosis, and binimetinib, a MEK inhibitor for melanoma. 


Mobinitinib is an orally bioavailable inhibitor of both the serine/threonine protein kinase Aurora kinase and FMS-related tyrosine kinase 3 (FLT3; STK1; CD135; FLK2), with potential antineoplastic activity. Upon oral administration, mobinitinib specifically binds to and inhibits Aurora kinase and FLT3, which interferes with the activation of Aurora kinase- and FLT3-mediated signal transduction pathways. This may result in the disruption of the assembly of the mitotic spindle apparatus, the disruption of chromosome segregation and the inhibition of cell proliferation in tumor cells that overexpress Aurora kinase and/or FLT3. Aurora kinase plays essential roles in mitotic checkpoint control during mitosis. Aurora kinase and FLT3 are overexpressed in a variety of cancers and play key roles in tumor cell proliferation.

MOBINITINIB is a small molecule drug with a maximum clinical trial phase of II and has 1 investigational indication.

Study to Evaluate the Safety and Tolerability of EP0042

CTID: NCT04581512

Phase: Phase 1/Phase 2

Status: Recruiting

Date: 2025-10-14

SYN

5-Chloro-4-(4-(4-chlorobenzyl)piperazin-1-yl)-3-nitropyridin-2-amine

[00119] To a mixture of 2-amino-4,5-dichloro-3-nitropyridine (0.152 g, 0.73 mmol) and isopropanol (22 mL) was added 1 -(4-chlorobenzyl)piperazine (0.165 g, 0.78 mmol) followed by diisopropylethylamine (0.17 mL, 0.97 mmol). The reaction mixture was heated at 45 °C for 18 h, then allowed to cool to room temperature, and diluted with isopropanol (5 mL). The precipitate was collected by filtration, washed with isopropanol and diethyl ether. The title compound was thus obtained as a yellow solid (0.215 g, 77%); 1H-NMR (500 MHz, DMSO-d6) 2.48 (br s, obscured by DMSO peak, 4H, piperazine C-H), 3.06 (br t, J = 4.3 Hz, 4H, piperazine C-H), 3.52 (s, 2H, NCH2C6H4Cl), 6.95 (s, 2H, NH2), 7.35 (d, J = 8.5 Hz, 2H) and 7.38 (d, J = 8.5 Hz, 2H) (3,5-ArH and 2,6- ArH), 8.06 (s, 1 H, 6-H); LC – MS (ESI, m/z): Rt = 1 .70 min – 382, 384, 386 [(M+H)+, Cl2 isotopic pattern].

6-Chloro-7-(4-(4-chlorobenzyl)piperazin-1-yl)-2-(1,3-dimethyl-1H-pyrazol-4-yl)-3H-imidazo[4,5-b]pyridine

[00120] To a mixture of 5-chloro-4-(4-(4-chlorobenzyl)piperazin-1 -yl)-3-nitropyridin-2-amine (0.076 g, 0.20 mmol) and EtOH (4.0 ml.) was added 1 ,3-dimethyl-1 H-pyrazole-4-carbaldehyde (0.027 g, 0.22 mmol) followed by a freshly prepared aqueous solution of Na2S2O4 (1 M; 0.85 mL, 0.85 mmol). The reaction mixture was stirred at 80 °C for 24 h, it was then allowed to cool to room temperature, concentrated in vacuo, and the residue was absorbed on silica gel and placed on a 10 g isolute silica column. Elution with ethyl acetate / dichloromethane (v/v; 1 :1 ), and then 4% methanol in ethyl acetate / dichloromethane (v/v; 1 :1 ) afforded the title compound as a white solid after trituration with diethyl ether (0.023 g, 25%).

[00121 ] 1 H-NMR (500 MHz, DMSO-d6) 2.51 (s, obscured by solvent peak, pyrazole 3-CH3), 2.57 (br s, 4H, piperazine C-H), 3.54 (s, 2H, N-CH2C6H4Cl), 3.68 (br s, 4H, piperazine C-H), 3.84 (s, 3H, pyrazole N-Me), 7.37 (d, J = 8.5 Hz, 2H) and 7.40 (d, J = 8.5 Hz, 2H) (C6H4Cl), 8.02 (s, 1 H), and 8.18 (s, 1 H) (pyrazole 5-H, and imidazo[4,5-b]pyridine 5-H), 12.95 (br s, 1 H, imidazo[4,5-b]pyridine N-H); LC – MS (ESI, m/z): Rt = 1.97 min – 456, 458, 460 [(M+H)+, Cl2 isotopic pattern].

[00122] HRMS: Found: 456.1457, calculated for C22H24Cl2N7 (M+H)+: 456.1465.

LIT

PAT

str1

AS ON OCT2025 4.511 LAKHS VIEWS ON BLOG WORLDREACH AVAILABLEFOR YOUR ADVERTISEMENT

wdt-16

join me on Linkedin

Anthony Melvin Crasto Ph.D – India | LinkedIn

join me on Researchgate

RESEARCHGATE

This image has an empty alt attribute; its file name is research.jpg

join me on Facebook

Anthony Melvin Crasto Dr. | Facebook

join me on twitter

Anthony Melvin Crasto Dr. | twitter

+919321316780 call whatsaapp

EMAIL. amcrasto@gmail.com

////////////////mobinitinib, antineoplastic, CCT241736, CCT 241736, ZE94SP78UG, EP0042, EP 0042

Mevrometostat


Mevrometostat

CAS 1844849-10-0

MF C22H24Cl2N2O5 MW467.3 g/mol

5,8-dichloro-2-[(4-methoxy-6-methyl-2-oxo-1H-pyridin-3-yl)methyl]-7-[(R)-methoxy(oxetan-3-yl)methyl]-3,4-dihydroisoquinolin-1-one

5,8-dichloro-7-[(R)-methoxy(oxetan-3-yl)methyl]-2-[(4-methoxy-6-methyl-2-oxo-1,2-dihydropyridin-3-yl)methyl]-3,4-
dihydroisoquinolin-1(2H)-one
enhancer of zeste homolog 2 (EZH2) inhibitor, antineoplastic, PF-06821497, PF 06821497, S4L4MM20B6

Mevrometostat (development code PF-06821497) is an investigational anticancer drug that functions as a potent and selective inhibitor of enhancer of zeste homolog 2 (EZH2).[1][2] Currently under development by Pfizer, mevrometostat is being investigated primarily for the treatment of metastatic castration-resistant prostate cancer (mCRPC) in combination with enzalutamide.

PF-06821497 is under investigation in clinical trial NCT03460977 (PF-06821497 Treatment Of Relapsed/Refractory SCLC, Castration Resistant Prostate Cancer, and Follicular Lymphoma).

Mevrometostat is an orally available selective inhibitor of the histone lysine methyltransferase (HMT) enhancer of zeste homolog 2 (EZH2), with potential antineoplastic activity. Upon oral administration, mevrometostat selectively targets, binds to and inhibits the activity of EZH2. Inhibition of EZH2 specifically prevents the methylation of histone H3 on lysine 27 (H3K27). This decrease in histone methylation alters gene expression patterns associated with cancer pathways and results in decreased proliferation of EZH2-expressing cancer cells. EZH2, an HMT class enzyme and the catalytic subunit of the polycomb repressive complex 2 (PRC2), is overexpressed or mutated in a variety of cancer cells and plays a key role in tumor cell proliferation; its expression is correlated with tumor initiation, progression, stem cell self-renewal, migration and angiogenesis.

MEVROMETOSTAT is a small molecule drug with a maximum clinical trial phase of II and has 1 investigational indication.

Synthesis

LAST STEP CONDITIONS

METHYL IODIDE REAGENT, Tetrahydrofuran , Potassium tert-butoxide
NEXT Hydrogen, Platinum dioxide,

SYN

Optimization of Orally Bioavailable Enhancer of Zeste Homolog 2 (EZH2) Inhibitors Using Ligand and Property-Based Design Strategies: Identification of Development Candidate (R)-5,8-Dichloro-7-(methoxy(oxetan-3-yl)methyl)-2-((4-methoxy-6-methyl-2-oxo-1,2-dihydropyridin-3-yl)methyl)-3,4-dihydroisoquinolin-1(2H)-one (PF-06821497)Publication Name: Journal of Medicinal ChemistryPublication Date: 2017-12-27PMID: 29211475DOI: 10.1021/acs.jmedchem.7b01375

compound 23a [PMID: 29211475]

5,8-dichloro-2-[(4-methoxy-6-methyl-2-oxo-1,2-dihydropyridin-3-yl)methyl]-7-[(R)-
methoxy(oxetan-3-yl)methyl]-3,4-dihydroisoquinolin-1(2H)-one (23a) and 5,8-dichloro-2-[(4-
methoxy-6-methyl-2-oxo-1,2-dihydropyridin-3-yl)methyl]-7-[(S)-methoxy(oxetan-3-yl)methyl]-
3,4-dihydroisoquinolin-1(2H)-one (23b)

Multiple batches of (±)-5,8-dichloro-2-[(4-methoxy-6-
methyl-2-oxo-1,2-dihydropyridin-3-yl)methyl]-7-[methoxy-
(oxetan-3-yl)methyl]-3,4-dihydroisoquinolin-1(2H)-one 40
were combined (140 mg total), and the enantiomers separated
by preparative chiral SFC [Column: (R,R)Whelk O1
250mm*30mm,5µ; mobile phase: EtOH; wavelength: 220
nm] to give, after lyophilization, 23a (50.3 mg, 36%) as a
white solid, and 23b (22.8 mg, 16%) as a white solid. A
small-molecule X-Ray crystal structure of 23a showed it to
have absolute (R) stereochemistry. A small-molecule X-Ray crystal structure of 23b confirmed
the expected absolute (S) stereochemistry.
5,8-dichloro-2-[(4-methoxy-6-methyl-2-oxo-1,2-dihydropyridin-3-yl)methyl]-7-[(R)-
methoxy(oxetan-3-yl)methyl]-3,4-dihydroisoquinolin-1(2H)-one (23a). After chiral SFC and
lyophilization, 23a (50.3 mg, 36%) was obtained as a white solid. LCMS m/z 489 [M+Na]+; 1H
NMR (400 MHz, CDCl3) δ 12.34 (br s, 1H), 7.49 (s, 1H), 5.93 (s, 1H), 5.05 (d, J=6.0 Hz, 1H),
4.78-4.61 (m, 6H), 3.88 (s, 3H), 3.50-3.48 (m, 2H), 3.38-3.37 (m, 1H), 3.31 (s, 3H), 2.94 (t,
J=6.2 Hz, 2H), 2.35 (s, 3H). [α]D
22 +67.7° (c 0.1, MeOH); Chiral analysis: 100% ee; retention
time 9.85 min; column (R,R)Whelk O1, 250×4.6mm I.D., 5µ; mobile phase 50% ethanol (0.05%
DEA) in CO2; wavelength 220 nm. A crystalline sample of 23a was obtained by dissolving the
lyophilized powder in hot isopropanol in a 1 dram vial, then letting the vial stand in a capped
TLC chamber containing a layer of hexanes in the bottom, which allowed slow diffusion of hexanes into isopropanol. After two days, crystals (square plates) were collected. A smallmolecule X-Ray crystal structure of 23a showed it to have absolute (R) stereochemistry.
Crystallographic data are available in the Supporting Information.

syn

Pfizer Inc.

United States, US20150361067

REF

PAT

WO-0003990-A1
WO-0059513-A1
WO-0127114-A1
WO-02100354-A2
WO-2004029040-A1
WO-2004033420-A1
WO-2004078712-A2
WO-2004092118-A2
WO-2005000869-A1
WO-2005040109-A1
WO-2005082368-A1
WO-2006083424-A2
WO-2007022638-A1
WO-2007030089-A1
WO-2007058503-A1
WO-2008116833-A1
WO-2009005690-A2
WO-2009142969-A1
WO-2010015656-A2
WO-2010123599-A9
WO-2011102800-A1
WO-2011115818-A1
WO-2011139702-A2
WO-2012033149-A1
WO-2012037372-A2
WO-2012069856-A1
WO-2012097013-A1
WO-2012112969-A1
WO-2012129673-A1
WO-2012130912-A1
WO-2013096679-A1
WO-2013096680-A1
WO-2013102242-A1
WO-2013142525-A1
WO-2013177983-A1
WO-2014037498-A2
WO-2014057415-A2
WO-2015193765-A1
WO-2020190754-A1
WO-2021163064-A9
WO-2022053990-A1
WO-2022058405-A2
WO-2022087149-A2
WO-2022087230-A1
WO-2022164789-A1
WO-2022164789-A9
WO-2022212746-A1
WO-2022212748-A1
WO-2022221304-A1
WO-2022232435-A1
WO-2022261243-A1
WO-2022271650-A1
WO-2022271659-A1
WO-2022271677-A1
WO-2022271684-A1
WO-2023015164-A1
WO-2023041674-A1
WO-2023055885-A2
WO-2023061446-A1
WO-2023076554-A9
WO-2023076983-A1
WO-2023077030-A1
WO-2023100131-A1
WO-2023108563-A1
WO-2023111810-A1
WO-2023114460-A1
WO-2023122581-A2
WO-2023122615-A1
WO-2023147418-A1
WO-2023166418-A2
WO-2023166420-A1
WO-2023178181-A1
WO-2023178354-A1
WO-2023183817-A1
WO-2023196784-A1
WO-2023205719-A1
WO-2023205850-A1
WO-2023212504-A1
WO-2023218320-A1
WO-2023242769-A1
WO-2023249714-A1
WO-2024003773-A1
WO-2024006929-A1
WO-2024009191-A1
WO-2024015566-A1
WO-2024019995-A1
WO-2024020534-A2
WO-2024033513-A1
WO-2024035688-A1
WO-2024064668-A1
WO-2024074977-A1
WO-2024086094-A1
WO-2024105563-A1
WO-2024187153-A1
WO-2024189607-A1
WO-2024192373-A1
WO-2024193570-A1
WO-2024193570-A9
WO-2024209339-A1
WO-2024213979-A1
WO-2024215754-A1
WO-2024218686-A1
WO-2024220917-A1
WO-2024246965-A1
WO-2025006704-A1
WO-2025006720-A1
WO-2025024663-A1
WO-2025024811-A1
WO-2025031307-A1
WO-2025038726-A2
WO-2025049966-A2
WO-2025049966-A9
WO-2025054347-A1
WO-2025054530-A1
WO-2025059027-A1
WO-2025085536-A1
WO-2025094035-A1
WO-2025096589-A1
WO-2025121805-A1
WO-2025121807-A1
WO-2025137640-A1
WO-2025151706-A1
WO-2025245003-A1
WO-9012007-A1
WO-9522521-A1
WO-9954305-A1
str1

AS ON OCT2025 4.511 LAKHS VIEWS ON BLOG WORLDREACH AVAILABLEFOR YOUR ADVERTISEMENT

wdt-16

join me on Linkedin

Anthony Melvin Crasto Ph.D – India | LinkedIn

join me on Researchgate

RESEARCHGATE

This image has an empty alt attribute; its file name is research.jpg

join me on Facebook

Anthony Melvin Crasto Dr. | Facebook

join me on twitter

Anthony Melvin Crasto Dr. | twitter

+919321316780 call whatsaapp

EMAIL. amcrasto@gmail.com

Mechanism of action

Mevrometostat is a small molecule inhibitor that targets EZH2, the catalytic subunit of polycomb repressive complex 2 (PRC2).[1][3] EZH2 plays a crucial role in epigenetic regulation by modifying gene expression patterns that control cellular fate decisions, including differentiation and self-renewal.[1]

In prostate cancer, EZH2 dysregulation contributes to treatment resistance through multiple pathways, including:

Mevrometostat demonstrates dose-dependent EZH2 inhibition, leading to reactivation of tumor suppressor genes while suppressing genes involved in tumor progression.[5]

Clinical development

Phase I/II trials

The primary clinical evaluation of mevrometostat is being conducted through a phase 1/2 dose-expansion study (NCT03460977) investigating the combination of mevrometostat with enzalutamide and androgen deprivation therapy in patients with mCRPC.[6]

The dose-expansion portion of this study enrolled patients with mCRPC who had previously received abiraterone, with evidence of disease progression per modified Prostate Cancer Working Group 3 criteria.[2]

Key efficacy results

In the randomized dose-expansion study, the combination of mevrometostat (1,250 mg twice daily on an empty stomach) plus enzalutamide demonstrated:

  • 49% relative reduction in the rate of progression or death
  • Approximately 8-month improvement in median radiographic progression-free survival (rPFS)
  • Hazard ratio of 0.51 (90% CI: 0.28–0.95)[7]

The median radiographic progression-free survival was 14.3 months with the combination therapy compared to 6.2 months with enzalutamide alone.[8]

Phase III trials

Based on promising phase I/II results, Pfizer has initiated multiple phase 3 clinical trials:

MEVPRO-1 study

The MEVPRO-1 study (NCT06551324) is a randomized phase 3 trial evaluating mevrometostat in combination with enzalutamide versus physician’s choice of therapy in patients with mCRPC previously treated with abiraterone acetate.[9][10]

  • Study design: Randomized 1:1 to receive mevrometostat (875 mg twice daily with food) plus enzalutamide (160 mg daily) versus physician’s choice of enzalutamide or docetaxel
  • Target enrollment: Approximately 600 patients
  • Primary endpoint: Blinded independent central review-assessed rPFS per RECIST 1.1 and PCWG3 criteria
  • Key secondary endpoint: Overall survival

MEVPRO-2 study

The MEVPRO-2 study (NCT06629779) is evaluating mevrometostat plus enzalutamide in androgen receptor pathway inhibitor (ARPI)-naïve patients with mCRPC.[11][12]

Additional development

Pfizer has also initiated phase 3 trials evaluating mevrometostat plus enzalutamide in first-line metastatic castration-sensitive prostate cancer.[8][13]

Safety profile

The most common adverse events considered related to mevrometostat treatment include:

Dose optimization studies found that mevrometostat 875 mg twice daily with food showed similar efficacy and better safety compared to the 1,250 mg dose on an empty stomach.[15]

Pharmacokinetics

Based on safety and pharmacokinetic findings from phase 1 trials, mevrometostat 875 mg twice daily with food was selected as the recommended dose for phase 3 clinical development in combination with enzalutamide.[16]

Regulatory status

As of 2025, mevrometostat remains an investigational agent under clinical development by Pfizer. The drug has not received regulatory approval from the Food and Drug Administration (FDA), European Medicines Agency (EMA), or other regulatory authorities.

See also

References

  1.  “Mevrometostat (PF-06821497)”. Pfizer Oncology Development. Retrieved 11 September 2025.
  2.  Schweizer MT, Calvo M, Moreno V, Mellado B, Castellano D, Spira AI, et al. (2025). “Mevrometostat (PF-06821497), an enhancer of zeste homolog 2 (EZH2) inhibitor, in combination with enzalutamide in patients with metastatic castration-resistant prostate cancer (mCRPC): A randomized dose-expansion study”. Journal of Clinical Oncology43 (5_suppl) LBA138. doi:10.1200/JCO.2025.43.5_suppl.LBA138.
  3.  Schweizer MT, Penkov K, Choudhury AD, Calvo E, Frank RC, Liu L, et al. (2024). “Phase 1 trial of mevrometostat (PF-06821497), a potent and selective inhibitor of enhancer of zeste homolog 2 (EZH2), in castration-resistant prostate cancer (CRPC)”. Journal of Clinical Oncology42 (16_suppl): 5061. doi:10.1200/JCO.2024.42.16_suppl.5061.
  4.  “SUO 2024: Mevrometostat (PF-06821497) in Combination with Enzalutamide in Patients with Metastatic Castration-Resistant Prostate Cancer Previously Treated with Abiraterone Acetate”. UroToday. Retrieved 11 September 2025.
  5.  “Mevrometostat and enzalutamide in mCRPC: gene expression and EZH2 modulation”. VJ Oncology. 17 February 2025. Retrieved 11 September 2025.
  6.  Pfizer (4 September 2025). A PHASE I DOSE ESCALATION AND EXPANDED COHORT STUDY OF PF 06821497 (MEVROMETOSTAT) IN THE TREATMENT OF ADULT PATIENTS WITH RELAPSED/REFRACTORY SMALL CELL LUNG CANCER (SCLC), CASTRATION RESISTANT PROSTATE CANCER (CRPC) AND FOLLICULAR LYMPHOMA (FL) (Report). clinicaltrials.gov.
  7.  “ASCO GU 2025: Mevrometostat (PF-06821497), an EZH2 Inhibitor, in Combination with Enzalutamide in Patients with mCRPC”. UroToday. Retrieved 11 September 2025.
  8.  “Mevrometostat/enzalutamide combo shows rPFS benefit in mCRPC”. Urology Times. 21 February 2025. Retrieved 11 September 2025.
  9.  Agarwal N, Schweizer MT, Castro E, Azad A, George DJ, Chakrabarti J, et al. (2025). “Mevrometostat (PF-06821497) in combination with enzalutamide in patients with metastatic castration-resistant prostate cancer previously treated with abiraterone acetate: The phase 3, randomized MEVPRO-1 study”. Journal of Clinical Oncology43 (5_suppl) TPS288. doi:10.1200/JCO.2025.43.5_suppl.TPS288.
  10.  Pfizer (4 September 2025). A PHASE 3, RANDOMIZED, OPEN-LABEL STUDY OF PF-06821497 (MEVROMETOSTAT) IN COMBINATION WITH ENZALUTAMIDE COMPARED WITH ENZALUTAMIDE OR DOCETAXEL IN PARTICIPANTS WITH METASTATIC CASTRATION RESISTANT PROSTATE CANCER PREVIOUSLY TREATED WITH ABIRATERONE ACETATE (MEVPRO-1) (Report). clinicaltrials.gov.
  11.  “ASCO GU 2025: Mevrometostat (PF-06821497) in Combination With Enzalutamide for ARPI-Naïve Patients With mCRPC: The Phase 3, Randomized MEVPRO-2 Trial”. UroToday. Retrieved 11 September 2025.
  12.  Pfizer (4 September 2025). A PHASE 3, RANDOMIZED, DOUBLE BLIND, PLACEBO CONTROLLED STUDY OF PF-06821497 (MEVROMETOSTAT) WITH ENZALUTAMIDE IN METASTATIC CASTRATION RESISTANT PROSTATE CANCER (MEVPRO-2) (Report). clinicaltrials.gov.
  13.  Pfizer (4 September 2025). A Phase 3, Randomized, Double-Blind, Placebo-Controlled Study of Mevrometostat (PF-06821497) With Enzalutamide in Metastatic Castration-Sensitive Prostate Cancer (MEVPRO-3) (Report). clinicaltrials.gov.
  14.  “ASCO 2025: Mevrometostat in Combination with Enzalutamide in Patients with mCRPC Previously Treated with Abiraterone Acetate”. UroToday. Retrieved 11 September 2025.
  15.  “Mevrometostat Plus Enzalutamide Improves rPFS vs Enzalutamide in Metastatic CRPC”. OncLive. 21 February 2025. Retrieved 11 September 2025.
  16.  “ASCO 2025: Safety and Pharmacokinetics of Mevrometostat in Combination with Enzalutamide in Patients with mCRPC”. UroToday. Retrieved 11 September 2025.
Clinical data
Other namesPF-06821497
Identifiers
IUPAC name
CAS Number1844849-10-0
PubChem CID118572065
IUPHAR/BPS10516
DrugBankDB14799
ChemSpider65321668
UNIIS4L4MM20B6
KEGGD12845
ChEMBLChEMBL4080228
PDB ligandCJD (PDBeRCSB PDB)
Chemical and physical data
FormulaC22H24Cl2N2O5
Molar mass467.34 g·mol−1
3D model (JSmol)Interactive image
SMILES
InChI

/////////mevrometostat, enhancer of zeste homolog 2 (EZH2) inhibitor, antineoplastic, PF-06821497, PF 06821497, S4L4MM20B6

#mevrometostat, #enhancer of zeste homolog 2 (EZH2) inhibitor, #antineoplastic, #PF-06821497, #PF 06821497, #S4L4MM20B6

Follow New Drug Approvals on WordPress.com

Enter your email address to follow this blog and receive notifications of new posts by email.

Join 37.9K other subscribers

ORGANIC SPECTROSCOPY

Read all about Organic Spectroscopy on ORGANIC SPECTROSCOPY INTERNATIONAL 

DISCLAIMER

I , Dr A.M.Crasto is writing this blog to share the knowledge/views, after reading Scientific Journals/Articles/News Articles/Wikipedia. My views/comments are based on the results /conclusions by the authors(researchers). I do mention either the link or reference of the article(s) in my blog and hope those interested can read for details. I am briefly summarising the remarks or conclusions of the authors (researchers). If one believe that their intellectual property right /copyright is infringed by any content on this blog, please contact or leave message at below email address amcrasto@gmail.com. It will be removed ASAP