New Drug Approvals

Home » Posts tagged 'TAU-284DS'

Tag Archives: TAU-284DS

DRUG APPROVALS BY DR ANTHONY MELVIN CRASTO .....FOR BLOG HOME CLICK HERE

Blog Stats

  • 4,928,954 hits

Flag and hits

Flag Counter

Enter your email address to follow this blog and receive notifications of new posts by email.

Join 37.8K other subscribers
Follow New Drug Approvals on WordPress.com

Archives

Categories

Recent Posts

Flag Counter

ORGANIC SPECTROSCOPY

Read all about Organic Spectroscopy on ORGANIC SPECTROSCOPY INTERNATIONAL 

Enter your email address to follow this blog and receive notifications of new posts by email.

Join 37.8K other subscribers
DR ANTHONY MELVIN CRASTO Ph.D

DR ANTHONY MELVIN CRASTO Ph.D

DR ANTHONY MELVIN CRASTO, Born in Mumbai in 1964 and graduated from Mumbai University, Completed his Ph.D from ICT, 1991,Matunga, Mumbai, India, in Organic Chemistry, The thesis topic was Synthesis of Novel Pyrethroid Analogues, Currently he is working with AFRICURE PHARMA, ROW2TECH, NIPER-G, Department of Pharmaceuticals, Ministry of Chemicals and Fertilizers, Govt. of India as ADVISOR, earlier assignment was with GLENMARK LIFE SCIENCES LTD, as CONSUlTANT, Retired from GLENMARK in Jan2022 Research Centre as Principal Scientist, Process Research (bulk actives) at Mahape, Navi Mumbai, India. Total Industry exp 32 plus yrs, Prior to joining Glenmark, he has worked with major multinationals like Hoechst Marion Roussel, now Sanofi, Searle India Ltd, now RPG lifesciences, etc. He has worked with notable scientists like Dr K Nagarajan, Dr Ralph Stapel, Prof S Seshadri, etc, He did custom synthesis for major multinationals in his career like BASF, Novartis, Sanofi, etc., He has worked in Discovery, Natural products, Bulk drugs, Generics, Intermediates, Fine chemicals, Neutraceuticals, GMP, Scaleups, etc, he is now helping millions, has 9 million plus hits on Google on all Organic chemistry websites. His friends call him Open superstar worlddrugtracker. His New Drug Approvals, Green Chemistry International, All about drugs, Eurekamoments, Organic spectroscopy international, etc in organic chemistry are some most read blogs He has hands on experience in initiation and developing novel routes for drug molecules and implementation them on commercial scale over a 32 PLUS year tenure till date Feb 2023, Around 35 plus products in his career. He has good knowledge of IPM, GMP, Regulatory aspects, he has several International patents published worldwide . He has good proficiency in Technology transfer, Spectroscopy, Stereochemistry, Synthesis, Polymorphism etc., He suffered a paralytic stroke/ Acute Transverse mylitis in Dec 2007 and is 90 %Paralysed, He is bound to a wheelchair, this seems to have injected feul in him to help chemists all around the world, he is more active than before and is pushing boundaries, He has 100 million plus hits on Google, 2.5 lakh plus connections on all networking sites, 100 Lakh plus views on dozen plus blogs, 227 countries, 7 continents, He makes himself available to all, contact him on +91 9323115463, email amcrasto@gmail.com, Twitter, @amcrasto , He lives and will die for his family, 90% paralysis cannot kill his soul., Notably he has 38 lakh plus views on New Drug Approvals Blog in 227 countries......https://newdrugapprovals.wordpress.com/ , He appreciates the help he gets from one and all, Friends, Family, Glenmark, Readers, Wellwishers, Doctors, Drug authorities, His Contacts, Physiotherapist, etc He has total of 32 International and Indian awards

Verified Services

View Full Profile →

Archives

Categories

Flag Counter

Bepotastine Besilate, ベポタスチンベシル酸塩


ChemSpider 2D Image | Bepotastine Besilate | C27H31ClN2O6SBepotastine besilate.png

Bepotastine Besilate

ベポタスチンベシル酸塩

  • Molecular FormulaC27H31ClN2O6S
  • Average mass547.063 Da
UNII:6W18MO1QR3
(+)-(S)-4-(4-((4-Chlorophenyl)(2-pyridyl)methoxy)piperidino)butyric acid monobenzenesulfonate
(S)-4-(4-((4-chlorophenyl)(pyridin-2-yl)methoxy)piperidin-1-yl)butanoic acid compound with benzenesulfonic acid (1:1)
190786-44-8 [RN]
125602-71-3 FREE FORM,
UNII: 6W18MO1QR3
1-Piperidinebutanoic acid, 4-[(S)-(4-chlorophenyl)-2-pyridinylmethoxy]-, benzenesulfonate (1:1) [ACD/Index Name]
4-{4-[(S)-(4-Chlorophenyl)(2-pyridinyl)methoxy]-1-piperidinyl}butanoic acid benzenesulfonate (1:1)
Talion [Trade name]
tau284
TAU-284DS, TAU-284
DA-5206
HL-151
SNJ-1773
    • Use:antiallergic, antihistaminic
For the symptomatic treatment of itchy eyes (caused by IgE-induced mast cell degranulation) due to allergic conjunctivitis.
10 mg Tablets  For the treatment of allergic rhinitis  27.03.2017 CDSCO

APPROVED 

USFDA

NDA 22-288 Bepotastine Besilate 1.5% Ophthalmic Solution ISTA Pharmaceuticals, Inc.

https://www.accessdata.fda.gov/drugsatfda_docs/nda/2009/02228s000_ChemR.pdf

str1

Drug Substance Bepotastine besilate is manufactured by Ube Industries and the information for the NDA is submitted through DMF #19966. Bepotastine besilate is a white crystalline powder with no odor and bitter taste. It is very soluble in but sparingly soluble in . It is stable when exposed to light, and optically active. The S-isomer is the active drug and is controlled as an impurity through synthesis. The distribution coefficient in 1-octanol is higher than in aqueous buffer in the pH 5-9 range. There are 10 potential impurities but only one impurity is above 0.1%. Two potential genotoxic impurities are controlled below . Residual is controlled below Bepotastine besilate is stable under long term storage conditions for (25ºC/60% RH) over 5 years

Bepotastine besilate was originally developed as an oral tablet dosage form and got approval in Japan in 2000 for allergic rhinitis. It is a non-sedating anti-allergic drug. The proposed NDA is an ophthalmic solution indicated for allergic conjunctivitis. Bepotastine besilate ophthalmic solution 1.5% is a sterile solution. It is an aqueous solution to be administered as drops at or near physiological pH range of tears. The formulation contains sodium chloride, monobasic sodium phosphate as dihydrate, benzalkonium chloride, sodium hydroxide and purified water; typically these components are used for , preservative action, pH adjustment,

INTRO

Bepotastine is a non-sedating, selective antagonist of the histamine 1 (H1) receptor. Bepotastine was approved in Japan for use in the treatment of allergic rhinitis and uriticaria/puritus in July 2000 and January 2002, respectively, and is marketed by Tanabe Seiyaku Co., Ltd. under the brand name Talion. It is available in oral and opthalmic dosage forms in Japan. The opthalmic solution is FDA approved since Sept 8, 2009 and is under the brand name Bepreve.

Tae Hee Ha, Chang Hee Park, Won Jeoung Kim, Soohwa Cho, Han Kyong Kim, Kwee Hyun Suh, “PROCESS FOR PREPARING BEPOTASTINE AND INTERMEDIATES USED THEREIN.” U.S. Patent US20100168433, issued July 01, 2010., US20100168433

BEPREVE® (bepotastine besilate ophthalmic solution) 1.5% is a sterile, topically administered drug for ophthalmic use. Each mL of BEPREVE contains 15 mg bepotastine besilate.

Bepotastine besilate is designated chemically as (+) -4-[[(S)-p-chloro-alpha -2pyridylbenzyl] oxy]-1-piperidine butyric acid monobenzenesulfonate. The chemical structure for bepotastine besilate is:

BEPREVE® (bepotastine besilate) Structural Formula Illustration

Bepotastine besilate is a white or pale yellowish crystalline powder. The molecular weight of bepotastine besilate is 547.06 daltons. BEPREVE ophthalmic solution is supplied as a sterile, aqueous 1.5% solution, with a pH of 6.8.

The osmolality of BEPREVE (bepotastine besilate ophthalmic solution) 1.5% is approximately 290 mOsm/kg.

ベポタスチンベシル酸塩 JP17
Bepotastine Besilate

C21H25ClN2O3▪C6H6O3S : 547.07
[190786-44-8]

Title: Bepotastine
CAS Registry Number: 190786-43-7
CAS Name: 4-[(S)-(4-Chlorophenyl)-2-pyridinylmethoxy]-1-piperidinebutanoic acid
Additional Names: betotastine
Molecular Formula: C21H25ClN2O3
Molecular Weight: 388.89
Percent Composition: C 64.86%, H 6.48%, Cl 9.12%, N 7.20%, O 12.34%
Literature References: Histamine H1-receptor antagonist. Prepn (stereochem. unspec.): A. Koda et al., EP 335586eidem, US4929618 (1989, 1990 both to Ube). Prepn of optically active salts: J. Kita et al., EP 949260 (1999 to Ube; Tanabe Seiyaku). Pharmacology: M. Kato et al., Arzneim.-Forsch. 47, 1116 (1997). Suppression of IL-5 production: O. Kaminuma et al., Biol. Pharm. Bull. 21, 411 (1998). Antiallergic activity in animal models: M. Ueno et al., Pharmacology 57, 206 (1998).
Derivative Type: Benzenesulfonate salt
CAS Registry Number: 190786-44-8
Additional Names: Bepotastine besilate
Manufacturers’ Codes: TAU-284
Trademarks: Talion (Tanabe)
Molecular Formula: C21H25ClN2O3.C6H6O3S
Molecular Weight: 547.06
Percent Composition: C 59.28%, H 5.71%, Cl 6.48%, N 5.12%, O 17.55%, S 5.86%
Properties: Pale grey prisms from acetonitrile, mp 161-163°. [a]D20 +6.0° (c = 5 in methanol).
Melting point: mp 161-163°
Optical Rotation: [a]D20 +6.0° (c = 5 in methanol)
Therap-Cat: Antihistaminic.
Keywords: Antihistaminic.

Bepotastine (TalionBepreve) is a 2nd generation antihistamine.[1] It was approved in Japan for use in the treatment of allergic rhinitisand urticaria/pruritus in July 2000 and January 2002, respectively. It is currently marketed in the United States under the brand-name Bepreve, by ISTA Pharmaceuticals.

Bepotastine besilate is a second-generation antihistamine that was launched in a tablet formulation under a collaboration between Tanabe Seiyaku and Ube in 2000 and in 2002 for the treatment of allergic rhinitis including sneeze, mucus discharge and solidified mucus, and for the treatment of urticaria, respectively. An orally disintegrating tablet was made available in Japan in 2006, while a dry syrup formulation for the treatment of allergic rhinitis was studied in clinical trials at Tanabe Seiyaku for the treatment of allergic rhinitis

Originally developed at Ube, bepotastine besilate was later licensed to Tanabe Seiyaku as part of a collaboration agreement. In 2010, rights were licensed to Dong-A and Mitsubishi Tanabe Pharma in Korea for the treatment of eye disorders.

Pharmacology

Bepotastine is available as an ophthalmic solution and oral tablet. It is a direct H1-receptor antagonist that inhibits the release of histamine from mast cells.[2] The ophthalmic formulation has shown minimal systemic absorption, between 1 and 1.5% in healthy adults.[3] Common side effects are eye irritation, headache, unpleasant taste, and nasopharyngitis.[3] The main route of elimination is urinary excretion, 75-90% excreted unchanged.[3]

Marketing history

It is marketed in Japan by Tanabe Seiyaku under the brand name Talion. Talion was co-developed by Tanabe Seiyaku and Ube Industries, the latter of which discovered bepotastine. In 2001, Tanabe Seiyaku granted Senju, now owned by Allergan, exclusive worldwide rights, with the exception of certain Asian countries, to develop, manufacture and market bepotastine for ophthalmic use. Senju, in turn, has granted the United States rights for the ophthalmic preparation to ISTA Pharmaceuticals.

Sales and patents

In 2011, ISTA pharmaceuticals experienced a 2.4% increase in net revenues from 2010, which was driven by the sales of Bepreve. Their net revenue for 2011 was $160.3 million.[4] ISTA Pharmaceuticals was acquired by Bausch & Lomb in March 2012 for $500 million.[5] Bausch & Lomb hold the patent for bepotastine besilate (https://www.accessdata.fda.gov/scripts/cder/ob/docs/temptn.cfm. On November 26, 2014, Bausch & Lomb sue Micro Labs USA for patent infringement.[6] Bausch & Lomb was recently bought out by Valeant Pharmaceuticals in May 2013 for $8.57 billion, Valeant’s largest acquisition to date, causing the company’s stock to rise 25% when the deal was announced.[7]

Clinical trials

A Phase III clinical trial was carried out in 2010 to evaluate the effectiveness of bepotastine besilate ophthalmic solutions 1.0% and 1.5%.[8] These solutions were compared to a placebo and evaluated for their ability to reduce ocular itchiness. The study was carried out with 130 individuals and evaluated after 15 minutes, 8 hours, or 16 hours. There was a reduction in itchiness at all-time points for both ophthalmic solutions. The study concluded that bepotastine besilate ophthalmic formulations reduced ocular itchiness for at least 8 hours after dosing compared to placebo. Phase I and II trials were carried out in Japan.

Studies have been performed in animals and bepotastine besilate was not found to be teratogenic in rats during fetal development, even at 3,300 times more that typical use in humans.[3] Evidence of infertility was seen in rats at 33,000 times the typical ocular does in humans.[3] The safety and efficacy has not been established in patients under 2 years of age and has been extrapolated from adults for patients under 10 years of age.[3]

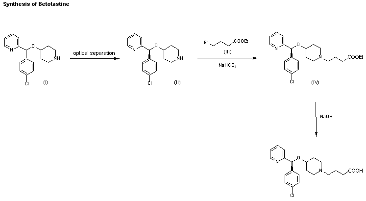
SYN

EP 0335586; JP 1989242574; JP 1990025465; JP 1993294929; US 4929618

The reaction of 4-[1-(4-chlorophenyl)-1-(2-pyridyl)methoxy]piperidine (I) with ethyl 4-bromobutyrate (II) by means of K2CO3 in refluxing acetone gives the corresponding condensation product (III), which is then hydrolyzed with NaOH in ethanol/water yielding compound (IV).

SYN 2

JP 1998237070; JP 2000198784; WO 9829409

A new synthesis of betotastine has been developed: The racemic 4-[1-(4-chlorophenyl)-1-(2-pyridyl)methoxy]piperidine (I) is submitted to optical resolution with N-acyl amino acids such as N-acetyl-L-phenylalanine (preferred), N-acetyl-L-leucine, N-(benzyloxycarbonyl)-L-phenylalanine, N-(benzyloxycarbonyl)-L-valine, N-(benzyloxycarbonyl)-L-threonine, N-(benzyloxycarbonyl)-L-serine or with (2R,3R)-3-(5-chloro-2-nitrophenylsulfanyl)-2-hydroxy-3-(4-methoxyphenyl)propionic acid (preferred) or (2R,3R)-2-hydroxy-3-(4-methoxyphenyl)-3-(2-nitrophenylsulfanyl)propionic acid as chiral intermediates, yielding the (S)-isomer (II). The condensation of (II) with ethyl 4-bromobutyrate (III) by means of a base such as Na2CO3, NaHCO3, K2CO3 or KHCO3 gives the expected 4-(1-piperidinyl)butyric acid ester (IV), which is finally hydrolyzed with NaOH or KOH in aqueous ethanol or methanol.

SYN 3

A new synthesis of betotastine has been developed: The racemic 4-[1-(4-chlorophenyl)-1-(2-pyridyl)methoxy]piperidine (I) is submitted to optical resolution with N-acyl amino acids such as N-acetyl-L-phenylalanine (preferred), N-acetyl-L-leucine, N-(benzyloxycarbonyl)-L-phenylalanine, N-(benzyloxycarbonyl)-L-valine, N-(benzyloxycarbonyl)-L-threonine, N-(benzyloxycarbonyl)-L-serine or with (2R,3R)-3-(5-chloro-2-nitrophenylsulfanyl)-2-hydroxy-3-(4-methoxyphenyl)propionic acid (preferred) or (2R,3R)-2-hydroxy-3-(4-methoxyphenyl)-3-(2-nitrophenylsulfanyl)propionic acid as chiral intermediates, yielding the (S)-isomer (II). The condensation of (II) with ethyl 4-bromobutyrate (III) by means of a base such as Na2CO3, NaHCO3, K2CO3 or KHCO3 gives the expected 4-(1-piperidinyl)butyric acid ester (IV), which is finally hydrolyzed with NaOH or KOH in aqueous ethanol or methanol.

CLIP

A Novel Synthetic Method for Bepotastine, a Histamine H1 Receptor …

journal.kcsnet.or.kr

A Novel Synthetic Method for Bepotastine, a Histamine H1 Receptor Antagonist

file:///C:/Users/91200291/Downloads/B130241_549.pdf

Scheme 1. Synthesis of bepotastine l-menthyl ester N-benzyloxycarbonyl-L-aspartic acid complex (3), bepotastine besilate (4) and bepotastine calcium (5). Reagents and conditions; i) 4-bromobutanoic acid l-menthyl ester, K2CO3, acetone, reflux, 7 h, 95-99%; ii) N-benzyloxycarbonyl-L-aspartic acid (NCbzLAA), ethyl acetate, rt, 12 h, 71-73%; iii) Ethyl acetate/H2O, NaHCO3, 97-99%; iv) EtOH:H2O = 1:1, NaOH, rt, 12 h, 3.0 N-HCl Neutralization, 92- 95%; v) AcOH, reflux, 12 h, racemization 97-100%; vi) Bezensulfonic acid, acetonitrile, rt, 12 h, 64-67%; vii) NaOH, H2O, CaCl2, rt, 12 h, 86-89%.

Synthesis of (S)-Bepotastine Besilate (4). Bepotastine (50 g, 0.13 mol) was dissolved in 500 mL of acetonitrile, and benzenesulfonic acid monohydrate (20 g, 0.11 mol) was added to the reaction mixture. Bepotastine besilate (0.5 g, 1.28 mmol) was seeded in the reaction mixture and stirred at rt for 12 h. The solid precipitate was filtered and dried. The product was obtained 38 g (yield: 64%, optical purity: 99.5% ee) as a pale white crystalline powder. Melting point: 161- 163 o C. Water: 0.2% (Karl-Fischer water determination). MS: m/z 389.1 [M+H]; 1 H-NMR (300 MHz, DMSO-d6) δ 9.2 (br s, 1H), 8.5 (d, J = 4.1 Hz, 1H), 7.8 (t, J = 7.7 Hz, 1H), 7.6 (m, 3H), 7.4 (m, 4H), 7.3 (m, 4H), 5.7 (s, 1H), 3.7 (br s, 2H), 3.3 (br s, 3H), 3.1 (br s, 2H), 2.3 (t, J = 14.1 Hz, 2H), 2.2 (m, 1H), 2.0 (m, 1H), 1.8 (m, 3H), 1.7 (m, 1H); IR (KBr, cm−1 ): 3422, 2996, 2909, 2735, 2690, 2628, 1719, 1592, 1572, 1488, 1470, 1436, 1411, 1320, 1274, 1221, 1160, 1123, 1066, 1031, 1014, 996, 849, 830, 771, 759, 727, 693, 612, 564

Synthesis

Patent ID

Title

Submitted Date

Granted Date

US9849121 AQUEOUS LIQUID PREPARATIONS AND LIGHT-STABILIZED AQUEOUS LIQUID PREPARATIONS
2014-10-10
2015-01-29
US2012225905 BEPOTASTINE COMPOSITIONS
2012-05-02
2012-09-06
US8883825 Aqueous liquid preparations and light-stabilized aqueous liquid preparations
2012-08-30
2014-11-11
Patent ID

Title

Submitted Date

Granted Date

US6638534 Preparation capable of releasing drug at target site in intestine
2001-01-29
2003-10-28
US2010168433 PROCESS FOR PREPARING BEPOTASTINE AND INTERMEDIATES USED THEREIN
2010-07-01
US7282589 Acid addition salt of optically active piperidine compound and process for preparing the same
2004-11-04
2007-10-16
US6307052 Acid-addition salts of optically active piperidine compound and process for producing the same
2001-10-23
EP0949260 ACID-ADDITION SALTS OF OPTICALLY ACTIVE PIPERIDINE COMPOUND AND PROCESS FOR PRODUCING THE SAME
1999-10-13
2002-05-22
Patent ID

Title

Submitted Date

Granted Date

US9446055 DISINTEGRATING PARTICLE COMPOSITION AND ORALLY RAPIDLY DISINTEGRATING TABLET
2010-08-11
2012-06-21
US2011257628 INSTRUMENT FOR ALLEVIATING ADDICTIVE DRUG CRAVING, METHOD FOR USING SAME AND METHOD FOR TREATING ADDICTIVE DRUG DEPENDENCE
2009-12-02
2011-10-20
US2013046240 BEPOTASTINE COMPOSITIONS
2011-10-06
2013-02-21
US2012328675 FILM PREPARATION CONTAINING MEDICAMENT WITH UNPLEASANT TASTE
2011-03-03
2012-12-27
US8771724 Percutaneous absorption enhancer and transdermal preparation using the same
2009-06-22
2014-07-08
Patent ID

Title

Submitted Date

Granted Date

US6780877 Acid addition salt of optically active piperidine compound and process for preparing the same
2002-02-28
2004-08-24
US8877168 Aqueous liquid preparations and light-stabilized aqueous liquid preparations
2014-06-25
2014-11-04
US8784789 Aqueous liquid preparations and light-stabilized aqueous liquid preparations
2003-07-30
2014-07-22
US2010137367 NOVEL CRYSTALLINE BEPOTASTINE METAL SALT HYDRATE, METHOD FOR PREPARING SAME, AND PHARMACEUTICAL COMPOSITION COMPRISING SAME
2010-06-03
US8900602 Disintegrating particle composition and orally rapidly disintegrating tablet
2010-08-11
2014-12-02
Bepotastine
Bepotastine.svg
Clinical data
Trade names Bepreve
AHFS/Drugs.com International Drug Names
MedlinePlus a610012
Pregnancy
category
  • US: C (Risk not ruled out)
Routes of
administration
Oral, topical (eye drops)
ATC code
  • none
Legal status
Legal status
  • In general: ℞ (Prescription only)
Pharmacokinetic data
Bioavailability High (oral)
Minimal (topical)
Protein binding ~55%
Excretion Renal (75–90%)
Identifiers
CAS Number
PubChem CID
DrugBank
ChemSpider
UNII
KEGG
ChEBI
ChEMBL
Chemical and physical data
Formula C21H25ClN2O3
Molar mass 388.88 g/mol
3D model (JSmol)

References

    • EP 335 586 (Ube Ind.; appl. 22.3.1989; J-prior. 25.3.1988).
    • EP 485 984 (Ube Ind.; appl. 13.11.1991; J-prior. 15.11.1990).
    • WO 9 829 409 (Ube Ind.; appl. 25.12.1997; J-prior. 26.12.1996).
  • racemization :

    • JP 10 237 069 (Ube Ind.; appl. 21.2.1997).

References

  1. Jump up^ H. Takahashi; A. Ishida-Yamamoto; H. Iizuka (September 2004). “Effects of bepotastine, cetirizine, fexofenadine, and olopatadine on histamine-induced wheal-and flare-response, sedation, and psychomotor performance”Clinical and Experimental Dermatology29: 526–532. doi:10.1111/j.1365-2230.2004.01618.x.
  2. Jump up^ “Bepotastine Monograph”LexiComp.
  3. Jump up to:a b c d e f “Bepreve prescribing Information” (PDF).
  4. Jump up^ [phx.corporate-ir.net/External.File?item…t=1 “2011 Net Revenues Increase to $160.3 Million On an Adjusted Cash Net Income Basis, ISTA Posts Second Year of Profitability Company Reaffirms 2012 Financial Guidance”] Check |url= value (help).
  5. Jump up^ “Bausch & Lomb to Buy ISTA Pharmaceuticals for $500 Million”DealBook. Retrieved 2015-12-05.
  6. Jump up^ “Bausch & Lomb Inc. et al. v. Micro Labs USA, Inc. et al.”
  7. Jump up^ “Valenant pharmaceuticals eyes China with Bausch deal”.
  8. Jump up^ Macejko, Thomas T.; Bergmann, Mark T.; Williams, Jon I.; Gow, James A.; Gomes, Paul J.; McNamara, Timothy R.; Abelson, Mark B. (2010-07-01). “Multicenter Clinical Evaluation of Bepotastine Besilate Ophthalmic Solutions 1.0% and 1.5% to Treat Allergic Conjunctivitis”American Journal of Ophthalmology150 (1): 122–127.e5. doi:10.1016/j.ajo.2010.02.007.

////////////Bepotastine Besilate, ベポタスチンベシル酸塩  ,Talion , tau284, TAU-284DS, TAU-284, DA-5206
HL-151 , SNJ-1773

C1CN(CCC1OC(C2=CC=C(C=C2)Cl)C3=CC=CC=N3)CCCC(=O)O.C1=CC=C(C=C1)S(=O)(=O)O