New Drug Approvals

Home » Posts tagged 'FDA 2015'

Tag Archives: FDA 2015

DRUG APPROVALS BY DR ANTHONY MELVIN CRASTO .....FOR BLOG HOME CLICK HERE

Blog Stats

  • 4,914,616 hits

Flag and hits

Flag Counter

Enter your email address to follow this blog and receive notifications of new posts by email.

Join 37.8K other subscribers
Follow New Drug Approvals on WordPress.com

Archives

Categories

Recent Posts

Flag Counter

ORGANIC SPECTROSCOPY

Read all about Organic Spectroscopy on ORGANIC SPECTROSCOPY INTERNATIONAL 

Enter your email address to follow this blog and receive notifications of new posts by email.

Join 37.8K other subscribers
DR ANTHONY MELVIN CRASTO Ph.D

DR ANTHONY MELVIN CRASTO Ph.D

DR ANTHONY MELVIN CRASTO, Born in Mumbai in 1964 and graduated from Mumbai University, Completed his Ph.D from ICT, 1991,Matunga, Mumbai, India, in Organic Chemistry, The thesis topic was Synthesis of Novel Pyrethroid Analogues, Currently he is working with AFRICURE PHARMA, ROW2TECH, NIPER-G, Department of Pharmaceuticals, Ministry of Chemicals and Fertilizers, Govt. of India as ADVISOR, earlier assignment was with GLENMARK LIFE SCIENCES LTD, as CONSUlTANT, Retired from GLENMARK in Jan2022 Research Centre as Principal Scientist, Process Research (bulk actives) at Mahape, Navi Mumbai, India. Total Industry exp 32 plus yrs, Prior to joining Glenmark, he has worked with major multinationals like Hoechst Marion Roussel, now Sanofi, Searle India Ltd, now RPG lifesciences, etc. He has worked with notable scientists like Dr K Nagarajan, Dr Ralph Stapel, Prof S Seshadri, etc, He did custom synthesis for major multinationals in his career like BASF, Novartis, Sanofi, etc., He has worked in Discovery, Natural products, Bulk drugs, Generics, Intermediates, Fine chemicals, Neutraceuticals, GMP, Scaleups, etc, he is now helping millions, has 9 million plus hits on Google on all Organic chemistry websites. His friends call him Open superstar worlddrugtracker. His New Drug Approvals, Green Chemistry International, All about drugs, Eurekamoments, Organic spectroscopy international, etc in organic chemistry are some most read blogs He has hands on experience in initiation and developing novel routes for drug molecules and implementation them on commercial scale over a 32 PLUS year tenure till date Feb 2023, Around 35 plus products in his career. He has good knowledge of IPM, GMP, Regulatory aspects, he has several International patents published worldwide . He has good proficiency in Technology transfer, Spectroscopy, Stereochemistry, Synthesis, Polymorphism etc., He suffered a paralytic stroke/ Acute Transverse mylitis in Dec 2007 and is 90 %Paralysed, He is bound to a wheelchair, this seems to have injected feul in him to help chemists all around the world, he is more active than before and is pushing boundaries, He has 100 million plus hits on Google, 2.5 lakh plus connections on all networking sites, 100 Lakh plus views on dozen plus blogs, 227 countries, 7 continents, He makes himself available to all, contact him on +91 9323115463, email amcrasto@gmail.com, Twitter, @amcrasto , He lives and will die for his family, 90% paralysis cannot kill his soul., Notably he has 38 lakh plus views on New Drug Approvals Blog in 227 countries......https://newdrugapprovals.wordpress.com/ , He appreciates the help he gets from one and all, Friends, Family, Glenmark, Readers, Wellwishers, Doctors, Drug authorities, His Contacts, Physiotherapist, etc He has total of 32 International and Indian awards

Verified Services

View Full Profile →

Archives

Categories

Flag Counter

Ferric pyrophosphate citrate


str1
Thumb
Iron(III) pyrophosphate.svg
ChemSpider 2D Image | Iron(3+) diphosphate (4:3) | Fe4O21P6
Ferric pyrophosphate citrate | C18H24Fe4O42P6 - PubChem
Triferic (Ferric Pyrophosphate Citrate Solution, for Addition to Bicarbonate Concentrate): Uses, Dosage, Side Effects, Interactions, Warning
Physicochemical characterization of ferric pyrophosphate citrate | SpringerLink
Ferric Pyrophosphate Citrate - Drugs and Lactation Database (LactMed) - NCBI Bookshelf
Structure of FERRIC PYROPHOSPHATE CITRATE

Ferric pyrophosphate citrate

1802359-96-1

tetrairon(3+) bis((phosphonooxy)phosphonic acid) tris(2-hydroxypropane-1,2,3-tricarboxylate) (hydrogen phosphonooxy)phosphonate

Iron(3+) diphosphate (4:3)

Proper name: ferric pyrophosphate citrate Chemical names: Iron (3+) cation; 2-oxidopropane-1,2,3-tricarboxylate; diphosphate 1,2,3-propanetricarboxylic acid, 2-hydroxy-, iron (3+), diphosphate Molecular formula: [Fe4 3+(C6H5O7)3(P2O7)3] Molecular mass: 1313

Physicochemical properties: TRIFERIC AVNU (ferric pyrophosphate citrate) contains no asymmetric centers. Ferric pyrophosphate citrate is a yellow to green amorphous powder. The drug substance does not melt, or change state, below 300 °C. Thermal decomposition was observed at 263 ± 3ºC. Ferric pyrophosphate citrate is freely soluble in water (>100 g/L). Ferric pyrophosphate citrate is completely insoluble in most organic solvents (MeOH, Acetone, THF, DMF, DMSO). A 5% solution in water exhibits a solution pH of about 6.  … https://pdf.hres.ca/dpd_pm/00060816.PDF

  • Ferric pyrophosphate citrate
  • FPC
  • SFP
  • Tetraferric nonahydrogen citrate pyrophosphate
  • Triferic

Active Moieties

NAMEKINDUNIICASINCHI KEY
Ferric cationionic91O4LML61120074-52-6VTLYFUHAOXGGBS-UHFFFAOYSA-N

CANADA

30 Great Canada Flag Gifs

Summary Basis of Decision – Triferic AVNU – Health Canada

Date SBD issued:2021-07-29

The following information relates to the new drug submission for Triferic AVNU.

Iron (supplied as ferric pyrophosphate citrate)

Drug Identification Number (DIN):

DIN 02515334 – 1.5 mg/mL iron (supplied as ferric pyrophosphate citrate), solution, intravenous administration

Rockwell Medical Inc.

New Drug Submission Control Number: 239850

On April 22, 2021, Health Canada issued a Notice of Compliance to Rockwell Medical Inc. for the drug product Triferic AVNU.

The market authorization was based on quality (chemistry and manufacturing), non-clinical (pharmacology and toxicology), and clinical (pharmacology, safety, and efficacy) information submitted. Based on Health Canada’s review, the benefit-harm-uncertainty profile of Triferic AVNU is favourable for the replacement of iron to maintain hemoglobin in adult patients with hemodialysis-dependent chronic kidney disease (CKD-HD). Triferic AVNU is not intended for use in patients receiving peritoneal dialysis and has not been studied in patients receiving home hemodialysis.

Triferic AVNU, an iron preparation, was authorized for the replacement of iron to maintain hemoglobin in adult patients with hemodialysis-dependent chronic kidney disease (CKD-HD). Triferic AVNU is not intended for use in patients receiving peritoneal dialysis and has not been studied in patients receiving home hemodialysis.

Triferic AVNU is not authorized for use in pediatric patients (<18 years of age), as its safety and effectiveness have not been established in this population. No overall differences in efficacy or safety were observed in geriatric patients (≥65 years of age) compared to younger patients in clinical trials.

Triferic AVNU is contraindicated for patients who are hypersensitive to this drug or to any ingredient in the formulation, or component of the container.

Triferic AVNU was approved for use under the conditions stated in its Product Monograph taking into consideration the potential risks associated with the administration of this drug product.

Triferic AVNU (1.5 mg/mL iron [supplied as ferric pyrophosphate citrate]) is presented as a solution. In addition to the medicinal ingredient, the solution contains water for injection.

For more information, refer to the ClinicalNon-clinical, and Quality (Chemistry and Manufacturing) Basis for Decision sections.

Additional information may be found in the Triferic AVNU Product Monograph, approved by Health Canada and available through the Drug Product Database.

Health Canada considers that the benefit-harm-uncertainty profile of Triferic AVNU is favourable for the replacement of iron to maintain hemoglobin in adult patients with hemodialysis-dependent chronic kidney disease (CKD-HD). Triferic AVNU is not intended for use in patients receiving peritoneal dialysis and has not been studied in patients receiving home hemodialysis.

Chronic kidney disease (CKD) is a worldwide public health concern. One of the most common comorbidities of CKD-HD patients is anemia, which may be due to low body iron stores (as a result of blood loss during dialysis) and impaired utilization of iron. Consequently, there is an ongoing need to replenish body iron in CKD-HD patients.

Iron deficiency anemia in CKD-HD patients is generally treated using parenteral (intravenous) iron administration used in conjunction with erythropoiesis stimulating agents (ESAs). Intravenous administration is preferred, as oral iron is not well absorbed and gastrointestinal intolerance is common. At the time of authorization of Triferic AVNU, there were four other intravenous iron products marketed in Canada: Dexiron, an iron dextran (≥1,000 mg/dose); Ferrlecit (sodium ferric gluconate; 125 mg/dose); Venofer (iron sucrose; 200 mg/dose); and the more recently approved Monoferric (Iron Isomaltoside 1,000; up to 500 mg/bolus injection and up to 1,500 mg/infusion). Each of these intravenous iron products are indicated for the treatment of iron deficiency anemia and are associated with safety concerns for hypersensitivity reactions. Serious hypersensitivity reactions have been reported, including life threatening and fatal anaphylactic/anaphylactoid reactions.

Triferic AVNU is an iron replacement product delivered via intravenous infusion into the blood lines pre- and post-dialyzer in CKD-HD patients at each hemodialysis treatment. It is a preservative-free sterile solution containing 1.5 mg elemental iron/mL in water for injection.

Triferic AVNU has been shown to be efficacious in maintaining hemoglobin (Hb) during the treatment period in CKD-HD patients. The market authorization was primarily based on the results of two pivotal, randomized, placebo-controlled, single blind, Phase III clinical studies (Studies SFP-4 and SFP-5). Both studies were identical in design and enrolled a combined total of 599 adult patients with CKD-HD who were iron-replete. Patients were randomized to receive either Triferic AVNU added to bicarbonate concentrate with a final concentration of 110 μg of iron/L in dialysate or placebo (standard dialysate) administered 3 to 4 times per week during hemodialysis. All patients were to remain randomized in their treatment group until pre-specified Hb or ferritin criteria were met, indicating the need for a change in anemia management, or until they had completed 48 weeks of treatment. After randomization, patients’ ESA product, doses, or route of administration were not to be changed and oral or intravenous iron administration were not allowed.

The primary efficacy endpoint (mean change in Hb level from baseline to the end-of-treatment period) was met in both pivotal studies. In Study SFP-4, the mean Hb decreased 0.04 g/dL in the Triferic AVNU group compared to 0.39 g/dL in the placebo group. In Study SFP-5, the mean Hb decreased 0.09 g/dL in the Triferic AVNU group compared to 0.45 g/dL in the placebo group. In both studies, the treatment difference in mean hemoglobin change was 0.36 g/dL (p = 0.011) between the Triferic AVNU and the placebo groups. This value was statistically significant for both studies. The treatment difference of 0.35 g/dL was also statistically significant (p = 0.010) for both studies in the analysis using the intent-to-treat population. A high proportion of patients did not complete the planned 48 weeks of study treatment mainly due to protocol-mandated changes in anemia management (ESA dose changes). However, the proportion was similar for both arms and the analysis of Hb change in this subgroup was consistent with that of the primary efficacy analysis. Secondary endpoints which included changes in reticulocyte Hb content, serum ferritin, and pre-dialysis serum iron panel to the end of treatment, were consistent with the primary efficacy results.

The safety of Triferic AVNU was evaluated in seven controlled and uncontrolled Phase II/III studies, which included the two pivotal studies. In total, 1,411 CKD-HD patients were exposed to Triferic AVNU in the clinical program. In the pivotal studies, 78% of patients in the Triferic AVNU group and 75% of patients in the placebo group had at least one treatment-emergent adverse event (TEAE). The most common TEAEs in the Triferic AVNU group (which were higher than the placebo group) were procedural hypotension (21.6%), muscle spasms (9.6%), headache (9.2%), pain in extremity (6.8%), edema peripheral (6.8%) and dyspnoea (5.8%). Serious TEAEs were reported at similar rates for the two groups at 27.7% for the Triferic AVNU group and 27.4% for the placebo group. The most common serious TEAEs occurring in the Triferic AVNU group (which were higher than the placebo group) were cardiac arrest (1.7%), arteriovenous fistula thrombosis (1.7%), and pulmonary edema (1.4%). Few patients discontinued study treatment due to TEAEs (4.5% in the Triferic AVNU group and 2.4% in the placebo group).

In the overall clinical program, there were two cases (0.1%) of hypersensitivity reactions related to treatment out of the 1,411 patients treated with Triferic AVNU. There were no cases of serious hypersensitivity reaction and no cases of anaphylaxis related to Triferic AVNU treatment. A Serious Warnings and Precautions box describing a warning for hypersensitivity reaction has been included in the Product Monograph for Triferic AVNU.

A Risk Management Plan (RMP) for Triferic AVNU was submitted by Rockwell Medical Inc. to Health Canada. The RMP is designed to describe known and potential safety issues, to present the monitoring scheme and when needed, to describe measures that will be put in place to minimize risks associated with the product. In the RMP, the sponsor included ‘hypersensitivity reactions’ as an important identified risk; ‘systemic/serious infections’ as an important potential risk; and ‘use in pregnant and breastfeeding women’, ‘use in children’ and ‘concomitant use with other intravenous iron product’ as missing information. Labelling for these safety concerns has been included in the Product Monograph and the sponsor has committed to systemically review clinical and post-marketing safety data as part of routine pharmacovigilance activities. Upon review, the RMP was considered to be acceptable.

The submitted inner and outer labels, package insert and Patient Medication Information section of the Triferic AVNU Product Monograph meet the necessary regulatory labelling, plain language and design element requirements.

A review of the submitted brand name assessment, including testing for look-alike sound-alike attributes, was conducted and the proposed name Triferic AVNU was accepted.

Overall, the therapeutic benefits of Triferic AVNU therapy seen in the pivotal studies are positive and are considered to outweigh the potential risks. Triferic AVNU has an acceptable safety profile based on the non-clinical data and clinical studies. The identified safety issues can be managed through labelling and adequate monitoring. Appropriate warnings and precautions are in place in the Triferic AVNU Product Monograph to address the identified safety concerns.

This New Drug Submission complies with the requirements of sections C.08.002 and C.08.005.1 and therefore Health Canada has granted the Notice of Compliance pursuant to section C.08.004 of the Food and Drug Regulations. For more information, refer to the ClinicalNon-clinical, and Quality (Chemistry and Manufacturing) Basis for Decision sections.

The Chemistry and Manufacturing information submitted for Triferic AVNU has demonstrated that the drug substance and drug product can be consistently manufactured to meet the approved specifications. Proper development and validation studies were conducted, and adequate controls are in place for the commercial processes. Changes to the manufacturing process and formulation made throughout the pharmaceutical development are considered acceptable upon review. Based on the stability data submitted, the proposed shelf life of 36 months is acceptable when the drug product is stored protected from light in the aluminum pouch at room temperature (15 ºC to 30 ºC).

Proposed limits of drug-related impurities are considered adequately qualified (i.e. within International Council for Harmonisation [ICH] limits and/or qualified from toxicological studies).

All sites involved in production are compliant with Good Manufacturing Practices.

None of the excipients used in the formulation of Triferic AVNU are of human or animal origin. All non-medicinal ingredients (described earlier) found in the drug product are acceptable for use in drugs according to the Food and Drug Regulations.

DIN:

02515334

Product Monograph/Veterinary Labelling:

Date: 2021-04-21  Product monograph/Veterinary Labelling (PDF version ~ 175K)

Company:

ROCKWELL MEDICAL INC
30142 S Wixom Rd
Wixom
Michigan
United States  48393

Class: 

Human

Dosage form(s):

Solution

Route(s) of administration:

Intravenous

Number of active ingredient(s):

1

Schedule(s):

Prescription

Biosimilar Biologic Drug:

No

American Hospital Formulary Service (AHFS):See footnote3

20:04.04   IRON PREPARATIONS

Anatomical Therapeutic Chemical (ATC):See footnote4

B03AC  IRON, PARENTERAL PREPARATIONS

Active ingredient group (AIG) number:See footnote5

0108536041

Active ingredient(s)Strength
IRON (FERRIC PYROPHOSPHATE CITRATE)1.5 MG / ML

RXLIST

TRIFERIC®
(ferric pyrophosphate citrate) Solution, for Hemodialysis Use

TRIFERIC®
(ferric pyrophosphate citrate) powder packet for hemodialysis use

DESCRIPTION

Triferic (ferric pyrophosphate citrate) solution, an iron replacement product, is a mixed-ligand iron complex in which iron (III) is bound to pyrophosphate and citrate. It has a molecular formula of Fe4(C6H4O7)3(H2P2O7)2(P2O7) and a relative molecular weight of approximately 1313 daltons. Ferric pyrophosphate citrate has the following structure:

TRIFERIC® (ferric pyrophosphate citrate) solution, for hemodialysis use TRIFERIC® (ferric pyrophosphate citrate) powder packet for hemodialysis use Structural Formula - Illustration

Triferic Solution

Triferic (ferric pyrophosphate citrate) solution–is a clear, slightly yellow-green color sterile solution containing 27.2 mg of elemental iron (III) per 5 mL (5.44 mg iron (III) per mL) filled in a 5 mL or 272 mg of elemental iron (III) per 50 mL (5.44 mg iron (III) per mL) filled in a 50 Ml low density polyethylene (LDPE) ampule. Each Triferic ampule contains iron (7.5-9.0% w/w), citrate (15-22% w/w), pyrophosphate (15-22% w/w), phosphate (< 2% w/w), sodium (18-25% w/w) and sulfate (20-35%). One Triferic 5 mL ampule is added to 2.5 gallons (9.46 L) of bicarbonate concentrate. One Triferic 50 mL ampule is added to 25 gallons (94.6 L) of master bicarbonate mix.

Triferic Powder Packets

Triferic (ferric pyrophosphate citrate) powder is a slightly yellow-green powder, packaged in single use paper, polyethylene and aluminum foil packets, each containing 272.0 mg of elemental iron (III). Each Triferic packet contains iron (7.5-9.0% w/w), citrate (15-22% w/w), pyrophosphate (15-22% w/w), phosphate (< 2% w/w), sodium (18-25% w/w) and sulfate (20- 35%). One Triferic powder packet is added to 25 (94.6 L) gallons of master bicarbonate mix.

Ferric pyrophosphate citrate (FPC), a novel iron-replacement agent, was approved by the US Food and Drug Administration in January 2015 for use in adult patients receiving chronic hemodialysis (HD). This iron product is administered to patients on HD via the dialysate.

Ferric pyrophosphate citrate is a soluble iron replacement product. Free iron presents several side effects as it can catalyze free radical formation and lipid peroxidation as well as the presence of interactions of iron in plasma. The ferric ion is strongly complexed by pyrophosphate and citrate.1 FPC is categorized in Japan as a second class OTC drug.6 This category is given to drugs with ingredients that in rare cases may cause health problems requiring hospitalization or worst.7 It is also FDA approved since 2015.Label

Iron(III) pyrophosphate is an inorganic chemical compound with the formula Fe4(P2O7)3.

Synthesis

Anhydrous iron(III) pyrophosphate can be prepared by heating the mixture of iron(III) metaphosphate and iron(III) phosphate under oxygen with the stoichiometric ratio 1:3. The reactants can be prepared by reacting iron(III) nitrate nonahydrate with phosphoric acid.[2]

It can be also prepared via the following reaction:[3]3 Na4P2O7(aq) + 4 FeCl3(aq) → Fe4(P2O7)3(s) + 12 NaCl(aq)

References

  1. ^ W.M.Haynes. CRC Handbook of Chemistry and Physics (97th edition). New York: CRC Press, 2016. pp 4-68
  2. ^ Elbouaanani, L.K; Malaman, B; Gérardin, R; Ijjaali, M (2002). “Crystal Structure Refinement and Magnetic Properties of Fe4(P2O7)3 Studied by Neutron Diffraction and Mössbauer Techniques”. Journal of Solid State Chemistry. Elsevier BV. 163 (2): 412–420. doi:10.1006/jssc.2001.9415ISSN 0022-4596.
  3. ^ Rossi L, Velikov KP, Philipse AP (May 2014). “Colloidal iron(III) pyrophosphate particles”. Food Chem151: 243–7. doi:10.1016/j.foodchem.2013.11.050PMID 24423528.
  • Gupta A, Amin NB, Besarab A, Vogel SE, Divine GW, Yee J, Anandan JV: Dialysate iron therapy: infusion of soluble ferric pyrophosphate via the dialysate during hemodialysis. Kidney Int. 1999 May;55(5):1891-8. doi: 10.1046/j.1523-1755.1999.00436.x. [Article]
  • Naigamwalla DZ, Webb JA, Giger U: Iron deficiency anemia. Can Vet J. 2012 Mar;53(3):250-6. [Article]
  • Fidler MC, Walczyk T, Davidsson L, Zeder C, Sakaguchi N, Juneja LR, Hurrell RF: A micronised, dispersible ferric pyrophosphate with high relative bioavailability in man. Br J Nutr. 2004 Jan;91(1):107-12. [Article]
  • Pratt RD, Swinkels DW, Ikizler TA, Gupta A: Pharmacokinetics of Ferric Pyrophosphate Citrate, a Novel Iron Salt, Administered Intravenously to Healthy Volunteers. J Clin Pharmacol. 2017 Mar;57(3):312-320. doi: 10.1002/jcph.819. Epub 2016 Oct 3. [Article]
  • Underwood E. (1977). Trace elements in human and animal nutrition (4th ed.). Academic press.
  • KEGG [Link]
  • Nippon [Link]
  • FDA Reports [Link]
Names
Other namesFerric pyrophosphate
Identifiers
CAS Number10058-44-3 (anhydrous) 10049-18-0 (nonahydrate) 
3D model (JSmol)Interactive image
ChEBICHEBI:132767
ChemSpider23258
DrugBankDB09147
ECHA InfoCard100.030.160 
EC Number233-190-0
PubChem CID24877
UNIIQK8899250F 1ZJR117WBQ (nonahydrate) 
CompTox Dashboard (EPA)DTXSID6047600 
showInChI
showSMILES
Properties
Chemical formulaFe4(P2O7)3
Molar mass745.224 (anhydrate)
907.348 (nonahydrate)
Appearanceyellow solid (nonahydrate)[1]
Solubility in waterinsoluble
Except where otherwise noted, data are given for materials in their standard state (at 25 °C [77 °F], 100 kPa).
Infobox references

CLIP

https://link.springer.com/article/10.1007/s10534-018-0151-1

Iron deficiency is a significant health problem across the world. While many patients benefit from oral iron supplements, some, including those on hemodialysis require intravenous iron therapy to maintain adequate iron levels. Until recently, all iron compounds suitable for parenteral administration were colloidal iron–carbohydrate conjugates that require uptake and processing by macrophages. These compounds are associated with variable risk of anaphylaxis, oxidative stress, and inflammation, depending on their physicochemical characteristics. Ferric pyrophosphate citrate (FPC) is a novel iron compound that was approved for parenteral administration by US Food and Drug Administration in 2015. Here we report the physicochemical characteristics of FPC. FPC is a noncolloidal, highly water soluble, complex iron salt that does not contain a carbohydrate moiety. X-ray absorption spectroscopy data indicate that FPC consists of iron (III) complexed with one pyrophosphate and two citrate molecules in the solid state. This structure is preserved in solution and stable for several months, rendering it suitable for pharmaceutical applications in solid or solution state.

Iron deficiency with or without associated anemia represents a significant health problem worldwide. While many patients can restore iron levels with the use of oral iron supplements, oral supplementation is not suitable in some patients, including those undergoing chronic hemodialysis for chronic kidney disease (CKD) (Fudin et al. 1998; Macdougall et al. 1996; Markowitz et al. 1997). The limitations of oral iron replacement in patients undergoing hemodialysis likely arise from excessive ongoing losses and insufficient absorption, thus intravenous (IV) iron has become the primary route of administration in such patients (Shah et al. 2016). Multiple IV iron formulations are available, including iron dextran, iron sucrose, sodium ferric gluconate, iron carboxymaltose, ferrumoxytol, and iron isomaltoside (Macdougall et al. 1996). All such formulations are iron–carbohydrate macromolecular complexes, and the majority consist of an iron oxide core surrounded by a carbohydrate moiety (Macdougall et al. 1996; Markowitz et al. 1997).

Intravenous iron products have been used extensively for over 30 years for the treatment of iron-deficiency anemia and to maintain iron balance in hemodialysis patients since these patients have obligatory excessive losses. While these agents are generally well tolerated, they have been associated with risk of anaphylaxis (Wang et al. 2015). Compared to oral iron agents, there may be an increased risk of cardiovascular complications and infections in nondialysis patients with CKD (Macdougall et al. 1996). Additionally, higher mortality rates have been reported with use of high-dose IV iron in hemodialysis patients (Bailie et al. 2015).

Iron possesses oxidizing properties that may cause injury to cells and tissues (Koskenkorva-Frank et al. 2013; Vaziri 2013). Iron loading in general is associated with endocrinological, gastrointestinal, infectious, neoplastic, neurodegenerative, obstetric, ophthalmic, orthopedic, pulmonary, and vascular complications. In addition, excessive or misplaced tissue iron also can contribute to aging and mortality (Weinberg 2010). Normally, the body is able to protect tissues from the damaging effects of iron by regulating iron absorption in the intestine and sequestering iron with iron-binding proteins. However, the concentrations of iron introduced into the bloodstream with IV iron therapy can be as much as 100 times more than that absorbed normally through the intestine. Combined with the fact that IV iron is administered over a period of minutes compared to the slow, regulated absorption in the gut, it is possible that the increased iron load may damage cells and tissues.

A novel parenteral iron formulation, ferric pyrophosphate citrate (FPC), potentially offers a more physiologic delivery of iron. Unlike previous forms of IV iron, FPC contains no carbohydrate shell. Soluble ferric pyrophosphate-citrate complexes, generally referred to as soluble ferric pyrophosphate (SFP) were first described in the mid-1800s by Robiquet and Chapman (Chapman 1862; Robiquet 1857). This class of food-grade iron salts has been available for over 100 years as oral iron supplements and for fortification of food. In the late-1990s, Gupta et al. demonstrated that food-grade SFP could be administered to hemodialysis patients via the dialysate (Gupta et al. 1999). However, the commercially available compounds are poorly characterized and not suitable for further development as a parenteral iron supplement. Therefore, a pharmaceutical-grade SFP was developed. This product had a higher solubility than food-grade SFP and was granted a new USAN name—FPC. In 2015 FPC was approved by the US Food and Drug Administration (FDA) for parenteral delivery by hemodialysis to replace iron losses and thereby maintain hemoglobin levels in hemodialysis-dependent patients with CKD (Rockwell Medical Inc 2018). FPC is currently marketed under the trade name Triferic® (Rockwell Medical Inc., Wixom, Michigan, USA). FPC is the first carbohydrate-free, noncolloidal, water-soluble iron salt suitable for parenteral administration.

Infrared spectroscopy

Infrared (IR) spectroscopy was used to determine the main functional groups present in FPC. Figure 1 shows a representative IR spectrum of FPC. Peak assignments and positions for FPC as well as for sodium citrate, sodium pyrophosphate, and ferric sulfate, which were used to confirm the peak assignments, are shown in Table 1.

figure1
Fig. 1
figure4

X-ray spectra of solid and aqueous iron standards and FPC. a XANES spectra of iron (II) and iron (III) standards as well as FPC in the solid and solution phases show that FPC consists exclusively of iron (III) and that the solid-phase structure is maintained in solution. b EXFAS modeling of FPC in the solid phase (top) and in solution (bottom) at Day 1 and Month 4

Chemical composition of ferric pyrophosphate citrate

From: Physicochemical characterization of ferric pyrophosphate citrate

IonPercentage
Iron8
Citrate19
Pyrophosphate18
Phosphate< 1
Sulfate25–28

PATENT

https://patents.google.com/patent/WO2017040937A1/enProperties of Conventional SFP

Figure imgf000010_0001

Another example of SFP is the composition is the chelate composition described in US Patent Nos. 7,816,404 and 8,178,709. The SFP may be a ferric pyrophosphate citrate (FPC) comprising a mixed-ligand iron compound comprising iron chelated with citrate andpyrophosphate, optionally FPC has the following formula: Fe4(C6H407)3(H2P207)2(P207) (relative MW 1313 daltons), e.g., structure (I):

Figure imgf000011_0001

[0036] An exemplary SFP according to the present disclosure is known to have the properties described in Table 3.Table 3 – Properties of SFP according to the present disclosure

Figure imgf000012_0001
wdt-13

NEW DRUG APPROVALS

one time

$10.00

////////////ferric pyrophosphate citrate, Triferic AVNU, , Ferric pyrophosphate citrate, FPC, SFP, Tetraferric nonahydrogen citrate pyrophosphate, Triferic, FDA 2015, APPROVALS 2021, CANADA 2021, hemodialysis-dependent chronic kidney disease 

[Fe+3].[Fe+3].[Fe+3].[Fe+3].OP(O)(=O)OP(O)(O)=O.OP(O)(=O)OP(O)(O)=O.OP([O-])(=O)OP([O-])([O-])=O.OC(CC([O-])=O)(CC([O-])=O)C([O-])=O.OC(CC([O-])=O)(CC([O-])=O)C([O-])=O.OC(CC([O-])=O)(CC([O-])=O)C([O-])=O

Eluxadoline, エルクサドリン ,элуксадолин ,إيلوكسادولين ,艾沙多林 ,


Eluxadoline.svg

Eluxadoline

  • Molecular FormulaC32H35N5O5
  • Average mass569.651 Da

5-({[(2S)-2-amino-3-(4-carbamoyl-2,6-dimethylphenyl)propanoyl][(1S)-1-(4-phenyl-1H-imidazol-2-yl)ethyl]amino}methyl)-2-methoxybenzoic acid

5-({[2-Amino-3-(4-carbamoyl-2,6-dimethyl-phenyl)-propionyl]-[1-(4-phenyl-1H-imidazol-2-yl)-ethyl]-amino}-methyl)-2-methoxy-benzoic acid

864821-90-9 CAS

JNJ-27018966

Molecular Formula: C32H35N5O5

Molecular Weight: 569.6508

Agents for Irritable Bowel Syndrome, mu-Opioid Agonists, delta-Opioid Antagonists

Eluxadoline

Trade Name: Viberzi®

Research Code: JNJ-27018966, JNJ27018966, JNJ 27018966

Chemical Name: 5 – [[[(2S) -2-amino-3- [4- (aminocarbonyl) -2,6-dimethylphenyl ] -1- oxopropyl] [(1S) -1- (4-phenyl-1H-imidazol-2-yl) ethyl] amino] methyl] -2-methoxybenzoic acid

MOA: mu opioid receptor agonist, Indication: Irritable bowel syndrome with diarrhea (IBS-D)

Approval Date: May 27, 2015 (US)

Originator: Furiex Pharmaceuticals Inc ( Furiex acquired Eluxadoline from Janssen in 2011 )

Developer: Forest Laboratories Inc. (acquired by Actavis PLC in 2014 )

Eluxadoline, sold under the brand names Viberzi (/vˈbɜːrzi/ vy-BUR-zee) in the US and Truberzi in Europe,[2] is a medication taken by mouth for the treatment of diarrhea and abdominal pain in individuals with diarrhea-predominant irritable bowel syndrome (IBS-D).[3]It was approved for use in the United States in 2015.[4] The drug originated from Janssen Pharmaceutica and was developed by Actavis.

Contraindications

This drug is contraindicated in case of having:

Adverse effects

Common adverse effects are constipation and nausea, but rates of discontinuation due to constipation were low for both eluxadoline and placebo. Rare adverse effects: fatigue, bronchitis, viral gastroenteritis. Rare serious adverse effects include pancreatitis with a general incidence of 0.3% – higher incidence with 100 mg dose (0.3%) than with 75 mg dose (0.2%).[6] The risk is even greater in those who do not have a gall bladder and the medication is not recommended in this group.[7]

In March 2017, the U.S. Food and Drug Administration issued a safety alert for eluxadoline concerning an increased risk of serious pancreatitis in patients without a gallbladder.[8] An FDA review found that in such patients, spasm of the sphincter of Oddi may lead to severe pancreatitis.[9] The FDA reported that in some cases symptoms have occurred with just one or two doses at the recommended dosage for patients without a gallbladder (75 mg).[9] Of two deaths associated with eluxadoline reported up to February 2017, both occurred in patients without a gallbladder.[8]

Interactions

Elevated concentrations of eluxadoline were observed with co-administration of inhibitors of the transporter protein OATP1B1, such as:

Also, concurrent use of other drugs that cause constipation is not preferred, such as:

Eluxadoline increases the concentrations of drugs which are OATP1B1 and BCRP substrates. Also, co-administration of eluxadoline with rosuvastatin may increase the risk of rhabdomyolysis.[1]

Pharmacology

Mechanism of action

Eluxadoline is a μ- and κ-opioid receptor agonist and δ-opioid receptor antagonist [11] that acts locally in the enteric nervous system, possibly decreasing adverse effects on the central nervous system.[12][13]

Pharmacokinetics

In the in vitro studies, eluxadoline was found to be transported by OAT3 (SLC22A8), OATP1B1 (SLCO1B1) and BSEP (ABCB11) at the highest concentrations tested (400 ng/ml which is 162-fold larger than the observed Cmax of the highest therapeutic dose of 100 mg). However, it was not to be transported by OCT1 POU2F1, OAT1 Organic anion transporter 1, OCT2, OATP1B3 (SLCO1B3), P-gp (P-glycoprotein), or BCRP (ABCG2).

Multidrug resistance-associated protein 2 (MRP2)-vesicular accumulation of eluxadoline was observed, indicating that the drug is a substrate of MRP2. Eluxadoline was not found to inhibit BCRP-, BSEP-, MRP2-, OCT1-, OCT2-, OAT1-, OAT3-, or OATP1B3-mediated transport of probe substrates but inhibited the transport of probe substrates of OATP1B1 and P-gp. Also in the in vitro studies, it was observed that eluxadoline is an in vivo substrate of OATP1B1, OAT3, and MRP2. Finally, no inhibition or induction of cytochrome P450enzymes was observed.[14]

Following a 100 mg dose of eluxadoline, the Cmax was about 2 to 4 ng/ml and AUC was 12-22 ng.h/ml. Eluxadoline has linear pharmacokinetics with no accumulation upon repeated twice daily dosing. Taking eluxadoline with high fat meal decreased the Cmax by 50% and AUC by 60%.[1]

Chemistry

Synthesis

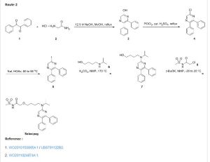
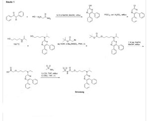
The synthesis of eluxadoline was extensively discussed in the patent No. WO2006099060 A2, with the title : “Process for the preparation of opioid modulators” which was published in Sept. 2006[15]

A CLIP

5 JAN 2014

Furiex Pharmaceuticals Inc.  more than doubled in its best day of trading after its experimental drug alleviated diarrhea and abdominal pain caused by irritable bowel syndrome in two studies.

The drug eluxadoline met targets for improvements in stool consistency and abdominal pain that were developed in conjunction with U.S. and European regulators, the company said today. Furiex will apply for approval in June, Chairman Fred Eshelman said in an investor call today. He estimated annual sales of $750 million to $1 billion.

“By our math, it looks like a pretty doggone good market,” Eshelman said on the call, noting that there is only one currently approved drug available in the U.S. for the condition.

Diarrhea-predominant irritable bowel syndrome is a chronic disorder that affects about 28 million patients in the U.S. and Europe, Furiex said in the statement.Furiex said it would apply by mid-year for U.S. approval of the drug, eluxadoline, to treat diarrhea-predominant irritable bowel syndrome (IBS-d), a debilitating bowel disorder that affects about 28 million people in the United States and major European markets.

Furiex said it expected to seek European approval in early 2015.

“We believe that there are a lot of patients out there who need this drug. There is a huge unmet need,” Furiex Chief Medical Officer June Almenoff said in a telephone interview.

Currently approved drugs for IBS address constipation associated with the disorder, but there are few options for diarrhea predominant IBS.

Furiex founder and chairman Fred Eshelman said he believes the drug has the potential for blockbuster sales, which he defined as annual sales of between $750 million and $1 billion.

Eluxadoline was tested at two doses against a placebo over the course of 12 weeks to meet requirements by the U.S. Food and Drug Administration, and for 26 weeks for European health regulators, in Phase III studies involving 2,428 patients, Furiex said.

For the combined goal of improvement in abdominal pain and stool consistency for at least half the days in the study, eluxadoline achieved a statistically significant improvement at the 100 milligram and 75 mg doses through 12 weeks in both studies.

On the 26-week measure, the higher dose succeeded in both studies but the lower dose missed statistical significance in one of the two trials, according to initial results released by the company.

The success appeared to be driven by the percentage of patients reporting improvements in diarrhea, which ranged from 30 percent to 37 percent versus 22 percent and 20.9 percent for the placebo groups.

When the composite goal was broken into its two components, researchers found a numerical improvement in pain response rates that did not achieve statistical significance.

The drug appeared to be safe and well-tolerated in both studies, Furiex said. The most commonly reported side effects were constipation and nausea.

The company plans to present a far more detailed analysis of the late stage studies at an upcoming medical meeting.

“We’re very excited about the path ahead and about how this can transform patients’ lives,” Almenoff said.

Mu Delta is a locally active mu opioid receptor agonist and delta opioid receptor antagonist in phase III clinical evaluation at Furiex Pharmaceuticals for the oral treatment of diarrheal predominant irritable bowel syndrome (d-IBS).

The product candidate holds an advantage over currently marketed products for this indication because it acts locally on the enteric nervous system, possibly decreasing adverse effects on the central nervous system. In 2011, fast track designation was assigned in the U.S. for the treatment of d-IBS. In 2011, Mu Delta was licensed to Furiex Pharmaceuticals by Janssen for the treatment of d-IBS, granting an option to Furiex to continue development and commercialization following phase II proof of concept studies.

The opioid receptors were identified in the mid-1970’s, and were quickly categorized into three sub-sets of receptors (mu, delta and kappa). More recently the original three types of receptors have been further divided into sub-types. Also known is that the family of opioid receptors are members of the G-protein coupled receptor (GPCR) super-family. More physiologically pertinent are the well established facts that opioid receptors are found throughout the central and peripheral nervous system of many mammalian species, including humans, and that modulation of the respective receptors can elicit numerous, albeit different, biological effects, both desirable and undesirable (D. S. Fries, “Analgesics”, inPrinciples of Medicinal Chemistry, 4th ed.; W. O. Foye, T. L. Lemke, and D. A. Williams, Eds.; Williams and Wilkins: Baltimore, Md., 1995; pp. 247-269; J. V. Aldrich, “Analgesics”, Burger’s Medicinal Chemistry and Drug Discovery, 5thEdition, Volume 3: Therapeutic Agents, John Wiley & Sons, Inc., 1996, pp. 321-441). In the most current literature, the likelihood of heterodimerization of the sub-classes of opioid receptors has been reported, with respective physiological responses yet undetermined (Pierre J. M. Riviere and Jean-Louis Junien, “Opioid receptors: Targets for new gastrointestinal drug development”, Drug Development 2000, pp. 203-238).

A couple biological effects identified for opioid modulators have led to many useful medicinal agents. Most significant are the many centrally acting mu opioid agonist modulators marketed as analgesic agents to attenuate pain (e.g., morphine), as well as peripherally acting mu agonists to regulate motility (e.g., loperamide). Currently, clinical studies are continuing to evaluate medicinal utility of selective delta, mu, and kappa modulators, as well as compounds possessing combined sub-type modulation. It is envisioned such explorations may lead to agents with new utilities, or agents with minimized adverse side effects relative to currently available agents (examples of side effects for morphine includes constipation, respiratory depression, and addiction potential). Some new GI areas where selective or mixed opioid modulators are currently being evaluated includes potential treatment for various diarrheic syndromes, motility disorders (post-operative ileus, constipation), and visceral pain (post operative pain, irritable bowel syndrome, and inflammatory bowel disorders) (Pierre J. M. Riviere and Jean-Louis Junien, “Opioid receptors: Targets for new gastrointestinal drug development” Drug Development, 2000, pp. 203-238).

Around the same time the opioid receptors were identified, the enkephalins were identified as a set of endogenous opioid ligands (D. S. Fries, “Analgesics”, inPrinciples of Medicinal Chemistry, 4th ed.; W. O. Foye; T. L. Lemke, and D. A. Williams, Eds.; Williams and Wilkins: Baltimore, Md., 1995; pp. 247-269). Schiller discovered that truncating the original pentapeptide enkephalins to simplified dipeptides yielded a series of compounds that maintained opioid activity (Schiller, P. WO 96/06855). However one potential drawback cited for such compounds is the likelihood of their inherent instability (P. W. Schiller et al., Int. J. Pept. Protein Res. 1993, 41 (3), pp. 313-316).

More recently, a series of opioid pseudopeptides containing heteroaromatic or heteroaliphatic nuclei were disclosed, however this series is reported showing a different functional profile than that described in the Schiller works. (L. H. Lazarus et al., Peptides 2000, 21, pp. 1663-1671).

Most recently, works around morphine related structures were reported by Wentland, et al, where carboxamido morphine derivatives and it’s analogs were prepared (M. P. Wentland et al., Biorg. Med. Chem. Letters 2001, 11, pp. 1717-1721; M. P. Wentland et al., Biorg. Med. Chem. Letters 2001, 11, pp. 623-626). Wentland found that substitution for the phenol moiety of the morphine related structures with a primary carboxamide led anywhere from equal activities up to 40 fold reduced activities, depending on the opioid receptor and the carboxamide. It was also revealed that any additional N-substitutions on the carboxamide significantly diminished the desired binding activity.

Compounds of the present invention have not been previously disclosed and are believed to provide advantages over related compounds by providing improved pharmacological profiles.

Opioid receptor modulators, agonists or antagonists are useful in the treatment and prevention of various mammalian disease states, for example pain and gastrointestinal disorders such as diarrheic syndromes, motility disorders including post-operative ileus and constipation, and visceral pain including post-operative pain, irritable bowel syndrome and inflammatory bowel disorders.

It is an object of the present invention to provide opioid receptor modulators. It is a further object of the invention to provide opioid receptor agonists and opioid receptor antagonists. It is an object of the present invention to provide opioid receptor ligands that are selective for each type of opioid receptor, mu, delta and kappa. It is a further object of the present invention to provide opioid receptor ligands that modulate two or three opioid receptor types, mu, delta and kappa, simultaneously.

It is an object of the invention to provide certain instant compounds that are also useful as intermediates in preparing new opioid receptor modulators. It is also an object of the invention to provide a method of treating or ameliorating a condition mediated by an opioid receptor. And, it is an object of the invention to provide a useful pharmaceutical composition comprising a compound of the present invention useful as an opioid receptor modulator.

5-({[2-Amino-3-(4-carbamoyl-2,6-dimethyl-phenyl)-propionyl]-[1-(4-phenyl-1 h-imidazol-2-yl)-ethyl]-amino}-methyl)-2-methoxy-benzoic acid is an opoid receptor modulator (mu receptor agonist and delta receptor antagonist) and may be useful for treating irritable bowel syndrome, pain or other opioid receptor disorders.

5-({[2-Amino-3-(4-carbamoyl-2,6-dimethyl-phenyl)-propionyl]-[1-(4-phenyl-1h-imidazol-2-yl)-ethyl]-amino}-methyl)-2-methoxy-benzoic acid and methods of making this molecule are disclosed in

US application 2005/02033143. Example 9 of US application 2005/02033143 makes the hydrochloride salt of 5-({[2-amino-3-(4-carbamoyl-2,6-dimethyl-phenyl)-propionyl]-[1-(4-phenyl-1h-imidazol-2-yl)-ethyl]-amino}-methyl)-2-methoxy-benzoic acid.

Applicants have discovered a process of making the zwitterion of 5-({[2-amino-3-(4-carbamoyl-2,6-dimethyl-phenyl)-propionyl]-[1-(4-phenyl-1h-imidazol-2-yl)-ethyl]-amino}-methyl)-2-methoxy-benzoic acid and two novel crystals of this zwitterion. In Applicant’s hands, these novel crystals provide improved properties and can be purified at higher purity. Applicant’s new process results in improved and less costly process manufacturing conditions than the procedure disclosed in US application 2005/02033143.

FIG. 6 is the molecular structure of the zwitterion 5-({[2-amino-3-(4-carbamoyl-2,6-dimethyl-phenyl)-propionyl]-[1-(4-phenyl-1h-imidazol-2-yl)-ethyl]-amino}-methyl)-2-methoxy-benzoic acid.

US7994206

SYNTHESIS OF 5-formyl-2- methoxy-benzoic acid methyl ester

WO2002022612A1

Example 8: 2-Methoxy-5-formylbenzoic acid

Figure imgf000023_0001

Lithium hydroxide (1.04g, 0.043mol, 3eq) in water (lOmL) was added to a stirred solution of methyl 2-methoxy-5-formylbenzoate (2.8g, 0.014mol, leq) in a mixture of tetrahydrofuran (30mL) and methanol (20mL). The solution was stirred overnight, acidified to pH 1 with 10% HCl and the organic solvents removed in vacuo. The aqueous solution was extracted with ethyl acetate (lOOmL) and the organic solution washed with brine (lOOmL), then extracted with saturated aqueous sodium bicarbonate (3 x lOOmL). The basic solution was washed with ethyl acetate (lOOmL), then acidified to pH 1 with 10% HCl and back extracted with dichloromethane (3 x lOOmL). The organic solution was dried over sodium sulfate and evaporated in vacuo to give a cream coloured powder (2.01g, 77%). 1H NMR (CDC13) δ 9.99 (s, IH, O=C- H), 4.14 (s, 3H, CH3).

ANALOGOUS METHOD TO PREPARE..2-methoxy-5-{[1 -(4-phenyl-1 H-imidazol-2-yl)- ethylamino]-methyl}-benzoic acid methyl ester

USE 5-formyl-2- methoxy-benzoic acid methyl ester  for 3,4- dimethoxybenzaldehyde, TO GET 2-methoxy-5-{[1 -(4-phenyl-1 H-imidazol-2-yl)- ethylamino]-methyl}-benzoic acid methyl ester 

Example 4

(3,4-Dimethoxy-benzyl)-[1-(4-phenyl-1 H-imidazol-2-yl)-ethyl]-amine

Figure imgf000076_0001
NOTE THIS IS NOT THE COMPD….IT IS REF FOR AN ANALOGOUS PROCEDURE

A solution of 1-(4-phenyl-1 W-imidazol-2-yl)-ethylamine (0.061 g, 0.33 mmol) of Example 3, and 0.55 g (0.33 mmol) of 3,4-dimethoxybenzaldehyde in 5 ml_ of anhydrous methanol was stirred at room temperature for 1 h and then cooled to about 0-100C in an ice bath for 1 h. The reaction was treated carefully with 0.019 g (0.49 mmol) of sodium borohydride in one portion and maintained at about 0-100C for 21 h. Cold 2M aqueous HCI was added dropwise (30 drops), the mixture was stirred for 5 min, and then partially concentrated in vacuo unheated. The residual material was taken up in EtOAc to yield a suspension that was treated with 5 ml_ of cold 3M aqueous NaOH and stirred vigorously until clear. The phases were separated and the aqueous layer was extracted three times additional with EtOAc. The combined extracts were dried over MgSO4, filtered, and concentrated to yield (3,4-dimethoxy- benzyl)-[1-(4-phenyl-1 H-imidazol-2-yl)-ethyl]-amine as a light yellow oil (HPLC: 87% @ 254nm and 66% @ 214 nm).

MS (ES+) (relative intensity): 338.1 (100) (M+1)

This sample was of sufficient quality to use in the next reaction without further purification.

SYNTHESIS

WO2006099060A2

In an embodiment, the present invention is directed to processes for the preparation of the compound of formula (IV)

Figure imgf000016_0001

also known as, 5-({[2-amino-3-(4-carbamoyl-2,5-dimethyl-phenyl)- propionyl]-[1 -(4-phenyl-1 H-imidazol-2-yl)-ethyl]-amino}-methyl)-2-methoxy- benzoic acid

Example 1

(S)-2-ferf-Butoxycarbonylamino-3-(4-carbamoyl-2.6-dimethyl-phenyl)- propionic acid

Figure imgf000067_0001
Figure imgf000068_0001

STEP A: Trifluoromethanesulfonic acid 4-bromo-3,5-dimethyl-phenyl ester

To a cooled (0°C) solution of 4-bromo-3,5-dimethylphenol (3.05 g, 15.2 mmol) in pyridine (8 ml_) was added trifluoromethanesulfonic anhydride (5.0 g, 17.7 mmol) dropwise. After completion of addition, the resulting mixture was stirred at 0°C for 15 min, and then at room temperature overnight. The reaction was quenched by addition of water, and then extracted with EtOAc. The organic extracts were washed sequentially with water, 2N HCI (2x ), brine, and then dried over MgSO4. Filtration and evaporation to dryness yielded compound 1 b as a colorless oil.

1H NMR (300 MHz, CDCI3): δ 2.45 (6H, s), 7.00 (2H, s).

Step B: 4-Bromo-3,5-dimethylbenzoic acid

Into a solution of compound 1 b (6.57 g, 19.7 mmol) in DMF (65 ml_) were added K2CO3 (13.1 g, 94.7 mmol), Pd(OAc)2 (0.44 g, 1.97 mmol) and 1 ,1′-bis(diphenylphosphino)ferrocene (2.29 g, 4.14 mmol). The resulting mixture was bubbled in gaseous CO for 10 min and was heated to 60°C for 7.5h with a CO(9) balloon. The cooled mixture was partitioned between aqueous NaHCO3 and EtOAc, and filtered. The aqueous phase was separated, acidified with aqueous 6N HCI, extracted with EtOAc, and then dried over Na2SO4. Filtration and concentration of the filtrate yielded crude compound 1c as a brown residue, which was used in the next step without further purification. STEP C: Method A: 4-Bromo-3,5-dimethyl-benzamide

Into a suspension of compound 1c in DCM (40 ml_) was added SOCI2 (3.1 rnL, 42 mmol) and the mixture was heated at reflux for 2 h. Upon removal of the solvent by evaporation, the residue was dissolved in DCM (40 ml_) and then ammonium hydroxide (28% NH3 in water, 2.8 ml_) was added. The reaction mixture was heated at 5O0C for 2 h and concentrated. The residue was diluted with H2O, extracted with EtOAc, and the organic portion was dried over Na2SO4. After filtration and evaporation, the residue was purified by flash column chramotagraphy (eluent: EtOAc) to yield compound 1 d as an off-white solid.

1H NMR (300 MHz, CD3CN): δ 2.45 (6H, s), 5.94 (1 H, br s), 6.71 (1 H, br s), 7.57 (2H, s)

MS(ES+)(relative intensity): 228.0 (100%) (M+1).

Step C: Method B: 4-Bromo-3,5-dimethyl-benzamide

A mixture of compound 1 b (3.33 g, 10 mmol), PdCI2 (0.053 g, 0.3 mmol), hexamethyldisilazane (HMDS, 8.4 ml_, 40 mmol), and DPPP (0.12 g, 0.3 mmol) was bubbled with a gaseous CO for 5 min and then stirred in a CO balloon at 80°C for 4 h. To the reaction mixture was added MeOH (5 ml_). The reaction mixture was stirred for 10 min, diluted with 2N H2SO4 (200 ml_), and then extracted with EtOAc. The EtOAc extract was washed with saturated aqueous NaHCO3, brine, and then dried over Na2SO4. Filtration and evaporation of the resultant filtrate yielded a residue, which was purified by flash column chromatography (eluent: EtOAc) to yield compound 1d as a white solid.

Step D: 2-terf-Butoxycarbonylaminoacrylic acid methyl ester

To a suspension of /V-Boc-serine methyl ester (Compound 1e, 2.19 g, 10 mmol) and EDCI (2.01 g, 10.5 mmol) in DCM (70 ml_) was added CuCI (1.04 g, 10.5 mmol). The reaction mixture was stirred at room temperature for 72 h. Upon removal of the solvent, the residue was diluted with EtOAc, washed sequentially with water and brine and then dried over MgSO4. The crude product was purified by flash column chromatography (eluent: EtOAc:hexane ~1 :4) to yield compound 1f as a colorless oil.

1H NMR (300 MHz, CDCI3): δ 1.49 (9H, s), 3.83 (3H, s), 5.73 (1 H, d, J = 1.5 Hz), 6.16 (1 H1 S), 7.02 (1 H, s).

STEP E: (2)-2-fert-Butoxycarbonylamino-3-(4-carbamoyl-2,6-dimethyl- phenyl)acrylic acid methyl ester

A flask charged with compound 1d (0.46 g, 2.0 mmol), compound 1f (0.80 g, 4.0 mmol), tri-o-tolylphosphine (0.098 g, 0.32 mmol) and DMF (8 ml_) was purged with N2(g) 3 times. After the addition of tris(dibenzylideneacetone)dipalladium (0) (0.074 g, 0.08 mmol) and TEA (0.31 ml_, 2.2 mol), the reaction mixture was heated at 110°C for 24 h. At that time, the reaction was quenched by addition of water, and then extracted with EtOAc. The organic phase was washed with 1 N HCI, saturated aqueous NaHCO3, brine, and dried over MgSO4. The mixture was concentrated to a residue, which was purified by flash column chromatography (eluent: EtOAc:hexane~1 :1 to EtOAc only) to yield compound 1g as a white solid.

1H NMR (300 MHz, CD3OD): δ 1.36 (9H, s), 2.26 (6H, s), 3.83 (3H, s), 7.10 (1 H, s), 7.56 (2H, s); 13C NMR (75 MHz, DMSO-d6): δ 17.6, 25.7, 50.2, 78.7, 124.9, 126.4,

128.3, 131.2, 135.2, 135.5, 152.8, 164.3, 169.6;

MS (ES+) (relative intensity): 349.1 (38%)(M+1).

STEP F: (S)-2-ferf-Butoxycarbonylamino-3-(4-carbamoyl-2,6-dimethyl- phenyl)propionic acid methyl ester

Into a reactor charged with a solution of compound 1g (0.56 g, 1.6 mmol) in degassed MeOH (80 mL) was added [Rh(COd)(H1R-DIPAMP)J+BF4  under a stream of argon. The reactor was sealed and flushed with H2, stirred at 6O0C under 1000 psi of H2 for 14 days. The crude product was purified by flash column chromatography (eluent: EtOAc:hexane ~1 :1) to yield compound 1 h as a white solid. ee: >99%; 1H NMR (300 MHz, CDCI3): δ 1.36 (9H, s), 2.39 (6H, s), 3.11 (2H, J = 7.2 Hz), 3.65 (3H, s), 4.53-4.56 (1 H, m), 5.12 (1 H, d, J = 8.7 Hz), 5.65 (1 H, br s), 6.09 (1 H, br s), 7.46 (2H, s);

MS(ES+) (relative intensity): 250.9 (100) (M-BoC)+.

STEP G: (S)-2-tert-Butoxycarbonylamino-3-(4-carbamoyl-2,6-dimethyl- phenyl)propionic acid

Into an ice-cooled solution of compound “I h (0.22 g, 0.63 mmol) in THF (3.5 ml_) was added an aqueous LiOH solution (1 N, 3.5 ml_) and the reaction mixture stirred at 0°C. Upon completion of the reaction, the reaction mixture was concentrated and the aqueous phase was neutralized with cooled aqueous 1 N HCI at 0°C, and then extracted with EtOAc. The combined extracts were dried over Na2SO4 overnight. Filtration and evaporation of the filtrate to dryness yielded compound 1j as a white solid. 1H NMR (300 MHz, DMSO-cfe): δ 1.30 (9H, s), 2.32 (6H, s), 2.95(1 H, dd,

J= 8.8, 13.9 Hz), 3.10 (1 H, dd, J= 6.2, 14.0 Hz), 4.02-4.12 (1 H, m), 7.18-7.23 (2H, m), 7.48 (2H1 s), 7.80 (1 H, s);

MS(ES+) (relative intensity): 236.9 (6) (M-BoC)+.

Example 5

5-((r2-Amino-3-(4-carbamoyl-2.6-dimethyl-phenyl)-propionvn-n-(4-phenyl- 1 H-imidazol-2-yl)-ethvπ-aminol-methyl)-2-methoxy-benzoic acid

Figure imgf000076_0002
Figure imgf000077_0001

STEP A. 2-Methoxy-5-{[1-(4-phenyl-1 W-imidazol-2-yl)-ethylamino]-methyl}- benzoic acid methyl ester

Using the procedures described for Example 4, substituting 5-formyl-2- methoxy-benzoic acid methyl ester (WO 02/22612) for 3,4- dimethoxybenzaldehyde, 2-methoxy-5-{[1 -(4-phenyl-1 H-imidazol-2-yl)- ethylamino]-methyl}-benzoic acid methyl ester was prepared.

STEP B. 5-({[2-ferf-ButoxycarbonylmethyI-3-(4-carbamoyl-2,6-dimethyl- phenyl)-propionyl]-[1 -(4-phenyl-1 H-imidazoI-2-yl)-ethyl]-amino}-methyl)-2- methoxy-benzoic acid methyl ester

Using the procedure of Example 3 for the conversion of Cpd 3d to Cpd 3e, substituting 2-methoxy-5-{[1-(4-phenyl-1 /-/-imidazol-2-yl)-ethylamino]- methylj-benzoic acid methyl ester for Cpd 3d and substituting 2-tert- Butoxycarbonylamino-3-(4-carbamoyl-2,6-dimethyl-phenyl)-propionic acid for 2- tø/t-Butoxycarbonylamino-3-(4-hydroxy-2,6-dimethyl-phenyl)-propionic acid, Cpd 5a was prepared.

STEP C. 5-({[2-tert-butoxycarbonylamino-3-(4-carbamoyl-2,6-dimethyl- phenyl)-propionyl]-[1 -(4-phenyl-1 W-imidazol-2-yl)-ethyl]-amino}-methyl)-2- methoxy-benzoic acid

5-({[2-tørf-Butoxycarbonylmethyl-3-(4-carbamoyl-2,6-dimethyl-phenyl)- propionyl]-[1-(4-phenyl-1 H-imidazol-2-yl)-ethyl]-amino}-methyl)-2-methoxy- benzoic acid methyl ester was dissolved in an ice-chilled (0-10°C), mixed solvent system of THF (10 ml_) and MeOH (5 ml_). A LiOH H2O/water suspension (2.48 M; 3.77 ml_) was added dropwise, then the reaction was allowed to warm to room temperature and stirred overnight. The resulting mixture was cooled in an ice bath and the basic solution was neutralized with 2N citric acid until slightly acidic. The mixture was concentrated under reduced pressure to remove the volatile materials, after which time the remaining aqueous phase was extracted with EtOAc (3 x 26 ml_). These combined organic phases were dried over MgSO4, filtered, and concentrated under reduced pressure to yield a pale yellowish white solid. This crude material was dissolved in a 10% MeOH/CH2CI2 solution and adsorbed onto 30 g of silica. The adsorbed material was divided and chromatographed on an ISCO normal phase column over two runs, using a 40 g Redi-Sep column for both runs. The solvent system was a gradient MeOHZCH2CI2 system as follows: Initial 100% CH2CI2, 98%-92% over 40 min; 90% over 12 min, and then 88% over 13 min. The desired product eluted cleanly between 44-61 min. The desired fractions were combined and concentrated under reduced pressure to yield 5-({[2-terf- butoxycarbonylamino-3-(4-carbamoyl-2,6-dimethyl-phenyl)-propionyl]-[1-(4- phenyl-1 /-/-imidazol-2-yl)-ethyl]-amino}-methyl)-2-methoxy-benzoic acid, Cpd 5b, as a white solid.

STEP D. 5-({[2-Amino-3-(4-carbamoyl-2,6-dimethyl-phenyl)-propionyl]-[1 – (4-phenyl-1 W-imidazol-2-yl)-ethyl]-amino}-methyl)-2-methoxy-benzoic acid

A portion of Cpd 5b (0.27g, 0.41 mmol) was dissolved in EtOAc (39 ml_)/THF (5 ml_), filtered, and subsequently treated with gaseous HCI for 15 min. After completion of the HCI addition, the reaction was slowly warmed to room temperature and a solid precipitate formed. After 5 h the reaction appeared >97% complete by LC (@214nm; 2.56 min.). The stirring was continued over 3 d, then the solid was collected and rinsed with a small amount of EtOAc. The resulting solid was dried under high vacuum under refluxing toluene for 2.5 h to yield Cpd 5c as a white solid di-HCI salt.

Example 2

Racemic 2-terf-Butoxycarbonylamino-3-(4-carbamoyl-2,6-dimethvl- phenvD-propionic acid

Figure imgf000071_0001

STEP A: Racemic 2-tert-butoxycarbonylamino-3-(4-carbamoyl-2,6- dimethyl-phenyl)propionic acid methyl ester

To a reactor charged with a solution of compound 1g (0.68 g, 1.95 mmol) in MeOH (80 mL) was added 10% Pd-C (0.5 g). The reactor was connected to a hydrogenator and shaken under 51 psi of H2 overnight. The mixture was filtered through a pad of Celite and the filtrate was concentrated to dryness to yield compound 2a as a white solid.

The 1H NMR spectrum was identical to that of (S)-2-tert- butoxycarbonylamino-3-(4-carbamoyl-2,6-dimethyl-phenyl)propionic acid methyl ester, compound 1 h.

STEP B: Racemic 2-terf-butoxycarbonylamino-3-(4-carbamoyl-2,6- dimethyl-phenyl)propionic acid

Following the procedure described for Example 1 , STEP G (preparation of (S)-2-teAt-Butoxycarbonylamino-3-(4-carbamoyl-2,6-dimethyl- phenyl)propionic acid), compound 2b – racemic 2-te/?-butoxycarbonylamino-3- (4-carbamoyl-2,6-dimethyl-phenyl)propionic acid – was prepared.

POLYMORPHS

US8609865

Example 1 Preparation of the zwitterion of 5-({[2-Amino-3-(4-carbamoyl-2,6-dimethyl-phenyl)-propionyl]-[1-(4-phenyl-1H-imidazol-2-yl)-ethyl]-amino}-methyl)-2-methoxy-benzoic acid

A 1 L three-necked round-bottomed flask equipped with a mechanical stirrer, addition funnel and a thermocouple was charged without agitation. 34.2 g of 5-({[2-tert-butoxycarbonylamino-3-(4-carbamoyl-2,6-dimethyl-phenyl)-propionyl]-[1-(4-phenyl-1H-imidazol-2-yl)-ethyl]-amino}-methyl)-2-methoxy-benzoic acid (see Example 9 of US 2005/0203143), 340 ml of acetone, and 17 ml of 204 mmolar concentrated HCl were combined in the flask. The stirring was started and the resulting slurry formed a clear solution. This solution was heated to 45° C. under vigorous stirring and aged at this temperature for a period of two hours. After the completion, the reaction mass was cooled to ambient temperature and the supernatant was removed by suction. The vessel along with the residue was rinsed with 20 ml of acetone and then removed as previously. 170 ml of water was added and the reaction mass and was aged under stirring until a homogeneus solution resulted. This solution was then added over a period of ˜½ hr to a solution of 90 ml of 1N NaOH and water. The pH was adjusted to 6.5-7.0 accordingly. The resulting slurry was aged for about 2 hrs at ambient temperature, cooled to 10-15° C., aged at that temperature for about 1 hr, and then filtered. The solid was washed with 10 ml water, air-dried for a period of 4 to 5 hrs, and then placed in a vacuum oven at 50-55° C. until the water content was less than 3%.

Example 2 Preparation of the Form α Crystal

The Form α crystal can be prepared by storing the zwitterion of 5-({[2-amino-3-(4-carbamoyl-2,6-dimethyl-phenyl)-propionyl]-[1-(4-phenyl-1H-imidazol-2-yl)-ethyl]-amino}-methyl)-2-methoxy-benzoic acid at 0-25% relative humidity for 3 days. Representative PXRD, TGA, and DSC data are shown in FIGS. 1-3 respectively.

Example 3 Preparation of the Form β crystal

The Form β crystal can be prepared by storing the zwitterion of 5-({[2-amino-3-(4-carbamoyl-2,6-dimethyl-phenyl)-propionyl]-[1-(4-phenyl-1H-imidazol-2-yl)-ethyl]-amino}-methyl)-2-methoxy-benzoic acid at greater than 60% relative humidity for 3 days. Representative PXRD, TGA, and DSC data are shown in FIGS. 1, 4, and 5 respectively.

SYNTHESIS

US20050203143

Example 9 5-({[2-Amino-3-(4-carbamoyl-2,6-dimethyl-phenyl)-propionyl]-[1-(4-phenyl-1H-imidazol-2-yl)-ethyl]-amino}-methyl)-2-methoxy-benzoic acid

Figure US20050203143A1-20050915-C00035

A. 2-Methoxy-5{[1-(4-phenyl-1 H-imidazol-2-yl)-ethylamino]-methyl}-benzoic acid methyl ester.

Using the procedures described for Example 3, substituting 5-formyl-2-methoxy-benzoic acid methyl ester (WO 02/22612) for 3,4-dimethoxybenzaldehyde, 2-methoxy-5-{[1-(4-phenyl-1H-imidazol-2-yl)-ethylamino]-methyl}-benzoic acid methyl ester was prepared.

B. 5-({[2-tert-Butoxycarbonyl methyl-3-(4-carbamoyl-2,6-dimethyl-phenyl)-propionyl]-[1-(4-phenyl-1H-imidazol-2-yl)-ethyl]-amino}-methyl)-2-methoxy-benzoic acid methyl ester.

Using the procedure of Example 1 for the conversion of Cpd 1d to Cpd 1e, substituting 2-methoxy-5-{[1-(4-phenyl-1H-imidazol-2-yl)-ethylamino]-methyl}-benzoic acid methyl ester for Cpd 1 d and substituting 2-tert-Butoxycarbonylamino-3-(4-carbamoyl-2,6-dimethyl-phenyl-propionic acid of Example 8 for 2-tert-Butoxycarbonylamino-3-(4-hydroxy-2,6-dimethyl-phenyl)-propionic acid, Cpd 9a was prepared.

C. 5-({[2-tert-butoxycarbonylamino-3-(4-carbamoyl-2,6-dimethyl-phenyl)-propionyl]-[11-(4-phenyl-1H-imidazol-2-yl)-ethyl]-amino}-methyl)-2-methoxy-benzoic acid.

5-({[2-tert-Butoxycarbonyl methyl-3-(4-carbamoyl-2,6-dimethyl-phenyl)-propionyl]-[1-(4-phenyl-1H-imidazol-2-yl)-ethyl]-amino}-methyl)-2-methoxy-benzoic acid methyl ester was dissolved in an ice-chilled (0-10° C.), mixed solvent system of THF (10 mL) and MeOH (5 mL). A LiOH.H2O/water suspension (2.48 M; 3.77 mL) was added dropwise, then the reaction was allowed to warm to room temperature and stirred overnight. The resulting mixture was cooled in an ice bath and the basic solution was neutralized with 2N citric acid until slightly acidic. The mixture was concentrated under reduced pressure to remove the volatile materials, after which time the remaining aqueous phase was extracted with EtOAc (3×26 mL). These combined organic phases were dried over MgSO4, filtered, and concentrated under reduced pressure to give 2.26 g (146% of theory) of pale yellowish white solid. This crude material was dissolved in a 10% MeOH/CH2Clsolution and adsorbed onto 30 g of silica. The adsorbed material was divided and chromatographed on an ISCO normal phase column over two runs, using a 40 g Redi-Sep column for both runs. The solvent system was a gradient MeOH/CH2Clsystem as follows: Initial 100% CH2Cl2, 98%-92% over 40 min; 90% over 12 min, and then 88% over 13 min. The desired product eluted cleanly between 44-61 min. The desired fractions were combined and concentrated under reduced pressure to yield 1.74 g (113% of theory) of 5-({[2-tert-butoxycarbonylamino-3-(4-carbamoyl-2,6-dimethyl-phenyl)-propionyl]-[1-(4-phenyl-1H-imidazol-2-yl)-ethyl]-amino}-methyl)-2-methoxy-benzoic acid, Cpd 9b, as a white solid.

D. 5-({[2-Amino-3-(4-carbamoyl-2,6-dimethyl-phenyl)-propionyl]-[1-(4-phenyl-1H-imidazol-2-yl)-ethyl]-amino}-methyl)-2-methoxy-benzoic acid.

A portion of Cpd 9b (0.27g, 0.41 mmol) was dissolved in EtOAc (39 mL)/THF (5 mL), filtered, and subsequently treated with gaseous HCl for 15 min. After completion of the HCl addition, the reaction was slowly warmed to room temperature and a solid precipitate formed. After 5 h the reaction appeared >97% complete by LC (@214 nm; 2.56 min.). The stirring was continued over 3 d, then the solid was collected and rinsed with a small amount of EtOAc. The resulting solid was dried under high vacuum under refluxing toluene for 2.5 h to yield 0.19 g (71%) of desired Cpd 9c as a white solid di-HCl salt.

Example 8 (S)-2-tert-Butoxycarbonylamino-3-(2,6-dimethyl-4-trifluoromethanesulfonylphenyl)-propionic acid methyl ester

Figure US20050203143A1-20050915-C00034

A. (S)-2-tert-Butoxycarbonylamino-3-(2,6-dimethyl-4-trifluoromethanesulfonylphenyl)-propionic acid methyl ester. Into a cool solution of Boc-L-(2,6-diMe)Tyr-OMe (7.0 g, 21.6 mmol; Sources: Chiramer or RSP AminoAcidAnalogues) and N-phenyltrifluoromethanesulfonimide (7.9 g, 22.0 mmol) in dichloromethane (60 mL) was added triethylamine (3.25 mL, 23.3 mmol). The resulting solution was stirred at 0° C. for 1 h and slowly warmed to rt. Upon completion, the reaction was quenched by addition of water. The separated organic phase was washed with 1 N NaOH aqueous solution, water and dried over Na2SOovernight. After filtration and evaporation, the residue was purified by flash column chromatography (eluent: EtOAc-hexane: 3:7) to give the desired product (9.74 g, 99%) as a clear oil; 1H NMR (300 MHz, CDCl3): δ 1.36 (9H, s), 2.39 (6H, s), 3.06 (2H, d, J=7.7 Hz), 3.64 (3H, s), 4.51-4.59 (1H, m), 5.12 (1H, d, J=8.5 Hz), 6.92 (2H, s); MS (ES+) (relative intensity): 355.8 (100) (M−Boc)+.

B. (S)4-(2-tert-Butoxycarbonylamino-2-methoxycarbonylethyl)-3,5-dimethylbenzoic acid. To a suspension of (S)-2-tert-butoxycarbonylamino-3-(2,6-dimethyl-4-trifluoromethanesulfonylphenyl)-propionic acid methyl ester (9.68 g, 21.3 mmol), K2CO(14.1 g, 0.102 mol), Pd(OAc)(0.48 g, 2.13 mmol) and 1,1′-bis(diphenylphosphino)ferrocene (2.56 g, 4.47 mmol) in DMF (48 mL) was bubbled in gaseous CO for 15 min. The mixture was heated to 60° C. for 8 h with a CO balloon. The cool mixture was partitioned between NaHCOand EtOAc, and filtered. The aqueous layer was separated, acidified with 10% citric acid aqueous solution, extracted with EtOAc, and finally dried over Na2SO4. Filtration and concentration of the filtrate resulted in a residue. The residue was recrystallized from EtOAc-hexanes to afford the desired product (7.05 g, 94%); 1H NMR (300 MHz, CDCl3): δ 1.36 (9H, s), 2.42 (6H, s), 3.14 (2H, J=7.4 Hz), 3.65 (3H, s), 4.57-4.59 (1H, m), 5.14 (1H, d, J=8.6 Hz), 7.75 (2H, s); MS(ES+) (relative intensity): 251.9 (100) (M−Boc)+.

C. (S)-2-tert-Butoxycarbonylamino-3-(4-carbamoyl-2,6-dimethylphenyl)propionic acid methyl ester. Into a stirring solution of (S)-4-(2-tert-butoxycarbonylamino-2-methoxycarbonylethyl)-3,5-dimethyl benzoic acid (3.00 g, 8.54 mmol), PyBOP (6.68 g, 12.8 mmol) and HOBt (1.74 g, 12.8 mmol) in DMF (36 mL) was added DIPEA (5.96 mL, 34.2 mmol) and NH4Cl (0.92 g, 17.1 mmol). The resulting mixture was stirred at rt for 40 min before being partitioned between aqueous NH4Cl solution and EtOAc. The separated organic phase was washed sequentially with 2N citric acid aqueous solution, saturated aqueous NaHCOsolution, and brine, then dried over Na2SOovernight. After filtration and concentration, the residue was purified by flash column chromatography (eluent: EtOAc) to give the product. (3.00 g, 100%); 1H NMR (300 MHz, CDCl3): δ 1.36 (9H, s), 2.39 (6H, s), 3.11 (2H, J=7.2 Hz), 3.65 (3H, s), 4.53-4.56 (1H, m), 5.12 (1H, d, J=8.7 Hz), 5.65 (1H, brs), 6.09 (1H, br s), 7.46 (2H, s); MS(ES+) (relative intensity): 250.9 (100) (M−Boc)+.

D. (S)-2-tert-Butoxycarbonylamino-3-(4-carbamoyl-2,6-dimethylphenyl)propionic acid. Into an ice-cooled solution of methyl ester from Step C (2.99 g, 8.54 mmol) in THF (50 mL) was added an aqueous LiOH solution (1N, 50 mL) and stirred at 0° C. Upon consumption of the starting materials, the organic solvents were removed and the aqueous phase was neutralized with cooled 1N HCl at 0° C., and extracted with EtOAc, and dried over Na2SOovernight. Filtration and evaporation to dryness led to the title acid (S)-2-tert-butoxycarbonylamino-3-(4-carbamoyl-2,6-dimethylphenyl)propionic acid (2.51 g, 87%); 1H NMR (300 MHz, DMSO-d6): δ 1.30 (9H, s), 2.32 (6H, s), 2.95 (1H, dd, J=8.8, 13.9 Hz), 3.10 (1H, dd, J=6.2, 14.0 Hz), 4.02-4.12 (1H, m), 7.18-7.23 (2H, m), 7.48 (2H, s), 7.80 (1H, s); MS(ES+) (relative intensity): 236.9 (6) (M−Boc)+.

PAPER

Bioorg Med Chem Lett. 2012 Jul 15;22(14):4869-72.

PATENTS

1.WO 2005090315

2..WO 2006099060

3.WO 2009009480

4. WO 2010062590

5.US 2011263868 *

Patent

https://patentscope2.wipo.int/search/de/detail.jsf;jsessionid=17DB1184234A30C42C287EBFB95A7EF3?docId=WO2018198101&tab=PCTDESCRIPTION&office=&prevFilter=%26fq%3DOF%3AWO&sortOption=Ver%C3%83%C2%B6ffentlichungsdatum+ab&queryString=&recNum=9351&maxRec=3410922

Eluxadoline chemically is 5-[[[(25)-2-amino-3-[4-(aminocarbonyl)-2, 6-dimethylphenyl] – 1 -oxopropyl] [( 15)- 1 -(4-phenyl- lH-imidazol-2-yl)ethyl] amino] methyl] -2-methoxybenzoic acid, represented by Formula I.

Formula I

Eluxadoline is a mu-opioid receptor agonist, indicated in adults for the treatment of irritable bowel syndrome with diarrhea (IBS-D).

U.S. Patent No. 7,741 ,356 describes a process for the preparation of eluxadoline. U.S. Patent Nos. 7,629,488 and 8,710,256 describe processes for the preparation of intermediates of eluxadoline.

PCT Publication No. WO2009/009480 purportedly discloses forms alpha and beta crystals of eluxadoline and processes thereof. PCT Publication No. WO2009/009480 discloses that form alpha crystals can be prepared by storing the zwitterion of eluxadoline at 0-25% relative humidity (RH) for 3 days and form beta crystals can be prepared by storing the zwitterion of eluxadoline at greater than 60% RH for 3 days.

PCT Publication No. WO2017/015606 purportedly discloses amorphous form, crystalline forms I, II, III and IV, and processes for their preparation and a process for the preparation of form alpha crystal of eluxadoline

PATENT

https://patentscope.wipo.int/search/en/detail.jsf?docId=WO2018138274

Eluxadoline is the INN denomination assigned to the compound having lUPAC name 5-({[(2S)-2-amino-3-(4-carbamoyl-2,6-dimethylphenyl)propanoyl][(1 S)-1 -(4-phenyl-1 /-/-imidazol-2-yl)ethyl]amino}methyl)-2-methoxybenzoic acid and the formula reported below:

Eluxadoline is a μ- and κ-opioid receptor agonist and δ-opioid receptor antagonist that acts locally in the enteric nervous system. The drug, administered orally, is active locally in the intestine and is able to control gastrointestinal function (Gl) and at the same time to reduce the pain and mitigate the effect of constipation. Its use has been approved for the treatment of diarrhea and abdominal pain in individuals with diarrhea-predominant irritable bowel syndrome (IBS-D).

The family of compounds to which eluxadoline belongs is disclosed in patent application WO 2005/090315 A1 , while patent application WO 2006/099060 A2 is directed to processes for the preparation of these compounds.

As generally known, any active principle may exist under amorphous or different crystalline forms (polymorphs), either as pure compound or in forms in which, in the structure of the crystal, are present molecules of water (hydrates) or of another solvent (solvates); besides, in case of hydrates and solvates, the ratio between the number of molecules of active principle and molecules of water or solvent may vary, giving rise to different solid forms of the compound.

Different salts and solid-state forms of an active pharmaceutical ingredient may possess different properties. Such variations in the properties of different salts and solid-state forms may provide a basis for improving formulation, for example, by facilitating better processing or handling characteristics, changing the dissolution profile in a favourable direction, or improving stability (polymorphic and/or chemical) and shelf-life. These variations in the properties of different salts and solid-state forms may also offer improvements to the final dosage form, for instance, if they serve to improve bioavailability. Different salts, solid-state forms and solvates of an active pharmaceutical ingredient may also give rise to a variety of polymorphs or crystalline forms, which, in turn, may provide additional opportunities to assess variations in the properties and characteristics of a solid active pharmaceutical ingredient.

While not intending to be bound by any theory, certain solid forms are characterized by physical properties, e.g., stability, solubility and dissolution rate, appropriate for pharmaceutical and therapeutic dosage forms. Moreover, while not wishing to be bound by any theory, certain solid forms are characterized by physical properties (e.g., density, compressibility, hardness, morphology, cleavage, stickiness, solubility, water uptake, electrical properties, thermal behaviour, solid-state reactivity, physical stability, and chemical stability) affecting particular processes (e.g., yield, filtration, washing, drying, milling, mixing, tableting, flowability, dissolution, formulation, and lyophilization) which make certain solid forms suitable for the manufacture of a solid dosage form. Such properties can be determined using analytical chemical techniques, including solid-state analytical techniques (e.g., X-ray diffraction, microscopy, spectroscopy and thermal analysis), as described herein and known in the art.

For these reasons, chemical compounds useful in the pharmaceutical field are systematically screened looking for the physical form(s) that present an improved set of production, storage and handling properties, and which result in an improved administration to the patients.

Patent application WO 2009/009480 A2 discloses two crystalline forms of eluxadoline, referred to in the document respectively as Form a and Form β. Form a is characterized by an X-ray powder diffraction pattern having the main peaks at about 10.2°, 1 1.3°, 1 1.8°, 14.0°, 14.3°, 14.7°, 16.1 ° and 18.3° 2Θ, while Form β is characterized by an X-ray powder diffraction pattern having the main peaks at about 1 1.0°, 12.4°, 14.9°, 15.2°, 22.1 °, 25.6°, 27.4°, and 30.4° 2Θ.

Patent application WO 2017/015606 A1 discloses several crystalline forms of eluxadoline, referred to therein as Form I, Form II, Form III, and Form IV. Form I is characterized by an X-ray powder diffraction pattern having peaks at about 6.4°, 7.5°, 9.1 °, 10.0°, and 13.0° 2Θ. Form II is characterized by an X-ray powder diffraction profile having peaks at about 7.2°, 1 1 .6°, 12.1 °, 12.7° and 16.9° 2Θ. Form III is characterized by an X-ray powder diffraction pattern having peaks at about 9.3°, 10.2°, 1 1 .5°, 13.3° and 21.8° 2Θ. Form IV is characterized by an X-ray powder diffraction profile having peaks at about 9.3°, 10.2°, 1 1.5°, 13.3° and 21 .8° 2Θ.

However, no information is provided in any of these documents about any useful

properties from the standpoint of the pharmaceutical industry, neither regarding ease of handling of the forms in the production of formulations nor regarding the storage stability (polymorphic and/or chemical) of eluxadoline when prepared in one of these crystalline forms.

An object of the present invention is the provision of a novel process for the preparation of a polymorphic form a’ of eluxadoline (as defined hereinbelow) which, surprisingly, is polymorphically and chemically stable. Since this polymorphic form represents a valuable product, it is an object that upscaling of this process, in order to meet the needs of industrial-scale production, should be easily accomplishable. It is a further object of the present invention that said novel process should produce high-purity products which must contain as low an amount of possibly harmful compounds as possible.

Surprisingly, it was found that new solvate forms ε of eluxadoline allow for the realization of this process and, thus, of the new polymorphically and chemically stable crystalline form α’. It was found that in terms of the starting material from which the solvate forms ε of eluxadoline can be produced, they are extremely flexible.

Further, it was found that the reaction conditions necessary to produce these solvate forms are highly advantageous in terms of energy consumption in combination with the chemical nature of the solvents used

High Performance Liquid Chromatography-Ultraviolet Detection (HPLC-UV):

Chemical stability tests were performed using the following HPLC method

Column: XBridge C8 150 X 4.6 mm, 3.5 μηι

Mobile Phase A: 0.1 % (V/V) phosphoric acid aqueous solution

Mobile Phase B: Acetonitrile

Diluent: 1 :1 (V/V) Mixture of Mobile Phases A and B

Flow Rate: 1.3 mL/min

Runtime: 35 min

Column Temperature 30 °C

Autosampler Temperature: Ambient

Injection Volume: 5 μΙ_

Detection: 210 nm

Sample concentration: 0.4 mg/mL

Gradient Program:

PATENT

WO 2018020450

https://patents.google.com/patent/WO2018020450A2/en

Example 1

Preparation of Eluxadoline

Step 1- Preparation of 5-({[2-amino-3-(4-carbamoyl-2,6-dimethyl-phenyl)-propionyl]-[l- (4-phenyl- lH-imidazol-2-yl)-ethyl]-amino} -methyl)-2-methoxy-benzoic acid

Figure imgf000023_0001

To a stirred solution of 1 -(4-phenyl- lH-imidazole-2-yl)-ethyl amine (20 gm) and 5-formyl-2-methoxy-benzoic acid methyl ester (20 gm) in methanol was added catalytic amount of acetic acid (3 ml). The reaction mixture was cooled at 5°C-10°C and sodium borohydride (4 gm) was added. The reaction mixture was further stirred for 2-3 hours at room temperature. The resultant mixture was diluted with water and then partially concentrated. To this mixture was added 2N HCl solution followed by addition of dichloromethane. The phases were separated and the pH (9-1 1) of aqueous layer was adjusted using 2N NaOH solution; which was further extracted with dichloromethane. The combined organic layers were concentrated under vacuum to afford titled compound as oil (yield: 40 gm).

Step 2- Preparation of 5-({[2-tert-butoxycarbonylmethyl-3-(4-carbamoyl-2,6-dimethyl- phenyl)-propionyl] – [ 1 -(4-phenyl- 1 H-imidazol-2-yl)-ethyl] -amino} -methyl)-2-methoxy- benzoic acid methyl ester

Figure imgf000023_0002

To a stirring mixture of 2-tert-butoxycarbonylamino-3-(4-carbamoyl-2,6- dimethyl-phenyl-propionic acid (100 gm), l-ethyl-3-(3- dimethylaminopropyl)carbodiimide hydrochloride (159.4 gm) and 1- hydroxybenzotriazole (45.4 gm) in dimethylformamide (80 ml) & dichloromethane (1920 ml) was added 5-({[2-amino-3-(4-carbamoyl-2,6-dimethyl-phenyl)-propionyl]-[l-(4- phenyl-lH-imidazol-2-yl)-ethyl] -amino }-methyl)-2-methoxy-benzoic acid (step 1 product, 146.6 gm). The resulting mixture was stirred at room temperature for overnight and further diluted with water. The separated organic phase was washed sequentially with aqueous Na2C03 solution, IN HCl solution, water and brine. After concentration, the residue was further dissolved in DCM. The resultant solution was washed sequentially with water & IN HCl solution and then concentrated under vacuum to afford titled compound (yield: 145 gm).

Step 3- Preparation of methyl 5-((2-amino-3-(4-carbamoyl-2,6-dimethylphenyl)-N-(l-(4- phenyl- 1 H-imidazol-2-yl)ethyl) enzoate

Figure imgf000024_0001

To a stirred solution of 5-({[2-tert-butoxycarbonylmethyl-3-(4-carbamoyl-2,6- dimethyl-phenyl)-propionyl] – [ 1 -(4-phenyl- 1 H-imidazol-2-yl)-ethyl] -amino } -methyl)-2- methoxy-benzoic acid methyl ester (step -2 product, 20 gm) in THF (80 ml) was added Cone. HCl solution (30 ml). The reaction mixture was heated at 40°C-45°C. After completion of reaction, the mixture was concentrated and resultant residue was diluted with water. The pH (9-10) was adjusted using 3N NaOH solution; and resultant stick mass was dissolved in methanol. The resultant solution was concentrated under vacuum to afford titled compound (yield: 18.1 gm).

Step 4- Preparation of Eluxadoline

Figure imgf000025_0001

Into an ice cooled solution of methyl 5-((2-amino-3-(4-carbamoyl-2,6- dimethylphenyl)-N-( 1 -(4-phenyl- 1 H-imidazol-2-yl)ethyl)propanamido)methyl)-2- methoxybenzoate (step 3 product, 15 gm) in methanol was added an aqueous lithium hydroxide (3.23 gm in 30 ml water) and resultant mixture was heated at 40°C-45°C. After completion of reaction, mixture was concentrated and further diluted with water. The pH (6-7) was adjusted using 2N citric acid and resultant residue was dissolved in methanol. The resultant solution was added slowly to the acetone and stirring was continued for overnight. The solid precipitated was filtered, washed with acetone and dried to obtain an amorphous form of titled compound (Yield: 3.50 gm).

Example 2

Preparation of Eluxadoline

Step 1 : Preparation of 5-( {[2-tert-butoxycarbonylamino-3-(4-carbamoyl-2,6-dimethyl- phenyl)-propionyl] – [ 1 -(4-phenyl- 1 W-imidazol-2-yl)-ethyl] -amino } -methyl)-2-methoxy- benzoic acid

Figure imgf000025_0002

Into an ice cooled solution of 5-({[2-tert-butoxycarbonylmethyl-3-(4-carbamoyl- 2,6-dimethyl-phenyl)-propionyl] – [ 1 -(4-phenyl- 1 H-imidazol-2-yl)-ethyl] -amino } -methyl)- 2-methoxy-benzoic acid methyl ester (160 gm) in methanol (800 ml) was added an aqueous solution of lithium hydroxide (29.46 gm in 350 ml water) and resultant mixture was stirred at room temperature for overnight. After completion of reaction, mixture was partially concentrated and further diluted with water. The pH (4-5) was adjusted using 2N citric acid and further stirred for 60 min. The solid precipitated was filtered, washed with water and dried to obtain titled compound (yield: 140 gm). Step 2: Preparation of Eluxadoline

To a stirred solution of 5-( {[2-tert-butoxycarbonylamino-3-(4-carbamoyl-2,6- dimethyl-phenyl)-propionyl] – [ 1 -(4-phenyl- 1 H-imidazol-2-yl)-ethyl] -amino } -methyl)-2- methoxy-benzoic acid (step-1 product, 100 gm) in acetone (1200 ml) was added Cone. HC1 solution (50 ml). The reaction mixture was heated at 40°C-45°C. After completion of reaction, the supernatant solution was decanted; resultant residue was rinsed with acetone and further dissolved in water. The pH (6-7) was adjusted using IN NaOH solution and the precipitated was filtered, washed with water and dried to obtain an amorphous form of eluxadoline (yield: 72 gm).

Example 3

Preparation of Eluxadoline

To a stirred solution of 5-( {[2-tert-butoxycarbonylamino-3-(4-carbamoyl-2,6- dimethyl-phenyl)-propionyl] – [ 1 -(4-phenyl- 1 -imidazol-2-yl)-ethyl] -amino } -methyl)-2- methoxy-benzoic acid (50 gm) in dichloromethane (250 ml) were added solution of Cone. HC1 (50 ml) and water (50 ml). The reaction mixture was heated at 35°C-40°C and further stirred for 10-20 minutes. Tetrahydrofuran (50 ml) & Cone. HC1 (20 ml) were added to the sticky mass and reaction mixture was heated at 40°C for 2 hours. After completion of reaction, the mixture was diluted with water. The pH (6-7) was adjusted using 4N NaOH solution and the obtained sticky mass was dissolved in methanol. The resultant solution was concentrated under vacuum to afford eluxadoline (yield: 16 gm).

Example 4

Preparation of amorphous form of eluxadoline Eluxadoline (1 gm) was dissolved in methanol (20 ml) at 25-30°C. Water (60 ml) was added to the resultant solution and stirred for 15-20 minutes. The resultant slurry was filtered, washed with water and further dried to obtain amorphous form of eluxadoline (Yield: 0.80 gm).

Example 5

Preparation of amorphous form of eluxadoline

Eluxadoline (1 gm) was dissolved in methanol (20 ml) at 25-30°C. Acetone (80 ml) was added to the resultant solution and stirred for 15-20 minutes. The resultant slurry was filtered, washed with acetone and further dried to obtain amorphous form of eluxadoline (Yield: 0.80 gm).

Example 6

Preparation of Form L of eluxadoline

Eluxadoline (1 gm) was charged into flask containing acetonitrile (60 ml) and slurried for 24 hours to 25 hours at 50°C. The resultant solid was filtered, and dried to obtain titled compound (Yield: 0.80 gm).

clip

Eluxadoline (Viberzi)

Eluxadoline, originally developed by Janssen and currently marketed by Allergan (formerly Actavis), was approved in May 2015 by the FDA for the treatment of diarrhea-predominant irritable bowel syndrome (IBS-D).(60)
Eluxadoline, an orally dosed agent, employs a unique mechanism for IBS-D treatment, as it functions simultaneously as a μ- and κ-opioid receptor agonist and a δ-opioid receptor antagonist,(61) leading to a first-in-class therapy for treatment of IBS-D. Specifically, in animal studies, eluxadoline was found to interact with opioid receptors in the gut, inhibiting neurogenically mediated secretion and reducing intestinal contractility.(62)
Additionally, the treatment led to a decrease in stress-induced acceleration of upper GI transit without causing rebound constipation,(60-62) earning its mark as a first-line therapeutic treatment for IBS-D. In two phase III clinical trials of over 2400 patients with IBS-D, patients taking eluxadoline showed a greater improvement toward the end point (≥30% improvement from their baseline IBS-D score on at least 50% of days treated with eluxadoline) compared to patients treated with placebo.(63)
The synthesis of eluxadoline begins with preparation of advanced coupling component 85, which could be completed via a four-step route from commercially available N-Boc-protected aminoester 83 (Scheme 15).(64) Triflate formation using N-phenyltrifluoromethanesulfinimide in DCM under basic conditions led to nearly quantitative yield of the desired triflate, which was subjected to a carbonylation reaction to yield aryl acid 84 in 94% yield. Employing NH4Cl as a source of ammonia, amidation of 84 took place in the presence of PyBOP/HOBt and DIPEA in DMF. Finally, acid 85 was revealed upon methyl ester saponification with aqueous LiOH in THF. This sequence provided 85 without purification ,and this acid could be used directly as applied in Scheme 16.(64)
Scheme 15. Synthesis of Eluxadoline Intermediate 85
Scheme 16. Synthesis of Eluxadoline (XII)
With coupling component 85 in hand, the synthesis of eluxadoline proceeds as described in Scheme 16 and initiated from a HOBt and EDC·HCl-mediated coupling of commercial N-Cbz-l-alanine (86) with commercial 2-amino acetophenone hydrochloride (87) to provide intermediate 88in 83% yield.(64, 65) Addition of NH4OAc and AcOH to a suspension of 88 in refluxing xylenes furnished the desired imidazole in excellent yield (95%). Submission of this N-Cbz-imidazole to hydrogenation conditions (H2, Pd/C, MeOH) enabled liberation of the free amine to access 89 in quantitative yield following filtration and concentration. From intermediate 89, reductive amination with commercially available aryl aldehyde 90 under standard conditions (NaBH4, MeOH) followed by subsequent coupling of the corresponding crude amine with acid 85 using HOBt/EDC·HCl enabled formation of the carbon framework of eluxadoline (91). Saponification of the ester within 91 with LiOH in MeOH/THF yielded the corresponding acid in quantitative yield. Immediate subjection of this intermediate to acidic conditions (HCl in EtOAc/THF) led to N-Boc cleavage and isolation of eluxadoline (XII) as the bis-HCl salt in 71% yield, requiring no further purification.(64, 65) It should be noted that since this initial report, additional details for the isolation of eluxadoline in high purity in various crystal forms and as a zwitterion have been reported,(66) although most reported routes described isolation of this drug in its HCl salt form.(64, 65)
  1. 60.Garnock-JonesK. P. Eluxadoline: First Global Approval Drugs 2015751305– 1310 DOI: 10.1007/s40265-015-0436-4

  2. 61.DavenportJ. M.CovingtonP.BonifacioL.McIntyreG.VenitzJ. Effect of Uptake Transporters OAT3 and OATP1B1 and Efflux Transporter MRP2 on the Pharmacokinetics of Eluxadoline J. Clin. Pharmacol.201555534– 542 DOI: 10.1002/jcph.442

  3. 62.WadeP. R.PalmerJ. M.McKenneyS.KenigsV.ChevalierK.MooreB. A.MabusJ. R.;SaundersP. R.WallaceN. H.SchneiderC. R.KimballE. S.BreslinH. J.HeW.HornbyP. J.Modulation of Gastrointestinal Function by MuDelta, a Mixed μ Opioid Receptor Agonist/δ Opioid Receptor Antagonist Br. J. Pharmacol. 20121671111– 1125 DOI: 10.1111/j.1476-5381.2012.02068.x

  4. 63.LemboA. J.LacyB. E.ZuckermanM. J.ScheyR.DoveL. S.AndraeD. A.DavenportJ. M.;McIntyreG.LopezR.TurnerL.CovingtonP. S. Eluxadoline for Irritable Bowel Syndrome with DiarrheaN. Engl. J. Med. 2016374242– 253 DOI: 10.1056/NEJMoa1505180

  5. 64.BreslinH. J.CaiC.HeW.KavashR. W. Preparation of Imidazole Derivatives as Opioid Receptor Modulators. WO 20050203143A1, 2005.

  6. 65.caiC.HeW. Process for the Preparation of Amino Acid Derivatives as Opioid Modulators. WO 2006099060A1, 2006.
                   12-24-2010
                          NOVEL COMPOUNDS AS OPIOID RECEPTOR MODULATORS
                    8-32-2010
                          Compounds as opioid receptor modulators
                   6-23-2010
                          Compounds as opioid receptor modulators
                   2-12-2010
                          PROCESS FOR THE PREPARATION OF OPIOD MODULATORS
                   12-9-2009
                          Process for the preparation of opioid modulators
US7629488 * Mar 6, 2006 Dec 8, 2009 Janssen Pharmaceutica N.V. Process for the preparation of opioid modulators
US7741356 * Mar 14, 2005 Jun 22, 2010 Janssen Pharmaceutica N.V. Compounds as opioid receptor modulators
US7786158 * Oct 24, 2007 Aug 31, 2010 Janssen Pharmaceutica N.V. Compounds as opioid receptor modulators
US7994206 Jul 7, 2008 Aug 9, 2011 Janssen Pharmaceutica, N.V. Crystals and process of making 5-({[2-amino-3-(4-carbamoyl-2,6-dimethyl-phenyl)-propionyl]-[1-(4-phenyl-1H-imidazol-2-yl)-ethyl]-amino}-methyl)-2-methoxy-benzoic acid
CN1950342A Mar 14, 2005 Apr 18, 2007 詹森药业有限公司 Novel compounds as opioid receptor modulators

References

  1. Jump up to:a b c “Viberzi (eluxadoline) Tablets, for Oral Use, CIV. Full Prescribing Information”. Actavis Pharma, Inc. Parsippany, NJ 07054 USA. Retrieved 26 December 2015.
  2. ^ “Truberzi”European Medicines Agency. 29 September 2016.
  3. ^ Fragkos, Konstantinos C (2017-09-25). “Spotlight on eluxadoline for the treatment of patients with irritable bowel syndrome with diarrhea”Clinical and Experimental Gastroenterology10: 229–240. doi:10.2147/ceg.s123621.
  4. ^ “FDA approves two therapies to treat IBS-D”http://www.fda.gov. Retrieved 2015-06-01.
  5. ^ “Viberzi Information from Drugs.com”http://www.drugs.com. Retrieved 2015-06-01.
  6. ^ Limbo AJ, et al. Eluxadoline in Irritable Bowel Syndrome with Diarrhea. NEJM 2016;374:242-53
  7. ^ Commissioner, Office of the (15 March 2017). “Safety Alerts for Human Medical Products – Viberzi (eluxadoline): Drug Safety Communication – Increased Risk of Serious Pancreatitis In Patients Without A Gallbladder”http://www.fda.gov. Retrieved 19 March 2017.
  8. Jump up to:a b Brooks, Megan (March 2017). “FDA: Avoid IBS Drug Viberzi in Patients With No Gallbladder”http://www.medscape.com. Retrieved 2017-09-18.
  9. Jump up to:a b Commissioner, Office of the. “Safety Alerts for Human Medical Products – Viberzi (eluxadoline): Drug Safety Communication – Increased Risk of Serious Pancreatitis In Patients Without A Gallbladder”http://www.fda.gov. Retrieved 2017-09-18.
  10. ^ “bismuth subsalicylate”reference.medscape.com. Retrieved 2016-05-10.
  11. ^ Levy-Cooperman, N; McIntyre, G; Bonifacio, L; McDonnell, M; Davenport, JM; Covington, PS; Dove, LS; Sellers, EM (December 2016). “Abuse Potential and Pharmacodynamic Characteristics of Oral and Intranasal Eluxadoline, a Mixed μ- and κ-Opioid Receptor Agonist and δ-Opioid Receptor Antagonist”The Journal of Pharmacology and Experimental Therapeutics359 (3): 471–481. doi:10.1124/jpet.116.236547PMC 5118645PMID 27647873.
  12. ^ “Actavis Announces FDA Acceptance for Filing of NDA for Eluxadoline”http://www.drugs.com. Retrieved 2015-06-01.
  13. ^ “FDA Approves Viberzi (eluxadoline) for Irritable Bowel Syndrome with Diarrhea (IBS-D) in Adults”http://www.drugs.com. Retrieved 2015-06-01.
  14. ^ Davenport, J. Michael; Covington, Paul; Bonifacio, Laura; McIntyre, Gail; Venitz, Jürgen (2015). “Effect of uptake transporters OAT3 and OATP1B1 and efflux transporter MRP2 on the pharmacokinetics of eluxadoline”The Journal of Clinical Pharmacology55 (5): 534–542. doi:10.1002/jcph.442ISSN 0091-2700PMC 4402028.
  15. ^ [1], Process of the Preparation of Opioid modulators.

The active ingredient in VIBERZI is eluxadoline, a mu-opioid receptor agonist.

The full chemical name is 5-[[[(2S)-2-amino-3-[4-(aminocarbonyl)-2,6-dimethylphenyl]-1- oxopropyl][(1S)-1-(4-phenyl-1H-imidazol-2-yl)ethyl]amino]methyl]-2-methoxybenzoic acid.

Eluxadoline has a molecular weight of 569.65 and a molecular formula of C32H35N5O5. The chemical structure of eluxadoline is:

VIBERZI (eluxadoline) Structural Formula Illustration

VIBERZI is available as 75 mg and 100 mg tablets for oral administration. In addition to the active ingredient, eluxadoline, each tablet contains the following inactive ingredients: silicified microcrystalline cellulose, colloidal silica, crospovidone, mannitol, magnesium stearate, and Opadry II (partially hydrolyzed polyvinyl alcohol, titanium dioxide, polyethylene glycol, talc, iron oxide yellow, and iron oxide red).

Eluxadoline
Eluxadoline.svg
Eluxadoline ball-and-stick model.png
Clinical data
Trade names Viberzi (US), Truberzi (Europe)
Synonyms JNJ-27018966
License data
Routes of
administration
Oral
ATC code
Legal status
Legal status
Pharmacokinetic data
Protein binding 81%
Elimination half-life 3.7–6 hours
Excretion 82.2% (feces), <1% (urine)[1]
Identifiers
CAS Number
PubChem CID
IUPHAR/BPS
ChemSpider
UNII
KEGG
Chemical and physical data
Formula C32H35N5O5
Molar mass 569.6508 g/mol
3D model (JSmol)
Patent ID

Title

Submitted Date

Granted Date

US2017304268 OPIOID RECEPTOR MODULATOR DOSAGE FORMULATIONS
2017-05-05
US7629488 Process for the preparation of opioid modulators
2006-09-21
2009-12-08
Patent ID

Title

Submitted Date

Granted Date

US9789125 NOVEL CRYSTALS AND PROCESS OF MAKING 5-(-METHYL)-2-METHOXY-BENZOIC ACID
2016-06-02
US9364489 NOVEL CRYSTALS AND PROCESS OF MAKING 5-(-METHYL)-2-METHOXY-BENZOIC ACID
2015-07-22
2016-01-21
US9701647 Tetrazolones as a carboxylic acid bioisosteres
2016-08-10
2017-07-11
US9439888 Tetrazolones as a carboxylic acid bioisosteres
2016-01-25
2016-09-13
US2010036132 PROCESS FOR THE PREPARATION OF OPIOD MODULATORS
2010-02-11
Patent ID

Title

Submitted Date

Granted Date

US9700542 NOVEL COMPOUNDS AS OPIOID RECEPTOR MODULATORS
2015-10-12
2016-02-04
US9675587 OPIOID RECEPTOR MODULATOR DOSAGE FORMULATIONS
2013-03-14
2014-09-18
US9205076 NOVEL COMPOUNDS AS OPIOID RECEPTOR MODULATORS
2014-05-20
2014-09-11
US9115091 Crystals and process of making 5-({[2-amino-3-(4-carbamoyl-2, 6-dimethyl-phenyl)-propionyl]-[1-(4-phenyl—1H-imidazol-2-yl)-ethyl]-amino}-methyl)-2-methoxy-benzoic acid
2014-08-14
2015-08-25
US8691860 Crystals and process of making 5-({(2-amino-3-(4-carbamoyl-2, 6-dimethyl-phenyl)-propionyl]-[1-(-4-phenyl-1h-imidazol-2-yl)-ethyl]-amino}-methyl)-2-methoxy-benzoic acid
2013-06-24
2014-04-08
Patent ID

Title

Submitted Date

Granted Date

US8772325 Compounds as opioid receptor modulators
2013-10-03
2014-07-08
US8609709 Compounds as opioid receptor modulators
2012-11-30
2013-12-17
US8344011 NOVEL COMPOUNDS AS OPIOID RECEPTOR MODULATORS
2010-12-23
US7786158 Compounds as opioid receptor modulators
2008-04-24
2010-08-31
US7741356 Compounds as opioid receptor modulators
2005-09-15
2010-06-22

//////////////////JNJ-27018966, iberzi, элуксадолин ,إيلوكسادولين ,艾沙多林 ,ELUXADOLINE, FDA 2015, エルクサドリン,

CC1=CC(=CC(=C1CC(C(=O)N(CC2=CC(=C(C=C2)OC)C(=O)O)C(C)C3=NC=C(N3)C4=CC=CC=C4)N)C)C(=O)N

ROLAPITANT, ロラピタント


ROLAPITANT HYDROCHLORIDE

  • Rolapitant HCl
  • Rolapitant hydrochloride
  • Sch 619734
  • SCH619734
  • UNII-57O5S1QSAQ

(5S ,8S)-8-[[(1R)-1-[3 ,5-
Bis(trifluoromethyl)phenyl] ethoxy] methyl]-8-phenyl-1,7-
diazaspiro[4.5]decan-2-one hydrochloride monohydrate.

CAS 914462-92-3

Empirical Formula: C25H26F6N2O2 · HCl · H2O, Molecular Weight:  555

USAN Name: Rolapitant hydrochloride, INN Name:  rolapitantum or rolapitant

CAS Number: 552292-08-7 (rolapitant free base); 914462-92-3 (rolapitant HCl monohydrdate).

ChemSpider 2D Image | rolapitant | C25H26F6N2O2

Rolapitant

  • Molecular FormulaC25H26F6N2O2
  • Average mass500.477 Da
(5S,8S)-8-({(1R)-1-[3,5-Bis(trifluorométhyl)phényl]éthoxy}méthyl)-8-phényl-1,7-diazaspiro[4.5]décan-2-one
1,7-Diazaspiro[4.5]decan-2-one, 8-[[(1R)-1-[3,5-bis(trifluoromethyl)phenyl]ethoxy]methyl]-8-phenyl-, (5S,8S)-
552292-08-7 [RN]
8882
NLE429IZUC
SCH 619734
SCH-619734
Varubi®
UNII-NLE429IZUC
(5S,8S)-8-(((R)-1-(3,5-bis(trifluoromethyl)phenyl)ethoxy)methyl)-8-phenyl-1,7-diazaspiro[4.5]decan-2-one
Rolapitant Hydrochloride Hydrate was approved by the U.S. Food and Drug Administration (FDA) on Sep 1, 2015. It was developed by Tesaro, then marketed as Varubi® by Tesaro in US.
Rolapitant Hydrochloride Hydrate is a selective and competitive antagonist of human substance P/NK1 receptors used to treat chemotherapy-induced nausea and vomiting.
Varubi® is available as tablet for oral use, containing 90 mg of free Rolapitant. The recommended dose is 180 mg approximately 1 to 2 hours prior to the start of chemotherapy.
Rolapitant hydrochloride hydrate, originally discovered by Schering-Plough and later developed by TESARO, Inc., was approved by the FDA in September 2015 for the prevention of delayed chemotherapy-induced nausea and vomiting (CINV) in combination with other antiemetic agents. Rolapitant is a highly selective NK-1 receptor antagonist, exhibiting >1000-fold selectivity for NK-1 over human NK-2 and NK-3 receptors in vitro.
In contrast to other NK-1 inhibitors that play an essential role in delayed CINV therapy, rolapitant shows no inhibition of CYP3A4, eliminating the need for concern when coadministering with CYP34A substrates. Additionally, rolapitant is an orally active agent with a relatively long half-life (180 h), providing potential opportunities for single- and prechemotherapy-based treatments.
In three large clinical trials involving patients receiving moderately emetogenic chemotherapy (MEC) and highly emetogenic chemotherapy (HEC), subjects using rolapitant as a cotherapy with granisetron and dexamethasone showed a significant improvement in complete response compared to those receiving treatments of granisetron and dexamethasone.

It is in late-stage trials of its drug rolapitant, which showed promising mid-stage results in reducing nausea and vomiting in patients undergoing chemotherapy

Rolapitant hydrochloride is a tachykinin neurokinin 1 (NK1) antagonist in phase III clinical trials at Tesaro for the prevention of chemotherapy-induced nausea and vomiting (CINV). Phase II clinical trials are also under way at OPKO for this indication. At Merck & Co., phase II clinical studies were also under way for the treatment of chronic idiopathic cough and for the prevention of chemotherapy-induced nausea; however, no recent developments have been reported for these indications.

NK1 is a G-protein coupled receptor found in the central and peripheral nervous systems. Substance P is the endogenous ligand for this receptor, whose activation leads to the production of inositol triphosphate. NK1 is believed to be involved in the emetic response.

The drug candidate was originally developed by Schering-Plough (now Merck & Co.), and in 2009 it was licensed to OPKO for the prevention of nausea and vomiting related to cancer chemotherapy and surgery. In 2010, rolapitant was licensed by OPKO to Tesaro on a worldwide basis for the prevention of chemotherapy-induced nausea and vomiting.

Rolapitant is a selective, bioavailable, CNS penetrant neurokinin NK1 receptor antagonist that shows behavioral effects in animals models of emesis. In vitro studies indicate that rolapitant has a high affinity for the human NK1 receptor of 0.66 nM and high selectivity over the human NK2 and NK3 subtypes of >1000-fold. Rolapitant is a functionally competitive antagonist, as measured by calcium efflux, with a calculated Kb of 0.17 nM.  (source: Pharmacol Biochem Behav.2012 Mar 31.

Rolapitant is a potent, selective NK1 receptor antagonist that is rapidly absorbed, has a remarkably long half-life (up to180 hours), and appears to have a low potential for drug-drug interactions.  A randomized, multicenter, double-blind, dose-ranging study of rolapitant was conducted with placebo and active control groups. Six hundred nineteen adult women undergoing open abdominal surgery were randomly assigned in equal ratios to 1 of 6 study arms: oral rolapitant in 5-mg, 20-mg, 70-mg, or 200-mg doses; IV ondansetron 4 mg; or placebo, stratified by history of PONV or motion sickness. The primary study endpoint was absence of emetic episodes, regardless of use of rescue medication, at 24 hours after extubation.RESULTS: Groups assigned to rolapitant 20-mg, 70-mg, and 200-mg had a higher incidence of no emesis in comparison with placebo at 24 hours after surgery. A linear relationship between rolapitant dose and primary outcome was seen. The probability of an emetic episode was significantly lower in the rolapitant 70-mg and 200-mg groups in comparison with placebo (P ≤ 0.001 based on the log-rank test). No significant differences were noted between rolapitant and the active control (ondansetron) at 24 hours after surgery, but there was a higher incidence of no emesis (regardless of rescue medication use) in the rolapitant 200- and 70-mg groups at 72 and 120 hours, respectively. CONCLUSION: Rolapitant is superior to placebo in reducing emetic episodes after surgery and reduces the incidence of vomiting in a dose-dependent manner. No differences in side effect profile were observed between rolapitant and placebo.

Rolapitant (INN,[2] trade name Varubi /vəˈrbi/ və-ROO-bee in the US and Varuby in Europe) is a drug originally developed by Schering-Plough and licensed for clinical development by Tesaro, which acts as a selective NK1 receptor antagonist (antagonist for the NK1 receptor).[3] It has been approved as a medication for the treatment of chemotherapy-induced nausea and vomiting (CINV) after clinical trials showed it to have similar or improved efficacy and some improvement in safety over existing drugs for this application.[4][5][6][7

Medical uses

Rolapitant is used in combination with other antiemetic (anti-vomiting) agents in adults for the prevention of delayed nausea and vomiting associated with initial and repeat courses of emetogenic cancer chemotherapy, including, but not limited to, highly emetogenic chemotherapy.[1] The approved antiemetic combination consists of rolapitant plus dexamethasone and a 5-HT3 antagonist.[8]

Contraindications

Under the US approval, rolapitant is contraindicated in combination with thioridazine, whose inactivation could be inhibited by rolapitant.[9] Under the European approval, it is contraindicated in combination with St. John’s Wort, which is expected to accelerate inactivation of rolapitant.[8]

Side effects

In studies comparing chemotherapy plus rolapitant, dexamethasone and a 5-HT3 antagonist to chemotherapy plus placebo, dexamethasone and a 5-HT3 antagonist, most side effects had comparable frequencies in both groups, and differed more between chemotherapy regimens than between rolapitant and placebo groups. Common side effects included decreased appetite (9% under rolapitant vs. 7% under placebo), neutropenia (9% vs. 8% or 7% vs. 6%, depending on the kind of chemotherapy), dizziness (6% vs. 4%), indigestion and stomatitis (both 4% vs. 2%).[9]

Overdose

Up to eightfold therapeutic doses have been given in studies without problems.[8]

Interactions

Rolapitant moderately inhibits the liver enzyme CYP2D6. Blood plasma concentrations of the CYP2D6 substrate dextromethorphanhave increased threefold when combined with rolapitant; and increased concentrations of other substrates are expected. The drug also inhibits the transporter proteins ABCG2 (breast cancer resistance protein, BCRP) and P-glycoprotein (P-gp), which has been shown to increase plasma concentrations of the ABCG2 substrate sulfasalazine twofold and the P-gp substrate digoxin by 70%.[8]

Strong inducers of the liver enzyme CYP3A4 decrease the area under the curve of rolapitant and its active metabolite (called M19); for rifampicin, this effect was almost 90% in a study. Inhibitors of CYP3A4 have no relevant effect on rolapitant concentrations.[8]

Pharmacology

Pharmacodynamics

Both rolapitant and its active metabolite M19 block the NK1 receptor with high affinity and selectivity: to block the closely related receptor NK2 or any other of 115 tested receptors and enzymes, more than 1000-fold therapeutic concentrations are necessary.[10]

Pharmacokinetics

The major active metabolite, M19 (C4-pyrrolidine-hydroxylated rolapitant).[8] The stereochemistry of the hydroxyl group is unknown.

Rolapitant is practically completely absorbed from the gut, independently of food intake. It undergoes no measurable first-pass effect in the liver. Highest blood plasma concentrations are reached after about four hours. When in the bloodstream, 99.8% of the substance are bound to plasma proteins.[8]

It is metabolized by the liver enzyme CYP3A4, resulting in the major active metabolite M19 (C4-pyrrolidine-hydroxylated rolapitant) and a number of inactive metabolites. Rolapitant is mainly excreted via the feces (52–89%) in unchanged form, and to a lesser extent via the urine (9–20%) in form of its inactive metabolites. Elimination half-life is about seven days (169 to 183 hours) over a wide dosing range.[8]

Chemistry

The drug is used in form of rolapitant hydrochloride monohydrate, a white to off-white, slightly hygroscopic crystalline powder. Its maximum solubility in aqueous solutions is at pH 2–4.[10]

Patents

WO 2003051840

PATENT

WO 2008118328

The preparation of diazaspirodecan-2-ones for example, 8-[{1-(3,5-Bis-(trifluoromethyl)phenyl)-ethoxy}-methyl]-8-phenyl-1,7-diaza-spiro[4.5]decan-2-one, for example, (5S,8S)-8-[{(1R)-1-(3,5-Bis-(trifluoromethyl)phenyl)-ethoxy}-methyl]-8-phenyl-1,7-diazaspiro[4.5]decan-2-one (the compound of Formula I) has been described in U.S. Pat. No. 7,049,320 (the ‘320 patent), issued May 23, 2006, the disclosure of which is incorporated herein in its entirety by reference.

Figure US08552191-20131008-C00001

The compounds described in the ‘320 patent are classified as tachykinin compounds, and are antagonists of neuropeptide neurokinin-1 receptors (herein, “NK-1” receptor antagonists). Other NKreceptor antagonists and their synthesis have been described, for example, those described in Wu et al, Tetrahedron 56, 3043-3051 (2000); Rombouts et al, Tetrahedron Letters 42, 7397-7399 (2001); and Rogiers et al, Tetrahedron 57, 8971-8981 (2001) and in published international application no. WO05/100358, each of which are incorporated herein in their entirety by reference.

“NK-1” receptor antagonists have been shown to be useful therapeutic agents, for example, in the treatment of pain, inflammation, migraine, emesis (vomiting), and nociception. Among many compounds disclosed in the above-mentioned ‘320 patent are several novel diazaspirodecan-2-ones, including the compound of Formula I, which are useful in the treatment of nausea and emesis associated with chemotherapy treatments (Chemotherapy-induced nausea and emesis, CINE).

The synthesis method for preparing the compound of Formula I described in the ‘320 patent generally follows Scheme I in the provision of 8-[{1-(3,5-Bis-(trifluoromethyl)phenyl)-ethoxyl}-methyl]-8-phenyl-1,7-diaza-spiro[4.5]decan-2-one compounds.

Figure US08552191-20131008-C00002
Figure US08552191-20131008-C00003
Figure US08552191-20131008-C00004

The process for the preparation of the compound of Formula I described in the ‘320 patent is carried out in 18 individual steps from commercially available starting materials (see the ‘320 patent at col. 43, line 55 to col. 45, line 20; col. 75. line 55 to col. 80, line 21; col. 90 lines 35 to 63; and col. 98, line 1 to col. 99. line 24). In many steps of the process described in the ‘320 patent, intermediate compounds must be isolated or isolated and purified before use in a subsequent step, often utilizing column chromatography for this purpose.

PATENT

US7049320

Examples 72a and 72b

Figure US07049320-20060523-C00153

Step 1:

Figure US07049320-20060523-C00154

To a solution of crude Compound 53 (19 g) in CH2Cl(300 ml) at RT, DIEA (15 ml, 0.087 mol) was added, followed by triphosgene (4.34 g, 0.015 mol). The mixture was stirred at RT for 18 h and was filtered through a pad of silica. Solvents were removed in vacuum to give crude Compound 60 as yellow oil which was used in the next reaction without further purifications.

Step 2:

Figure US07049320-20060523-C00155

To the crude Compound 60 in THF (200 ml) at 0° C., LiBH(1.26 g, 0.058 mol) was added in small portions. The mixture was stirred at RT for 18 h before quenching with saturated NH4Cl solution. Water and EtOAc were added to the mixture. Layers were separated and the aqueous layer was extracted with EtOAc (100×2). The combined organic layers were dried (MgSO4) and filtered. Solvents were removed in vacuum and purification by column chromatography [hexane-EtOAc, 4:1 (v/v)] gave Compound 61 (12.9 g, 62% overall) as white foam.

Step 3:

Oxalyl chloride (4.2 ml, 0.048 mol) was added to a solution of DMSO (6.8 m[, 0.096) in CH2Cl(300 ml) at −78° C. under N2. The mixture was stirred at −78° C. for 15 min before a solution of Compound 61 (8.5 g, 0.012 mol) in CH2Cl(100 ml) was added. The mixture was stirred at −78° C. for a further 1 h and Et3N (23.5 ml) was added. The cooling bath was removed and the mixture was warmed to RT before it was quenched with saturated NaHCOsolution. Layers were separated and the aqueous was extracted with CH2Cl(150 ml×2). The combined organic layers were dried (MgSO4) and filtered. Removal of solvents in vacuum gave an aldehyde as yellow oil. To a mixture of NaH (1.44 g, 0.036 mol) in THF at 0° C., methyl diethylphosphonoacetate (6.6 ml, 0.036 mol) was added. The mixture was stirred at 0° C. for 15 min and a solution of aldehyde in THF (100 ml) was added. The cooling bath was removed and the mixture was stirred at RT for 1 h. The reaction was quenched with saturated NH4Cl solution. Water and EtOAc were added to the mixture. Layers were separated and the aqueous layer was extracted with EtOAc (200 ml×2). The combined organic layers were dried (MgSO4) and filtered. Solvents were removed in vacuum and purification by column chromatography [hexane-EtOAc, 4:1 (v/v)] gave an ester as white foam. The ester was dissolved in EtOH (100 ml) and a catalytic amount of palladium (1.28 g, 10% on carbon) was added. The mixture was shaken under H(50 psi) for 2 days. Catalytic amount of Pd(OH)(20% on carbon) was then added to the mixture and the mixture was again shaken under H(50 psi) for 5 h. The mixture was filtered through a pad of Celite and solvents were removed in vacuum to give a white foam. The foam was then dissolved in CH2Cl(200 ml) and TFA (8.9 ml, 0.12 mol) was added. The mixture was stirred at RT for 18 h and was cooled at 0° C. before it was neutralized with saturated NaHCOsolution. Water and EtOAc were added to the mixture. Layers were separated and the aqueous layer was extracted with EtOAc (200 ml×2). The combined organic layers were dried (MgSO4) and filtered. Solvents were removed in vacuum to give a yellow oil. The oil was dissolved in CH3OH (50 ml) and a catalytic amount of K2CO(166 mg, 0.0012 mol) was added. The mixture was heated at 60° C. for 2 h. After being cooled to RT, the mixture was filtered through a pad of silica and solvents were removed in vacuum. Purification by column chromatography (EtOAc) gave the mixture of two isomers Example 72a and 72b (2.3 g, 38% overall) as white foam. Separation by HPLC using Chiralcel OD [hexane-isopropanol, 95:5 (v/v)] gave the less polar major isomer Example 72a as white foam. Electrospray MS [M+1]+=501.1. Continuous elution with the same solvent system gave the more polar minor isomer Example 72b as colorless oil.

Electrospray MS [M+1]+=501.1.

PATENT

US8552191

Figure US08552191-20131008-C00028

Figure US08552191-20131008-C00029

Figure US08552191-20131008-C00030

Figure US08552191-20131008-C00031

Figure US08552191-20131008-C00032

Example 6 Preparation of Formula I Compound Salt: (5S,8S)-8-({(1R)-1-[3,5-Bis(trifluoromethyl)phenyl]ethoxy}methyl)-8-phenyl-1,7-diazaspiro[4.5]decan-2-one hydrochloride monohydrate

Figure US08552191-20131008-C00033

…………………

Figure US08552191-20131008-C00016

Figure US08552191-20131008-C00017

https://www.google.it/patents/US8552191?hl=it&dq=WO+2008118328&ei=alDCUs-_KYiIrQeg3oCwDw&cl=en

……………

update added

By RTT News,  May 12, 2014,

(RTTNews.com) – TESARO Inc. ( TSRO ) announced positive top-line results from the third and final Phase 3 trial of rolapitant, an investigational neurokinin-1 or NK-1 receptor antagonist in development for the prevention of chemotherapy-induced nausea and vomiting (CINV).

The rolapitant arm in this trial, which enrolled patients receiving cisplatin-based, highly emetogenic chemotherapy or HEC, successfully achieved statistical significance over the standard therapy arm for the primary and all secondary endpoints. The adverse event profile for rolapitant remains consistent with that seen in previous clinical studies.

The third Phase 3 study of rolapitant was an international, multicenter, randomized, double-blind, active-controlled study that enrolled 532 cancer patients receiving cisplatin-based chemotherapy regimens at a dose equal to or greater than 60 mg/m2. Patients were randomized to receive either control, which consisted of a 5-HT3 receptor antagonist plus dexamethasone, or 200 milligrams of oral rolapitant plus control. The rolapitant arm in this study successfully achieved statistical significance over the control arm for the primary endpoint of complete response (CR) in the delayed phase of CINV.

In addition, the rolapitant arm also successfully achieved statistical significance over the control arm for the key secondary endpoints of CR in the acute (0 to 24 hour) and overall (0 to 120 hour) phases of CINV, for the secondary endpoint of no significant nausea, and for all other secondary endpoints.

Safety and tolerability data for patients who received rolapitant were similar to the results for those who received control, and were consistent with earlier clinical studies. The most frequently observed adverse events were balanced across treatment arms and included fatigue, constipation and loss of appetite.

The company noted that preparations continue in support of a submission of a New Drug Application (NDA) to the U.S. Food and Drug Administration (FDA) in mid-2014.

The oral rolapitant NDA will include data from one Phase 3 study in patients receiving moderately emetogenic chemotherapy (MEC), in addition to one Phase 2 and two Phase 3 trials in patients receiving cisplatin-based, highly emetogenic chemotherapy (HEC), including the trial announced today.

The top-line results of the Phase 3 trial in MEC and the prior Phase 3 trial in HEC were previously announced by TESARO in December 2013.

Rolapitant is an investigational agent and, as such, has not been approved by the U.S. FDA or any regulatory agencies.

CLIP

Rolapitant Hydrochloride Hydrate (Varubi)

Rolapitant hydrochloride hydrate, originally discovered by Schering-Plough and later developed by TESARO, Inc., was approved by the FDA in September 2015 for the prevention of delayed chemotherapy-induced nausea and vomiting (CINV) in combination with other antiemetic agents.(67) Rolapitant is a highly selective NK-1 receptor antagonist, exhibiting >1000-fold selectivity for NK-1 over human NK-2 and NK-3 receptors in vitro.(68) In contrast to other NK-1 inhibitors that play an essential role in delayed CINV therapy,(69) rolapitant shows no inhibition of CYP3A4,(68)eliminating the need for concern when coadministering with CYP34A substrates. Additionally, rolapitant is an orally active agent with a relatively long half-life (180 h),(68, 70) providing potential opportunities for single- and prechemotherapy-based treatments.(71)
In three large clinical trials involving patients receiving moderately emetogenic chemotherapy (MEC) and highly emetogenic chemotherapy (HEC), subjects using rolapitant as a cotherapy with granisetron and dexamethasone showed a significant improvement in complete response compared to those receiving treatments of granisetron and dexamethasone.(70, 72)
Rolapitant features a fascinating molecular architecture consisting of two tetrasubstituted stereogenic carbon centers situated at the 2- and 5-carbons within a central piperidine ring and a spirocyclic array residing at the 5-position and a phenyl ring and ethereal linkage branching from the 2-position (Scheme 17). The overall synthetic strategy to secure rolapitant hydrochloride hydrate relies upon the union of two advanced chiral building blocks that contain functional groups capable of securing the central piperidine ring. These two key intermediates, pyroglutamate derivative 93 and allylic amine 94, each bear one of the essential stereocenters embedded within the structure of the active pharmaceutical ingredient.(73) The first of these advanced intermediates, amidoaldehyde 93, is generated directly by base-mediated decomposition of pyroglutamic aminal 92, which was prepared according to the route shown in Scheme 18. Subjection of 92 to triethylamine in EtOH/H2O at ambient temperatures led to generation of chiral allyl aldehyde 93, which was not isolated but condensed immediately with amine 94 (Scheme 19) in the presence of refluxing toluene to provide divinyl imine 95, which underwent immediate reduction using NaBH(OAc)3 in AcOH/toluene to furnish the free amine.
The free amine was converted to the corresponding tosylate monohydrate salt and triturated, providing 96 as a white crystalline powder after subjection to TsOH·H2O in i-PrOH/H2O. Divinyl amine 96 could then be reacted with a solution of TsOH in toluene, distilled, and directly combined with a toluene solution of Hoveyda–Grubbs second-generation catalyst (HG-II) under heating conditions, leading to the desired ring-closing metathesis product 97 as the HCl salt (85% yield over two steps) after filtration, distillation, and workup with 12N HCl. Washing of a toluene solution of 97 with aqueous NaOH and subsequent treatment of the resulting organic solution with H2, wet Pd/C, and additional granular activated carbon (Nuchar Aquaguard) led to the fully reduced piperidine product in high yield (95%). Rolapitant hydrochloride hydrate XIII was accessed thereafter by precipitation from a solution of EtOH/i-PrOH/H2O/HCl, providing the product as a white solid (91% yield).(73)
 Figure
Scheme 17. Synthesis of Rolapitant Hydrochloride Hydrate (XIII)
Figure
Scheme 18. Synthesis of Fragment 92 of Rolapitant Hydrochloride Hydrate (XIII)
Figure
Scheme 19. Synthesis of Fragment 94 of Rolapitant Hydrochloride Hydrate (XIII)
Aldehyde precursor 92 was accessed in a four-step sequence starting from commercially available l-pyroglutamic acid 98 (Scheme 18).(73, 74) Condensation of 98 with trimethylacetaldehyde at elevated temperatures in the presence of methanesulfonic acid and NMP prior to careful addition of TFAA led to formation of pyrrolo-oxazolidone 99 in 72% yield. Deprotonation (LHMDS) and stereoselective alkylation of 99 with methyl formate, assisted by addition of copper chloride as a Lewis acid, provided access to carbaldehyde 100 in moderate yield (61%) as a single diastereomer(74) after aqueous workup and crystallization from MTBE.
Wittig olefination of aldehyde 100 (Ph3PCH3Br/LHMDS) followed by aqueous workup and precipitation of triphenylphosphine oxide via addition of MgCl2 constructed an allyl lactone intermediate in 63% yield as an off-white solid, which then immediately underwent partial reduction with LiAlH(Ot-Bu)3to smoothly deliver the key aldehyde precursor 92 in 83% yield as an inconsequential mixture of diastereomers (the stereocenter of consequence arose from the naturally occurring l-pyroglutamic acid 98), which could be employed directly in Scheme 17.(73)
Generation of 94 began with commercially available N-Cbz-(S)-phenylglycine 101 based on reports by O’Donnell and co-workers (Scheme 19).(75) Reaction of 101 with benzaldehyde dimethylacetal under Lewis acid conditions (BF3·Et2O) in diethyl ether led to high yield, diastereoselectivity, and enantioselectivity of trans-disubstituted oxazolidinone 102. In this case, selection of diethyl ether as a solvent was essential, as the use of DCM under similar reaction conditions favored formation of the undesired cis-product. Removal of the most acidic proton within 102 by means of KHMDS in toluene/THF, followed by alkylation with commercially available bromomethyl ether (103) in THF, led to 68% yield of 104 as a single diastereomer.(73, 76)
Reduction of 104 to the corresponding lactol (LiAlH4/Et2O) and subsequent ring opening with KHCO3/H2O in NMP yielded the intermediate aldehyde, which was readily converted to 105 via addition of the crude aldehyde solution to a mixture of Ph3PCH3Br and NaHMDS in toluene.
As described in Scheme 15, triphenylphosphine oxide scavenge by way of MgCl2 enabled generation of crude product in good purity after a simple filtration. TMSI-mediated Cbz removal converted 105to the resulting free amine. Formation of the maleic acid salt enabled the product to be isolated as a crystalline solid in high purity without chromatography. Treatment of the maleate salt with NaOH in toluene provided the free base 94, which was incorporated as previously described in Scheme 17 without the need for additional purification.(73)
  1. 67 . SyedY. Y. Rolapitant: First Global Approval Drugs 2015751941– 1945 DOI: 10.1007/s40265-015-0485-8

  2. 68.DuffyR. A.MorganC.NaylorR.HigginsG. A.VartyG. B.LachowiczJ. E.ParkerE. M. Rolapitant (SCH 619734): A Potent, Selective and Orally Active Neurokinin NK1 Receptor Antagonist with Centrally-mediated Antiemetic Effects in Ferrets Pharmacol., Biochem. Behav. 201210295– 100 DOI: 10.1016/j.pbb.2012.03.021

  3. 69.JanelsinsM. C.TejaniM. A.KamenC.PeoplesA. R.MustianK. M.MorrowG. R. Current Pharmacotherapy for Chemotherapy-induced Nausea and Vomiting in Cancer Patients Expert Opin. Pharmacother. 201314757– 766 DOI: 10.1517/14656566.2013.776541

  4. 70.NavariR. M. Rolapitant for the Treatment of Chemotherapy-induced Nausea and Vomiting Expert Rev. Anticancer Ther. 2015151127– 1133 DOI: 10.1586/14737140.2015.1088787

  5. 71.RomeroD. Chemotherapy Rolapitant – a New and Safer Antiemetic Agent Nat. Rev. Clin. Oncol. 201512,562 DOI: 10.1038/nrclinonc.2015.144

  6. 72.(a) SchwartzbergL. S.ModianoM. R.RapoportB. L.ChasenM. R.GridelliC.UrbanL.PomaA.;AroraS.NavariR. M.SchnadigI. D. Safety and Efficacy of Rolapitant for Prevention of Chemotherapy-induced Nausea and Vomiting after Administration of Moderately Emetogenic Chemotherapy or Anthracycline and Cyclophosphamide Regimens in Patients with Cancer: a Randomised, Active-controlled, Double-blind, Phase 3 Trial Lancet Oncol. 2015161071– 1078 DOI: 10.1016/S1470-2045(15)00034-0

    (b) RapoportB.SchwartzbergL.ChasenM.PowersD.AroraS.;NavariR.SchnadigI. Efficacy and Safety of Rolapitant for Prevention of Chemotherapy-induced Nausea and Vomiting Over Multiple Cycles of Moderately or Highly Emetogenic Chemotherapy Eur. J. Cancer 2016,5723– 30 DOI: 10.1016/j.ejca.2015.12.023

  7. 73.WuG. G.WerneG.FuX.OrrR. K.ChenF. X.CuiJ.SpragueV. M.ZhangF.XieJ.ZengL.;CastellanosL. P.ChenY.PoirierM.MergelsbergI. Process and Intermediates for the Synthesis of 8-[[1-[3,5-bis-(trifluoromethyl)phenyl]ethoxy]methyl]-8-phenyl-1,7-diazaspiro[4.5]decan-2-one Compounds. WO 2010028232A1, 2010.

  8. 74.DikshitD. K.MaheshwariA.PandayS. K. Self Reproduction of Chirality in Pyroglutamates: Reactions at α-Position with Electrophiles Tetrahedron Lett. 1995366131– 6134 DOI: 10.1016/0040-4039(95)01160-J

  9. 75.O’DonnellM. J.FangZ.MaX.HuffmanJ. C. New Methodology for the Synthesis of α,α-Dialkylamino Acids Using the ″Self-regeneration of Stereocenters″ Method: α-Ethyl-α-phenylglycine Heterocycles 1997,46617– 630 DOI: 10.3987/COM-97-S83

  10. 76.PaliwalS.ReichardG. A.WangC.XiaoD.TsuiH.-C.ShihN.-Y.ArredondoJ. D.WrobleskiM. L.;PalaniA. Preparation of Pyrrolidine and Piperidine Derivatives for Therapeutic Use as Neurokinin 1 (NK1) Receptor Antagonists. WO 2003051840A1, 2003.

REF

HETEROCYCLES 1997 46  PG 617 630

Paper | Special issue | Vol 46, No. 1, 1997, pp.617-630
Published online, 1st January, 1970

DOI: 10.3987/COM-97-S83
■ New Methodology for the Synthesis of α,α-Dialkylamino Acids Using the “Self-Regeneration of Stereocenters” Method: α-Ethyl-α-phenylglycine

Martin J. O’Donnell,* Zhiqiang Fang, Xiaojun Ma, and John C. Huffman

*Department of Chemistry, Indiana University-Purdue University at Indianapolis, Indianapolis, IN 46202, U.S.A.

Abstract

The stereoselective room temperature ethylations of protected oxazolidinones from phenylglycine by phase-transfer catalysis or with KOtBu as base are used to prepare optically active α-ethyl-α-phenylglycine.

PATENT

https://patents.google.com/patent/CN106866669A/en

⑴ Route A:

Figure CN106866669AD00041

[0005] ⑵ Route B:

Figure CN106866669AD00051

[0007] (3) Route C:

Figure CN106866669AD00052

[0009] Scheme C, wherein the method further comprises synthesizing Via, namely:

Figure CN106866669AD00061

Won] now, with respect to the other two routes, from the reaction step, time costs, material costs, product yield and product purity of view, comparing the current line C is respected, it is more suitable for production. But even so, there are still a number of route C the following questions:

[0012] [1], the synthesis of compound V, there is a slow reaction, and the reaction was not complete and so on;

[0013] [2], when Via a salt, the desired product is low chiral purity and yield to be improved;

[0014] [3], when VIII recrystallized grain size to be improved.

CLIP

Image result for rolapitant synthesis

References

1: Gan TJ, Gu J, Singla N, Chung F, Pearman MH, Bergese SD, Habib AS, Candiotti KA, Mo Y, Huyck S, Creed MR, Cantillon M; Rolapitant Investigation Group. Rolapitant for the prevention of postoperative nausea and vomiting: a prospective, double-blinded, placebo-controlled randomized trial. Anesth Analg.
2011 Apr;112(4):804-12. Epub 2011 Mar 8. PubMed PMID: 21385988.

2.  Reddy GK, Gralla RJ, Hesketh PJ. Novel neurokinin-1 antagonists as antiemetics for the treatment of chemotherapy-induced emesis. Support Cancer Ther. 2006 Apr 1;3(3):140-2. PubMed PMID: 18632487.

3. Drug Data Rep 2003, 25(8): 703

4. A multicenter, randomized, double blind, active-controlled study of the safety and efficacy of rolapitant for the prevention of chemotherapy-induced nausea and vomiting (CINV) in subjects receiving moderately emetogenic chemotherapy (NCT01500226)
ClinicalTrials.gov Web Site 2012, February 06

5. Efficacy and safety of rolapitant, a novel NK-1 receptor antagonist, for the prevention of chemotherapy-induced nausea and vomiting in subjects receiving highly emetogenic chemotherapy
48th Annu Meet Am Soc Clin Oncol (ASCO) (June 1-5, Chicago) 2012, Abst 9077

6. Proposed international nonproprietary names (Prop. INN): List 97
WHO Drug Inf 2007, 21(2): 160

References

  1. Jump up to:a b “Varubi (rolapitant) Tablets, for Oral Use. Full Prescribing Information” (PDF). TESARO, Inc. 1000 Winter St., #3300, Waltham, MA 02451.
  2. ^ “International Nonproprietary Names for Pharmaceutical Substances (INN). Recommended International Nonproprietary Names (Rec. INN): List 59” (PDF). World Health Organization. p. 64. Retrieved 5 October 2016.
  3. ^ Duffy, R. A; Morgan, C; Naylor, R; Higgins, G. A; Varty, G. B; Lachowicz, J. E; Parker, E. M (2012). “Rolapitant (SCH 619734): a potent, selective and orally active neurokinin NK1 receptor antagonist with centrally-mediated antiemetic effects in ferrets”. Pharmacol Biochem Behav102 (1): 95–100. doi:10.1016/j.pbb.2012.03.021PMID 22497992.
  4. ^ Jordan, K; Jahn, F; Aapro, M (2015). “Recent developments in the prevention of chemotherapy-induced nausea and vomiting (CINV): a comprehensive review”. Ann Oncol26 (6): 1081–90. doi:10.1093/annonc/mdv138PMID 25755107.
  5. ^ Nasir, S. S; Schwartzberg, L. S (2016). “Recent Advances in Preventing Chemotherapy-Induced Nausea and Vomiting”. Oncology30 (8): 750–62. PMID 27539626.
  6. ^ Rapoport, B; Schwartzberg, L; Chasen, M; Powers, D; Arora, S; Navari, R; Schnadig, I (2016). “Efficacy and safety of rolapitant for prevention of chemotherapy-induced nausea and vomiting over multiple cycles of moderately or highly emetogenic chemotherapy”. Eur J Cancer57: 23–30. doi:10.1016/j.ejca.2015.12.023PMID 26851398.
  7. ^ Chasen, M. R; Rapoport, B. L (2016). “Rolapitant for the treatment of chemotherapy-induced nausea and vomiting: a review of the clinical evidence”. Future Oncol12 (6): 763–78. doi:10.2217/fon.16.11PMID 26842387.
  8. Jump up to:a b c d e f g h “Varuby: EPAR – Product Information” (PDF)European Medicines Agency. 2017-05-31.
  9. Jump up to:a b FDA Professional Drug Information on Varubi. Accessed 2017-10-11.
  10. Jump up to:a b “Varuby: EPAR – Public assessment report” (PDF)European Medicines Agency. 2017-05-31.
Rolapitant
Rolapitant.svg
Clinical data
Pronunciation /rˈlæpɪtænt/ roh-LAP-i-tant
Trade names Varubi (US), Varuby (EU)
Synonyms SCH 619734
AHFS/Drugs.com varubi
License data
Routes of
administration
By mouth (tablets)
ATC code
Legal status
Legal status
Pharmacokinetic data
Bioavailability nearly 100%
Protein binding 99.8%
Metabolism CYP3A4
Metabolites C4-pyrrolidine-hydroxylated rolapitant (major)
Elimination half-life 169–183 hours
Excretion Feces (52–89%), urine (9–20%)[1]
Identifiers
CAS Number
PubChem CID
IUPHAR/BPS
DrugBank
ChemSpider
UNII
KEGG
ChEBI
Chemical and physical data
Formula C25H26F6N2O2
Molar mass 500.476 g/mol
3D model (JSmol)
/////////////ROLAPITANT, ロラピタント, FDA 2015, Schering-Plough, TESARO,

Selexipag, セレキシパグ ,селексипаг , سيليكسيباق ,


Selexipag.svg

ChemSpider 2D Image | Selexipag | C26H32N4O4S

Selexipag

  • Molecular FormulaC26H32N4O4S
  • Average mass496.622 Da

SelexipagUptravi

475086-01-2 CAS

(C26H32N4O4S, Mr = 496.6 g/mol)

A prostacyclin receptor (PGI2) agonist used to treat pulmonary arterial hypertension (PAH).

NIPPON SHINYAKU….INNOVATOR

セレキシパグ

UNII-5EXC0E384L
селексипаг [Russian] [INN]
سيليكسيباق [Amharic] [INN]
2-{4-[(5,6-diphenylpyrazin-2-yl)(propan-2-yl)amino]butoxy}-N-(methylsulfonyl)acetamide
475086-01-2 [RN]
5EXC0E384L
9231
Acetamide, 2-[4-[(5,6-diphenyl-2-pyrazinyl)(1-methylethyl)amino]butoxy]-N-(methylsulfonyl)-

Selexipag (brand name Uptravi) is a drug developed by Actelion for the treatment of pulmonary arterial hypertension (PAH). Selexipag and its active metaboliteACT-333679 (MRE-269) (the free carboxylic acid), are agonists of the prostacyclin receptor, which leads to vasodilation in the pulmonary circulation.[1]

FDA approves new orphan drug to treat pulmonary arterial hypertension

12/22/2015
On December 21, the U.S. Food and Drug Administration approved Uptravi (selexipag) tablets to treat adults with pulmonary arterial hypertension (PAH), a chronic, progressive, and debilitating rare lung disease that can lead to death or the need for transplantation.

December 22, 2015

On December 21, the U.S. Food and Drug Administration approved Uptravi (selexipag) tablets to treat adults with pulmonary arterial hypertension (PAH), a chronic, progressive, and debilitating rare lung disease that can lead to death or the need for transplantation.

“Uptravi offers an additional treatment option for patients with pulmonary arterial hypertension,” said Ellis Unger, M.D., director of the Office of Drug Evaluation I in the FDA’s Center for Drug Evaluation and Research. “The FDA supports continued efforts to provide new treatment options for rare diseases.”

PAH is high blood pressure that occurs in the arteries that connect the heart to the lungs. It causes the right side of the heart to work harder than normal, which can lead to limitations on exercise ability and shortness of breath, among other more serious complications.

Uptravi belongs to a class of drugs called oral IP prostacyclin receptor agonists. The drug acts by relaxing muscles in the walls of blood vessels to dilate (open) blood vessels and decrease the elevated pressure in the vessels supplying blood to the lungs.

Uptravi’s safety and efficacy were established in a long-term clinical trial of 1,156 participants with PAH. Uptravi was shown to be effective in reducing hospitalization for PAH and reducing the risks of disease progression compared to placebo. Participants were exposed to Uptravi in this trial for a median duration of 1.4 years.

Common side effects observed in those treated with Uptravi in the trial include headache, diarrhea, jaw pain, nausea, muscle pain (myalgia), vomiting, pain in an extremity, and flushing.

Uptravi was granted orphan drug designation. Orphan drug designation provides incentives such as tax credits, user fee waivers, and eligibility for exclusivity to assist and encourage the development of drugs for rare diseases.

Uptravi is marketed by San Francisco-based Actelion Pharmaceuticals US, Inc.

The US FDA granted it Orphan Drug status[2] (for PAH). It was approved by the U.S. FDA on 22 December 2015.[2]

In 2016, the EMA granted marketing authorization in the E.U. for this indication and launch took place shortly after in Germany and the United Kingdom. In Japan, Nippon Shinyaku received approval for the treatment of PAH in 2016.

Selexipag was approved by the U.S. Food and Drug Administration (FDA) on Dec 21, 2015, approved by European Medicine Agency (EMA) on May 12, 2016. It was originally developed by Nippon Shinyaku and then it was licensed to Actelion for co-development. It is marketed as Uptravi® by Actelion in US and EU.

Selexipag is a prostacyclin receptor (PGI2) agonist, which leads to vasodilation in the pulmonary circulation. It is indicated for the treatment of pulmonary arterial hypertension (PAH).

Uptravi® is available as tablets for oral use, containing 200, 400, 600, 800, 1000, 1200, 1400, or 1600 mcg of selexipag. The initial dose is 200 mcg twice daily, and increase the dose by 200 mcg twice daily at weekly intervals to the highest tolerated dose up to 1600 mcg twice daily.

ACT-333679 or MRE-269, the active metabolite of selexipag

SYNTHESIS DEPICT

PATENT

US2012/101276

http://www.google.st/patents/US20120101276?hl=pt-PT&cl=en

The present invention relates to a crystal of 2-{4-[N-(5,6-diphenylpyrazin-2-yl)-N-isopropylamino]butyloxy}-N-(methylsulfonyl)acetamide (hereinafter referred to as “compound A”).

Figure US20120101276A1-20120426-C00001

BACKGROUND OF THE INVENTION

Compound A has an excellent PGI2 agonistic effect and shows a platelet aggregation inhibitory effect, a vasodilative effect, a bronchodilative effect, a lipid deposition inhibitory effect, a leukocyte activation inhibitory effect, etc. (see, for example, in WO 2002/088084 (“WO ‘084”)).

Specifically, compound A is useful as preventive or therapeutic agents for transient ischemic attack (TIA), diabetic neuropathy, diabetic gangrene, peripheral circulatory disturbance (e.g., chronic arterial occlusion, intermittent claudication, peripheral embolism, vibration syndrome, Raynaud’s disease), connective tissue disease (e.g., systemic lupus erythematosus, scleroderma, mixed connective tissue disease, vasculitic syndrome), reocclusion/restenosis after percutaneous transluminal coronary angioplasty (PTCA), arteriosclerosis, thrombosis (e.g., acute-phase cerebral thrombosis, pulmonary embolism), hypertension, pulmonary hypertension, ischemic disorder (e.g., cerebral infarction, myocardial infarction), angina (e.g., stable angina, unstable angina), glomerulonephritis, diabetic nephropathy, chronic renal failure, allergy, bronchial asthma, ulcer, pressure ulcer (bedsore), restenosis after coronary intervention such as atherectomy and stent implantation, thrombocytopenia by dialysis, the diseases in which fibrosis of organs or tissues is involved [e.g., Renal diseases (e.g., tuburointerstitial nephritis), respiratory diseases (e.g., interstitial pneumonia (pulmonary fibrosis), chronic obstructive pulmonary disease), digestive diseases (e.g., hepatocirrhosis, viral hepatitis, chronic pancreatitis and scirrhous stomachic cancer), cardiovascular diseases (e.g, myocardial fibrosis), bone and articular diseases (e.g, bone marrow fibrosis and rheumatoid arthritis), skin diseases (e.g, cicatrix after operation, scalded cicatrix, keloid, and hypertrophic cicatrix), obstetric diseases (e.g., hysteromyoma), urinary diseases (e.g., prostatic hypertrophy), other diseases (e.g., Alzheimer’s disease, sclerosing peritonitis; type I diabetes and organ adhesion after operation)], erectile dysfunction (e.g., diabetic erectile dysfunction, psychogenic erectile dysfunction, psychotic erectile dysfunction, erectile dysfunction associated with chronic renal failure, erectile dysfunction after intrapelvic operation for removing prostata, and vascular erectile dysfunction associated with aging and arteriosclerosis), inflammatory bowel disease (e.g., ulcerative colitis, Crohn’s disease, intestinal tuberculosis, ischemic colitis and intestinal ulcer associated with Behcet disease), gastritis, gastric ulcer, ischemic ophthalmopathy (e.g., retinal artery occlusion, retinal vein occlusion, ischemic optic neuropathy), sudden hearing loss, avascular necrosis of bone, intestinal damage caused by administration of a non-steroidal anti-inflammatory agent (e.g., diclofenac, meloxicam, oxaprozin, nabumetone, indomethacin, ibuprofen, ketoprofen, naproxen, celecoxib) (there is no particular limitation for the intestinal damage so far as it is damage appearing in duodenum, small intestine and large intestine and examples thereof include mucosal damage such as erosion and ulcer generated in duodenum, small intestine and large intestine), and symptoms associated with lumbar spinal canal stenosis (e.g., paralysis, dullness in sensory perception, pain, numbness, lowering in walking ability, etc. associated with cervical spinal canal stenosis, thoracic spinal canal stenosis, lumbar spinal canal stenosis, diffuse spinal canal stenosis or sacral stenosis) etc. (see, for example, in WO ‘084, WO 2009/157396, WO 2009/107736, WO 2009/154246, WO 2009/157397, and WO 2009/157398).

In addition, compound A is useful as an accelerating agent for angiogenic therapy such as gene therapy or autologous bone marrow transplantation, an accelerating agent for angiogenesis in restoration of peripheral artery or angiogenic therapy, etc. (see, for example, in WO ‘084).

Production of Compound A

Compound A can be produced, for example, according to the method described in WO ‘084, and, it can also be produced according to the production method mentioned below.

Figure US20120101276A1-20120426-C00002

Step 1:

6-Iodo-2,3-diphenylpyrazine can be produced from 6-chloro-2,3-diphenylpyrazine by reacting it with sodium iodide. The reaction is carried out in the presence of an acid in an organic solvent (e.g., ethyl acetate, acetonitrile, acetone, methyl ethyl ketone, or their mixed solvent). The acid to be used is, for example, acetic acid, sulfuric acid, or their mixed acid. The amount of sodium iodide to be used is generally within a range of from 1 to 10 molar ratio relative to 6-chloro-2,3-diphenylpyrazine, preferably within a range of from 2 to 3 molar ratio. The reaction temperature varies depending on the kinds of the solvent and the acid to be used, but may be generally within a range of from 60° C. to 90° C. The reaction time varies depending on the kinds of the solvent and the acid to be used and on the reaction temperature, but may be generally within a range of from 9 hours to 15 hours.

Step 2:

5,6-Diphenyl-2-[(4-hydroxybutyl(isopropyl)amino]pyrazine can be produced from 6-iodo-2,3-diphenylpyrazine by reacting it with 4-hydroxybutyl(isopropyl)amine. The reaction is carried out in the presence of a base in an organic solvent (e.g., sulfolane, N-methylpyrrolidone, N,N-dimethylimidazolidinone, dimethyl sulfoxide or their mixed solvent). The base to be used is, for example, sodium hydrogencarbonate, potassium hydrogencarbonate, potassium carbonate, sodium carbonate or their mixed base. The amount of 4-hydroxybutyl(isopropyl)amine to be used may be generally within a range of from 1.5 to 5.0 molar ratio relative to 6-iodo-2,3-diphenylpyrazine, preferably within a range of from 2 to 3 molar ratio. The reaction temperature varies depending on the kinds of the solvent and the base to be used, but may be generally within a range of from 170° C. to 200° C. The reaction time varies depending on the kinds of the solvent and the base to be used and on the reaction temperature, but may be generally within a range of from 5 hours to 9 hours.

Step 3:

Compound A can be produced from 5,6-diphenyl-2-[4-hydroxybutyl(isopropyl)amino]pyrazine by reacting it with N-(2-chloroacetyl)methanesulfonamide. The reaction is carried out in the presence of a base in a solvent (N-methylpyrrolidone, 2-methyl-2-propanol or their mixed solvent). The base to be used is, for example, potassium t-butoxide, sodium t-butoxide or their mixed base. The amount of N-(2-chloroacetyl)methanesulfonamide to be used may be generally within a range of from 2 to 4 molar ratio relative to 5,6-diphenyl-2-[4-hydroxybutyl(isopropyl)amino]pyrazine, preferably within a range of from 2 to 3 molar ratio. The reaction temperature varies depending on the kinds of the solvent and the base to be used, but may be generally within a range of from −20° C. to 20° C. The reaction time varies depending on the kinds of the solvent and the base to be used and on the reaction temperature, but may be generally within a range of from 0.5 hours to 2 hours.

The compounds to be used as the starting materials in the above-mentioned production method for compound A are known compounds, or can be produced by known methods.

PATENT

WO 2002088084

and

http://www.google.fm/patents/WO2009157398A1?cl=en

PAPER

Bioorganic and Medicinal Chemistry, 2007 ,  vol. 15,   21  p. 6692 – 6704

compd 31

PAPER

Bioorganic and Medicinal Chemistry, 2007 ,  vol. 15,   24  p. 7720 – 7725

Full-size image (5 K)2a is the drug

N-Acylsulfonamide and N-acylsulfonylurea derivatives of the carboxylic acid prostacyclin receptor agonist 1 were synthesized and their potential as prodrug forms of the carboxylic acid was evaluated in vitro and in vivo. These compounds were converted to the active compound 1 by hepatic microsomes from rats, dogs, monkeys, and humans, and some of the compounds were shown to yield sustained plasma concentrations of 1 when they were orally administered to monkeys. These types of analogues, including NS-304 (2a), are potentially useful prodrugs of 1.

http://www.sciencedirect.com/science/article/pii/S0968089607007614

PATENT

WO 2011024874

A. Preparation of
Compound A Compound A can be produced , for example, by the method described in Patent Document 1, but can also be produced by the production method described below.
[
Step 2]
6-iodo-2,3-diphenylpyrazine can be produced by reacting 6-chloro-2,3-diphenylpyrazine with sodium iodide. This reaction is carried out in an organic solvent (for example, ethyl acetate, acetonitrile, acetone, methyl ethyl ketone, or a mixed solvent thereof) in the presence of an acid. As the acid to be used, for example, acetic acid, sulfuric acid, or a mixed acid thereof can be mentioned. The amount of sodium iodide used is, for example, suitably in the range of 1 mole to 10 moles, preferably in the range of 2 time moles to 3 times the amount of 1 mole of 6-chloro-2,3-diphenylpyrazine . The reaction temperature varies depending on the raw materials used and the type of acid, but is usually carried out within the range of 60 ° C. to 90 ° C. The reaction time varies depending on the starting materials used, the type of acid and the reaction temperature, but it is usually within the range of 9 hours to 15 hours.Step 2
5,6-diphenyl-2- [4-hydroxybutyl (isopropyl) amino] pyrazine can be prepared by reacting 6-iodo-2,3-diphenylpyrazine with 4-hydroxybutyl (isopropyl) amine. This reaction is carried out in an organic solvent (for example, sulfolane, N-methylpyrrolidone, N, N-dimethylimidazolidinone, dimethylsulfoxide or a mixed solvent thereof) in the presence of a base. Examples of the base used include sodium hydrogencarbonate, potassium hydrogen carbonate, potassium carbonate, sodium carbonate, and mixed bases thereof. The amount of 4-hydroxybutyl (isopropyl) amine to be used is, for example, suitably in the range of 1.5 mol to 5.0 mol per 1 mol of 6-iodo-2,3-diphenylpyrazine, It is within the range of 2 mol to 3 mol. The reaction temperature varies depending on the type of raw material and base used, but is usually carried out within the range of 170 ° C. to 200 ° C. The reaction time varies depending on the type of raw materials and base used and the reaction temperature, but it is usually within the range of 5 hours to 9 hours.Step 3
Compound A can be prepared by reacting 5,6-diphenyl-2- [4-hydroxybutyl (isopropyl) amino] pyrazine with N- (2-chloroacetyl) -methanesulfonamide. This reaction is carried out in an organic solvent (N-methylpyrrolidone, 2-methyl-2-propanol or a mixed solvent thereof) in the presence of a base. Examples of the base to be used include potassium t-butoxide, sodium t-butoxide or mixed bases thereof. The amount of N- (2-chloroacetyl) -methanesulfonamide used is, for example, 2 to 4 mol per 1 mol of 5,6-diphenyl-2- [4-hydroxybutyl (isopropyl) amino] It is suitable within the range, and preferably within the range of 2 mol to 3 mol. The reaction temperature varies depending on the type of raw material and base used, but is usually carried out within the range of -20 ° C. to 20 ° C. The reaction time varies depending on the kinds of raw materials and bases used and the reaction temperature, but it is usually within the range of 0.5 hour to 2 hours.Each compound used as a raw material in the above-mentioned production method of compound A is a known compound or can be produced according to a known method.

[0016]
B. Preparation of salt of the present invention The salt of the
present invention can be obtained, for example, by the following method.
The salt of the present invention can be prepared by dissolving the compound A in an appropriate solvent (for example, an ether solvent (for example, dimethoxyethane, tetrahydrofuran), an ester solvent (for example, isopropyl acetate), an aromatic hydrocarbon (for example, toluene), acetonitrile After dissolving and adding a desired base, if necessary, the mixed solution is left to stand at room temperature or under cooling in the state of concentrating or stirring or leaving it stationary. The precipitate formed is collected by filtration , Followed by washing with an appropriate solvent to obtain the desired salt of the present invention. When cooling, not only cooling but also gradual cooling or rapid cooling may be effective in obtaining good crystals. It is also effective to obtain good crystals by adding an ether solvent (for example, t-butyl methyl ether), an ester solvent (for example, ethyl acetate), and an aromatic hydrocarbon (for example, toluene) There are cases.The amount of the solvent used for dissolving the compound A is suitably in the range of 10 ml to 300 ml with respect to the compound A 1 g, for example.
The amount of the base to be used for preparing the salt of the present invention is suitably in the range of 0.5 mol to 1.2 mol with respect to the mol of the compound A 1.
Further, the salt of the present invention, which is a crystal, can be obtained by, for example, the method described in Examples described later.

Example 1 t- butylamine Form I crystal of the salt
Compound A (40 mg) with 0.5mL dimethoxyethane (hereinafter, referred to as. “DME”) was dissolved in, and t- butylamine (1.1 eq) were added, 25 1 ° C. at 8 it was stirred for hours. Thereafter, the reaction solution was added t- butyl methyl ether (1mL), at -20 ° C. 3 and held hours. It was collected by filtration the precipitated crystals produced, under reduced pressure, and dried, I-form crystals of t- butylamine salt ( 3 to afford 9.9mg). B Powder X-ray diffraction spectrum of type I crystal obtained t- butylamine salt using the apparatus shown in Figure 1.
Melting point: 152.5 ℃
elemental analysis (C 3 0 H 4 3 N 5 O 4 S + 0.0 3 H 2 as O)
calculated value (%) C: 6 3 .1 8 H: 7 . 6 1 N: 12 .2 8 measured value (%) C: 6 2. 8 5 H: 7 . 6 4 N: 12.52 1 H-NMR (DMSO-D 6 ): delta 8 .15 (s, 1H), 7 .55 – 7 . 8 0 (M, 2H), 7 .10- 7 . .45 (M, 10H), 4 7 . 0-4 8 5 (M, 1H), 3 . 6 6 (s, 2H), 3 .4 7 (t, 2H), 3 .45 (t, 2H), 2. 7 3 (s, 3 H), 1.50-1. 7 5 (M, 4H), 1.2 3 (s, 9H), 1.22 (D, 6 H)
Example 2 I-form crystal of the potassium salt
Compound A tetrahydrofuran with (40mg) 12mL (hereinafter, referred to as. “THF”) was dissolved in, 0.1M aqueous potassium hydroxide solution (1.1 eq) was added, 40 ℃ It was heated and stirred in for 15 minutes. After that, it was evaporated under reduced pressure, the solvent. The residue it was added ethyl acetate (200μL). While shaking the mixture heated to 50 ° C. 8 was allowed to cool to 25 ℃ over hours. After repeated two more times this step, at -20 ° C. 3 and held hours. The resulting precipitated crystals were collected by filtration under reduced pressure, and dried to obtain Form I crystal of the potassium salt. B Powder X-ray diffraction spectrum of type I crystal of the obtained potassium salt using the apparatus shown in Fig. 1 H-NMR (DMSO-D 6 ): delta 8 .14 (s, 1H), 7 .1 8 – 7 . 3 8 . (M, 10H), 4 7 . 2-4 8 4 (M, 1H) , 3 . 6 5 (s, 2H), 3 .4 7 (t, 2H), 3 .45 (t, 2H), 2. 7 2 (s, 3 H), 1.55-1. 7 0 ( M, 4H), 1.2 3 (D, 6 H)
Example 3  II-form crystals of the potassium salt
Compound A with (40mg) was dissolved in THF and 12mL, 0.1M aqueous potassium hydroxide solution (1.1 eq) was added and heated with stirring for 15 min at 40 ℃. After that, it was evaporated under reduced pressure, the solvent. The residue it was added ethyl acetate (200μL). While shaking the mixture heated to 50 ° C. 8 was allowed to cool to 25 ℃ over hours. This operation was repeated two more times, at -20 ° C. 3 and held hours. It was collected by filtration the precipitated crystals produced, under reduced pressure, after drying, 40 ℃, relative humidity 7 while 5% of thermo-hygrostat 7 left for days to give crystalline Form II of the potassium salt. B Powder X-ray diffraction spectrum of crystalline Form II of the resulting potassium salt using the apparatus Fig 3 is shown in.

Example 4 III type crystal of the potassium salt
Compound A , in addition to (100mg) acetonitrile (1mL), and stirred with heating, Compound A was dissolved, followed by cooling to 20 ℃. To a solution 3 .5M potassium hydroxide / ethanol solution (1.1 eq) was added and stirred for 200 minutes at 20 ℃. While stirring the mixture 7 after a heated stirring for 1 hour to 0 ° C., and then cooled to 10 ℃ over 10 hours. Further heated while the mixture 6 is heated to 0 ℃, t- butyl methyl ether (0. 3 after adding mL), cooled to 20 ℃ over 10 hours. It was collected by filtration the precipitated crystals produced, under reduced pressure, and dried, III type crystal of the potassium salt ( 7 to afford 5mg). The powder X-ray diffraction spectrum of the type III crystal of the obtained potassium salt using R unit is shown in FIG. Furthermore, in differential scanning calorimetry, of about 7 endothermic peak was observed at around 4 ° C..
Elemental analysis (C 2 6 H 3 1 N 4 O 4 . SK + 0 7 8 H 2 as O)
calculated value (%) C: 5 6 .91 H: 5.9 8 N: 10.21
measured value (%) C: 5 6 . 6 1 H: 5.55 N:. 10 3 6

EXAMPLE 5 IV-type crystal of the potassium salt
Compound A , in addition to (50mg) and ethyl acetate (1mL), and stirred with heating, Compound A was dissolved, followed by cooling to 20 ℃. To a solution 3 .5M potassium hydroxide / ethanol solution (2.2 eq) was added and 2 at 20 ° C. 3 and stirred for hours. It was collected by filtration the precipitated crystals produced, under reduced pressure, and dried to obtain Form IV crystal of the potassium salt (41mg). The powder X-ray diffraction spectrum of crystalline Form IV of the resulting potassium salt using R unit is shown in FIG. Furthermore, in differential scanning calorimetry, an endothermic peak was observed at around approximately 91 ℃.

Paper

J Med Chem 2015, 58(18): 7128

PATENT

WO 2018008042

https://patents.google.com/patent/WO2018008042A1/en

The present invention relates to an improved and novel processes for the preparation of 2- {4-[(5,6-diphenylpyrazin-2-yl)(isopropyl)amino]butoxy} -N-(methylsulfonyl) acetamide compound of formula- 1 , which is represented by the following structural formula- l .

Figure imgf000003_0001

Formula-

The present invention also relates to novel crystalline forms of the compound of formula- 1 and process for the preparation thereof.

Background of the Invention:

2- {4-[(5,6-diphenylpyrazin-2-yl)(isopropyl)amino]butoxy}-N-(methylsulfonyl) acetamide is known as Selexipag. It is developed by Nippon Shinyaku under the brand name of Uptravi®, for the treatment of pulmonary arterial hypertension.

2- {4-[(5,6-diphenylpyTazin-2-yl)(isopropyl)amino]butoxy}-N-(methylsulfonyl) acetamide was firstly described in US7205302B2 herein after referred as US ‘302. The said patent also describes its process for the preparation. According to this process the final product was obtained with low yield and purity.

US8791 122 (herein after referred as US’ 122) patent describes crystalline form-I, II and III of 2- {4-[(5,6-diphenylpyrazin-2-yl)(isopropyl)amino]butoxy} -N-(methylsulfonyl) acetamide. Because of drug compounds having, for example, improved stability, solubility, shelf life and in vivo pharmacology, are consistently sought, there is an ongoing need for new or pure salts, hydrates, solvates and polymorphic forms of existing drug molecules. The novel crystalline forms of 2- {4-[(5,6-diphenylpyrazin-2-yl)(isopropyl)amino]butoxy} -N- (methylsulfonyl) acetamide described herein help meet this requirement.

US ‘ 122 patent describes amorphous form of the compound of formula- 1 . This patent does not disclose any detailed process for amorphous form and PXRD pattern of amorphous compound of formula- 1 .

Figure imgf000019_0001

Examples:

Example-1 Preparation of 4-((5)6-diphenylpyrazin-2-yl)(isopropyl)amino)butan-l-ol compound of formula-8

A mixture of 5-chloro-2,3-diphenylpyrazine (25 gm) compound of formula-7a and 4- (isopropyl amino)butan- 1 -ol (108 gm) was heated to 190-195°C and stirred the reaction i mixture for 10- 12 hours at same temperature. Cooled the reaction mixture to 25-35°C. To this reaction mixture n-heptane followed by water were added slowly at 25-30°C and stirred the reaction mixture for 2 hours at the same temperature. Filter the precipitated solid, washed with water and dried to get the title compound.

Yield: 30 gm.

Example-2: Preparation of tert-butyl 2-(4-((5,6-diphenylpyrazin-2-yl)(isopropyl)amino) butoxy)acetate

Potassium hydroxide solution (96.6 gm of potassium hydroxide dissolved in 175 ml of water) was added to the mixture of 4-((5,6-diphenylpyrazin-2-yl)(isopropyl)amino)butan- l -ol (25 gm) and toluene ( 175 ml) at 25-30°C and stirred the reaction mixture for 30 minutes at the same temperature. Cooled the reaction mixture to 0-5°C. Tert-butyl bromoacetate (94 gm) was slowly added to the reaction mixture at 0-5°C and stirred the reaction for 60 minutes at same temperature. Raised the temperature of the reaction mixture to 25-30°C and maintained for 60 minutes. Both the aqueous and organic layers were separated. The aqueous layer was extracted with toluene and combined the organic layers. Organic layer was washed with hydrochloric acid solution followed by with aqueous sodium bicarbonate solution. Organic layer was dried with sodium sulphate and distilled off the solvent completely from the organic layer under reduced pressure to get the title compound.

Yield: 29 gm.

Example-3: Preparation of 2-(4-((5,6-diphenylpyrazin-2-yl)(isopropyl)amino)butoxy) acetic acid compound of formula-6

Aqueous sodium hydroxide solution (7.5 gm of sodium hydroxide was dissolved in 80 ml of water) was added to the solution of tert-butyl 2-(4-((5,6-diphenylpyrazin-2-yl)(isopropyl) amino)butoxy)acetate (30 gm) in methanol (290 ml) at 30-35°C. Heated the reaction mixture to reflux temperature and stirred for 3 hours at the same temperature. Distilled off solvent completely from the reaction mixture under reduced pressure and cooled the reaction mixture to 25-30°C. Water was added to the obtained compound and acidified the reaction mixture using diluted hydrochloric acid at the same temperature. Extracted the reaction mixture with ethyl acetate. The organic layer was washed with aqueous sodium chloride solution and dried with sodium sulphate. Distilled off the solvent from the organic layer under reduced pressure. Diisopropyl ether (60 ml) was added to the obtained compound at 25-30°C and stirred for 60 minutes at the same temperature. Filtered the precipitated solid, washed with diisopropyl ether and dried to get the title compound.

Yield: 19 gm.

Example-4: Preparation of 2-{4-[(5,6-diphenylpyrazin-2-yl)(isopropy.)amino]butoxy}- N-(methylsulfonyl) acetamide compound of formula-1

Triethylamine (9.6 gm) was added to the mixture of 2-(4-((5,6-diphenylpyrazin-2- yl)(isopropyl)amino)butoxy)acetic acid (10 gm), dichloro methane (100 ml), N,N- dicyclohexylcarbodiimide (4.9 gm), hydroxybenzotriazole (3.5 gm) and methane sulfonamide (3.39 gm) at 25-30°C and stirred the reaction mixture for 12 hours at the same temperature. Filtered the unwanted compounds from the reaction mixture and washed with dichloromethane. The organic layer was washed with water, followed by with aqueous citric acid solution and then washed with aqueous sodium chloride solution. Distilled off the solvent from the organic layer under reduced pressure. To this residue ethyl acetate (20 ml) and carbon (1 gm) were added at 25-30°C and stirred the reaction mixture for 30 minutes at the same temperature. Filtered the reaction mixture through hyflow bed and washed with ethyl acetate. The obtained filtrate was slowly added to the mixture of n-heptane and water at 25-30°C and stirred for 10 hours. Filtered the precipitated solid, washed with n-heptane and dried to get the title compound.

Yield: 4.5 gm.

Example-5: Preparation of 2-{4-f(5,6-diphenylpyrazin-2-yl)(isopropyl)amino]butoxy}- N-(methylsulfonyl) acetamide compound of formula-1

Sodium t-butoxide (96.6 gm) was added to the mixture of n-methy pyrrolidinone (125 ml) and 4-((5,6-diphenylpyrazin-2-yl)(isopropyl)amino)butan-l-ol (25 gm) compound of formula-8 at 0-5°C and stirred the reaction for 20 minutes at the same temperature. 2-chloro- N-(methylsulfonyl)acetamide (23.7 gm) was slowly added to the reaction mixture at 0-5°C and raise the temperature of the reaction mixture to 25-30°C. Stirred the reaction mixture for 10-12 hours at 25-30°C and water was added to it at the same temperature. The reaction mixture was extracted with ethyl acetate. The organic layer was washed with aqueous sodium chloride solution and distilled off the solvent from the organic layer under reduced pressure. To this residue ethyl acetate (50 ml) and carbon (2.5 gm) were added at 25-30°C and stirred the reaction mixture for 30 minutes at the same temperature. Filtered the reaction mixture through hyflow bed and washed with ethyl acetate. The obtained filtrate was slowly added to the mixture of n-heptane and water at 25-30°C and stirred for 10 hours. Filtered the precipitated solid, washed with n-heptane and dried to get the title compound.

Yield: 14 gm.

Example-6: Preparation of 2-chIot*o- -(methylsulfonyl)acetamide

A mixture of methane sulfonamide (100 gm) and chloroacetyl chloride (356.4 gm) was heated to reflux temperature and stirred it for 10 hours at the same temperature. Cooled the reaction mixture to – 10 to -5°C and stirred it for 2 hours at the same temperature. Filtered the precipitated, solid, washed with toluene followed by n-heptane and dried to get the title compound.

Yield: 175 gm.

ExampIe-7: Purification of the compound of formula-1

Methanol (20 ml) was added to the compound of formula-1 (2 gm) at 25-30°C and heated to reflux temperature. Dichloromethane (3 ml) was added to the reaction mixture at reflux temperature and stirred for 15 minutes at the same temperature. Filtered the reaction mixture, distilled off the solvent from the filtrate under reduced pressure to get the title compound. Yield: 2 gm

Example-8: Preparation of N-isopropyI-5,6-diphenylpyrazin-2-amine (Formula-4) Isopropyl bromide (5.5 gm) was added to the mixture of 2-amino -5,6-diphenylpyrazine ( 10 gm), potassium tert-butoxide (9 gm) and dimethylformamide (50 ml) at 25-30°C, slowly heated to 80-85°C and stirred the reaction mixture for 6 hours at same temperature. The reaction mixture was cooled to 10- 15°C, diluted the reaction mixture with water and stirred it for 2 hours at the same temperature. Filtered the obtained solid and dried to get the title compound.

Yield: 9.5 gm

ExampIe-9: Preparation of N-isopropyl-5,6-diphenylpyrazin-2-amine (Formula-4)

A mixture of 5-chloro-2,3-diphenylpyrazine ( 10 gm), isopropyl amine (7.5 gm) and potassium carbonate (10.5 gm) and dioxane (50 ml) were heated to 40-45°C and stirred the reaction mixture for 12 hrs at the same temperature. The reaction mixture was cooled to 10- 15°C, diluted with water and extracted with dichloromethane. Combined the organic layers was washed with aqueous sodium hydrochloride solution and dried over anhydrous sodium sulphate. Distilled off the solvent completely from the organic layer under reduced pressure to provide the title compound.

Yield: 9 gm

Example-10: Preparation of 2-(4-chlorobutoxy)aceticacid (Formula-5a)

2-bromoaceticacid (10 gm) was slowly added to a mixture of l-chlorobutan-4-ol (7.2 gm), potassium carbonate (26.5 gm) and acetonitrile (50 ml) at 25-30°C. The reaction mixture was heated to 75-80°C and stirred the reaction mixture for 6 hours at same temperature. The reaction mixture was cooled to 25-30°C and diluted with , water. Acidified the reaction mixture using diluted hydrochloric acid at 25-30°C. The reaction mixture extracted with dichloromethane. Combined the organic layers was dried over anhydrous sodium sulphate and distilled off the solvent under reduced pressure to provide the title compound.

Yield: 10.5 gm.

Example-11: Preparation of 2-(4-((5,6-diphenylpyrazin-2-yl)(isopropyl)amino) butoxy)acetic acid (formula-6)

A mixture of N-isopropyl-5,6-diphenylpyrazin-2-amine (8 gm), potassium carbonate (7.5 gm) and acetonitrile (40 ml) was stirred for 1 hr at 25-30°C. A solution of 2-(4-chlorobutoxy) aceticacid (5.4 gm) in acetonitrile (15 ml) was slowly added to the reaction mixture at 25- 30°C. Heated the reaction mixture to reflux and stirred for 12 hours at the same temperature. The reaction mixture was cooled to 10-15°C and diluted with wateT. Acidified the reaction mixture using diluted hydrochloric acid and extracted the reaction mixture using ethyl acetate. Combined the organic layers and dried over sodium sulphate. Distilled off the solvent completely from the organic layer to get the title compound.

Yield: 8.5 gm

Example-12: Preparation of 2-(4-((5,6-diphenylpyrazin-2-yl)(isopropyt)amino)butoxy)- N-(methylsulfonyl)acetamide (formula-1)

A mixture of 2-(4-((5,6-diphenylpyrazin-2-yl)(isopropyl)amino)butoxy)acetic acid (5 gm), HATU (5.4 gm), triethylamine (1.5 gm) and dimethylformamide (20 ml) was stirred for 1 hr at 5-10°C under nitrogen atmosphere. Methane sulfonamide (5.2 gm) was slowly added to the reaction mixture at 5-10°C and stirred for 12 hrs at the same temperature. The reaction mixture was diluted with water and stirred for 2 hrs. The precipitated solid was filtered and dried to get the title compound.

Yield: 4.5 gm

Example-13: Preparation of 2-(4-((5,6-diphenylpyrazin-2-yl) (isopropyl) amino) butoxy) acetonitrile (Formula-12)

To the mixture of 4-((5,6-diphenylpyrazin-2-yI)(isopropyl)amino)butan-l-ol ( 10 gm), tetrabutyl ammoniumbromide (0.2 gm), potassium carbonate (7.6 gm) and acetone (50 mL), chloroacetonitrile (3.2 gm) was added at 25-30°C. Heated the reaction mixture to reflux temperature and stirred the reaction mixture for 6 hrs at the same temperature. The reaction mixture was cooled to 10- 15°C and filtered the reaction mixture. Distilled off the solvent completely from the filtrate to get the tile compound.

Yield: 9 gm

Example-14: Preparation of 2-(4-((5,6-diphenylpyrazin-2-yl)(isopropyl)amino)butoxy) acetic acid (formula-6)

Sodium hydroxide (3.5 gm) was added to a solution of 2-(4-((5,6-diphenylpyrazin-2-yl) (isopropyl) amino) butoxy) acetonitrile (8 gm) in methanol (60 ml) and water (30 ml). The reaction mixture was heated to 65-70°C and maintained for 6 hrs. The reaction mixture was cooled to 10°C, acidified with diluted hydrochloric acid and stirred at same temperature for 2 hr. The obtained solid was filtered and dried to provide the title compound.

Yield: 7.5 gm

Example-15: Preparation of 2-chloro-N-(methylsulfonyl)acetamide (Formula-16)

The mixture of methane sulfonamide (50 gm) and chloroacetyl chloride (92 gm) was heated to 1 10-1 15°C and stirred the reaction mixture for 7 hours at the same temperature. The reaction mixture was cooled to 25-30°C and dichloromethane was added to the reaction mixture at the same temperature. Cooled the reaction mixture to 15-20°C and stirred for 1 hour at the same temperature. Filtered the precipitated solid and washed with dichloromethane. The obtained solid was recrystallized using dichloromethane to get pure title compound. Yield: 80 gm. M.R.: U0- 1 15°C. Purity by HPLC: 98.85%.

Example-16: Preparation of 4-((5,6-diphenylpyrazin-2-yl)(isopropyl)amino)butan-l-ol (Formula-8)

The mixture of 5-chloro-2,3-diphenylpyrazine ( 100 gm) and 4-(isopropylamino)butan-l -ol (245.5 gm) was heated to 190-195°G and stirred the reaction mixture for 12 hours at the same temperature. The reaction was cooled to 25-30°C and n-heptane was added to the reaction mixture. The reaction mixture was further cooled to 10-15°C, water was slowly added to the reaction mixture and stirred for 2 hours at the same temperature. Filtered the precipitated solid and washed with water. Dichloromethane (300 ml) was added to the obtained solid and stirred for 5 minutes. Both the organic and aqueous layers were separated. The organic layer was dried with sodium sulphate, distilled off the solvent from the organic layer completely under reduced pressure and co-distilled with n-heptane. 400 ml of n-heptane was added to the obtained compound at 25-30°C, heated the reaction mixture to 45-50°C and stirred for 30 minutes at the same temperature. The reaction mixture was cooled to 15-20°C and stirred for 2 hours at the same temperature. Filtered the solid, washed with n-heptane and dried to get the title compound.

Yield: 82 gm. M.R.: 100-105°C. Purity by HPLC: 95.4%.

Example-17: Purification of 4-((5,6-diphenylpyrazin-2-yl)(isopropyl)amino)butan-l-ol (Formula-8)

n-Heptane (750 ml) was slowly added to pre-cooled solution of 4-((5,6-diphenylpyrazin-2- yl)(isopropyl)amino)butan- l -ol (100 gm) in acetone (250 ml) was cooled to 0-5°C. Stirred the reaction mixture for 4 hours at the same tempereature. Filtered the precipitated solid, washed with n-heptane and dried to get the pure title compound.

Yield: 54 gm. Purity by HPLC: 99.92%.

Example-18: Preparation of crystalline form-L of compound of formula-1

Melting the compound of formula-1 (10 gm) at 140-145°C under reduced pressure for 15 minutes. The above obtained oily residue was added to 100 ml of pre-cooled n-heptane at 0- 5°C. Stirred the reaction mixture for 6 hr at 0-5°C. Filtered the precipitated solid, washed with n-heptane and dried to get the title compound. Yield: 9 gm; PXRD of the obtained compound is depicted in figure- 10 and DSC thermogram is depicted in figure- 1 1. Example-19: Preparation of crystalline form-P of compound of formula-1

Melting the compound of formula-1 (10 gm) at 140-145°C under reduced pressure for 15 minutes. The above obtained oily residue was added to 100 ml of pre-cooled n-heptane at 0- 5°C. Stirred the reaction mixture for 36 hours at 0-5°C. Filtered the precipitated solid, washed with n-heptane and dried to get the title compound.

Yield: 9 gm; PXRD of the obtained compound is depicted in figure-7, its IR is depicted in figure-8 and its DSC is depicted in figure-9.

Example-20: Preparation of crystalline form-P of compound of formula-1

Melting the compound of formula-1 (10 gm) at 140-145°C under reduced pressure for 15 minutes. The above obtained oily residue was added to 100 ml of n-heptane at 30-40°C.

Stirred the reaction mixture for 36 hours at 30-40°C. Filtered the precipitated solid, washed with n-heptane and dried to get the title compound.

Yield: 9 gm; PXRD of the obtained compound is similar to the figure-7.

Example-21 : Preparation of amorphous form of compound of formula-1

Melting the compound of formula-1 ( 10 gm) at 140- 145°C under reduced pressure for 15 minutes and the above obtained oily residue was cooled to 0-5°C. Unload the obtained compound and dried to get the title compound. Yield: 9 gm; Purity by HPLC: 99.74%. PXRD of the obtained compound is depicted in figure-5 and IR is depicted in figure-6.

Exaniple-22: Preparation of crystalline form-I of compound of formula-1

Melting the compound of formula-1 (5 gm) at 140-145°C under reduced pressure for 15 minutes. 50 ml of n-heptane was added to the above obtained oily residue at 115-120°C.

Stirred the reaction mixture for 20 minutes at 1 15- 120°C. Cooled the reaction mixture to 25-

30°C and stirred for 60 minutes at the same temperature. Further cooled the reaction mixture to 0-5°C and stirred the reaction mixture for 60 minutes at the same temperature. Filtered the precipitated solid, washed with n-heptane and dried to get the title compound.

Yield: 4 gm; Purity by HPLC: 99.68%.

PATENT

CN 108675964

PATENT

CN 106316967

PATENT

WO 2017029594

PATENT

US8791122

Form-I  II  III

https://patents.google.com/patent/US8791122B2/en

Figure US08791122-20140729-C00002

PATENT

https://patents.google.com/patent/WO2018022704A1/en

Selexipag has the chemical name 2-{4-[(5,6-diphenylpyrazin-2- yl)(isopropyl)amino]butoxy}-N-(methylsulfonyl)acetamide. Selexipag has the following chemical structure:

Figure imgf000002_0001

[0004] Selexipag is being developed by Actelion and Nippon Shinyaku for the treatment of arteriosclerosis obliterans, pulmonary hypertension and Raynaud’s disease secondary to systemic sclerosis.

[0005] Selexipag is disclosed in US 7,205,302. US 8,791,122, US 9,284,280 and US 2014- 0155414 disclose polymorphs of Selexipag, denominated forms I, II and III. WO

2017/040872 discloses form IV and V of Selexipag.

xample 1: Preparation of Selexipag

[00126] A. Route 1

[00127] Crude Selexipag can be obtained by any method known in the art, for example by the method described in US 7,205,302 or according to the following.

[00128] B. Route 2

[00129] Step a: Preparation of 4-((5,6-diphenyl-pyrazin-2-yl)(isopropyl)amino)butan-l-ol

[00130] To 50 g (0.161 mol) of 5-bromo-2,3-diphenylpyrazine, 116 g (0.884 mol, 5.5 eq/mol) of 4-(isopropylamino)-butan-l-ol and 13.33 g of KI (0.080 mol, 0.5 Eq/mol) were added. The reaction mixture was stirred, warmed and then heated up to 140°C for about 18- 20 hrs. The reaction was monitored by TLC up to completion (starting material about 1% by TLC). The reaction mixture was cooled down to room temperature. After the reaction was completed, the following work up step was performed:

[00131] Option 1 : Ethyl acetate was added (500 mL, 10 vol) and the organic phase was washed with water (150 mL, 3 vol). The organic phase was separated and aqueous phase was extracted with ethyl acetate (150 mL, 3 vol). The organic phases were joined and washed with water (200 mL, 2 vol) three times.

[00132] The solvent was distilled off under vacuum at not more than (“NMT”) 40°C until 1 vol (oil appearance).

[00133] Option 2: The material (mixture) was dissolved in acetone (250 mL, 5 vol), the solution obtained was cooled down to 0°C to 5°C and anti-solvent / water was added (1000 mL, 20 vol) for 40 minutes, then the suspension was stirred for about 30 minutes at about 0°C-5°C. The solid material was filtered and washed with water (200 mL, 4 vol). Crude wet product was obtained as yellow solid yielding 101.8 % WY (87 % MY), HPLC purity 90.8% on area at this stage.

[00134] The crude material, obtained in either of the above described options, was purified through crystallization from acetone :«-heptane as follows: to a solution of 4-((5,6-diphenyl- pyrazin-2-yl)(isopropyl)amino)butan-l-ol crude in acetone (175 mL, 3.5 vol) at 0°C – 5°C, hexane (600 mL, 12 vol) dropwise in about 120 min was added, then the precipitated mixture was cooled down to about -10°C and stirred for about 60 min. The product was filtered off and washed with hexane (250 mL, 5 vol) and dried under vacuum at 25°C. Pure product was obtained as yellowish solid yielding overall 77.2%, (66.5% MY), HPLC purity 98.2% on area.

[00135] Step b: Preparation (2-bromo-N-(methylsulfonyl)-acetamide)

[00136] To a suspension of 50 g (0.526 mol) of methanesulfonamide in toluene (625 mL, 12.5 vol) and isopropyl acetate (625 mL, 12.5 vol), 159.1 g (0.789 mol) of bromo-acetyl- bromide (“BAB”) was added under nitrogen atmosphere. The reaction mixture was heated up to about 90°C for about 8 hours under a nitrogen stream. The reaction was monitored by TLC up to completion (starting material about 1% by TLC). The reaction mixture was cooled down to about 40°C and concentrated under vacuum until 10 volumes. Subsequently, toluene was added (250 mL, 5 vol) and distilling off solvents is carried out at NMT 30°C until 10 volumes. Then was added dichloromethane (100 mL, 2 vol) and the mixture was cooled down at 0°C and is stirred for 90 min. The solid was filtered and washed with

dichloromethane (100 mL, 2 vol). Crude product was obtained as beige solid material yielding 187% WY (83% MY), HPLC purity 99.2% at this stage. [00137] The crude material (83 g) was purified through re-slurring with dichloromethane (166 mL, 2 vol; preferably 332 mL, 4 vol) by stirring at about 32°C for about 60 min. The crystallization mixture was cooled down to about 0°C-5°C and stirring for 30 min, filtered off and washed with dichloromethane (100 mL, 2 vol). Subsequently, the material was dried at 35°C for 24 hours. Pure and dried material was obtained as white off solid yielding overall 173%, (77% MY), HPLC purity 99.6 % on area.

[00138] Step c: Preparation of (2-[4-[(5,6-diphenyl-2-pyrazinyl)(l- methylethyl)amino]butoxy]-N-(methylsulfonyl)-acetamide) – Selexipag

[00139] To 10 g (0.028 mol) of 4-((5,6-diphenyl-pyrazin-2-yl)(isopropyl)amino) butan-l-ol was added a strong base (6.0 eq/mol), previously suspended in an appropriate solvent, within a range of from -10°C to 40°C under a nitrogen atmosphere and stirred for 60 min. Then, a solution of 17.9 g (3.0 eq/mol) of 2-bromo-N-(methylsulfonyl)-acetamide, previously dissolved in the same solvent, is added dropwise within a range of from 120 tol 80 min, controlling the exothermic temperature. The reaction was monitored by TLC up to completion. Subsequently, the mixture reaction was cooled down around 5°C and water is added by controlling the exotherm (NMT 15°C). Finally, an acetic acid solution was added and the suspension was stirred for about 60 min at 0°C -5°C. The product (crude) was filtered off and washed with water. An amorphous solid was obtained. The crude product was purified by crystallization from ethanol:THF.

[00140] Step d: Purification of Selexipag

[00141] Crude Selexipag can be purified by crystallization in an organic solvent for example alcohols such as ethanol, iso-amyl alcohol, iso-propyl alcohol, butanol; ethers such as tetrahydrofuran, hydrocarbons such as heptane and mixed solvents thereof.

[00142] C. Route 3

[00143] 33.3 g (0.297 mol, 6.0 eq/mol) of potassium tert-butoxide were dissolved in DMF (2.8 vol) in a flask (500 mL) under nitrogen atmosphere and stirred for 15 min. Then, a solution of 17.9 g (0.049 mol, 1.0 eq/mol) of 4-((5,6-diphenyl-pyrazin-2-yl)(isopropyl) amino) butan-l-ol (SLX-4) dissolved in DMF (1.2 vol) was added in one portion. The reaction mixture was stirred for 60 min within a temperature range from 20°C to 25°C at 150 rpm Then, a solution of 32.1 g (0.15 mol, 3.0 Eq/mol) of 2-bromo-N-(methylsulfonyl)- acetamide (SLX-9), previously dissolved in DMF (1.3 vol), was added dropwise for 120 minutes by controlling the temperature (exothermic process).

[00144] The reaction mixture was quenched with cool water (0.33 vol), transferred into a flask of more capacity (1000 mL) and placed in an ice bath. Cool water (38.32 vol) was added to the reaction mixture and the pH was adjusted to 5.0 with AcOH (0.33 vol). The mixture was stirred at 300 rpm for 40 min. Then, the flask with the reaction mixture was stored in the refrigerator at 8°C. After 8h, the solid was filtered and washed with cool water (5 vol, 2 times). The crude product (yellow solid) was drained (i.e. dried) for 30 min and was stored at 8°C.

Example 2: Preparation of crystalline Selexipag Form IV

[00145] A. Route 1

[00146] 3.0 g of Selexipag was dissolved in dimethylformamide (“DMF”) (12 mL, 4 vol). The obtained solution was added dropwise to a pre-cooled acetic acid solution (0.06 M, 120 mL, from 2°C to 8°C) to obtain a suspension. The suspension was stirred within a range of from 2°C to 8°C for 30 min; then the material was filtered, washed with water (10 mL, 3.3 vol) and drained (i.e. dried) for 10 minutes. The solid material (amorphous) was suspended in heptane (25 mL, 7.5 vol) and the obtained suspension was stirred for 30 minutes at room temperature. The material was filtered, washed with heptane (20 mL, 6.6 vol) and drained (i.e. dried) under vacuum for at least 30 minutes at room temperature to obtain the Form IV Crystal.

[00147] B. Route 2

[00148] Crude Selexipag (1.0 g, amorphous solid, obtained from the synthesis) was dissolved in ethyl acetate (5 vol, 5 mL), then water was added (10 vol, 10 mL) into the solution, the mixture was stirred for about 10 minutes and the pH was adjusted to a range of from 8.0 to 9.0 by titration with K2CO3 solution. The phases were separated; the pH of the aqueous phase was adjusted to a range of from 3.5 to 5.0 by titration with acetic acid. Then, ethyl acetate (10 vol, 10 mL) was added into the aqueous phase, the obtained mixture was stirred and the phases were separated. The organic phase was distilled off under reduced pressure (from 2 to 3 volumes), and a solution was obtained. The obtained concentrated solution was quickly added to a mixture (suspension) of Form IV in ^-heptane (17 mL, 17 vol), over a period of less than 5 minutes, (the suspension temperature was of from 15°C to 25°C), and a suspension was obtained. The obtained suspension was stirred (155rpm) for 90 minutes at a temperature of from 0°C to 5°C. The suspension was filtered, washed with heptane, squeezed for 15 minutes and dried at 25°C, under vacuum, for about 14 hours. The product was analyzed by PXRD – Form IV was obtained.

[00149] The above procedure can be performed by dissolving the crude amorphous starting material in any suitable organic solvent, for example ester solvent. Example 3: Preparation of (2-[4-[(5,6-diphenyl-2-pyrazinyl)(l- methylethyl)amino] butoxy] -N-(methylsulfonyl)-acetamide) – Selexipag

Figure imgf000024_0001

SLX-4 SLX-9 SLX-6

[00150] 9.2 grams (0.082 mol, 5.9 eq/mol) of potassium tert-butoxide were combined with DMF (2.7 vol, 13.5 mL) in a flask (50 mL) under nitrogen atmosphere and a suspension was formed and was stirred for 20 min. Then, 5.0 g (0.014 mol, 1.0 eq/mol) of 4-((5,6-diphenyl- pyrazin-2-yl)(isopropyl)amino)butan-l-ol (SLX-4) as solid powder was added under nitrogen atmosphere. The reaction mixture was stirred for 60 min within a temperature range from 20°C to 25°C and at 170 rpm. Then, a solution of 8.9 g (0.041 mol, 3.0 eq/mol) of 2-bromo- N-(methylsulfonyl)-acetamide (SLX-9), previously dissolved in DMF (1.3 vol, 6.5 mL), was added dropwise for 120 minutes by controlling the temperature (exothermic process). After the end of addition, the reaction was completed, and the reaction mixture was quenched with cold water (0.5 vol, 2.5 mL), subsequently transferred into a flask of more capacity (500 mL) and placed into an ice bath. Cold water (40 vol, 200 mL) was added into the suspension and the pH was adjusted within the range from 4.0 to 5.0 with acetic acid. The obtained mixture was stirred for 120 min. The crude amorphous product was collected by filtration and washed twice with cold water (5 vol, 25 mL). The product was drained (i.e. dried) for 30 min and isolated as a yellow-brown solid which was stored within the range from 2°C to 8°C for approximately 17 hours. Then, the crude amorphous material was dissolved in ethyl acetate (15 vol, 75 mL) and water was added into the solution (30 vol, 150 mL). The pH was adjusted from 8.0 to 9.0 by addition of potassium carbonate solution, the phases were separated and the aqueous phase was washed twice with ethyl acetate (7.5 vol, 37.5 mL). The pH of the final aqueous phase was adjusted to a range from 4.0 to 5.0 with acetic acid. Then, ethyl acetate was added (30 vol, 150 mL) and the phases were separated. The organic phase was washed twice with water (7.5 vol, 37.5 mL). The organic phase was distilled off under reduced pressure (from 6 to 7 volumes, or from 6 to 15 volumes) and a solution was obtained.

[00151] In a different flask (capacity of 250 mL with a PTFE stirrer blade), a suspension of 0.05 g of Selexipag Form IV in ^-heptane (30 volumes, 150 mL) was stirred for 60 minutes within the range 0°C to 5°C and this suspension was added into the above ethyl acetate concentrated solution at room temperature over a period of less than 5 minutes. The final suspension was cooled down to 0°C to 5°C and stirred (220 rpm) for 120 minutes. The solid product was filtered off and washed twice with cold heptane (5 vol, 25 mL). The product was drained (i.e. dried) overnight. The product was analyzed by PXRD – Form VI was obtained, PXRD pattern is depicted in Figure 1.

PATENT

CN105949135

https://patents.google.com/patent/CN105949135A/en

Figure CN105949135AD00052

Example 1

[0027] A) Preparation of [4_ (tert-butoxycarbonyl) (isopropyl) aminobutoxy] acetate:

[0028] 4 – [(tert-butoxycarbonyl) (isopropyl) amino] butanol -1_ (20 (^, 0.09111 〇1) and tert-butyl bromoacetate (21 · lg, 0 llmol) solution. The reaction was stirred for 2 hours to burn dichloromethane (90mL), was added tetrabutylammonium chloride (0.72g, 2.6mmol), potassium hydroxide (7.3g, 0.13mol) and water (12.0g), the reaction mixture was 25 ° C The reaction solution was concentrated under reduced pressure and rotary evaporated to dryness and extracted with ethyl acetate, dried over magnesium sulfate, and concentrated by rotary evaporation to dryness, a mixed solvent of ethanol and recrystallized from isopropanol to give [4- (tert-butoxycarbonyl) (isopropyl yl) aminobutoxy] acetate, as a pale yellow oil (26.6 g of), a yield of 89.0%, the reaction formula of this step is as follows:

[0029]

Figure CN105949135AD00071

[0030] B) Preparation of [4_ (tert-butoxycarbonyl) (isopropyl) aminobutoxy] acetic acid:

[0031] [4- (tert-butoxycarbonyl) (isopropyl) aminobutoxy] acetate (26. (^, 0.075! 11〇1) was dissolved in methanol (50 mL), was added sodium hydroxide solution (NaOH = 3 · 3g, 0 · 08mol; water 9 · 0g), was heated to 80 ° C for 6 hours, cooled to room temperature, after treatment and purification, to give [4- (tert-butoxycarbonyl) (isopropyl ) aminobutoxy] acetic acid (20.7 g of), a yield of 95.0%, the reaction formula of this step is as follows:

Figure CN105949135AD00081

[0033] C) Preparation of 2- [4_ (tert-butoxycarbonyl) (isopropyl) aminobutoxy] -N- (methylsulfonyl) acetamide:

[0034] [4_ (tert-butoxycarbonyl) (isopropyl) aminobutoxy] acetic acid (20 (^, 0.07 11〇1) and a hoot “-.! P sitting carbonyldiimidazole (14.0g, 0.09mo 1 ) was dissolved in tetrahydro-thiopyran Misaki (70 mL), with stirring, was added methyl sulfonamide (7.9g, 0.08mol), the reaction mixture was 90 ° C the reaction stirred for 18 hours, the reaction solution was concentrated by rotary evaporation to dryness, extracted with ethyl acetate, over magnesium sulfate, and concentrated by rotary evaporation to dryness, recrystallized from methanol to give 2- [4- (tert-butoxycarbonyl) (isopropyl) aminobutoxy] -N- (methylsulfonyl) acetamide as an off-white solid (21.2 g), yield 83.7%, the reaction formula of this step is as follows:

Figure CN105949135AD00082

[0036] D) Preparation of SIPA Seiler: 2- [4_ (tert-butoxycarbonyl) (isopropyl) aminobutoxy] -N- (methylsulfonyl) acetamide (20 (^, 0.055111〇1. ) and dissolved in methanol (1101 ^), trifluoroacetic acid (6.88,0.06111〇1), 65 ° (: the reaction stirred for 6 hours to complete the reaction, the reaction was added dropwise to a stirred solution of water (200 mL), cooled to 0 ° C crystallization for 3 hours and filtered to give the intermediate compound (2- [4- (isopropyl) aminobutoxy] -N- (methylsulfonyl) acetamide), and then dissolved in methanol (40 mL), was added 5 – chloro-2,3-diphenyl-pyrazine (16 · 0g, 0 · 06mol), N, N- diisopropylethylamine (15 · 5g, 0 · 12mol), the reaction mixture was stirred reactor 8 100 ° C hours, the reaction was cooled to room temperature, water (40 mL), cooled to -10 ° C crystallization for 3 hours and filtered to give SIPA game music, as a white solid (25.0 g of), a yield of 92.3%, the reaction step formula as follows:

[0037]

Figure CN105949135AD00083

[0038] Example 2

[0039] A) Preparation of [4_ (tert-butoxycarbonyl) (isopropyl) aminobutoxy] acetate:

[0040] 4 – [(tert-butoxycarbonyl) (isopropyl) amino] -1-butanol (23 (^, 0.10111 〇1) and tert-butyl bromoacetate (25 · 2g, 0 · 13mol) was dissolved. burning in 1,2-dichloroethane (110mL), was added tetrabutylammonium bromide (1 · lg, 3 · 5mmol), sodium hydroxide (6.4g, 0.16mol) and water (14.0g), the reaction mixture was 30 ° C The reaction was stirred for 3 hours, the reaction solution was concentrated by rotary evaporation to dryness under reduced pressure and extracted with ethyl acetate, dried over magnesium sulfate, and concentrated by rotary evaporation to dryness, a mixed solvent of ethanol and recrystallized from isopropanol to give [4- (tert-butoxy butoxycarbonyl) (isopropyl) aminobutoxy] acetate, as a pale yellow oil (30.3 g of), a yield of 88.2%, the reaction of the present step is the same formula as in Example 1;

[0041] B) Preparation of [4- (tert-butoxycarbonyl) (isopropyl) aminobutoxy] acetic acid:

[0042] [4_ (tert-butoxycarbonyl) (isopropyl) aminobutoxy] acetate (30. (^, 0.09! 11〇1) was dissolved in ethanol (85 mL), was added potassium hydroxide solution ( 1 (! = 5.78,0.10111〇1 01; 128 water), heated to 75 ° (: 7 hours, cooled to room temperature, after treatment and purification, to give [4- (tert-butoxycarbonyl) (isopropyl ) aminobutoxy] acetic acid, an off-white solid (23.5 g of), a yield of 93.7%, the reaction of the present step is the same formula as in Example 1;

[0043] C) Preparation of 2- [4- (tert-butoxycarbonyl) (isopropyl) aminobutoxy] -N- (methylsulfonyl) acetamide:

[0044] [4_ (tert-butoxycarbonyl) (isopropyl) aminobutoxy] acetic acid (23 (^, 0.08 11〇1) and Chi ^ -! Dicyclohexyl carbodiimide (22. lg, 0. llmol) was dissolved in chloroform (120 mL), with stirring, was added methyl sulfonamide (9.8g, 0. lOmol), the reaction mixture was 80 ° C the reaction stirred for 19 hours, the reaction solution was concentrated by rotary evaporation to dryness, ethyl acetate was added and extracted dried over magnesium sulfate, and concentrated by rotary evaporation to dryness, recrystallized from methanol to give 2- [4- (tert-butoxycarbonyl) (isopropyl) aminobutoxy] -N- (methylsulfonyl) acetamide, off-white the solid (24.8 g of), a yield of 85.0%, the reaction of the present step is the same formula as in Example 1;

[0045] D) Preparation of SIPA Seiler: 2- [4_ (tert-butoxycarbonyl) (isopropyl) aminobutoxy] -N- (methylsulfonyl) acetamide (24 (^, 0.065111〇1. ) and dissolved in ethanol (1601 ^), trifluoroacetic acid (9 (^, 0.08111〇1.), 70 ° (: the reaction was stirred for 7 hours to complete the reaction, the reaction was added dropwise to a stirred solution of water (260 mL of), cooled crystallization to 0 ° C for 3 hours and filtered to give the intermediate compound (2- [4- (isopropyl) aminobutoxy] -N- (methylsulfonyl) acetamide), and then dissolved in ethanol (90 mL) , 5-chloro-2,3-diphenyl-pyrazine (! 11〇1 21.8 8,0.08), triethylamine (14.98,0.15111〇1), the reaction mixture was 100 ° (: The reaction was stirred for 18 hours, the reaction solution cooled to room temperature, water (40 mL), cooled to -10 ° C crystallization for 3 hours and filtered to give SIPA game music, as a white solid (29.6 g of), a yield of 91.0%, the reaction of the present step is the same formula as in Example 1 .

[0046] Example 3

[0047] A) Preparation of [4_ (tert-butoxycarbonyl) (isopropyl) aminobutoxy] acetate:

[0048] 4 – [(tert-butoxycarbonyl) (isopropyl) amino] -1-butanol (12g, 0.05mol) and t-butyl bromoacetate (12.1g, 0.06mol) was dissolved in chloroform (70mL), was added tetrabutylammonium iodide (0 · 5g, 1 · 3mmol), lithium hydroxide (1 · 7g, 0 · 07mol) and water (6.5 g of), the reaction mixture was stirred 20 ° C for 4 hours, the reaction solution under reduced pressure concentrated by rotary evaporation to dryness, extracted with ethyl acetate, dried over magnesium sulfate, and concentrated by rotary evaporation to dryness, a mixed solvent of ethanol and recrystallized from isopropanol to give [4- (tert-butoxycarbonyl) (isopropyl) aminobutyrate oxygen yl] acetate, as a pale yellow oil (15.6 g of), a yield of 86.8%, the reaction of the present step is the same formula as in Example 1;

[0049] B) Preparation of [4- (tert-butoxycarbonyl) (isopropyl) aminobutoxy] acetic acid:

[0050] [4- (tert-butoxycarbonyl) (isopropyl) aminobutoxy] acetate (15.0g, 0.04mol) was dissolved in isopropanol (40mL), was added a solution of lithium hydroxide (LiOH = 1 · 3g, 0 · 05mol; water 6 · 0g), was heated to 70 ° C for 8 hours, cooled to room temperature, after treatment and purification, to give [4- (tert-butoxycarbonyl) (isopropyl) aminobutyrate oxy] acetic acid as an off-white solid (11.7 g), 93.0% yield, this step is the same reaction scheme of Example 1;

[0051] C) Preparation of 2- [4- (tert-butoxycarbonyl) (isopropyl) aminobutoxy] -N- (methylsulfonyl) acetamide:

[0052] [4- (tert-butoxycarbonyl) (isopropyl) aminobutoxy] acetic acid (11 (^, 0.04! 11〇1) and 1- (3-dimethylaminopropyl) -3- ethylcarbodiimide (8.38,0.05111〇1) was dissolved in acetonitrile (4〇1111 ^), with stirring, was added methyl sulfonamide (5.] ^, 0.05mol), the reaction mixture was 95 ° C the reaction stirred for 22 hours, The reaction solution was concentrated by rotary evaporation to dryness, extracted with ethyl acetate, dried over magnesium sulfate, and concentrated by rotary evaporation to dryness, recrystallized from methanol to give 2- [4- (tert-butoxycarbonyl) (isopropyl) aminobutoxy] -N- (methylsulfonyl) acetamide as an off-white solid (11.7 g), yield 84.2%, the reaction of the present step is the same formula as in Example 1;

[0053] D) Preparation of SIPA Seiler: 2- [4_ (tert-butoxycarbonyl) (isopropyl) aminobutoxy] -N- (methylsulfonyl) acetamide (11 (^, 0.03111〇1. ) and dissolved in dichloromethane (601 ^), trifluoroacetic acid (4.48,0.04111〇1), 50 ° (: the reaction was stirred for 10 hours to water (120 mL completion of the reaction, the reaction liquid was added to a stirred), cooled to crystallization 0 ° C for 3 hours and filtered to give the intermediate compound (2- [4- (isopropyl) aminobutoxy] -N- (methylsulfonyl) acetamide), and then dissolved in tert-butanol (40 mL ), 5-chloro-2,3-diphenyl-pyrazine (9.68,0.036 11〇1), 4-dimethylaminopyridine (8.18,0.07111〇1), the reaction mixture was 110 ° (:! reaction was stirred for 14 hours the reaction was cooled to room temperature, water (15 mL), cooled to -10 ° C crystallization for 3 hours and filtered to give SIPA game music, as a white solid (13.5 g of), a yield of 90.5%, the reaction in this step is the same formula Example 1.

[0054] Example 4

[0055] A) Preparation of [4_ (tert-butoxycarbonyl) (isopropyl) aminobutoxy] acetate:

[0056] 4 – [(tert-butoxycarbonyl) (isopropyl) amino] -1-butanol (15 (^, 0.065111〇1) and t-butyl bromoacetate (17.78,0.09111〇1) was dissolved in toluene (701] 11 ^), was added tetrabutylammonium hydrogen sulfate (0.888,2.61] 11] 1〇1), potassium carbonate (15.2 area, 0.1 lmol) and water (9.5 g of), the reaction mixture was stirred 40 ° C for 1.5 hours, the reaction solution was concentrated under reduced pressure and rotary evaporated to dryness and extracted with ethyl acetate, dried over magnesium sulfate, and concentrated by rotary evaporation to dryness, a mixed solvent of ethanol and recrystallized from isopropanol to give [4- (tert-butoxycarbonyl) (isopropyl propyl) aminobutoxy] acetate, as a pale yellow oil (19.6 g of), in the same reaction formula in this step a yield of 87.5% in Example 1;

[0057] B) Preparation of [4_ (tert-butoxycarbonyl) (isopropyl) aminobutoxy] acetic acid:

[0058] [4- (tert-butoxycarbonyl) (isopropyl) aminobutoxy] acetate (19 (^, 0.055! 11〇1) was dissolved in tert-butanol (60 mL), hydroxide solution of cesium (CsOH = 11. lg, 0.07mol; water, 8.0 g), the reaction was heated to 75 ° C for 6.5 hours cooled to room temperature, after treatment and purification, to give [4- (tert-butoxycarbonyl) (isopropyl ) aminobutoxy] acetic acid, an off-white solid (15.0 g of), a yield of 94.2%, the reaction of the present step is the same formula as in Example 1;

[0059] C) Preparation of 2- [4- (tert-butoxycarbonyl) (isopropyl) aminobutoxy] -N- (methylsulfonyl) acetamide:

[0060] [4- (tert-butoxycarbonyl) (isopropyl) aminobutoxy] acetic acid (15.0g, 0.05mol) and diazabicyclo 1,8_

[5.4.0] – | -7- dilute (9.5 region, 0.06111〇1) was dissolved in toluene (8〇1111 ^), with stirring, was added methyl sulfonamide (5.7 region, 0.06mo 1), the reaction mixture was 105 ° C for 16 hours, the reaction solution was concentrated by rotary evaporation to dryness, extracted with ethyl acetate, dried over magnesium sulfate, and concentrated by rotary evaporation to dryness, recrystallized from methanol to give 2- [4- (tert-butoxycarbonyl) (isopropyl ) aminobutoxy] -N- (methylsulfonyl) acetamide as an off-white solid (16.6 g of), 87.3% yield, this step is the same reaction scheme of Example 1;

[0061] D) Preparation of SIPA Seiler: 2- [4- (tert-butoxycarbonyl) (isopropyl) aminobutoxy] -N- (methylsulfonyl) acetamide (16 (^, 0.04111〇. 1) and dissolved in ethyl acetate (^ 1,301,111), trifluoroacetic acid (5.78,0.051] 1〇1), 80 <€ the reaction was stirred for 5 hours to complete the reaction, the reaction was added dropwise to a stirred solution of water (150 mL), was cooled to 0 ° C crystallization for 3 hours and filtered to give the intermediate compound (2- [4- (isopropyl) aminobutoxy] -N- (methylsulfonyl) acetamide), then dissolved in isopropanol (50 mL), was added 5-chloro-2,3-diphenyl-pyrazine (13.58,0.05 11〇1!), a hoot dimethylaniline (12.28,0.10111〇1), the reaction mixture was 95 ° (: The reaction was stirred 12 hours, the reaction was cooled to room temperature, water (40 mL), cooled to -10 ° C crystallization for 3 hours and filtered to give SIPA game music, as a white solid (19.7 g of), a yield of 91.0%, the reaction step formula in Example 1.

//////////////

Selexipag (C26H32N4O4S, Mr = 496.6 g/mol) ist ein Diphenylpyrazin-Derivat. Es wird in der Leber zum aktiven Metaboliten ACT-333679 (MRE-269) biotransformiert. Selexipag unterscheidet sich strukturell von Prostazyklin und anderen Prostazylin-Rezeptor-Agonisten.

References

 

  1. Kuwano et al. NS-304, an orally available and long-acting prostacyclin receptor agonist prodrug. J Pharmacol Exp Ther 2007;322:1181-1188.
  2. Kuwano et al. A long-acting and highly selective prostacyclin receptor agonist prodrug, NS-304, ameliorates rat pulmonary hypertension with unique relaxant responses of its active form MRE-269 on rat pulmonary artery. J Pharmacol Exp Ther 2008;326:691-699.
  3. Simonneau G, Lang I, Torbicki A, Hoeper MM, Delcroix M, Karlocai K, Galie N. Selexipag, an oral, selective IP receptor agonist for the treatment of pulmonary arterial hypertension Eur Respir J 2012; 40: 874-880
  4. Mubarak KK. A review of prostaglandin analogs in the management of patients with pulmonary arterial hypertension. Respir Med 2010;104:9-21.
  5. Sitbon, O.; Morrell, N. (2012). “Pathways in pulmonary arterial hypertension: The future is here”. European Respiratory Review 21 (126): 321–327. doi:10.1183/09059180.00004812PMID 23204120.
  6. Publication numberPriority datePublication dateAssigneeTitle
    WO2016193994A12015-05-292016-12-08Megafine Pharma (P) Ltd.Amorphous selexipag and process for preparation thereof
    WO2017040872A12015-09-032017-03-09Teva Pharmaceuticals International GmbhSolid state forms of selexipag
    WO2017042731A12015-09-102017-03-16Lupin LimitedAmorphous form of selexipag and solid dispersion thereof
    WO2017109772A1 *2015-12-202017-06-29Mapi Pharma Ltd.Amorphous form of selexipag
    WO2018008042A1 *2016-07-052018-01-11Maithri Drugs Private LimitedNovel process for the preparation of 2-{4-[(5,6-diphenyl pyrazin-2-yl)(isopropyl)amino]butoxy}-n-(methylsulfonyl)acetamide and novel polymorphs thereof
    WO2018015974A12016-07-202018-01-25Mylan Laboratories LimitedPolymorphic forms and amorphous solid dispersion of selexipag
    WO2018022704A12016-07-262018-02-01Teva Pharmaceuticals International GmbhCrystalline form vi of selexipag
    WO2018078383A12016-10-272018-05-03Cipla LimitedPharmaceutical composition comprising amorphous selexipag
    Family To Family Citations
    WO2009107736A1 *2008-02-282009-09-03日本新薬株式会社Fibrosis inhibitor
    CN106279047A2015-05-132017-01-04上海适济生物科技有限公司Preparation method of prostacyclin receptor agonist
    WO2017029594A1 *2015-08-172017-02-23Dr. Reddy’s Laboratories LimitedProcesses for preparation of selexipag and its amorphous form
    WO2017042828A3 *2015-09-102017-04-27Megafine Pharma (P) Ltd.Process for the preparation of selexipag
    EP3192502A12016-01-152017-07-19Sandoz AgPharmaceutical composition of selexipag
    WO2017168401A1 *2016-04-012017-10-05Honour (R&D)Process for the preparation of diphenylpyrazine derivatives
    CN105949135A *2016-05-102016-09-21湖南欧亚生物有限公司Synthetic method of selexipag
    EP3335699A12016-12-152018-06-20H e x a l AktiengesellschaftSelexipag formulation in liquisolid system
Patent Submitted Granted
Methods of identifying critically ill patients at increased risk of development of organ failure and compounds for the treatment hereof [US8877710] 2009-12-30 2014-11-04
Form-I crystal of 2-{4-[N-(5,6-diphenylpyrazin-2-yl)-N-isopropylamino]butyloxy}-N-(methylsulfonyl)acetamide and method for producing the same [US8791122] 2010-06-25 2014-07-29
COMPOUNDS CAPABLE OF MODULATING/PRESERVING ENDOTHELIAL INTEGRITY FOR USE IN PREVENTION OR TREATMENT OF ACUTE TRAUMATIC COAGULOPATHY AND RESUSCITATED CARDIAC ARREST [US2015057325] 2013-03-26 2015-02-26
INHIBITION OF NEOVASCULARIZATION BY SIMULTANEOUS INHIBITION OF PROSTANOID IP AND EP4 RECEPTORS [US2014275200] 2014-03-05 2014-09-18
INHIBITION OF NEOVASCULARIZATION BY INHIBITION OF PROSTANOID IP RECEPTORS [US2014275238] 2014-03-05 2014-09-18
Fibrosis inhibitor [US8889693] 2014-04-10 20
Patent Submitted Granted
Heterocyclic compound derivatives and medicines [US7205302] 2004-05-27 2007-04-17
METHODS OF IDENTIFYING CRITICALLY ILL PATIENTS AT INCREASED RISK OF DEVELOPMENT OF ORGAN FAILURE AND COMPOUNDS FOR THE TREATMENT HEREOF [US2014322207] 2014-07-11 2014-10-30
THERAPEUTIC COMPOSITIONS CONTAINING MACITENTAN [US2014329824] 2014-07-18 2014-11-06
Sustained Release Composition of Prostacyclin [US2014303245] 2012-08-10 2014-10-09
COMPOUNDS CAPABLE OF MODULATING/PRESERVING ENDOTHELIAL INTEGRITY FOR USE IN PREVENTION OR TREATMENT OF ACUTE TRAUMATIC COAGULOPATHY AND RESUSCITATED CARDIAC ARREST [US2013261177] 2011-09-30 2013-10-03
METHODS OF TREATMENT OF PATIENTS AT INCREASED RISK OF DEVELOPMENT OF ISCHEMIC EVENTS AND COMPOUNDS HEREOF [US2013040898] 2011-04-29 2013-02-14
Substituted Diphenylpyrazine Derivatives [US2013005742] 2010-08-06 2013-01-03
USE OF FORM-I CRYSTAL OF 2–N-(METHYLSULFONYL)ACETAMIDE [US2014148469] 2014-01-22 2014-05-29
CRYSTALS OF 2- {4- [N- (5,6-DIPHENYLPYRAZIN-2-YL) -N-ISOPROPYLAMINO]BUTYLOXY}-N- (METHYLSULFONYL) ACETAMIDE [US2014155414] 2014-01-22 2014-06-05
PROSTACYCLIN AND ANALOGS THEREOF ADMINISTERED DURING SURGERY FOR PREVENTION AND TREATMENT OF CAPILLARY LEAKAGE [US2014044797] 2012-03-30 2014-02-13
Selexipag
Selexipag.svg
Names
IUPAC name

2-{4-[(5,6-diphenylpyrazin-2-yl)(propan-2-yl)amino]butoxy}-N-(methanesulfonyl)acetamide
Other names

ACT-293987, NS-304
Identifiers
475086-01-2 Yes
ChEMBL ChEMBL238804 
ChemSpider 8089417 Yes
7552
Jmol interactive 3D Image
KEGG D09994 Yes
PubChem 9913767
UNII P7T269PR6S Yes
Properties
C26H32N4O4S
Molar mass 496.6 g·mol−1

//////////ACT-333679,  MRE-269, Selexipag, セレキシパグ , UNII-5EXC0E384L, селексипаг سيليكسيباق Orphan Drug, fda 2015, NS 304,  ACT 293987,  Uptravi, EU 2016, 

CC(C)N(CCCCOCC(=O)NS(=O)(=O)C)C1=CN=C(C(=N1)C2=CC=CC=C2)C3=CC=CC=C3

Selexipag (Uptravi)

Selexipag and its active metabolite, the corresponding carboxylic acid, are nonprostanoid prostaglandin I2 (PGI-2) receptor agonists (Scheme 8).(24) The N-methylsulfonamide within selexipag is hydrolyzed to the corresponding carboxylic acid in vivo by hepatic microsomes at a rate which provides a slow-release pharmacological effect.(24) The compound was originally discovered by Nippon Shinyaki and later licensed to Actelion for development. The drug was approved in 2015 and first launched for the oral treatment of pulmonary arterial hypertension (PAH) in the U.S. in 2016 to delay disease progression and reduce the risk of hospitalization.(25)
Figure
The synthesis of selexipag began with condensation of commercially available benzil (51) and glycinamide hydrochloride in the presence of concentrated sodium hydroxide in refluxing MeOH to yield hydroxypyrazine 52. This compound was subsequently converted to 5-chloro-2,3-diphenylpyrazine (53) upon treatment with refluxing POCl3 in the presence of a catalytic amount of H2SO4.(26) Chloride 53 was then subjected to neat 4-(isopropylamino)-1-butanol (54, prepared by the reductive alkylation of 4-amino-1-butanol and acetone with hydrogen over PtO2 in EtOH) at 190 °C to give aminopyrazinyl alcohol 55 in 56% yield as colorless crystals. Alcohol 55 was alkylated with tert-butyl bromoacetate using Bu4NHSO4 as a phase-transfer catalyst and 40% aqueous KOH in benzene to give ester 56. Although it is particularly unusual to employ benzene on a production scale, these are the only reported conditions for this transformation. The crude ester 56 was then saponified using methanolic sodium hydroxide to yield the corresponding carboxylic acid 57 in 62% as pale-yellow crystals in two steps from compound 55. Finally, the carboxylic acid 57 was coupled with methanesulfonamide in the presence of CDI and DBU in THF to give selexipag (VI) in 77% yield.(27
  1. 24.AsakiT.KuwanoK.MorrisonK.GatfieldJ.HamamotoT.ClozelM. Selexipag: An Oral and Selective IP Prostacyclin Receptor Agonist for the Treatment of Pulmonary Arterial Hypertension J. Med. Chem. 2015,587128– 7137 DOI: 10.1021/acs.jmedchem.5b00698

  2. 25.Skoro-SajerN.LangI. M. Selexipag for the Treatment of Pulmonary Arterial Hypertension Expert Opin. Pharmacother. 201415429– 436 DOI: 10.1517/14656566.2014.876007

  3. 26.KarmasG.SpoerriP. E. The Preparation of Hydroxypyrazines and Derived Chloropyrazines J. Am. Chem. Soc. 1952741580– 1584 DOI: 10.1021/ja01126a070

  4. 27.AsakiT.HamamotoT.SugiyamaY.KuwanoK.KuwabaraK. Structure-activity Studies on Diphenylpyrazine Derivatives: a Novel Class of Prostacyclin Receptor Agonists Bioorg. Med. Chem. 2007,156692– 6704 DOI: 10.1016/j.bmc.2007.08.010

Isavuconazonium sulfate, Изавуконазониев сулфат


Image result for isavuconazonium
ChemSpider 2D Image | Isavuconazonium sulfate | C35H36F2N8O9S2
Isavuconazonium sulfate
Изавуконазониев сулфат
MOLECULAR FORMULA: C35H36F2N8O9S2
MOLECULAR WEIGHT: 814.837 g/mol
BAL-8557-002, BAL 8557
[2-[1-[1-[(2R,3R)-3-[4-(4-cyanophenyl)-1,3-thiazol-2-yl]-2-(2,5-difluorophenyl)-2-hydroxybutyl]-1,2,4-triazol-4-ium-4-yl]ethoxycarbonyl-methylamino]pyridin-3-yl]methyl 2-(methylamino)acetate;hydrogen sulfate
UNII:31Q44514JV
(2-{[(1-{1-[(2R,3R)-3-[4-(4-cyanophenyl)-1,3-thiazol-2-yl]-2-(2,5-difluorophenyl)-2-hydroxybutyl]-1H-1,2,4-triazol-4-ium-4-yl}ethoxy)carbonyl](methyl)amino}pyridin-3-yl)methyl N-methylglycinate hydrogen sulfate
(2-{[(1-{1-[(2R,3R)-3-[4-(4-Cyanophenyl)-1,3-thiazol-2-yl]-2-(2,5-difluorophenyl)-2-hydroxybutyl]-1H-1,2,4-triazol-4-ium-4-yl}ethoxy)carbonyl](methyl)amino}-3-pyridinyl)methyl N-methylglycinate hydrog en sulfate
FDA 2015, EU 2015, BAL8557-002, BCS CLASS I, RO-0098557 , AK-1820
fast track designation
QIDP
ORPHAN DRUG EU
Image result for Isavuconazonium sulfate
1-{(2R,3R)-3-[4-(4-cyanophenyl)-1,3- thiazol-2-yl]-2-(2,5-difluoro-phenyl)-2-hydroxybutyl}-4-[(1RS)-1-({methyl[3-({[(methylamino)acetyl] oxy}methyl) pyridin-2-yl]carbamoyl}oxy)ethyl]-1H-1,2,4-triazol-4-ium monosulfate (IUPAC), corresponding to the molecular formula C35H35F2N8O5S·HSO4 and has a relative molecular mass of 814.84 g/mol. The relative molecular mass of isavuconazole is 437.47.
Isavuconazonium is a second-generation triazole antifungal approved on March 6, 2015 by the FDA for the treatment of invasive aspergillosis and invasive mucormycosis, marketed by Astellas under the brand Cresemba. It is the prodrug form of isavuconazole, the active moiety, and it is available in oral and parenteral formulations. Due to low solubility in waterof isavuconazole on its own, the isovuconazonium formulation is favorable as it has high solubility in water and allows for intravenous administration. This formulation also avoids the use of a cyclodextrin vehicle for solubilization required for intravenous administration of other antifungals such as voriconazole and posaconazole, eliminating concerns of nephrotoxicity associated with cyclodextrin. Isovuconazonium has excellent oral bioavailability, predictable pharmacokinetics, and a good safety profile, making it a reasonable alternative to its few other competitors on the market.
Originally developed at Roche, the drug candidate was subsequently acquired by Basilea. In 2010, the product was licensed to Astellas Pharma by Basilea Pharmaceutica for codevelopment and copromotion worldwide, including an option for Japan, for the treatment of fungal infection.
03/06/2015 02:10 PM EST
The U.S. Food and Drug Administration today approved Cresemba (isavuconazonium sulfate), a new antifungal drug product used to treat adults with invasive aspergillosis and invasive mucormycosis, rare but serious infections.

Syn……https://newdrugapprovals.org/2013/10/02/isavuconazole-basilea-reports-positive-results-from-study/

PRODUCT PATENT

https://patents.google.com/patent/US6300353

InventorTadakatsu HayaseShigeyasu IchiharaYoshiaki IsshikiPingli LiuJun OhwadaToshiya SakaiNobuo ShimmaMasao TsukazakiIsao UmedaToshikazu Yamazaki

Current Assignee Basilea Pharmaceutica International Ltd Original

AssigneeBasilea Pharmaceutica AG Priority date 1998-03-06

https://patents.google.com/patent/WO1999045008A1/en

POLYMORPHS OF BASE

WO 2016055918

https://patents.google.com/patent/WO2016055918A1/en

PATENT

IN 2014MU03189

WOCKHARDT

Isavuconazole, isavuconazonium, Voriconazole, and Ravuconazole are azole derivatives and known as antifungal drugs for treatment of systemic mycoses as reported in US 5,648,372, US 5,792,781, US 6,300,353 and US 6,812,238. The US patent No. 6,300,353 discloses Isavuconazole and its process. It has chemical name [(2R,3R)-3-[4-(4-cyanophenyl)thiazol-2-yl)]-1-(1H-1,2,4-triazol-1-yl)-2-(2,5- difluorophenyl)-butan-2-ol;

The Isavuconazonium iodide hydrochloride and Isavuconazonium sulfate can be prepared according to known methods, e.g. pending Indian Patent Applications IN 2424/MUM/2014 and IN 2588/MUM/2014.

Example-1: Preparation of Amorphous Isavuconazole

str1

4-cyano Phenacyl bromide F F N N N OH N S CN Formula-I Formula-III In a round bottomed flask charged ethanol (250 ml), thioamide compound of formula-II (25.0 gm) and 4-cyano phenacyl bromide (18.4 gm) under stirring. The reaction mixture were heated to 70 0C. After completion of reaction the solvent was removed under vacuum distillation and water (250 ml) and Ethyl acetate (350 ml) were added to reaction mass. The reaction mixture was stirred and its pH was adjusted between 7 to 7.5 by 10 % solution of sodium bicarbonate. The layer aqueous layer was discarded and organic layer was washed with saturated sodium chloride solution (100 ml) and concentrated under vacuum to get residue. The residue was suspended in methyl tert-butyl ether (250 ml) and the reaction mixture was heated to at 40°C to make crystals uniform and finally reaction mass is cooled to room temperature filtered and washed with the methyl tert-butyl ether. The product was isolated dried to get pale yellowish solid product. Yield: 26.5 gm HPLC purity: 92.7%

CLIP

March 6, 2015

Release

The U.S. Food and Drug Administration today approved Cresemba (isavuconazonium sulfate), a new antifungal drug product used to treat adults with invasive aspergillosis and invasive mucormycosis, rare but serious infections.

Aspergillosis is a fungal infection caused by Aspergillus species, and mucormycosis is caused by the Mucorales fungi. These infections occur most often in people with weakened immune systems.

Cresemba belongs to a class of drugs called azole antifungal agents, which target the cell wall of a fungus. Cresemba is available in oral and intravenous formulations.

“Today’s approval provides a new treatment option for patients with serious fungal infections and underscores the importance of having available safe and effective antifungal drugs,” said Edward Cox, M.D., M.P.H, director of the Office of Antimicrobial Products in the FDA’s Center for Drug Evaluation and Research.

Cresemba is the sixth approved antibacterial or antifungal drug product designated as a Qualified Infectious Disease Product (QIDP). This designation is given to antibacterial or antifungal drug products that treat serious or life-threatening infections under the Generating Antibiotic Incentives Now (GAIN) title of the FDA Safety and Innovation Act.

As part of its QIDP designation, Cresemba was given priority review, which provides an expedited review of the drug’s application. The QIDP designation also qualifies Cresemba for an additional five years of marketing exclusivity to be added to certain exclusivity periods already provided by the Food, Drug, and Cosmetic Act. As these types of fungal infections are rare, the FDA also granted Cresemba orphan drug designations for invasive aspergillosis and invasive mucormycosis.

The approval of Cresemba to treat invasive aspergillosis was based on a clinical trial involving 516 participants randomly assigned to receive either Cresemba or voriconazole, another drug approved to treat invasive aspergillosis. Cresemba’s approval to treat invasive mucormycosis was based on a single-arm clinical trial involving 37 participants treated with Cresemba and compared with the natural disease progression associated with untreated mucormycosis. Both studies showed Cresemba was safe and effective in treating these serious fungal infections.

The most common side effects associated with Cresemba include nausea, vomiting, diarrhea, headache, abnormal liver blood tests, low potassium levels in the blood (hypokalemia), constipation, shortness of breath (dyspnea), coughing and tissue swelling (peripheral edema).  Cresemba may also cause serious side effects including liver problems, infusion reactions and severe allergic and skin reactions.

Cresemba is marketed by Astellas Pharma US, Inc., based in Northbrook, Illinois.

str0

The active substance is isavuconazonium sulfate, a highly water soluble pro-drug of the active triazole isavuconazole. The chemical name of the active substance isavuconazonium sulfate is 1-{(2R,3R)-3-[4-(4-cyanophenyl)-1,3- thiazol-2-yl]-2-(2,5-difluoro-phenyl)-2-hydroxybutyl}-4-[(1RS)-1-({methyl[3-({[(methylamino)acetyl] oxy}methyl) pyridin-2-yl]carbamoyl}oxy)ethyl]-1H-1,2,4-triazol-4-ium monosulfate (IUPAC), corresponding to the molecular formula C35H35F2N8O5S·HSO4 and has a relative molecular mass of 814.84 g/mol. The relative molecular mass of isavuconazole is 437.47. The active substance has the following structure:

STR1.JPG

The structure of the active substance has been confirmed by elemental analysis, mass spectrometry, UV, IR, 1H-, 13C- and 19F-NMR spectrometry, and single crystal X-ray analysis, all of which support the chemical structure. It appears as a white, amorphous, hygroscopic powder. It is very soluble in water and over the pH range 1-7. It is also very soluble in methanol and sparingly soluble in ethanol. Two pKa values have been found and calculated to be 2.0 and 7.3. Its logPoct/wat calculated by software is 1.31.

Isavuconazonium sulfate has three chiral centres. The stereochemistry of the active substance is introduced by one of the starting materials which is controlled by appropriate specification. The two centres, C7 and C8 in the isavuconazole moiety and in an intermediate of the active substance, have R configuration. The third chiral centre, C29, is not located on isavuconazole moiety and has both the R and S configurations. The nondefined stereo centre at C29 has been found in all batches produced so far to be racemic. Erosion of stereochemical purity has not been observed in the current process. The active substance is a mixture of two epimers of C29.

An enantiomer of drug substance was identified as C7 (S), C8 (S) and C29 (R/S) structure. The control of the stereochemistry of isavuconazonium sulfate is performed by chiral HPLC on the active substance and its two precursors. Subsequent intermediates are also controlled by relevant specification in the corresponding steps. Two crystal forms have been observed by recrystallisation studies. However the manufacturing process as described yields amorphous form only.

Two different salt forms of isavuconazonuium (chloride and sulfate) were identified during development. The sulfate salt was selected for further development. A polymorph screening study was also performed. None of the investigated salts could be obtained in crystalline Form………http://www.ema.europa.eu/docs/en_GB/document_library/EPAR_-_Public_assessment_report/human/002734/WC500196130.pdf

Image result for isavuconazonium

str1str2str3

Clip

Isavuconazonium (Cresemba ) is a water-soluble prodrug of the triazole antifungal isavuconazole (BAL4815), a 14-a-demethylase inhibitor, under development byBasilea Pharmaceutica International Ltd and Astellas Pharma Inc. Isavuconazonium, in both its intravenous and oral formulations, was approved for the treatment of invasive aspergillosis and invasive mucormycosis (formerly termed zygomycosis) in the US in March 2015. Isavuconazonium is under regulatory review in the EU for invasive aspergillosis and mucormycosis. It is also under phase III development worldwide for the treatment of invasive candidiasis and candidaemia. This article summarizes the milestones in the development of isavuconazonium leading to the first approval for invasive spergillosis and mucormycosis.

Introduction

The availability of both an intravenous (IV) and an oral formulation of isavuconazonium (Cresemba ), as a result of its water solubility, rapid hydrolysis to the active entity isavuconazole and very high oral bioavailability, provides maximum flexibility to clinicians for treating seriously ill patients with invasive fungal infections [1]. Both the IV and oral formulations have been approved by the US Food and Drug Administration (FDA) to treat adults with invasive aspergillosis and invasive mucormycosis [2]. The recommended dosages of each formulation are identical, consisting of loading doses of 372 mg (equivalent to 200 mg of isavuconazole) every eight hours for six doses, followed by maintenance therapy with 372 mg administered once daily [3]. The Qualified Infectious Disease Product (QIDP) designation of the drug with priority review status by the FDA isavuconazonium in the US provided and a five year extension of market exclusivity from launch. Owing to the rarity of the approved infections,

isavuconazonium was also granted orphan drug designation by the FDA for these indications [2]. It has also been granted orphan drug and QIDP designation in the US for the treatment of invasive candidiasis [4]. In July 2014, Basilea Pharmaceutica International Ltd submitted a Marketing Authorization Application to the European Medicines Agency (EMA) for isavuconazonium in the treatment of invasive aspergillosis and invasive mucormycosis, indications for which the EMA has granted isavuconazonium orphan designation [5, 6]. Isavuconazonium is under phase III development in many countries worldwide for the treatment of invasive candidiasis and candidaemia.

1.1 Company agreements

In 2010, Basilea Pharmaceutica International Ltd (a spinoff from Roche, founded in 2000) entered into a licence agreement with Astellas Pharma Inc in which the latter would co-develop and co-promote isavuconazonium worldwide, including an option for Japan. In return for milestone payments, Astellas Pharma was granted an exclusive right to commercialize isavuconazonium, while Basilea Pharmaceutica retained an option to co-promote the drug in the US, Canada, major European countries and China [7]. The companies amended their agreement in 2014, making Astellas Pharma responsible for all regulatory filings, commercialization and manufacturing of isavuconazonium in the US and Canada. Basilea Pharmaceutica waived its right to co-promote the product in the US and Canada, in order to assume all rights in the rest of the world [8]. However, Astellas Pharma remains as sponsor of the multinational, phase III ACTIVE trial in patients with invasive candidiasis.

2 Scientific Summary

Isavuconazonium (as the sulphate; BAL 8557) is a prodrug that is rapidly hydrolyzed by esterases (mainly butylcholinesterase) in plasma into the active moiety isavuconazole

(BAL 4815) and an inactive cleavage product (BAL 8728).

References

1. Falci DR, Pasqualotto AC. Profile of isavuconazole and its potential in the treatment of severe invasive fungal infections. Infect Drug Resist. 2013;6:163–74.

2. US Food and Drug Administration. FDA approves new antifungal drug Cresemba. 2015. http://www.fda.gov/NewsEvents/Newsroom/PressAnnouncements/ucm437106.htm. Accessed 12 Mar 2015.

3. US Food and Drug Administration. Cresemba (isavuconazonium sulfate): US prescribing information. 2015. http://www.accessdata.fda.gov/drugsatfda_docs/label/2015/207500Orig1s000lbl.pdf. Accessed 18 Mar 2015.

4. Astellas Pharma US Inc. FDA grants Astellas Qualified Infectious Disease Product designation for isavuconazole for the treatment of invasive candidiasis (media release). 2014. http://newsroom astellas.us/2014-07-16-FDA-Grants-Astellas-Qualified-Infectious-Disease-Product-Designation-for-Isavuconazole-for-the-Treatmentof-Invasive-Candidiasis.

5. European Medicines Agency. Public summary of opinion on orphan designation: isavuconazonium sulfate for the treatment of invasive aspergillosis. 2014. http://www.ema.europa.eu/docs/en_GB/document_library/Orphan_designation/2014/07/WC500169890.pdf. Accessed 18 Mar 2015.

European Medicines Agency. Public summary of opinion on orphan designation: isavuconazonium sulfate for the treatment of mucormycosis. 2014. http://www.ema.europa.eu/docs/en_GB/document_library/Orphan_designation/2014/07/WC500169714.pdf. Accessed 18 Mar 2015.

7. Basilea Pharmaceutica. Basilea announces global partnership with Astellas for its antifungal isavuconazole (media release).2010. http://www.basilea.com/News-and-Media/Basilea-announcesglobal-partnership-with-Astellas-for-its-antifungal-isavuconazole/343.

8. Basilea Pharmaceutica. Basilea swaps its isavuconazole North American co-promote rights for full isavuconazole rights outside of North America (media release). 2014. http://www.basilea.com/News-and-Media/Basilea-swaps-its-isavuconazole-North-Americanco-promote-rights-for-full-isavuconazole-rights-outside-

CLIP

Image result for Isavuconazonium sulfate

str0

http://www.jpharmsci.org/article/S0022-3549(15)00035-0/pdf

A CLIP

http://www.accessdata.fda.gov/drugsatfda_docs/nda/2015/207500Orig1207501Orig1s000ChemR.pdf

EMA

On 4 July 2014 orphan designation (EU/3/14/1284) was granted by the European Commission to Basilea Medical Ltd, United Kingdom, for isavuconazonium sulfate for the treatment of invasive aspergillosis.

Update: isavuconazonium sulfate (Cresemba) has been authorised in the EU since 15 October 2015. Cresemba is indicated in adults for the treatment of invasive aspergillosis.

Consideration should be given to official guidance on the appropriate use of antifungal agents.

http://www.ema.europa.eu/docs/en_GB/document_library/EPAR_-_Public_assessment_report/human/002734/WC500196130.pdf

The active substance is isavuconazonium sulfate, a highly water soluble pro-drug of the active triazole isavuconazole. The chemical name of the active substance isavuconazonium sulfate is 1-{(2R,3R)-3-[4-(4-cyanophenyl)-1,3- thiazol-2-yl]-2-(2,5-difluoro-phenyl)-2-hydroxybutyl}-4-[(1RS)-1-({methyl[3-({[(methylamino)acetyl] oxy}methyl) pyridin-2-yl]carbamoyl}oxy)ethyl]-1H-1,2,4-triazol-4-ium monosulfate (IUPAC), corresponding to the molecular formula C35H35F2N8O5S·HSO4 and has a relative molecular mass of 814.84 g/mol. The relative molecular mass of isavuconazole is 437.47. The active substance has the following structure

str1

It appears as a white, amorphous, hygroscopic powder. It is very soluble in water and over the pH range 1-7. It is also very soluble in methanol and sparingly soluble in ethanol. Two pKa values have been found and calculated to be 2.0 and 7.3. Its logPoct/wat calculated by software is 1.31.

Isavuconazonium sulfate has three chiral centres. The stereochemistry of the active substance is introduced by one of the starting materials which is controlled by appropriate specification. The two centres, C7 and C8 in the isavuconazole moiety and in an intermediate of the active substance, have R configuration. The third chiral centre, C29, is not located on isavuconazole moiety and has both the R and S configurations. The nondefined stereo centre at C29 has been found in all batches produced so far to be racemic. Erosion of stereochemical purity has not been observed in the current process. The active substance is a mixture of two epimers of C29. An enantiomer of drug substance was identified as C7 (S), C8 (S) and C29 (R/S) structure. The control of the stereochemistry of isavuconazonium sulfate is performed by chiral HPLC on the active substance and its two precursors.

FDA Orange Book Patents

US 6812238

US 7459561

FDA ORANGE BOOK PATENTS: 1 OF 2
Patent 7459561
Expiration Oct 31, 2020
Applicant ASTELLAS
Drug Application N207500 (Prescription Drug: CRESEMBA. Ingredients: ISAVUCONAZONIUM SULFATE)
FDA ORANGE BOOK PATENTS: 2 OF 2
Patent 6812238
Expiration Oct 31, 2020
Applicant ASTELLAS
Drug Application N207500 (Prescription Drug: CRESEMBA. Ingredients: ISAVUCONAZONIUM SULFATE)

FREE FORM

Isavuconazonium.png

Isavuconazonium; Isavuconazonium ion; Cresemba;  BAL-8557; 742049-41-8;

[2-[1-[1-[(2R,3R)-3-[4-(4-cyanophenyl)-1,3-thiazol-2-yl]-2-(2,5-difluorophenyl)-2-hydroxybutyl]-1,2,4-triazol-4-ium-4-yl]ethoxycarbonyl-methylamino]pyridin-3-yl]methyl 2-(methylamino)acetate

MOLECULAR FORMULA: C35H35F2N8O5S+
MOLECULAR WEIGHT: 717.773 g/mol

Patent IDDatePatent Title

US20102494262010-09-30STABILIZED PHARMACEUTICAL COMPOSITION

US74595612008-12-02N-substituted carbamoyloxyalkyl-azolium derivativesUS71898582007-03-13N-phenyl substituted carbamoyloxyalkyl-azolium derivatives

US71511822006-12-19Intermediates for N-substituted carbamoyloxyalkyl-azolium derivatives

US68122382004-11-02N-substituted carbamoyloxyalkyl-azolium derivatives

REF

http://www.drugbank.ca/drugs/DB06636

////////// , QIDP designation, Cresemba , priority review, FDA 2015, EU 2015, BAL8557-002, BCS CLASS I, orphan designation,  invasive aspergillosis, invasive mucormycosis,  RO-0098557 , AK-1820, fast track designation, QIDP, 946075-13-4

CC(C1=NC(=CS1)C2=CC=C(C=C2)C#N)C(CN3C=[N+](C=N3)C(C)OC(=O)N(C)C4=C(C=CC=N4)COC(=O)CNC)(C5=C(C=CC(=C5)F)F)O

CC(C1=NC(=CS1)C2=CC=C(C=C2)C#N)C(CN3C=[N+](C=N3)C(C)OC(=O)N(C)C4=C(C=CC=N4)COC(=O)CNC)(C5=C(C=CC(=C5)F)F)O.OS(=O)(=O)[O-]

UPDATE NEW PATENT

WOCKHARDT, WO 2016016766, ISAVUCONAZONIUM SULPHATE, NEW PATENT

(WO2016016766) A PROCESS FOR THE PREPARATION OF ISAVUCONAZONIUM OR ITS SALT THEREOF

https://patentscope.wipo.int/search/en/detail.jsf?docId=WO2016016766&recNum=1&maxRec=&office=&prevFilter=&sortOption=&queryString=&tab=PCTDescription

WOCKHARDT LIMITED [IN/IN]; D-4, MIDC Area, Chikalthana, Aurangabad 431006 (IN)

KHUNT, Rupesh Chhaganbhai; (IN).
RAFEEQ, Mohammad; (IN).
MERWADE, Arvind Yekanathsa; (IN).
DEO, Keshav; (IN)

The present invention relates to a process for the preparation of stable Isavuconazonium or its salt thereof. In particular of the present invention relates to process for the preparing of isavuconazonium sulfate, Isavuconazonium iodide hydrochloride and Boc-protected isavuconazonium iodide has purity more than 90%. The process is directed to preparation of solid amorphous form of isavuconazonium sulfate, isavuconazonium iodide hydrochloride and Boc-protected isavuconazonium iodide. The present invention process of Isavuconazonium or its salt thereof is industrially feasible, simple and cost effective to manufacture of isavuconazonium sulfate with the higher purity and better yield.

Isavuconazonium sulfate is chemically known l-[[N-methyl-N-3-[(methylamino) acetoxymethyl]pyridin-2-yl] carbamoyloxy]ethyl-l-[(2R,3R)-2-(2,5-difluorophenyl)-2-hydroxy-3-[4-(4-cyanophenyl)thiazol-2-yl]butyl]-lH-[l,2,4]-triazo-4-ium Sulfate and is structurally represented by formula (I):

Formula I

Isavuconazonium sulfate (BAL8557) is indicated for the treatment of antifungal infection. Isavuconazonium sulfate is a prodrug of Isavuconazole (BAL4815), which is chemically known 4-{2-[(lR,2R)-(2,5-Difluorophenyl)-2-hydroxy-l-methyl-3-(lH-l ,2,4-triazol-l-yl)propyl]-l ,3-thiazol-4-yl}benzonitrile compound of Formula II

Formula II

US Ppatent No. 6,812,238 (referred to herein as ‘238); 7,189,858 (referred to herein as ‘858); 7,459,561 (referred to herein as ‘561) describe Isavuconazonium and its process for the preparation thereof.

The US Pat. ‘238 patent describes the process of preparation of Isavuconazonium chloride hydrochloride.

The US Pat. ‘238 described the process for the Isavuconazonium chloride hydrochloride, involves the condensation of Isavuconazole and [N-methyl-N-3((tert-butoxycarbonyl methylamino) acetoxymethyl) pyridine-2-yl]carbamic acid 1 -chloro-ethyl ester. The prior art reported process require almost 15-16 hours, whereas the present invention process requires only 8-10 hours. Inter alia prior art reported process requires too many step to prepare isavuconazonium sulfate, whereas the present invention process requires fewer steps.

Moreover, the US Pat. ‘238 describes the process for the preparation Isavuconazonium hydrochloride, which may be used as the key intermediate for the synthesis of isavuconazonium sulfate, compound of formula I. There are several drawbacks in the said process, which includes the use of anionic resin to prepare Isavuconazonium chloride hydrochloride, consequently it requires multiple time lyophilization, which makes the said prior art process industrially, not feasible.

The inventors of the present invention surprisingly found that Isavuconazonium or a pharmaceutically acceptable salt thereof in yield and purity could be prepared by using substantially pure intermediates in suitable solvent.

Thus, an object of the present invention is to provide simple, cost effective and industrially feasible processes for manufacture of isavuconazonium sulfate. Inventors of the present invention surprisingly found that isavuconazonium sulfate prepared from isavuconazonium iodide hydrochloride, provides enhanced yield as well as purity.

The process of the present invention is depicted in the following scheme:

Formula I

Formula-IA

The present invention is further illustrated by the following example, which does not limit the scope of the invention. Certain modifications and equivalents will be apparent to those skilled in the art and are intended to be included within the scope of the present application.

Examples

Example-1: Synthesis of l-[[N-methyl-N-3-[(t-butoxycarbonylmethylamino) acetoxymethyl]pyridin-2-yl]carbamoyloxy]ethyl-l-[(2R,3R)-2-(2,5-difluorophenyl)-2-hydroxy-3 – [4-(4-cyanophenyl)thiazol-2-yl]butyl] – 1 H-[ 1 ,2,4] -triazo-4-ium iodide

Isavuconazole (20 g) and [N-methyl-N-3((tert-butoxycarbonylmethylamino)acetoxy methyl)pyridine-2-yl]carbamic acid 1 -chloro-ethyl ester (24.7 g) were dissolved in acetonitrile (200ml). The reaction mixture was stirred to add potassium iodide (9.9 g). The reaction mixture was stirred at 47-50°C for 10-13 hour. The reaction mixture was cooled to room temperature. The reaction mass was filtered through celite bed and washed acetonitrile. Residue was concentrated under reduced pressure to give the crude solid product (47.7 g). The crude product was purified by column chromatography to get its pure iodide form (36.5 g).

Yield: 84.5 %

HPLC Purity: 87%

Mass: m/z 817.4 (M- 1)+

Example-2: Synthesis of l-[[N-methyl-N-3-[(methylamino)acetoxymethyl]pyridin-2-yl] carbamoyloxy]ethyl-l-[(2R,3R)-2-(2,5-difluorophenyl)-2-hydroxy-3-[4-(4-cyanophenyl) thiazol-2-yl]butyl]-lH-[l ,2,4]-triazo-4-ium iodide hydrochloride

l-[[N-methyl-N-3-[(t-butoxycarbonylmethylamino)acetoxymethyl]pyridin-2-yl] carbamoyloxy]ethyl-l-[(2R,3R)-2-(2,5-difluorophenyl)-2-hydroxy-3-[4-(4-cyanophenyl) thiazol-2-yl]butyl]-lH-[l ,2,4]-triazo-4-ium iodide (36.5 g) was dissolved in ethyl acetate (600 ml). The reaction mixture was cooled to -5 to 0 °C. The ethyl acetate hydrochloride (150 ml) solution was added to reaction mixture. The reaction mixture was stirred for 4-5 hours at room temperature. The reaction mixture was filtered and obtained solid residue washed with ethyl acetate. The solid dried under vacuum at room temperature for 20-24 hrs to give 32.0 gm solid.

Yield: 93 %

HPLC Purity: 86%

Mass: m/z 717.3 (M-HC1- 1)

Example-3: Preparation of Strong anion exchange resin (Sulfate).

Indion GS-300 was treated with aqueous sulfate anion solution and then washed with DM water. It is directly used for sulfate salt.

Example-4: Synthesis of l-[[N-methyl-N-3-[(methylamino)acetoxymethyl]pyridin-2-yl] carbamoyloxy]ethyl-l-[(2R,3R)-2-(2,5-difluorophenyl)-2-hydroxy-3-[4-(4-cyanophenyl) thiazol-2-yl]butyl]-lH-[l ,2,4]-triazo-4-ium Sulfate

Dissolved 10.0 g l-[[N-methyl-N-3-[(methylamino)acetoxymethyl]pyridin-2-yl] carbamoyloxy]ethyl-l-[(2R,3R)-2-(2,5-difluorophenyl)-2-hydroxy-3-[4-(4-cyanophenyl) thiazol-2-yl]butyl]-lH-[l ,2,4]-triazo-4-ium iodide hydrochloride in 200 ml deminerahzed water and 30 ml methanol. The solution was cooled to about 0 to 5°C. The strong anion exchange resin (sulfate) was added to the cooled solution. The reaction mixture was stirred to about 60-80 minutes. The reaction was filtered and washed with 50ml of demineralized water and methylene chloride. The aqueous layer was lyophilized to obtain

(8.0 g) white solid.

Yield: 93 %

HPLC Purity: > 90%

Mass: m/z 717.4 (M- HS04+

PATENT

CN 105288648

PATENT

CN 106883226

https://patents.google.com/patent/CN106883226A/en

PATENT

CN 107982221

PAPER

Title: Introduction of New Drugs Approved by the U.S. FDA in 2015
Author: Ma Shuai; Wenying Ling; Zhou Weicheng;
Source: China Pharmaceutical Industry
Publisher: Tongfangzhiwang Beijing Technology Co., Ltd.
Year of publication:
DOI code: 10.16522/j.cnki.cjph.2016.01.022
Registration Time: 2016-02-19 02:04:15

///////////////

SUGAMMADEX (Org 25969, Bridion)


SUGAMMADEX

CAS number 343306-71-8
Weight Average: 2002.12
Monoisotopic: 2000.408874758
Chemical Formula C72H112O48S8

WATCH OUT POST WILL BE UPDATED………

Sugammadex sodium.svg

SUGAMMADEX

343306-71-8 cas  free

Sugammadex sodium

343306-79-6
MF: C72H104O48S8.8Na
MW: 2178.01

Image result for SUGAMMADEX SYNTHESIS

Bridion; UNII-ERJ6X2MXV7; Suγdex Sodium; Suγdex; 343306-79-6; Org 25969;Org25969; Org-25969; Org 25969; 361LPM2T56

Sugammadex (Org 25969, Bridion) is chemically known as Cyclooctakis-(l-→4)-[6-S-(2-carboxyethyl)-6-thio-a-D-glucopyranosyl].

SugammadexSugammadex sodium 3D front view.png

Sugammadex sodium343306-79-6

CAS No.:343306-71-8 free

Molecular Weight:2178.01

Molecular Formula:C72H104Na8O48S8

CAS 343306-79-6 sodium salt
Octanatrium-3,3′,3”,3”’,3””,3””’,3”””,3”””’-{[(1S,3S,5S,6S,8S,10S,11S,13S,15S,16S,18S,20S,21S,23S,25S,26S,28S,30S,31S,33S,35S,36S,38S,40S,41R,42R,43R,44R,45R,46R,47R,48R,49R,50R,51R,52R,53 ;R,54R,55R,56R)-41,42,43,44,45,46,47,48,49,50,51,52,53,54,55,56-hexadecahydroxy-2,4,7,9,12,14,17,19,22,24,27,29,32,34,37,39-hexadecaoxanonacyclo[36.2.2.23,6.28,11.213,16.218,21.223,26.228,31 .233,36]hexapentacontan-5,10,15,20,25,30,
Octasodium 3,3′,3”,3”’,3””,3””’,3”””,3”””’-{[(1S,3S,5S,6S,8S,10S,11S,13S,15S,16S,18S,20S,21S,23S,25S,26S,28S,30S,31S,33S,35S,36S,38S,40S,41R,42R,43R,44R,45R,46R,47R,48R,49R,50R,51R,52R,53R ;,54R,55R,56R)-41,42,43,44,45,46,47,48,49,50,51,52,53,54,55,56-hexadecahydroxy-2,4,7,9,12,14,17,19,22,24,27,29,32,34,37,39-hexadecaoxanonacyclo[36.2.2.23,6.28,11.213,16.218,21.223,26.228,31 .233,36]hexapentacontane-5,10,15,20,25,30,
Sugammadex Sodium
D05940, 
SUYDEX SODIUM
UNII-ERJ6X2MXV7
Sugammadex (brand name Bridion) is marketed by Merck Sharp and Dohme, and was approved by the United States FDA on December 15, 2015.

Sugammadex sodium was first approved by European Medicine Agency (EMA) on July 25, 2008, then approved by Pharmaceuticals and Medical Devices Agency of Japan (PMDA) on Jan 20, 2010, and approved by the US. food and drug administration (FDA) on Dec 15, 2015. It was developed and marketed as Bridion® by Merck Sharp & Dohme.

Sugammadex is reversal of neuromuscular blockade without relying on inhibition of acetylcholinesterase. It is the first selective relaxant binding agent (SRBA). It is indicated in neuromuscular blockade induced by rocuronium or vecuronium in adults.

Bridion® is available as injection solution for intravenous use, containing 100 mg /mL of free Sugammadex. The recommended dose is 4 mg/kg for adults if recovery has reached at least 1-2 post-tetanic counts (PTC) following rocuronium or vecuronium induced blockade.

Sugammadex (Org 25969, tradename Bridion) is an agent for reversal of neuromuscular blockade by the agent rocuronium in general anaesthesia. It is the first selective relaxant binding agent (SRBA).

Sugammadex.png

Sugammadex Sodium is the sodium salt form of the biologically inert, selective relaxant binding agent (SRBA) sugammadex, a modified, anionic gamma cyclodextrinderivative containing a hydrophilic exterior and a hydrophobic core, with neuromuscular blocking drug (NMBD) reversal activity. Upon administration, the negatively charged carboxyl-thio-ether groups of sugammadex selectively and reversibly bind to the positively charged quaternary nitrogen of a steroidal NMBD, which was administered at an earlier time for anesthetic purposes. The encapsulation of the NMBD by sugammadex blocks its ability to bind to nicotinic receptors in the neuromuscular junction and thereby reverses the NMBD-induced neuromuscular blockade. Sugammadex binds rocuronium, vecuronium, and to a lesser extent pancuronium.

 Sugammadex is a selective relaxant binding agent indicated for reversal of neuromuscular blockade induced by rocuronium bromide and vecuronium bromide during surgery in adults. Rocuronium bromide and vecuronium bromide are neuromuscular blocking medications that cause temporary paralysis and are especially useful for general anesthesia, ventilation, or tracheal intubation that patients may require for surgery. Sugammadex provides a new treatment option to reverse the effects of those medications and possibly help patients recover sooner post-surgery. Sugammadex (brand name Bridion) is marketed by Merck Sharp and Dohme, and was approved by the United States FDA on December 15, 2015.

Sugammadex is used to reverse neuromuscular blockade after administration of non-depolarizing neuromuscular-blocking agentssuch as vecuronium or rocuronium.

Image result for sugammadex chemical reviews

Pharmacology

Pharmacodynamics

Sugammadex is a modified γ-cyclodextrin, with a lipophilic core and a hydrophilic periphery. This gamma cyclodextrin has been modified from its natural state by placing eight carboxyl thio ether groups at the sixth carbon positions. These extensions extend the cavity size allowing greater encapsulation of the rocuronium molecule. These negatively charged extensions electrostatically bind to the quaternary nitrogen of the target as well as contribute to the aqueous nature of the cyclodextrin. Sugammadex’s binding encapsulation of rocuronium is one of the strongest among cyclodextrins and their guest molecules. The rocuronium molecule (a modified steroid) bound within sugammadex’s lipophilic core, is rendered unavailable to bind to the acetylcholine receptor at the neuromuscular junction.

Schematic diagram of sugammadex encapsulating a rocuronium molecule
Sugammadex sodium 3D three quarters view.png
Left: Schematic of a sugammadex molecule encapsulating a rocuronium molecule.
Right: Space-filling model of a sugammadex sodium molecule in the same orientation.

Sugammadex, unlike neostigmine, does not inhibit acetylcholinesterase so cholinergic effects are not produced and co-administration of an antimuscarinicagent (glycopyrronium bromide or atropine) is not needed. Sugammadex might therefore be expected to have fewer adverse effects than the traditional reversal agents.

When muscle relaxant with rapid onset and short duration of action is required, there has been little choice apart from suxamethonium but this drug has important contraindications; for example, it can trigger malignant hyperthermia in susceptible individuals, it has a prolonged duration of action in patients with pseudocholinesterase deficiency and it causes an increase in plasma potassium concentration which is dangerous in some circumstances. Rocuronium has a comparably quick onset in high dose (0.6 mg kg−1 to 1 mg kg−1) and can be rapidly reversed with sugammadex (16 mg kg−1), so this drug combination offers an alternative to suxamethonium.

‘Recurarisation’, a phenomenon of recurrence of neuromuscular block, may occur where the reversal agents wear off before a neuromuscular blocking drug is completely cleared. This is very unusual with all but the longest acting neuromuscular blocking drugs (such as gallamine, pancuronium or tubocurarine). It has been demonstrated to occur only rarely with sugammadex, and only when insufficient doses were administered.[1] The underlying mechanism is thought to be related to redistribution of relaxant after reversal. It may occur for a limited range of sugammadex doses which are sufficient for complex formation with relaxant in the central compartment, but insufficient for additional relaxant returning to central from peripheral compartments.[2]

Sugammadex has been shown to have affinity for two other aminosteroid neuromuscular blocking agents, vecuronium and pancuronium. Although sugammadex has a lower affinity for vecuronium than for rocuronium, reversal of vecuronium is still effective because fewer vecuronium molecules are present in vivo for equivalent blockade: vecuronium is approximately seven times more potent than rocuronium. Sugammadex encapsulates with a 1:1 ratio and therefore will adequately reverse vecuronium as there are fewer molecules to bind compared to rocuronium.[3] Shallow pancuronium blockade has been successfully reversed by sugammadex in phase III clinical trials.[4]

Efficacy

A study was carried out in Europe looking at its suitability in rapid sequence induction. It found that sugammadex provides a rapid and dose-dependent reversal of neuromuscular blockade induced by high-dose rocuronium.[5]

A Cochrane review on sugammadex concluded that “sugammadex was shown to be more effective than placebo (no medication) or neostigmine in reversing muscle relaxation caused by neuromuscular blockade during surgery and is relatively safe. Serious complications occurred in less than 1% of the patients who received sugammadex. The results of this review article (especially the safety results) need to be confirmed by future trials on larger patient populations”.[6]

Tolerability

Sugammadex was generally well tolerated in clinical trials in surgical patients or healthy volunteers. In pooled analyses, the tolerability profile of sugammadex was generally similar to that of placebo or neostigmine plus glycopyrrolate.[7]

History

Sugammadex was discovered by the pharmaceutical company Organon at the Newhouse Research Site in Scotland.[8] Organon was acquired by Schering-Plough in 2007; Schering-Plough merged with Merck in 2009. Sugammadex is now owned and sold by Merck.

The US Food and Drug Administration (FDA) initially rejected Schering-Plough’s New Drug Application for sugammadex in 2008,[9] but finally approved the medication for use in the United States on December 15, 2015.[10] Sugammadex was approved for use in the European Union on July 29, 2008.[11]

SYNTHESIS

Sugammadex (Trade name: Bridion) is first disclosed in US6670340 assigned to Akzo Nobel. Sugammadex sodium was approved in EMEA as an agent for reversal of neuromuscular blockade by the agent rocuronium in general anaesthesia in 2008 and is the first selective relaxant binding agent (SRBA).

Figure imgf000002_0001

Sugammadex sodium contains 8 recurring glucose units each with 5 asymmetric carbon atoms, in total 40 asymmetric carbon atoms for the whole molecule. Sugammadex is a modified γ-cyclodextrin, with a lipophilic core and a hydrophilic periphery. The gamma cyclodextrin has been modified from its natural state by placing eight carboxyl thio ether groups at the sixth carbon positions.

The US Patent 6670340 assigned to Akzo Nobel discloses a process for preparing Sugammadex sodium as depicted in Scheme-I:

Scheme-I

Figure imgf000003_0001

Sugammadex Sodium The first step in the process in the scheme-I involves the preparation of Vilsmeier Hack reagent by the reaction , of DMF, triphenylphosphine and Iodine. The triphenylphosphine oxide is formed as a byproduct of the first step. Removal of triphenylphosphine oxide from the product is very difficult from the reaction mass as it requires repeated washing with DMF under argon atmosphere, which leads to inconsistency in yield of final product Sugammadex. The second step involves the reaction of 6-perdeoxy-6-per-Iodo-Gamma cyclodextrin with 3-mercapto propionic acid in presence of alkali metal hydrides in an organic solvent to give 6-per-deoxy-6-per-(2-carboxyethyl)thio-y- cyclodextrin sodium salt.

The PCT publication WO2012/025937 discloses preparation of Sugammadex involving the reaction of gamma cyclodextrin with phosphorous halide in presence of organic solvent, thereby overcomes the formation of triphenyl phosphine oxide. The publication also discloses the use of 6-per deoxy-6-per- chloro-y-cyclodextrin in the preparation of the Sugammadex.

The purification techniques in the prior arts employ column chromatographic / membrane dialysis techniques which are costly and not convenient in large scale operations.

Image result for SUGAMMADEX SYNTHESIS

File:Sugammadex synthesis.svg

Sugammadex is a modified γ-cyclodextrin, with a lipophilic core and a hydrophilic periphery.

Figure imgf000002_0001

Sugammadex (designation Org 25969, trade name Bridion) is an agent for reversal of neuromuscular blockade by the agent rocuronium in general anaesthesia. It is the first selective relaxant binding agent (SRBA). This gamma cyclodextrin has been modified from its natural state by placing eight carboxyl thio ether groups at the sixth earbon positions. These extensions extend the cavity size allowing greater encapsulation of the rocuronium molecule. These negatively charged extensions electrostatically bind to the positively charged ammonium group as well as contribute to the aqueous nature of the cyclodextrin. Sugammadex’s binding encapsulation of rocuronium is one of the strongest among cyclodextrins and their guest molecules. The rocuronium molecule (a modified steroid) bound within Sugammadex’s lipophilic core, is rendered unavailable to bind to the acetylcholine receptor at the neuromuscular junction. Sugammadex sodium contains 8 recurring glucose units each with 5 asymmetric carbon atoms, in total 40 asymmetric carbon atoms for the whole molecule.

The Sugammadex was disclosed in US6670340 by Akzo Nobel. The process for preparing Sugammadex is there outlined as follows: (Scheme-I)

Figure imgf000004_0001
Figure imgf000004_0002

Scheme – 1 Suggamadex

above process step-1 involves the preparation of Vilsmeier Hack reagent by the reaction of DMF, triphenylphosphine and Iodine. Drawback associated with this step is formation of triphenylphosphine oxide as a byproduct. Removal of triphenylphosphine oxide is very difficult from the reaction; it requires repeated washing with DMF under argon atmosphere and leads to inconsistency in yield of final product. Due to this, process is lengthy and not feasible on commercial scale.

PATENT

https://www.google.com/patents/WO2012025937A1?cl=en

Image result for SUGAMMADEX SYNTHESIS

Figure imgf000006_0002

Suggamadex

The process of the invention is depicted in following

Figure imgf000007_0001

Formula – 1 Formula – lla

Scheme – III

scheme-IV

Figure imgf000008_0001

Suggamadex

Scheme – IV

[0018] The alkali metal hydrides are selected from the group consisting of sodium hydride, lithium hydride, potassium hydride preferably sodium hydride. [0019] The advantage of the present process is there that there is no formation of by product such as triphenylphosphine oxide, as present in prior art process. So, purification is not required which leads to better purity and yields for the intermediate as well as for final product.

[0020] Another advantage of the present invention is the significant difference between molecular weight of 6-per deoxy-6-per-chloro-y-cyclodextrin (Mol. wt. 1444) and the final product (Mol. wt. 2178). The use of 6-per deoxy-6-per- chforo-y-cyclodextrin instead of 6-per deoxy-6-per-bromo-y-cyclodextrin (Mol. wt. 1800) in the final stage of the process would extend the scope of selection of appropriate dialysis membranes with precise molecular weight cut off and there by facilitate efficient purification of Sugammadex. The invention is further illustrated with following non-limiting examples:

Example: 1 Preparation of 6-perdeoxy-6-per-bromo Gamma Cyclodextrin

[0021] A portion of phosphorous pentachloride (256.5 g) was added in DMF (300 ml) at 0-5°C. Mixture was stirred at 20-25°C for lhr. A solution of gamma- cyclodextrin (50 g) in DMF (400ml) was added to above solution at 5-10°C under nitrogen. Mixture was stirred at 65 -70°C 14 hrs. The reaction mixture was cooled to 20 – 25°C and DMF was removed under vacuum. The viscous residue was diluted with water. 5M NaOH solution was added dropwise to the above solution at 5-10°C until PH=8, the resulting slurry was stirred for one hour at 20-25°C. The slurry was filtered under vacuum and washed with water and dried. The crude product was diluted with water and resulting slurry was stirred at 20-25uC for one hour. The slurry was filtered under vacuum and the solid dried at 55- 60°C under vacuum for 12hrs. (Yield – 94 – 98%, purity-98.5% by HPLC) Example: 2 Preparation of Sugammadax

[0022] To a mixture of sodium hydride (24.4 g) in DMF (150 ml) at 0-5°C, a solution of 3-mercapto propionic acid (23.7 ml, 10 eq) in DMF (50 ml) was added slowly under argon maintaining the temperature below 10 C. The resulting mixture was stirred at 20 -25°C for 30 mins. Then 6-deoxy-6-chloro gamma cyclodextrin (40 g) in DMF (400 ml) was added slowly at 5-10°C under argon and the resulting mixture was heated to 70-75°C for 12 hrs. Reaction mixture was cooled to 20 -25°C and DMF removed partially under vacuum and the reaction mixture is diluted with ethanol (600 ml). The resulting precipitate was stirred at 20 – 25°C for 1 hr and filtered under vacuum and the solid dried to afford the crude Sugammadex (wet) (100 g). The crude product was purified over silica gel and sephadex G-25 column using water as eluent. (Yield 60%)

CLIP

Sugammadex Sodium

    • Synonyms:ORG-25969
    • ATC:V03AB35
  • Use:Lorem
  • Chemical name:Lorem ipsum dolor sit amet, consetetur sadipscing elitr, sed diam
  • Formula:Lorem ipsum dolor sit amet,
    • MW:2178.02 g/mol
    • CAS-RN:343306-79-6

    Derivatives

    free acid

    • Formula:C72H112O48S8
    • MW:2002.17 g/mol
    • CAS-RN:343306-71-8

    Substance Classes

    Synthesis Path

    Substances Referenced in Synthesis Path

    CAS-RN Formula Chemical Name CAS Index Name
    17465-86-0 C48H80O40 γ-cyclodextrin
    107-96-0 C3H6O2S 3-mercaptopropionic acid Propanoic acid, 3-mercapto-
    53784-84-2 C48H72Br8O32 6A,6B,6C,6D,6E,6F,6G,6H-octabromo-A,6B,6C,6D,6E,6F,6G,6H-octadeoxy-γ-cyclodextrin
    168296-33-1 C48H72I8O32 6A,6B,6C,6D,6E,6F,6G,6H-octadeoxy-A,6B,6C,6D,6E,6F,6G,6H-octaiodo-γ-cyclodextrin

    Trade Names

    Country Trade Name Vendor Annotation
    D Lorem Lorem ,2008
    GB Lorem Lorem ,2008
    USA Lorem Lorem

    Formulations

    • Loremipsumdolor

    References

      • Adam, J. M. et al.: J. Med. Chem. (JMCMAR) 45, 1806-1818 (2002).
      • Bom, A. et al.: Angew. Chem. Int. Ed. (ACIEF5) 41, 266-270 (2002)
      • US 9 999 999 (Akzo Nobel; 30.12.2003; appl. 19.8.2002; EP-prior. 29.11.1999)

    PATENT

    http://www.google.co.in/patents/WO2001040316A1?cl=en

    str1

    PATENT

    https://www.google.com/patents/WO2014125501A1?cl=enhttps://www.google.com/patents/WO2014125501A1?cl=en

    EXAMPLES Example: 1 Preparation of 6-perdeoxy-6-per-chloro Gamma Cyclodextrin

    256.8 g (0.62 Moles) of Phosphorous pentachloride was added to 400 ml of Dimethyformamide (DMF) at 25-30 °C and mixture was maintained for 1 hour at the same temperature. 100 g (0.04 Moles) of Gamma-cyclodextrin was gradually added to the reaction mixture at 25-30 °C under nitrogen. The temperature of the reaction mixture was raised to 65 -70 °C and maintained at the same temperature for 14 to 16 hrs. The reaction mixture was then slowly added to chilled water at 0- 15 °C. The pH of the reaction mass was adjusted to 7-8 with 30% solution of sodium hydroxide in water. The contents were stirred at 25-30 °C at 2 hours. The resultant solid was filtered and washed with water (200 ml). The wet solid was repeatedly washed with purified water at 25-30 °C and dried at 65-70 °C till the moisture level was reduced to less than 4.0%. The yield of the obtained product was 90% Example: 2 Preparation of Sugammadex sodium

    To a mixture of 1 10.2 g, (15 equ.) 3-mercapto propionic acid and 800 ml Dimethyl formamide (DMF) , a 30% solution of sodium methoxide (373.9 g, 30 equ) in methanol was added at 20-25°C and stirred for 1 hour at the same temperature. The compound from example- 1 (100 g) was added to the reaction mixture at 25-30°Cand heated to 75-80°C and maintained at the 75-80°C for 12 to 14 hours. After completion of the reaction, the reaction mass was cooled to 20- 25°C, then methanol (1000 ml) was added to the reaction mass and stirred for 2 hours at the same temperature. The resultant solid was filtered, washed with methanol (200 ml) and dried for 60-65°C for 8 hrs.

    The crude product was dissolved in water (294 ml) and methanol (294 ml), treated with activated carbon (39.2 g, 20 % w/w) and was filtered through celite, washed the carbon cake with purified water (98 ml). The filtrate was heated to 50-55°C and slowly methanol (2646 ml) was added at the same temperature. The contents were cooled to 20 to 25°C and stirred for 2 hours at the same temperature. The resulted solid was washed with methanol (200 ml) and dried under vacuum at 60-65°C for 14 hours. The obtained product had yield of 70.34% and HPLC purity of 99.43 %.

    Example-3

    The Sugammadex prepared from example-2 was, dissolved in water ( 150 ml) and methanol (1 50 ml), treated with activated carbon (20 g) and filtered the carbon cake through celite bed and the carbon cake was washed with purified water (50 mL). The filtrate was heated to 50-55°C and added methanol (1350 ml) at the same temperature. The contents were cooled to 20 to 25°C and stirred for 2 hours at the same temperature. The resultant solid was washed with methanol (200 ml) and dried in vacuum at 70 – 75°C for 24 hrs. The obtained yield was 63%.

    CLIP
    ugammadex [6A,6B,6C,6D,6E,6F,6G,6H-octakis-S- (2-carboxyethyl)-6A,6B,6C,6D,6E,6F,6G,6H- octathio-γ-cyclodextrin octasodium salt] is a modified γ-cyclodextrin [Figure 1]. Chemical formula is C 72 H 104 Na 8 O 48 S 8. “Su” stands for sugar and “gammadex” stands for structural molecule gamma-cyclodextrin. [1] Cyclodextrins are cyclic dextrose units joined through 1-4 glycosyl bonds that are produced from starch or starch derivates using cyclodextrin glycosyltransferase. The three natural unmodified cyclodextrins are α-, β-or γ-cyclodextrin. Compared with α-and β-cyclodextrins, γ-cyclodextrin exhibits more favorable properties in terms of the size of its internal cavity, water solubility and bioavailability. To have a better fit of the larger rigid structure of the aminosteroid muscle relaxant molecule (e.g., rocuronium or vecuronium) within the cavity of γ-cyclodextrin, the latter was modified by adding eight side chains to extend the cavity. This modification allowed the four hydrophobic steroidal rings of rocuronium to be better accommodated within the hydrophobic cavity. In addition, adding negatively charged carboxyl groups at the end of the eight side chains served two purposes. First, the repellent forces of the negative charges keep propionic acid side chains from being disordered, thereby allowing the cavity to remain open and maintain structural integrity. Second, adding these negatively charged carboxyl groups enhances electrostatic binding to the positively charged quaternary nitrogen of rocuronium [Figure 1]. Three-dimensional structure resembles a hollow, truncated cone or a doughnut. [9]
    Clip
    Sugammadex (Bridion®)
    Schering-Plough’s sugammadex sodium, the first selective relaxant binding agent (SRBA), was approved last year
    in the European Union. Sugammadex is a drug-specific cyclodextrin designed specifically to reverse the effects of the muscle relaxant rocuronium bromide (Esmeron®/Zemuron®) when used as a component of general anesthesia during surgical procedures. Unlike other reversal agents, sugammadex can achieve reversal following rocuronium bromide administration within three minutes, regardless of the depth of block. Schering-Plough, which acquired the product via its acquisition of Organon BioSciences in late 2007, began marketing sugammadex in Sweden in September, 2008.
    There are several reports on the syntheses of sugammadex, all following a similar three-step procedure [72-74]. Bromination of 􀀁-cyclodexdrin 127 with the Vilsmeier-Haack reagent prepared by reaction of bromine with triphenylphospine in DMF gave the per-6-bromo-􀀁-cyclodextrin 128 in 95-98% yield [73]. Nucleophilic displacement of the bromines of 128 with methyl 3-mercaptopropionate (129) and cesium carbonate at 50 °C in DMF gave 6-perdeoxy-6-per(2-methoxycarbonylethyl) thio-􀀁-cyclodextrin 130 as a white powder.
    Saponification of the esters of 130 was accomplished by reaction with aqueous sodium hydroxide solution to provide
    sugammadex (XVII) as a glassy solid in 52% yield for the 2 steps [72,74].
    Adam, J. M.; Bennett, D. J.; Bom, A.; Clark, J. K.; Feilden, H.;
    72 Hutchinson, E. J.; Palin, R.; Prosser, A.; Rees, D. C.; Rosair, G.M.; Stevenson, D.; Tarver, G. J.; Ming-Qiang Zhang, M.-Q. Cyclodextrin-Derived Host Molecules as Reversal Agents for the Neuromuscular
    Blocker Rocuronium Bromide: Synthesis and Structure􀀁Activity Relationships J. Med. Chem., 2002, 45, 1806-
    1816.
    [73] Gorin, B. I.; Riopelle, R. J.; Thatcher, G. R. J. Efficient perfacial derivatization of cyclodextrins at the primary face. Tetrahedron Lett., 1996, 37, 4647-4650.
    [74] Zhang, M.-Q.; Palin, R.; Bennet, D. J. 6-Mercaptocyclodextrin derivatives, their preparation, and the use as reversal agents for drug-induced neuromuscular block. WO 0140316 A1, 2001.

     

     

    PATENT
    SEE
    CN 105348412
    NEW PATENT, SUGAMMADEX, WO 2016194001
    WO2016194001,  PROCESSES FOR PREPARATION OF SUGAMMADEX AND INTERMEDIATES THEREOF
    ALAPARTHI, Lakshmi Prasad; (IN).
    PAL, Palash; (IN).
    GINJUPALLI, Sadasiva Rao; (IN).
    SHARMA, Uday; (IN).
    CHOWDARY, Talluri Bhushaiah; (IN).
    MANTRI, Anand Vijaykumar; (IN).
    GADE, Bharath Reddy; (IN).
    KULKARNI, Gaurav; (IN)
    LINK

    Sugammadex (Org 25969, Bridion) is chemically known as Cyclooctakis-(l-→4)-[6-S-(2-carboxyethyl)-6-thio-a-D-glucopyranosyl]. Sugammadex is an agent for reversal of neuromuscular blockade by the neuromuscular blocking agents (NMBAs) rocuronium, vecuronium, pancuronium in general anesthesia. It is the first selective relaxant binding agent (SRBA). SRBAs are a new class of drugs that selectively encapsulates and binds NMBAs.

    The word Sugammadex is derived from Su= Sugar and Gamma cyclodex = Cyclodextrin. Sugammadex is inert chemically and does not bind to any receptor. It acts by rapidly encapsulating steroidal NMBDs to form a stable complex at a 1 : 1 ratio and thus decreasing the free concentration of the drug from the plasma. This creates a concentration gradient favoring the movement of the remaining rocuronium molecules from the neuromuscular junction back into the plasma, where they are encapsulated by free Sugammadex molecules. The latter molecules also enter the tissues and form a complex with rocuronium. Therefore, the neuromuscular blockade of rocuronium is terminated rapidly by the diffusion of rocuronium away from the neuromuscular junction back into the plasma.

    NMBDs are quaternary ammonium compounds with at least one charged nitrogen atom. Cyclodextrins have a lipophilic center but a hydrophilic outer core, attributable to negatively charged ions on their surface. These negatively charged ions on the surface of Sugammadex attract the positive charges of the quaternary ammonium relaxant, drawing the drug in to the central core of the cyclodextrin. The binding of the guest molecule into the host cyclodextrin occurs because of vander waal’s forces, hydrophobic and electrostatic interactions. The structure of the cyclodextrin is such that all four hydrophobic rings of the steroidal relaxant fit tightly within the concentric doughnut forming an inclusion complex. This has been confirmed by calorimetry and X-ray crystallography. Such a reaction occurs in the plasma not at the neuromuscular junction and the concentration of free rocuronium in the plasma decrease rapidly after Sugammadex administration.

    [0004] US 6670340 disclose process for preparation of Sugammadex sodium. The process as disclosed in example 4 of this patent involves reaction of iodo γ-cyclodextrin intermediate with 3-mercapto propionic acid in presence of sodium hydride and DMF to give 6-per-deoxy-6-per-(3-carboxyethyl)thio-Y-cyclodextrin, sodium salt (Sugammadex sodium). The preparation of iodo intermediate, 6-per-deoxy-6-per-iodo-y-cyclodextrin is as given in example 3 which involves reaction of γ-cyclodextrin with iodine in presence of triphenylphosphine (PPh3) and DMF. In practice, and to develop a process that has to be taken from lab scale to manufacturing scale, purity is one of the most important criteria. Since this process involves use of triphenylphosphine reagent there is formation of triphenylphosphine oxide as a by-product. Removal of triphenylphosphine oxide from the reaction mass is very difficult as it requires repeated washing with the solvent, which leads to inconsistency in yield of final product Sugammadex sodium. Furthermore, the product was dialysed for 36 hours to get pure compound. The dialysis purification is expensive and provides product in lower yield and hence such processes are not feasible and economical at industrial scale.

    [0005] Another process for preparing the intermediate compound, 6-perdeoxy-6-per-chloro gamma cyclodextrin as disclosed in WO2012025937 involves use of phosphorous halide in particular, phosphorous pentachloride. WO2012025937 also disclose process for preparation of Sugammadex sodium using this intermediate which involves a) reaction of gamma-cyclodextrin with phosphorous pentachloride and dimethylformamide to obtain 6-perdeoxy-6-per-chloro gamma cyclodextrin and b) reaction of 6-perdeoxy-6-per-chloro gamma cyclodextrin with 3-mercapto propionic acid in presence of alkali metal hydrides and an organic solvent to give Sugammadex sodium. Preparation of chloro gamma cyclodextrine intermediate using phosphorous pentachloride is associated with formation of phosphorous impurities during the reaction, which are difficult to remove and also it involves tedious workup procedure.

    [0006] WO2014125501 discloses preparation of 6-perdeoxy-6-per-chloro gamma cyclodextrin using phosphorous pentachloride (see example 1). The process as given in example 1 of this patent application was repeated by the present inventors. The first step provided yellow to brown mass which lacked the powder form and the flow properties. The mass was pasty at times and difficult to filter. Thus the process was unclean and tedious. Overall, no consistent product was obtained. WO2014125501 also disclose preparation of Sugammadex sodium using this intermediate which involves reaction of 6-perdeoxy-6-per-halo-gamma-cyclodextrin with 3-mercapto propionic acid in presence of alkali metal alkoxide such as sodium methoxide and organic solvent, the drawback of this this reaction is that it needs anhydrous conditions for completion of the reaction.

    [0007] It has been reported that the generation of impurities and obtaining less pure compounds are major concerns with Sugammadex. Applicant Nippon Organon K.K.in their “Report on the Deliberation Results” submitted to Evaluation and Licensing Division, Pharmaceutical and Food Safety Bureau, Ministry of Health, Labour and Welfare, mentions as follows:

    For related substances, specifications for 14 different related substances (Related Substance A, Org 48301, Related Substance B, Related Substance D, Related Substance E, Related Substance F, Related Substance G, Related Substance H, Related Substance I, Related Substance J, Related Substance K, Related Substance L, Related Substance M, Related Substance N), other individual related substances, and total related substances have been set. In the course of regulatory review, the specifications limit for 4 different related substances (Related Substance A, Related Substance D, Related Substance F, Related Substance G) have been changed based on the results of batch analyses. For related substances (degradation products), specifications for Related Substance E, Related Substance I, Related Substance C, Related Substance G, Related Substance D, Related Substance K, other individual degradation products, and total degradation products have been established. In the course of regulatory review, a specification for Impurity A which arises in *** (hidden part) step has been newly set and the specification limits for individual degradation products have been changed based on the results of batch analyses and stability studies.

    The cause for change of the colour of the drug product (the light yellow-brown colour darkened) was investigated using liquid chromatography -ultraviolet-visible spectrophotometry (LC-UV/VIS) and liquid chromatography-mass spectrometry (LC-MS), which suggested that trace amounts of varieties of unspecified degradation products (unidentified), instead of a single degradation product, were involved and in addition to *** investigated in formulation development, *** and *** content of the drug substance, *** and *** during the manufacture of the drug product, and *** were considered to affect the color of the drug product. Therefore, *** and *** have been included in the drug substance specification and the relevant manufacturing process steps have been improved.

    [0008] In view of the above it is clear that Sugammadex is not only prone to degradation but traces of degradation impurities affect and change the colour to yellowish brown and makes it unacceptable in quality. Therefore, it is crucial to carefully select the process to prepare pure Sugammadex sodium.

    [0009] The reported purification techniques for Sugammadex sodium employ column chromatographic and membrane dialysis which are costly and not convenient in large scale operations. Therefore, the reported processes for preparation of Sugammadex sodium as discussed herein are time consuming and not economically and industrially viable.

    Thus, there exist a need to provide a process of preparation of Sugammadex sodium which is simple, convenient, with easy work up procedure, economically efficient and the one which provides Sugammadex sodium in good yield and high purity.

    str0

    Figure 2 is 1HNMR of 6-perdeoxy-6-per-chloro gamma cyclodextrin

    str0

    Figure 6 is 1HNMR of Sugammadex prepared according to example 6

    str0

    Figure 7 is 13CNMR of Sugammadex prepared according to example 6

    str0

    Figure 12 is 1HNMR of Sugammadex prepared according to example 8

    SEE PATENT PLEASE

    Figure 13 is HPLC profile of Sugammadex prepared according to process of example 1 of WO2014125501.

    scheme 1.

    scheme 2.

    the process for preparation of Sugammadex sodium comprising reaction of 6-perdeoxy-6-per-chloro gamma cyclodextrin (Formula II) with 3-mercaptopropionic acid in presence of alkali metal amide selected from lithium amide, sodium amide (sodamide) or potassium amide to get Sugammadex sodium.

    Sugammadex Sodium

    scheme 4.

    the present invention provides process for preparation of Sugammadex comprising reacting the acid of Sugammadex of formula (IV) with sodium hydroxide to form Sugammadex sodium of formula (I).

    Formula IV Formula I

    Scheme 6

    scheme 7.

    scheme 8.

    scheme 9.

    Examples

    Example 1

    [0079] Preparation of 6-perdeoxy-6-per-chloro gammacyclodextrin

    In a four-neck round bottomed flask (2L) equipped with mechanical stirrer, thermometer pocket in a tub charged anhydrous DMF (250ml) under nitrogen atmosphere. Triphosgene (36.5g, 0.123mol) was added to the flask at 0-15°C and the mixture was stirred for lh. Dry gamma cyclodextrin (20g, 0.015mol) was added to the obtained slurry with stirring for 30 min followed by addition of DMF (50ml). The reaction mixture was heated at 65-70°C 16 h. After the completion of reaction, the reaction mixture was cooled and diisopropyl ether (800ml) was charged to the mixture to precipitate out the material. The solvent mixture of DMF and diisopropyl ether was decanted off from the reaction mixture to obtain gummy brown mass. The reaction mass was treated with saturated sodium bicarbonate solution (800ml) which leads to precipitation of the solid. The precipitated solid was filtered, washed with the water (250x3ml) and dried. This compound was used for the next step without any purification.

    Yield: 95%, HPLC Purity: 99%

    Example 2

    [0080] Preparation of 6-perdeoxy-6-per-chloro gamma-cyclodextrin

    In a 5L four-necked flask equipped with stirrer, dropping funnel, nitrogen inlet, and thermometer with pocket, oxalyl chloride (293.8g, 198.5ml, 2315mmol) was added to DMF (1200 ml) and maintained the mixture at 0-5°C under nitrogen followed by stirring at 20-25°C for lhr. A solution of gamma-cyclodextrin (lOOg, 77.16mmol) in DMF (500ml) was added to above mixture at 5-10°C under nitrogen. The mixture was stirred at 65-70°C for 14- 16 hr. After the completion of reaction, the reaction mixture was cooled to 20-25°C and diluted with diisopropyl ether (1.2L). The organic layer was decanted and the viscous residue was treated with 10% NaOH solution at 5- 10°C until PH = 8. The resulting slurry was stirred for one hour at 20-25°C. The slurry was filtered under vacuum and the solid was washed with water (3 x 500ml) and dried under vacuum. The crude material was suspended in methanol (750ml), stirred for 30min, filtered under vacuum and washed with diisopropyl ether (500ml). The solid obtained was dried at 55- 60°C in an oven for 12-16hr to afford the titled compound (95g).

    Yield: 85%, Purity: 98%, melting point: 226-228°C

    lH NMR (400 MHz, DMSO-d6): δ 6.0 (br s., 16 H), 4.99 (m, 8 H), 4.04 (d, J = 10 Hz, 8 H), 3.87

    – 3.78 (m, 16H), 3.64 – 3.56 (m, 8 H), 3.46 – 3.34 (m, 16 H) ppm.

    13C NMR (100 MHz, DMSO-d6): δ 101.98, 82.93, 72.30, 72.16, 71.11, 44.92 ppm.

    Mass: m/z (M+Na)+ calcd for
    1463.14; found: 1463.06.

    Example 3

    [0081] Preparation of 6-perdeoxy-6-per-chloro gamma-cyclodextrin

    In a clean, dried 50L glass reactor equipped with stirrer, dropping funnel, nitrogen inlet, and thermometer with pocket was charged anhydrous dimethylformamide (15L, moisture content NMT 0.4%) while maintaining the temperature at 0-5°C (using dry ice acetone bath). Oxalyl chloride (2L, 23635mmol, 30eq) was added slowly over a period 4-5hr (while maintaining the temperature below 5°C) and stirring was continued for lhr at the same temperature. A solution of dry gamma-cyclodextrin (1.0kg, 770.94mmol) dissolved in dimethylformamide (5L) was added slowly into the above reaction mixture. The solution was heated at 65-70°C for 16hr. The reaction was monitored by TLC at regular intervals. After the completion of reaction, the reaction mixture was cooled to room temperature and diisopropyl ether (10L) was added to the reaction mixture with stirring. The gummy solid precipitate out. The upper layer solvent was decanted, the gummy brown material was cooled to 0 to 5°C and was neutralized (pH 8.0) with slow addition of aqueous sodium hydroxide solution (20%, 5L) with stirring. The slurry obtained was stirred for lhr at temperature 0 to 5°C. The precipitate was filtered, washed with the water (3 x 2L) and dried under vacuum. The wet cake was suspended into methanol (10L), stirred, filtered, washed with diisopropyl ether (2L) and dried in oven at 60°C for 14-16hr to give the titled compound (980g). Yield: 87.9%, Purity: 98.1% as measured by HPLC.

    Example 4

    [0082] Preparation of Sugammadex sodium

    In a four-neck round bottomed flask (3L) equipped with mechanical stirrer, thermometer pocket in a tub under the nitrogen atmosphere, anhydrous DMF (300ml) and 3-Mercaptopropionic acid (18.3g, 0.172mol) were charged at 0-5°C followed by addition of sodamide (20g, O.38mol). The reaction mixture was stirred at the same temperature for lh. 6-perdeoxy-6-per-chloro gamma cyclodextrin (25g, 0.017mol, as obtained in example 1) was charged slowly. The reaction mixture was heated at 90-95°C for 16h. After completion of reaction, the reaction mixture was cooled to room temperature and methanol (300ml) was added to it. The mixture was stirred and the precipitated material was filtered off. The precipitated material was dissolved in a mixture of methanol (50ml) and water (50ml) and re-precipitated with the excess addition of methanol (450ml). The solid was filtered and dried. Yield: 76%

    The dried solid was purified by the preparative HPLC method using formic acid buffer in mixture of acetonitrile and water (80:20%) followed by lyophilization to get acid of Sugammadex which is further converted to Sugammadex sodium using sodium hydroxide.

    Example 5

    [0083] Preparation of Sugammadex sodium

    In a four-neck round bottomed flask (5L) equipped with mechanical stirrer, thermometer pocket in a tub under the nitrogen atmosphere, anhydrous DMF (1500ml) and 3-mercaptopropionic acid (HOg, 1038mmol) were charged at 0-5°C followed by addition of sodamide (81g, 2077mmol). The mixture was stirred at the same temperature for lh. 6-perdeoxy-6-per-chloro gamma cyclodextrin (lOOg, 69.25mmol, as obtained in example 1) was charged slowly. Extra DMF (500ml) was added to the mixture. The temperature of the mixture was raised to 80-85°C and maintained for 16h. After completion of reaction, the reaction mixture was cooled to room temperature and methanol (1500 ml) was added to it. The mixture was stirred and the precipitated material was filtered off. The precipitated material (wet cake) was dissolved in a mixture of methanol (800ml) and water (800ml). Charcoal (50g) was added and the mixture was stirred for 30mins at 50-55°C. The solution was filtered off through a pad of celite. Methanol (2500ml) was added the solution and precipitated solid was filtered and dried furnishing the titled compound (105g). Yield: 69.6%, Purity: 85.3%.

    Example 6

    [0084] Preparation of Sugammadex sodium

    A clean, dried 10L four neck flask equipped with stirrer, dropping funnel, nitrogen inlet, and thermometer with pocket, was charged with a solution of sodium hydroxide (83g, 2077mmol) dissolved in water (100ml) followed by addition of anhydrous DMF (2L) maintained under inert atmosphere using nitrogen. A solution of 3-mercapto propionic acid (HOg, 1037mmol) in DMF (1L) was added slowly under nitrogen maintaining the temperature between 0-5°C. The mixture was stirred for another lhr at this temperature. A mixture of 6-deoxy-6-chloro gamma cyclodextrin (lOOg, 69mmol) in DMF (1L) was added slowly at 5-10°C. The resulting mixture was heated to 75-80°C for 16-20hr. After the completion of reaction, the reaction mixture was cooled to 25-30°C and methanol (1.5L) was added into the reaction mixture, the resulting precipitate was stirred at 20-25°C, filtered, and dried under vacuum. The dried solid was dissolved in water (1L), treated with activated carbon (50 g, 5%) at 50°C, stirred and filtered through celite. The filtrate was stirred at 60°C and excess methanol (2.5L) was added slowly to the filtrate to get the precipitate. The precipitated material was filtered under vacuum as white solid, washed with methanol (500ml) and dried in oven to give pure Sugammadex sodium (90 g).

    Yield: 90 g, Purity: 91.2%.

    lU NMR (400 MHz, D20): δ 5.09 (m, 8H); 3.98-3.94 (m, 8H); 3.88-3.83 (m, 8H); 3.58-3.52 (m, 16H); 3.07-3.01 (m, 8H); 2.92-2.87 (m, 8H); 2.78-2.74 (m, 16H); 2.34-2.47 (m, 16H) ppm.

    13C NMR (100 MHz, D20): δ 180.18, 100.60, 81.96, 72.14, 71.84, 70.72, 37.24, 32.83, 29.06 ppm. Mass: m/z (M-Na7+H6)+ calcd for C72HnoNa048S8: 2023.12; found: 2023.39.

    Example 7

    Preparation of Sugammadex acid (Compound of formula IV)

    In a clean, dried 5L four neck flask equipped with stirrer, dropping funnel, nitrogen inlet, and thermometer with pocket was charged dimethylformamide (1500ml) followed by addition of potassium hydroxide (194.0 g, 3464mmol) and the mixture maintained at 0-5°C. A solution of 3-mercapto propionic acid (186.35g, 153.0ml, 1756mmol) in DMF (500ml) was added to the reactor over a period of 30 minutes under nitrogen while maintaining the temperature between 0-5°C. The

    resulting mixture was stirred at this temperature for 60 minutes. A solution of 6-deoxy-6-chloro gamma cyclodextrin (lOOg, 69.22mmol) in DMF (500ml) was added to the flask. The resulting mixture was heated at 110-120°C for 1.5-2hr while monitoring the progress of the reaction through HPLC. After completion of the reaction, the temperature of the reaction mixture was brought to 40-50°C and methanol (1000ml) was added to the mixture. The resulted precipitate was stirred at 20-25°C for lhr, filtered under vacuum and washed with methanol (500ml). The wet solid was dissolved in water (2000ml) with vigorous stirring and the solution was acidified with concentrated hydrochloric acid to give the white solid precipitate. The precipitated solid was filtered and suspended in ethyl acetate (500 ml), stirred for 30 minutes and filtered. The solid was dried to afford the titled compound (75g).

    Yield: 55%, Purity: 95.8% as measured by HPLC.

    lH NMR (400 MHz, DMSO-d6): δ 5.94 (br. s, 16H), 3.82-3.73 (m, 8H), 3.63-3.54 (m, 8H), 3.43-3.32 (m, 16H), 3.08-3.02 (m, 8H), 2.89-2.81 (m, 8H), 2.78-2.72 (m, 16H), 2.55-2.43 (m, 16H) ppm.

    13C NMR (100 MHz, DMSO-d6): δ 173.00, 102.01, 83.94, 72.45, 72.33, 71.36, 34.53, 33.08, 27.87 ppm.

    Mass: m/z (M-H2+K) + calcd for C72Hno048S8K: 2039.24; found: 2039.26.

    Example 8

    Preparation of Sugammadex Sodium

    In a clean, dried 3L four neck flask equipped with stirrer, dropping funnel, nitrogen inlet, and thermometer with pocket, the compound (75g) as obtained in example 4 was dissolved in solution of sodium hydroxide (37.5g, 0.937mol) in water (100ml) and methanol (100ml). The pH of resultant mixture was maintained between 8-10. To this mixture methanol (1.5L) was slowly added at room temperature and the mixture was stirred for additional 30 minutes. The precipitated white solid was filtered off under vacuum and thoroughly washed with methanol (500ml). The solid was dried at 50°C under vacuum oven for 24hr to afford Sugammadex sodium (79g).

    Yield: 96.9%, Purity: 95.5% measured by HPLC.

    PATENT
    Cited Patent Filing date Publication date Applicant Title
    WO2012025937A1 Aug 23, 2011 Mar 1, 2012 Ramamohan Rao Davuluri Improved process for preparation of sugammadex
    US5569756 * Mar 21, 1995 Oct 29, 1996 American Maize-Products Company Purification of chemically modified cyclodextrins
    US6670340 Nov 23, 2000 Dec 30, 2003 Akzo Nobel 6-Mercapto-cyclodextrin derivatives:reversal agents for drug-induced neuromuscular block
    Cited Patent Filing date Publication date Applicant Title
    WO2001040316A1 * Nov 23, 2000 Jun 7, 2001 Akzo Nobel N.V. 6-mercapto-cyclodextrin derivatives: reversal agents for drug-induced neuromuscular block
    US6670340 Nov 23, 2000 Dec 30, 2003 Akzo Nobel 6-Mercapto-cyclodextrin derivatives:reversal agents for drug-induced neuromuscular block
    Reference
    1 * KAZIMIERZ CHMURSKI ET AL.: “An Improved Synthesis of 6-Deoxyhalo Cyclodextrins via Halomethylenemorpholinium Halides Vilsmeier-Haack Type Reagents.“, TETRAHEDRON LETTERS, vol. 38, no. 42, 1997, pages 7365 – 7368, XP004111215
    2 * See also references of EP2609120A4
    Citing Patent Filing date Publication date Applicant Title
    WO2014125501A1 Apr 8, 2013 Aug 21, 2014 Neuland Laboratories Limited An improved process for preparation of sugammadex sodium
    WO2015181224A1 May 27, 2015 Dec 3, 2015 Universitaet Des Saarlandes Novel water soluble 6-thioalkyl-cyclodextrins and uses thereof

    FDA Orange Book Patents

    FDA Orange Book Patents: 1 of 3
    Patent 6949527
    Expiration Jan 27, 2021
    Applicant ORGANON SUB MERCK
    Drug Application N022225 (Prescription Drug: BRIDION. Ingredients: SUGAMMADEX SODIUM)
    FDA Orange Book Patents: 2 of 3
    Patent 7265099
    Expiration Aug 7, 2020
    Applicant ORGANON SUB MERCK
    Drug Application N022225 (Prescription Drug: BRIDION. Ingredients: SUGAMMADEX SODIUM)
    FDA Orange Book Patents: 3 of 3
    Patent RE44733
    Expiration Jan 27, 2021
    Applicant ORGANON SUB MERCK
    Drug Application N022225 (Prescription Drug: BRIDION. Ingredients: SUGAMMADEX SODIUM)

    References

    1. Jump up^ Miller R (2007). “Sugammadex: an opportunity to change the practice of anesthesiology?”. Anesth Analg. 104 (3): 477–8. doi:10.1213/01.ane.0000255645.64583.e8. PMID 17312188.
    2. Jump up^ Eleveld DJ; Kuizenga, K; Proost, JH; Wierda, JM (2008). “A Temporary Decrease in Twitch Response During Reversal of Rocuronium-Induced Muscle Relaxation with a Small Dose of Sugammadex”. Anesth Analg. 104 (3): 582–4. doi:10.1213/01.ane.0000250617.79166.7f. PMID 17312212.
    3. Jump up^ Welliver M (2006). “New drug sugammadex; A selective relaxant binding agent”. AANA J 74(5): 357–363. PMID 17048555
    4. Jump up^ Decoopman M (2007). “Reversal of pancuronium-induced block by the selective relaxant binding agent sugammadex”. Eur J Anaesthesiol. 24(Suppl 39):110-111.
    5. Jump up^ Pühringer FK, Rex C, Sielenkämper AW, et al. (August 2008). “Reversal of profound, high-dose rocuronium-induced neuromuscular blockade by sugammadex at two different time points: an international, multicenter, randomized, dose-finding, safety assessor-blinded, phase II trial”. Anesthesiology. 109 (2): 188–97. doi:10.1097/ALN.0b013e31817f5bc7. PMID 18648227.
    6. Jump up^ Abrishami A, Ho J, Wong J, Yin L, Chung F. (October 2009). Abrishami, Amir, ed. “Sugammadex, a selective reversal medication for preventing postoperative residual neuromuscular blockade”. Cochrane Database of Systematic Reviews (4): CD007362. doi:10.1002/14651858.CD007362.pub2. PMID 19821409.
    7. Jump up^ Yang LPH, Keam SJ.[1].Drugs 2009;69(7):919-942. doi:10.2165/00003495-200969070-00008.
    8. Jump up^ Naguib M (2007). “Sugammadex: another milestone in clinical neuromuscular pharmacology.”. Anesth Analg 104(3): 575–81. PMID 17312211
    9. Jump up^ “U.S. FDA Issues Action Letter for Sugammadex” (Press release). Schering-Plough. 2008-08-01. Retrieved 2008-08-02.
    10. Jump up^ “FDA approves Bridion to reverse effects of neuromuscular blocking drugs used during surgery” (Press release). Food and Drug Administration. 2015-12-15. Retrieved 2015-12-15.
    11. Jump up^ “BRIDION(R) (sugammadex) Injection – First and Only Selective Relaxant Binding Agent – Approved in European Union” (Press release). Schering-Plough. 2008-07-29. Retrieved 2008-08-02.
    12. http://www.aana.com/newsandjournal/documents/p357-363_sugammadex.pdf

    REFERENCES

    1: Takazawa T, Mitsuhata H, Mertes PM. Sugammadex and rocuronium-induced anaphylaxis. J Anesth. 2016 Apr;30(2):290-7. doi: 10.1007/s00540-015-2105-x. Epub 2015 Dec 8. Review. PubMed PMID: 26646837; PubMed Central PMCID: PMC4819478.

    2: Abad-Gurumeta A, Ripollés-Melchor J, Casans-Francés R, Espinosa A, Martínez-Hurtado E, Fernández-Pérez C, Ramírez JM, López-Timoneda F, Calvo-Vecino JM; Evidence Anaesthesia Review Group. A systematic review of sugammadex vs neostigmine for reversal of neuromuscular blockade. Anaesthesia. 2015 Dec;70(12):1441-52. doi: 10.1111/anae.13277. Review. PubMed PMID: 26558858.

    3: Ledowski T. Sugammadex: what do we know and what do we still need to know? A review of the recent (2013 to 2014) literature. Anaesth Intensive Care. 2015 Jan;43(1):14-22. Review. PubMed PMID: 25579285.

    4: Partownavid P, Romito BT, Ching W, Berry AA, Barkulis CT, Nguyen KP, Jahr JS. Sugammadex: A Comprehensive Review of the Published Human Science, Including Renal Studies. Am J Ther. 2015 Jul-Aug;22(4):298-317. doi: 10.1097/MJT.0000000000000103. Review. PubMed PMID: 25299638.

    5: Jahr JS, Miller JE, Hiruma J, Emaus K, You M, Meistelman C. Sugammadex: A Scientific Review Including Safety and Efficacy, Update on Regulatory Issues, and Clinical Use in Europe. Am J Ther. 2015 Jul-Aug;22(4):288-97. doi: 10.1097/MJT.0000000000000092. Review. PubMed PMID: 25299637.

    6: de Boer HD, Shields MO, Booij LH. Reversal of neuromuscular blockade with sugammadex in patients with myasthenia gravis: a case series of 21 patients and review of the literature. Eur J Anaesthesiol. 2014 Dec;31(12):715-21. doi: 10.1097/EJA.0000000000000153. Review. PubMed PMID: 25192270.

    7: Tsur A, Kalansky A. Hypersensitivity associated with sugammadex administration: a systematic review. Anaesthesia. 2014 Nov;69(11):1251-7. doi: 10.1111/anae.12736. Epub 2014 May 22. Review. PubMed PMID: 24848211.

    8: Luxen J, Trentzsch H, Urban B. [Rocuronium and sugammadex in emergency medicine: requirements of a muscle relaxant for rapid sequence induction]. Anaesthesist. 2014 Apr;63(4):331-7. doi: 10.1007/s00101-014-2303-1. Review. German. PubMed PMID: 24595442.

    9: Fuchs-Buder T, Meistelman C, Raft J. Sugammadex: clinical development and practical use. Korean J Anesthesiol. 2013 Dec;65(6):495-500. doi: 10.4097/kjae.2013.65.6.495. Epub 2013 Dec 26. Review. PubMed PMID: 24427454; PubMed Central PMCID: PMC3888841.

    10: Dubois PE, Mulier JP. A review of the interest of sugammadex for deep neuromuscular blockade management in Belgium. Acta Anaesthesiol Belg. 2013;64(2):49-60. Review. PubMed PMID: 24191526.

    11: Van Gestel L, Cammu G. Is the effect of sugammadex always rapid in onset? Acta Anaesthesiol Belg. 2013;64(2):41-7. Review. PubMed PMID: 24191525.

    12: Schaller SJ, Fink H. Sugammadex as a reversal agent for neuromuscular block: an evidence-based review. Core Evid. 2013;8:57-67. doi: 10.2147/CE.S35675. Epub 2013 Sep 25. Review. PubMed PMID: 24098155; PubMed Central PMCID: PMC3789633.

    13: Nag K, Singh DR, Shetti AN, Kumar H, Sivashanmugam T, Parthasarathy S. Sugammadex: A revolutionary drug in neuromuscular pharmacology. Anesth Essays Res. 2013 Sep-Dec;7(3):302-6. doi: 10.4103/0259-1162.123211. Review. PubMed PMID: 25885973; PubMed Central PMCID: PMC4173552.

    14: Karalapillai D, Kaufman M, Weinberg L. Sugammadex. Crit Care Resusc. 2013 Mar;15(1):57-62. Review. PubMed PMID: 23432503.

    15: Øberg E, Claudius C. [Possible clinical potential in reverting muscular block with sugammadex in anaesthesia and surgery]. Ugeskr Laeger. 2013 Feb 11;175(7):428-32. Review. Danish. PubMed PMID: 23402253.

    16: Della Rocca G, Di Marco P, Beretta L, De Gaudio AR, Ori C, Mastronardi P. Do we need to use sugammadex at the end of a general anesthesia to reverse the action of neuromuscular bloking agents? Position Paper on Sugammadex use. Minerva Anestesiol. 2013 Jun;79(6):661-6. Epub 2012 Nov 29. Review. PubMed PMID: 23192221.

    17: Stair C, Fernandez-Bustamante A. Sugammadex, the first selective relaxant binding agent for neuromuscular block reversal. Drugs Today (Barc). 2012 Jun;48(6):405-13. doi: 10.1358/dot.2012.48.6.1813474. Review. PubMed PMID: 22745926.

    18: Baldo BA, McDonnell NJ, Pham NH. The cyclodextrin sugammadex and anaphylaxis to rocuronium: is rocuronium still potentially allergenic in the inclusion complex form? Mini Rev Med Chem. 2012 Jul;12(8):701-12. Review. PubMed PMID: 22512555.

    19: Fuchs-Buder T, Meistelman C, Schreiber JU. Is sugammadex economically viable for routine use. Curr Opin Anaesthesiol. 2012 Apr;25(2):217-20. doi: 10.1097/ACO.0b013e32834f012d. Review. PubMed PMID: 22157200.

    20: Baldo BA, McDonnell NJ, Pham NH. Drug-specific cyclodextrins with emphasis on sugammadex, the neuromuscular blocker rocuronium and perioperative anaphylaxis: implications for drug allergy. Clin Exp Allergy. 2011 Dec;41(12):1663-78. doi: 10.1111/j.1365-2222.2011.03805.x. Epub 2011 Jul 7. Review. PubMed PMID: 21732999.

     

    BRIDION (sugammadex) injection, for intravenous use, contains sugammadex sodium, a modified gamma cyclodextrin chemically designated as 6A,6B,6C,6D,6E,6F,6G,6H-Octakis-S-(2-carboxyethyl)6A,6B,6C,6D,6E,6F,6G,6H-octathio-γ-cyclodextrin sodium salt (1:8) with a molecular weight of 2178.01. The structural formula is:

    Gamma cyclodextrin - Structural Formula Illustration

    BRIDION is supplied as a sterile, non-pyrogenic aqueous solution that is clear, colorless to slightly yellow-brown for intravenous injection only. Each mL contains 100 mg sugammadex, which is equivalent to 108.8 mg sugammadex sodium. The aqueous solution is adjusted to a pH of between 7 and 8 with hydrochloric acid and/or sodium hydroxide. The osmolality of the product is between 300 and 500 mOsmol/kg.

    BRIDION may contain up to 7 mg/mL of the mono OH-derivative of sugammadex [see CLINICAL PHARMACOLOGY]. This derivative is chemically designated as 6A,6B,6C,6D,6E,6F,6G-Heptakis-S-(2carboxyethyl)-6A,6B,6C,6D,6E,6F,6G-heptathio-γ-cyclodextrin sodium salt (1:7) with a molecular weight of 2067.90. The structural formula is:

    Sugammadex - Structural Formula Illustration
    Sugammadex
    Sugammadex sodium.svg
    Sugammadex sodium 3D front view.png
    Clinical data
    AHFS/Drugs.com International Drug Names
    License data
    Routes of
    administration
    Intravenous
    Legal status
    Legal status
    Identifiers
    CAS Number 343306-79-6 
    ATC code V03AB35 (WHO)
    PubChem CID 6918584
    ChemSpider 5293781 
    UNII 361LPM2T56 Yes
    KEGG D05940 Yes
    ChEBI CHEBI:90952 
    Chemical data
    Formula C72H104Na8O48S8
    Molar mass 2178 g/mol
    3D model (Jmol) Interactive image

    /////////SUGAMMADEX, Sugammadex Sodium, D05940, SUYDEX SODIUM, UNII-ERJ6X2MXV7, fda 2015, bridion, Org25969,  Org-25969, Org 25969,  361LPM2T56

    O[C@@H]1[C@@H](O)[C@@H]2O[C@H]3O[C@H](CSCCC(O)=O)[C@@H](O[C@H]4O[C@H](CSCCC(O)=O)[C@@H](O[C@H]5O[C@H](CSCCC(O)=O)[C@@H](O[C@H]6O[C@H](CSCCC(O)=O)[C@@H](O[C@H]7O[C@H](CSCCC(O)=O)[C@@H](O[C@H]8O[C@H](CSCCC(O)=O)[C@@H](O[C@H]9O[C@H](CSCCC(O)=O)[C@@H](O[C@H]1O[C@@H]2CSCCC(O)=O)[C@H](O)[C@H]9O)[C@H](O)[C@H]8O)[C@H](O)[C@H]7O)[C@H](O)[C@H]6O)[C@H](O)[C@H]5O)[C@H](O)[C@H]4O)[C@H](O)[C@H]3O

    O=C(O[Na])CCSC[C@@H]1OC(O[C@@H]2[C@H]([C@H](O)C(O[C@H]3[C@H](CSCCC(O[Na])=O)OC(O[C@H]4[C@H](CSCCC(O[Na])=O)OC5[C@@H](O)[C@@H]4O)[C@@H](O)[C@@H]3O)O[C@H]2CSCCC(O[Na])=O)O)[C@@H](O)[C@H](O)[C@H]1OC(O[C@@H](CSCCC(O[Na])=O)[C@H](OC6[C@@H](O)[C@H](O)[C@@H](OC7[C@@H](O)[C@H](O)[C@@H](OC8[C@@H](O)[C@H](O)[C@@H](O5)[C@H](CSCCC(O[Na])=O)O8)[C@H](CSCCC(O[Na])=O)O7)[C@H](CSCCC(O[Na])=O)O6)[C@H]9O)[C@H]9O

    C(CSCC1C2C(C(C(O1)OC3C(OC(C(C3O)O)OC4C(OC(C(C4O)O)OC5C(OC(C(C5O)O)OC6C(OC(C(C6O)O)OC7C(OC(C(C7O)O)OC8C(OC(C(C8O)O)OC9C(OC(O2)C(C9O)O)CSCCC(=O)[O-])CSCCC(=O)[O-])CSCCC(=O)[O-])CSCCC(=O)[O-])CSCCC(=O)[O-])CSCCC(=O)[O-])CSCCC(=O)[O-])O)O)C(=O)[O-].[Na+].[Na+].[Na+].[Na+].[Na+].[Na+].[Na+].[Na+]

    A PRESENTATION

     

    Image result for waitThe presentation will load below

    Asfotase alfa


     STR1

    > Asfotase Alfa Sequence
    LVPEKEKDPKYWRDQAQETLKYALELQKLNTNVAKNVIMFLGDGMGVSTVTAARILKGQL
    HHNPGEETRLEMDKFPFVALSKTYNTNAQVPDSAGTATAYLCGVKANEGTVGVSAATERS
    RCNTTQGNEVTSILRWAKDAGKSVGIVTTTRVNHATPSAAYAHSADRDWYSDNEMPPEAL
    SQGCKDIAYQLMHNIRDIDVIMGGGRKYMYPKNKTDVEYESDEKARGTRLDGLDLVDTWK
    SFKPRYKHSHFIWNRTELLTLDPHNVDYLLGLFEPGDMQYELNRNNVTDPSLSEMVVVAI
    QILRKNPKGFFLLVEGGRIDHGHHEGKAKQALHEAVEMDRAIGQAGSLTSSEDTLTVVTA
    DHSHVFTFGGYTPRGNSIFGLAPMLSDTDKKPFTAILYGNGPGYKVVGGERENVSMVDYA
    HNNYQAQSAVPLRHETHGGEDVAVFSKGPMAHLLHGVHEQNYVPHVMAYAACIGANLGHC
    APASSLKDKTHTCPPCPAPELLGGPSVFLFPPKPKDTLMISRTPEVTCVVVDVSHEDPEV
    KFNWYVDGVEVHNAKTKPREEQYNSTYRVVSVLTVLHQDWLNGKEYKCKVSNKALPAPIE
    KTISKAKGQPREPQVYTLPPSREEMTKNQVSLTCLVKGFYPSDIAVEWESNGQPENNYKT
    TPPVLDSDGSFFLYSKLTVDKSRWQQGNVFSCSVMHEALHNHYTQKSLSLSPGKDIDDDD
    DDDDDD

    Asfotase alfa

    Indicated for the treatment of patients with perinatal/infantile and juvenile onset hypophosphatasia (HPP).

    (Strensiq®)Approved

    A mineralized tissue targeted fusion protein used to treat hypophosphatasia.

    Research Code ALXN-1215; ENB-0040; sALP-FcD-10

    CAS No.1174277-80-5

    180000.0

    C7108H11008N1968O2206S56

    Company Alexion Pharmaceuticals Inc.
    Description Fusion protein incorporating the catalytic domain of human tissue non-specific alkaline phosphatase (TNSALP; ALPL) and a bone-targeting peptide
    Molecular Target
    Mechanism of Action Enzyme replacement therapy
    Therapeutic Modality Biologic: Fusion protein
    Latest Stage of Development Approved
    Standard Indication Metabolic (unspecified)
    Indication Details Treat hypophosphatasia (HPP); Treat hypophosphatasia (HPP) in children; Treat hypophosphatasia (HPP) in patients whose first signs or symptoms occurred prior to 18 years of age; Treat perinatal, infantile and juvenile-onset hypophosphatasia (HPP)
    Regulatory Designation U.S. – Breakthrough Therapy (Treat hypophosphatasia (HPP) in children);
    U.S. – Breakthrough Therapy (Treat hypophosphatasia (HPP) in patients whose first signs or symptoms occurred prior to 18 years of age);
    U.S. – Fast Track (Treat hypophosphatasia (HPP));
    U.S. – Orphan Drug (Treat hypophosphatasia (HPP));
    U.S. – Priority Review (Treat hypophosphatasia (HPP) in children);
    EU – Accelerated Assessment (Treat hypophosphatasia (HPP));
    EU – Accelerated Assessment (Treat hypophosphatasia (HPP) in children);
    EU – Orphan Drug (Treat hypophosphatasia (HPP));
    Japan – Orphan Drug (Treat hypophosphatasia (HPP));
    Australia – Orphan Drug (Treat hypophosphatasia (HPP)

    Asfotase Alfa is a first-in-class bone-targeted enzyme replacement therapy designed to address the underlying cause of hypophosphatasia (HPP)—deficient alkaline phosphatase (ALP). Hypophosphatasia is almost always fatal when severe skeletal disease is obvious at birth. By replacing deficient ALP, treatment with Asfotase Alfa aims to improve the elevated enzyme substrate levels and improve the body’s ability to mineralize bone, thereby preventing serious skeletal and systemic patient morbidity and premature death. Asfotase alfa was first approved by Pharmaceuticals and Medicals Devices Agency of Japan (PMDA) on July 3, 2015, then approved by the European Medicine Agency (EMA) on August 28, 2015, and was approved by the U.S. Food and Drug Administration (FDA) on October 23, 2015. Asfotase Alfa is marketed under the brand name Strensiq® by Alexion Pharmaceuticals, Inc. The annual average price of Asfotase Alfa treatment is $285,000.

    Hypophosphatasia (HPP) is a rare inheritable disease that results from loss-of-function mutations in the ALPL gene encoding tissue-nonspecific alkaline phosphatase (TNSALP). Therapeutic options for treating the underlying pathophysiology of the disease have been lacking, with the mainstay of treatment being management of symptoms and supportive care. HPP is associated with significant morbidity and mortality in paediatric patients, with mortality rates as high as 100 % in perinatal-onset HPP and 50 % in infantile-onset HPP. Subcutaneous asfotase alfa (Strensiq(®)), a first-in-class bone-targeted human recombinant TNSALP replacement therapy, is approved in the EU for long-term therapy in patients with paediatric-onset HPP to treat bone manifestations of the disease. In noncomparative clinical trials in infants and children with paediatric-onset HPP, asfotase alfa rapidly improved radiographically-assessed rickets severity scores at 24 weeks (primary timepoint) as reflected in improvements in bone mineralization, with these benefits sustained after more than 3 years of treatment. Furthermore, patients typically experienced improvements in respiratory function, gross motor function, fine motor function, cognitive development, muscle strength (normalization) and ability to perform activities of daily living, and catch-up height-gain. In life-threatening perinatal and infantile HPP, asfotase alfa also improved overall survival. Asfotase alfa was generally well tolerated in clinical trials, with relatively few patients discontinuing treatment and most treatment-related adverse events being of mild to moderate intensity. Thus, subcutaneous asfotase alfa is a valuable emerging therapy for the treatment of bone manifestations in patients with paediatric-onset HPP.

    FDA

    October 23, 2015

    Release

     Today, the U.S. Food and Drug Administration approved Strensiq (asfotase alfa) as the first approved treatment for perinatal, infantile and juvenile-onset hypophosphatasia (HPP).

    HPP is a rare, genetic, progressive, metabolic disease in which patients experience devastating effects on multiple systems of the body, leading to severe disability and life-threatening complications. It is characterized by defective bone mineralization that can lead to rickets and softening of the bones that result in skeletal abnormalities. It can also cause complications such as profound muscle weakness with loss of mobility, seizures, pain, respiratory failure and premature death. Severe forms of HPP affect an estimated one in 100,000 newborns, but milder cases, such as those that appear in childhood or adulthood, may occur more frequently.

    “For the first time, the HPP community will have access to an approved therapy for this rare disease,” said Amy G. Egan, M.D., M.P.H., deputy director of the Office of Drug Evaluation III in the FDA’s Center for Drug Evaluation and Research (CDER). “Strensiq’s approval is an example of how the Breakthrough Therapy Designation program can bring new and needed treatments to people with rare diseases.”

    Strensiq received a breakthrough therapy designation as it is the first and only treatment for perinatal, infantile and juvenile-onset HPP. The Breakthrough Therapy Designation program encourages the FDA to work collaboratively with sponsors, by providing timely advice and interactive communications, to help expedite the development and review of important new drugs for serious or life-threatening conditions. In addition to designation as a breakthrough therapy, the FDA granted Strensiq orphan drug designation because it treats a disease affecting fewer than 200,000 patients in the United States.

    Orphan drug designation provides financial incentives, like clinical trial tax credits, user fee waivers, and eligibility for market exclusivity to promote rare disease drug development. Strensiq was also granted priority review, which is granted to drug applications that show a significant improvement in safety or effectiveness in the treatment of a serious condition. In addition, the manufacturer of Strensiq was granted a rare pediatric disease priority review voucher – a provision intended to encourage development of new drugs and biologics for the prevention and treatment of rare pediatric diseases. Development of this drug was also in part supported by the FDA Orphan Products Grants Program, which provides grants for clinical studies on safety and/or effectiveness of products for use in rare diseases or conditions.

    Strensiq is administered via injection three or six times per week. Strensiq works by replacing the enzyme (known as tissue-nonspecific alkaline phosphatase) responsible for formation of an essential mineral in normal bone, which has been shown to improve patient outcomes.

    The safety and efficacy of Strensiq were established in 99 patients with perinatal (disease occurs in utero and is evident at birth), infantile- or juvenile-onset HPP who received treatment for up to 6.5 years during four prospective, open-label studies. Study results showed that patients with perinatal- and infantile-onset HPP treated with Strensiq had improved overall survival and survival without the need for a ventilator (ventilator-free survival). Ninety-seven percent of treated patients were alive at one year of age compared to 42 percent of control patients selected from a natural history study group. Similarly, the ventilator-free survival rate at one year of age was 85 percent for treated patients compared to less than 50 percent for the natural history control patients.

    Patients with juvenile-onset HPP treated with Strensiq showed improvements in growth and bone health compared to control patients selected from a natural history database. All treated patients had improvement in low weight or short stature or maintained normal height and weight. In comparison, approximately 20 percent of control patients had growth delays over time, with shifts in height or weight from the normal range for children their age to heights and weights well below normal for age. Juvenile-onset patients also showed improvements in bone mineralization, as measured on a scale that evaluates the severity of rickets and other HPP-related skeletal abnormalities based on x-ray images. All treated patients demonstrated substantial healing of rickets on x-rays while some natural history control patients showed increasing signs of rickets over time.

    The most common side effects in patients treated with Strensiq include injection site reactions, hypersensitivity reactions (such as difficulty breathing, nausea, dizziness and fever), lipodystrophy (a loss of fat tissue resulting in an indentation in the skin or a thickening of fat tissue resulting in a lump under the skin) at the injection site, and ectopic calcifications of the eyes and kidney.

    Strensiq is manufactured by Alexion Pharmaceuticals Inc., based in Cheshire, Connecticut.

    Patent Number Pediatric Extension Approved Expires (estimated)
    US7763712 No 2004-04-21 2026-07-15

    STRENSIQ is a formulation of asfotase alfa, which is a soluble glycoproteincomposed of two identical polypeptide chains. Each chain contains 726amino acids with a theoretical mass of 161 kDa. Each chain consists of the catalytic domain of human tissue non-specific alkaline phosphatase (TNSALP), the human immunoglobulin G1 Fc domain and a deca-aspartatepeptide used as a bone targeting domain. The two polypeptide chains are covalently linked by two disulfide bonds.

    STRENSIQ is a tissue nonspecific alkaline phosphatase produced byrecombinant DNA technology in a Chinese hamster ovary cell line. TNSALP is a metallo-enzyme that catalyzes the hydrolysis of phosphomonoesters with release of inorganic phosphate and alcohol. Asfotase alfa has a specific activity of 620 to 1250 units/mg. One activity unit is defined as the amount of asfotase alfa required to form 1 μmol of p-nitrophenol from pNPP per minute at 37°C.

    STRENSIQ (asfotase alfa) is a sterile, preservative-free, nonpyrogenic, clear, slightly opalescent or opalescent, colorless to slightly yellow, with few small translucent or white particles, aqueous solution for subcutaneous administration. STRENSIQ is supplied in glass single-use vials containing asfotase alfa; dibasic sodium phosphate, heptahydrate; monobasic sodium phosphate, monohydrate; and sodium chloride at a pH between 7.2 and 7.6. Table 5 describes the content of STRENSIQ vial presentations.

    Table 5: Content of STRENSIQ Vial Presentations

    INGREDIENT QUANTITY PER VIAL
    ASFOTASE ALFA 18 MG/0.45 ML 28 MG/0.7 ML 40 MG/ML 80 MG/0.8 ML
    Dibasic sodium phosphate, heptahydrate 2.48 mg 3.85 mg 5.5 mg 4.4 mg
    Monobasic sodium phosphate, monohydrate 0.28 mg 0.43 mg 0.62 mg 0.5 mg
    Sodium chloride 3.94 mg 6.13 mg 8.76 mg 7.01 mg

    REFERNCES

    http://www.ema.europa.eu/docs/en_GB/document_library/EPAR_-_Public_assessment_report/human/003794/WC500194340.pdf

    1. Whyte MP: Hypophosphatasia – aetiology, nosology, pathogenesis, diagnosis and treatment. Nat Rev Endocrinol. 2016 Apr;12(4):233-46. doi: 10.1038/nrendo.2016.14. Epub 2016 Feb 19. [PubMed:26893260 ]
    2. Whyte MP, Rockman-Greenberg C, Ozono K, Riese R, Moseley S, Melian A, Thompson DD, Bishop N, Hofmann C: Asfotase Alfa Treatment Improves Survival for Perinatal and Infantile Hypophosphatasia. J Clin Endocrinol Metab. 2016 Jan;101(1):334-42. doi: 10.1210/jc.2015-3462. Epub 2015 Nov 3. [PubMed:26529632 ]
    3. Whyte MP, Greenberg CR, Salman NJ, Bober MB, McAlister WH, Wenkert D, Van Sickle BJ, Simmons JH, Edgar TS, Bauer ML, Hamdan MA, Bishop N, Lutz RE, McGinn M, Craig S, Moore JN, Taylor JW, Cleveland RH, Cranley WR, Lim R, Thacher TD, Mayhew JE, Downs M, Millan JL, Skrinar AM, Crine P, Landy H: Enzyme-replacement therapy in life-threatening hypophosphatasia. N Engl J Med. 2012 Mar 8;366(10):904-13. doi: 10.1056/NEJMoa1106173. [PubMed:22397652 ]

    //////Asfotase alfa, Strensiq, treat hypophosphatasia, ALXN-1215,  ENB-0040,  sALP-FcD-10, FDA 2015

    Patiromer


    Patiromer skeletal.svg

    Patiromer

    1260643-52-4 FREE FORM

    CAS 1208912-84-8

    (C10 H10 . C8 H14 . C3 H3 F O2 . 1/2 Ca)x

    2-​Propenoic acid, 2-​fluoro-​, calcium salt (2:1)​, polymer with diethenylbenzene and 1,​7-​octadiene

    RLY5016

    RELYPSA INNOVATOR

    Patiromer is a powder for suspension in water for oral administration, approved in the U.S. as Veltassa in October, 2015. Patiromer is supplied as patiromer sorbitex calcium which consists of the active moiety, patiromer, a non-absorbed potassium-binding polymer, and a calcium-sorbitol counterion. Each gram of patiromer is equivalent to a nominal amount of 2 grams of patiromer sorbitex calcium. The chemical name for patiromer sorbitex calcium is cross-linked polymer of calcium 2-fluoroprop-2-enoate with diethenylbenzene and octa-1,7-diene, combination with D-glucitol. Patiromer sorbitex calcium is an amorphous, free-flowing powder that is composed of individual spherical beads.

    Veltassa is a powder for suspension in water for oral administration. The active ingredient is patiromer sorbitex calcium which consists of the active moiety, patiromer, a non-absorbed potassium-binding polymer, and a calcium-sorbitol counterion.

    Each gram of patiromer is equivalent to a nominal amount of 2 grams of patiromer sorbitex calcium. The chemical name for patiromer sorbitex calcium is cross-linked polymer of calcium 2-fluoroprop-2-enoate with diethenylbenzene and octa-1,7-diene, combination with D-glucitol.

    Mechanism of Action

    Veltassa is a non-absorbed, cation exchange polymer that contains a calcium-sorbitol counterion. Veltassa increases fecal potassium excretion through binding of potassium in the lumen of the gastrointestinal tract. Binding of potassium reduces the concentration of free potassium in the gastrointestinal lumen, resulting in a reduction of serum potassium levels.

    patiromer1

    Treatment of Hyperkalemia

    Hyperkalemia is usually asymptomatic but occasionally can lead to life-threatening cardiac arrhythmias and increased all-cause and in-hospital mortality, particularly in patients with CKD and associated cardiovascular diseases (Jain et al., 2012; McMahon et al., 2012; Khanagavi et al., 2014). However, there is limited evidence from randomized clinical trials regarding the most effective therapy for acute management of hyperkalemia (Khanagavi et al., 2014) and a Cochrane analysis of emergency interventions for hyperkalemia found that none of the studies reported mortality or cardiac arrhythmias, but reports focused on PK (Mahoney et al., 2005). Thus, recommendations are based on opinions and vary with institutional practice guidelines (Elliot et al., 2010; Khanagavi et al., 2014). Management of hyperkalemia includes reducing potassium intake, discontinuing potassium supplements, treatment of precipitating risk factors, and careful review of prescribed drugs affecting potassium homeostasis. Treatment of life-threatening hyperkalemia includes nebulized or inhaled beta-agonists (albuterol, salbutamol) or intravenous (IV) insulin-and-glucose, which stimulate intracellular potassium uptake, their combination being more effective than either alone. When arrhythmias are present, IV calcium might stabilize the cardiac resting membrane potential. Sodium bicarbonate may be indicated in patients with severe metabolic acidosis. Potassium can be effectively eliminated by hemodialysis or increasing its renal (loop diuretics) and gastrointestinal (GI) excretion with sodium polystyrene sulfonate, an ion-exchange resin that exchanges sodium for potassium in the colon. However, this resin produces serious GI adverse events (ischemic colitis, bleeding, perforation, or necrosis). Therefore, there is an unmet need of safer and more effective drugs producing a rapid and sustained PK reduction in patients with hyperkalemia.

    In this article we review two new polymer-based, non-systemic oral agents, patiromer calcium (RLY5016) and zirconium silicate (ZS-9), under clinical development designed to induce potassium loss via the GI tract, particularly the colon, and reduce PK in patients with hyperkalemia.

    1. Patiromer calcium

    This metal-free cross-linked fluoroacrylate polymer (structure not available) exchanges cations through the gastrointestinal (GI) tract. It preferentially binds soluble potassium in the colon, increases its fecal excretion and reduces PK under hyperkalemic conditions.

    The development program of patiromer includes several clinical trials. An open-label, single-arm study evaluated a titration regimen for patiromer in 60 HF patients with CKD treated with ACEIs, ARBs, or beta blockers (clinicaltrials.gov identifier: NCT01130597). Another open-label, randomized, dose ranging trial determined the optimal starting dose and safety of patiromer in 300 hypertensive patients with diabetic nephropathy treated with ACEIs and/or ARBs, with or without spironolactone (NCT01371747). The primary outcomes were the change in PK from baseline to the end of the study. Unfortunately, the results of these trials were not published.

    In a double-blind, placebo-controlled trial (PEARL-HF, NCT00868439), 105 patients with a baseline PK of 4.7 mmol/L and HF (NYHA class II-III) treated with spironolactone in addition to standard therapy were randomized to patiromer (15 g) or placebo BID for 4 weeks (Pitt et al., 2011). Spironolactone, initiated at 25 mg/day, was increased to 50 mg/day on day 15 if PK was ≤5.1 mmol/L. Patients were eligible for the trial if they had either CKD (eGFR <60 ml/min) or a history of hyperkalemia leading to discontinuation of RAASIs or beta-blockers. Compared with placebo, patiromer decreased the PK (-0.22 mmol/L, while PK increased in the placebo group +0.23 mmol/L, P<0.001), and the incidence of hyperkalemia (7% vs. 25%, P=0.015) and increased the number of patients up-titrated to spironolactone 50 mg/day (91% vs. 74%, P=0.019). A similar reduction in PK and hyperkalemia was observed in patients with an eGFR <60 ml/min. Patiromer produced more GI adverse events (flatulence, diarrhea, constipation, vomiting: 21% vs 6%), hypokalemia (<4.0 mmol/L: 47% vs 10%, P<0.001) and hypomagnesaemia (<1.8 mg/dL: 24% vs. 2.1%), but similar adverse events leading to study discontinuation compared to placebo. Unfortunately, recruited patients had normokalemia and basal eGFR in the treatment group was 84 ml/min. Thus, this study did not answer whether patiromer is effective in reducing PK in patients with CKD and/or HF who develop hyperkalemia on RAASIs.

    A two-part phase 3 study evaluated the efficacy and safety of patiromer in the treatment of hyperkalemia (NCT01810939). In a single-blind phase (part A) 243 patients with hyperkalemia and CKD (102 with HF) on RAASIs were treated with patiromer BID for 4 weeks: 4.2 g in patients with mild hyperkalemia (5.1-<5.5 mmol/L, n=92) and 8.4 g in patients with moderate-to-severe hyperkalemia (5.5-<6.5 mmol/L, n=151). Part B was a placebo-controlled, randomized, withdrawal phase designed to confirm the maintained efficacy of patiromer and the recurrent hyperkalemia following that drug’s withdrawal. Patients (n=107) who completed phase A with a normal PK were randomized to continue on patiromer (27 with HF) or placebo (22 with HF) besides RAASIs for 8 weeks. The primary endpoint was the difference in mean PK between the patiromer and placebo groups from baseline to the end of the study or when the patient first had a PK <3.8 or ≥5.5 mmol/L. In part A patiromer produced a rapid reduction in PK that persisted throughout the study in patients with and without HF (-1.06 and -0.98 mmol/L, respectively; both P<0.001 vs. placebo); three-fourths of patients in both groups had normal PK (3.8-<5.1 mmol/L) at 4 weeks. In part B patiromer reduced PK (-0.64 mmol/L) in patients with or without HF (P<0.001). As compared with placebo, fewer patients, with or without HF, presented recurrent hyperkalemia in the patiromer group or required RAASI discontinuation regardless of HF status (Pitt, 2014). Patiromer was well-tolerated, with a safety profile similar to placebo even in HF patients. The most common adverse events were nausea, diarrhea, and hypokalemia.

    INDICATIONS AND USAGE

    Veltassa is a potassium binder indicated for the treatment of hyperkalemia.

    Veltassa should not be used as an emergency treatment for lifethreatening hyperkalemia because of its delayed onset of action.

    Patiromer (USAN, trade name Veltassa) is a drug used for the treatment of hyperkalemia (elevated blood potassium levels), a condition that may lead to palpitations and arrhythmia (irregular heartbeat). It works by binding potassium in the gut.[1][2]

    Medical uses

    Patiromer is used for the treatment of hyperkalemia, but not as an emergency treatment for life-threatening hyperkalemia, because it acts relatively slowly.[2] Such a condition needs other kinds of treatment, for example calcium infusions, insulin plus glucose infusions, salbutamol inhalation, and hemodialysis.[3]

    Typical reasons for hyperkalemia are renal insufficiency and application of drugs that inhibit the renin–angiotensin–aldosterone system (RAAS) – e.g. ACE inhibitors, angiotensin II receptor antagonists, or potassium-sparing diuretics – or that interfere with renal function in general, such as nonsteroidal anti-inflammatory drugs (NSAIDs).[4][5]

    Adverse effects

    Patiromer was generally well tolerated in studies. Side effects that occurred in more than 2% of patients included in clinical trials were mainly gastro-intestinal problems such as constipation, diarrhea, nausea, and flatulence, and also hypomagnesemia (low levels of magnesium in the blood) in 5% of patients, because patiromer binds magnesium in the gut as well.[2][6]

    Interactions

    No interaction studies have been done in humans. Patiromer binds to many substances besides potassium, including numerous orally administered drugs (about half of those tested in vitro). This could reduce their availability and thus effectiveness,[2] wherefore patiromer has received a boxed warning by the US Food and Drug Administration (FDA), telling patients to wait for at least six hours between taking patiromer and any other oral drugs.[7]

    Pharmacology

    Mechanism of action

    Patiromer works by binding free potassium ions in the gastrointestinal tract and releasing calcium ions for exchange, thus lowering the amount of potassium available for absorption into the bloodstream and increasing the amount that is excreted via the feces. The net effect is a reduction of potassium levels in the blood serum.[2][4]

    Lowering of potassium levels is detectable 7 hours after administration. Levels continue to decrease for at least 48 hours if treatment is continued, and remain stable for 24 hours after administration of the last dose. After this, potassium levels start to rise again over a period of at least four days.[2]

    Pharmacokinetics

    Patiromer is not absorbed from the gut, is not metabolized, and is excreted in unchanged form with the feces.[2]

    Physical and chemical properties

    The substance is a cross-linked polymer of 2-fluoroacrylic acid (91% in terms of amount of substance) with divinylbenzenes (8%) and 1,7-octadiene (1%). It is used in form of its calcium salt (ratio 2:1) and with sorbitol (one molecule per two calcium ions or four fluoroacrylic acid units), a combination called patiromer sorbitex calcium.[8]

    Patiromer sorbitex calcium is an off-white to light brown, amorphous, free-flowing powder. It is insoluble in water, 0.1 M hydrochloric acid, heptane, and methanol.[2][8]

    Hyperkalemia Is a Clinical Challenge

    Hyperkalemia may result from increased potassium intake, impaired distribution between the intracellular and extracellular spaces, and/or conditions that reduce potassium excretion, including CKD, hypertension, diabetes mellitus, or chronic heart failure (HF) (Jain et al., 2012). Additionally, drugs and nutritional/herbal supplements (Table 1) can produce hyperkalemia in up to 88% of hospitalized patients by impairing normal potassium regulation (Hollander-Rodríguez and Calvert, 2006; Khanagavi et al., 2014).

    Although the prevalence of hyperkalemia in the general population is unknown, it is present in 1-10% of hospitalized patients depending on how hyperkalemia is defined (McMahon et al., 2012; Gennari, 2002). Hyperkalemia is a common problem in patients with conditions that reduce potassium excretion, especially when treated with beta-adrenergic blockers that inhibit Na+,K+-ATPase activity or RAAS inhibitors (RAASIs) [angiotensin-converting-enzyme inhibitors (ACEIs), angiotensin receptor blockers (ARBs), mineralocorticoid receptor antagonists or renin inhibitors] that decrease aldosterone excretion (Jain et al., 2012; Weir and Rolfe, 2010). The incidence of hyperkalemia with RAASIs in monotherapy is low (≤2%) in patients without predisposing factors, but increases with dual RAASIs (5%) and in patients with risk factors such as CKD, HF, and/or diabetes (5-10%) (Weir and Rolfe, 2010). Thus, hyperkalemia is a key limitation to fully titrate RAASIs in these patients who are most likely to benefit from treatment. Thus, we need new drugs to control hyperkalemia in these patients while maintaining the use of RAASIs.

    History

    Studies

    In a Phase III multicenter clinical trial including 237 patients with hyperkalemia under RAAS inhibitor treatment, 76% of participants reached normal serum potassium levels within four weeks. After subsequent randomization of 107 responders into a group receiving continued patiromer treatment and a placebo group, re-occurrence of hyperkalemia was 15% versus 60%, respectively.[9]

    Approval

    The US FDA approved patiromer in October 2015.[7] The drug is not approved in Europe as of January 2016.

    PATENT

    WO 2010132662

    PATENT

    WO 2010022383

    CLIP

    https://www.oatext.com/polymer-and-heterocyclic-compounds-their-utility-and-application-as-drug.php

    The Structure of some commercially available polymer sequestrant drugs, were as follows:

    Were sorbitol, which is frequently dosed with SPS as a laxative the risk of swelling of above drugs Leeds to some improvements to the above drudge polymers to increase of its capacity and reducing its swelling property sevelamer is changed into cross liked N,N, N,N-tetrakis (3-aminopropyl) butane-1,4-diamin (Schemes 6, 7) as illustrated below support the safety profile in clinical studies of up to 52 weeks it is approved for treatment of hyperphosphatemia by FDA in 1998.

    Scheme 6. Showing the  network formation of patiromer amine residue

    Scheme 7. Synthetic steps of Patiromer

    Patiromer is a non-absorbed, potassium-sequestering polymer which is a crosslinked form of poly (fluoroacrylic acid).The fluorine substituent lowers the pKa of the acid group in patiromer compared to acrylic acid such that a higher proportion of acid groups are available for ion binding.

    Suspension polymerization during patiromer manufacture allows for the generation of monodisperse uniform polymer particles, with spherical shape, controlled size distribution, and low swelling. The bead particles have a median diameter of around 100 µm. Patiromer was approved by the FDA for the treatment of hyperkalemia in 2015 based on clinical studies showing effective potassium lowering and acceptable safety profile in clinical studies of up to 52 weeks duration.

    PATENT

    https://patents.google.com/patent/WO2017109658A1/en

    The present invention relates to a new process for the synthesis of Patiromer, an active ingredient recently approved for the treatment of hyperkalemia in adults, also known as hyperpotassemia.
    By the term hyperkalemia or hyperpotassemia, an excess of potassium in the organism blood is meant.
    Potassium is an important intracellular cation and it is the main determinant of the membrane resting potential. The potassium intracellular concentration is 150 mmol/L, while potassium plasmatic concentration is 3.5-5 mmol/L. Therefore hyperkalemia is defined as the group of electrolyte disorders which lead potassium plasmatic concentration to a value higher than 5 mmol/L.
    Hyperkalemia can arise in case of kidney dysfunction which, due to their compromised functionality, are no longer able to remove potassium from the organism.
    An additional cause of hyperkalemia is the release of excessive amounts of potassium by the organism cells.
    Anyway, the presence of a kidney disease remains the most common cause of hyperkalemia, since kidneys help to control the potassium body balance. In case of dysfunction, kidneys are unable to filter the excess amount of potassium in the blood or to remove it from the organism.
    Aldosterone secretion is crucial since said hormone promotes potassium excretion into the filtrate, therefore diseases that reduce the secretion of this hormone, such as Addison’s disease, can cause the onset of hyperkalemia.
    The assumption of some drugs can also render much more difficult or unfavourable potassium excretion from kidneys. Moreover, some drugs or nutritional supplements can increase the potassium amount in the organism. In particular, a potassium excess within the diet can contribute to increase its levels into the blood, especially in case of kidney functionality problems.
    The following drugs and nutritional supplements have been related to hyperkalemia: antibiotics, among which penicillin G and trimethoprim, azole antifungals, used for treating vaginal yeast infections and other fungal infections, drugs for the treatment of arterial pressure named angiotensin-converting-enzyme inhibitors (ACE- inhibitors), drugs for the treatment of arterial pressure known as beta-blockers, herbal supplements, heparin, non-steroidal anti-inflammatory drugs, (NSAID), potassium supplements and potassium-sparing diuretics, among which triamterene, amiloride (Midamor) and spironolactone (Aldactone).
    In addition, several health problems or diseases interfere with potassium transit outside of body cells.
    In fact, sometimes, cells release too much potassium, and this may be caused either by the destruction of red blood cells (haemolysis), the breakdown of skeletal muscle cells (rhabdomyolysis), burns, traumas or other tissues injuries, or by uncontrolled diabetes.
    The presence of an excessive amount of potassium into the blood can affect cardiac muscle functionality.
    Hyperkalemia, as a disease, can be difficult to diagnose, since symptoms can be mild and may be due to many different health problems.
    Symptoms of hyperkalemia can include: abnormal heart rhythm (arrhythmia), which can also be extremely dangerous, slow heart rate or weakness.
    Heart rhythm changes or cardiac arrhythmia can be potentially life-threatening, since they can lead to the outbreak of an emergency condition known as ventricular fibrillation, wherein the lower chambers of the heart quiver rapidly rather than pump blood properly.
    Moreover if hyperkalemia is not pharmacologically treated an extremely high amount of potassium into the blood may cause heart failure and, therefore, death.
    Patiromer is a cation exchange polymer, which acts by binding unabsorbed potassium from intestinal mucosa. Said polymer promotes the decrease in potassium absorption and its excretion through the feces.
    Patiromer is indicated in the treatment of patients with both acute and chronic kidney failure, when kidneys are unable to maintain potassium blood levels within normal values range and also in cardiac decompensation hyperpotassemia, caused by drugs that inhibit the renin-angiotensin-aldosterone system (ACE-inhibitors, angiotensin inhibitors or sartans, potassium sparing diuretics). Patiromer is a compound of formula (I)
    Figure imgf000004_0001

    wherein m is the number of 2-fluoro-2-propanoate groups and

    m is equal to 0.91
    n and p are the number of crosslinking groups
    n + p is equal to 0.09 and
    * is an extended polymeric network
    disclosed in WO2010/022380, WO2010/022381 , WO2010/022383 and marketed as Patiromer sorbitex calcium under the brand name Veltassa®.
    Few patent documents describe the synthesis of Patiromer.
    WO 2010/022380, WO 2010/022381 , WO 2010/022383 disclose a process for the synthesis of Patiromer by polymerization reaction among methyl-2-fluoroacrylate, 1 ,7-octadiene and divinylbenzene, as crosslinking agents, using lauroyi peroxide as radical initiator and an aqueous layer consisting of polyvinyl alcohol, phosphates, sodium chloride, sodium nitrite and water as a stabilizer of the polymerization mixture; it is followed by the removal of the alkyl group and by the formation of the carboxylate salt obtained by hydrolysis of the product, by treatment with an aqueous solution of calcium hydroxide, or by hydrolysis with sodium hydroxide at a temperature of 95°C and subsequent salt exchange by washing with an aqueous solution of calcium chloride.
    WO 2005/097081 discloses a process for the synthesis of polyfluoroacrylates comprising the polymerization reaction between methyl-2-fluoroacrylate and divinylbenzene as crosslinking agent, using lauroyi peroxide and azo-bis- isobutylnitrile as radical initiators and polyvinyl alcohol as a stabilizer.
    WO 2010/132662 discloses a polymerization process carried out among methyl-2- fluoroacrylate, 1 ,7-octadiene and divinylbenzene, as crosslinking agents, in the presence of a radical initiator, lauroyi peroxide and an aqueous layer consisting of polyvinyl alcohol, water and sodium chloride. The hydrolysis reaction follows, carried out by reaction with sodium hydroxide and subsequent reaction with calcium chloride to give Patiromer of formula (I).
    We have now found a process for the synthesis of Patiromer of formula (I) comprising a polymerization reaction using a water soluble radical initiator together with a dispersing agent inert to radical polymerizations.
    Surprisingly we have found that the use of a water soluble radical initiator together with an inert dispersing agent and the reaction conditions of the process of the present invention allow to obtain a polymer, such as Patiromer of formula (I), with a large surface area, much easier processability, purification and grinding. Moreover, the process of the present invention provides for a hydrolysis reaction of the polymerization product which occurs at a temperature significantly lower than those reported in the art, thus decreasing the risk of polymer degradation.
    Therefore, object of the present invention is a process for the synthesis of Patiromer of formula (I)
    Figure imgf000005_0001
    wherein m is the number of 2-fluoro-2-propanoate groups and
    m is equal to 0.91
    n and p are the number of crosslinking groups
    n + p is equal to 0.09 and
    * is an extended polymeric network
    comprising:
    the polymerization reaction among methyl-2-fluoroacrylate of formula (VI), 1 ,7- octadiene of formula (V) and divinylbenzene of formula (IV),
    Figure imgf000005_0002
    (VI) (V) (IV) to obtain a compound of formula (III)
    Figure imgf000006_0001

    wherein m, n, p and * are as defined above, characterized in that the polymerization reaction to obtain the compound of formula (III) is carried out in the presence of a water-soluble radical initiator and of an inert dispersing agent.

    In the process object of the present invention, the water-soluble radical initiator can be a nitrogen compound, preferably 2,2′-azobis[2-(2-imidazolin-2-yl)propane] dihydrochloride (VA-044), 2,2′-azobis[2-(2-imidazolin-2-yl)propane] disulfate dihydrate (VA-046B), 2,2′-azobis(2-methylpropionamidine) dihydrochloride (V-50), 2,2′-azobis[N-(2-carboxyethyl)-2-methylpropionamidine] hydrate (VA-057), more preferably 2,2′-azobis[2-(2-imidazolin-2-yl)propane] dihydrochloride (VA-044).
    EXAMPLE 1. Synthesis of methyl-2-fluoroacrylate polymer with divinylbenzene and 1 ,7-octadiene.
    Methyl-2-fluoroacrylate (75.24 g, 0.723 mol), 1 ,7-octadiene (4.18 g, 37.93 mmol), divinylbenzene (4.18 g, 32.10 mmol) and polysorbate 20 (TWEEN® 20, 0.60 mL) were loaded into a reaction flask and the reaction mixture was left under mechanical stirring for five minutes. Demineralised water (490 mL) and a solution composed of 2,2′-azobis[2-(2-imidazolin-2-yl)propane] dihydrochloride (VA044, 1.67 g, 5.16 mmol) and demineralised water (10 mL) were then added, the temperature was brought to about 65°C and the reaction mixture was maintained under these conditions for about four hours. Finally, the reaction was brought to 95°C for 2 hours. When the reaction was completed, the temperature was brought to room temperature, the resultant product was filtered, washed with demineralised water (2 x 150 mL) and acetone (2 x 200 mL). The product was dried in vacuum oven at a temperature of 30°C to give 73.50 g of methyl-2-fluoroacrylate polymer with divinylbenzene and 1 ,7-octadiene.
    13C-NMR of methyl-2-fluoroacrylate polymer with divinylbenzene and 1 ,7-octadiene: reported in Figure 1.
    EXAMPLE 2. Synthesis of lithium salt of the methyl-2-fluoroacrylate polymer with divinylbenzene and 1 ,7-octadiene.
    Methyl-2-fluoroacrylate polymer with divinylbenzene and 1 ,7-octadiene (30 g), isopropyl alcohol (150 mL) and a solution of demineralised water (150 mL) and lithium hydroxide (17.62 g, 0.74 mol) were loaded into a reaction flask. The temperature was brought to about 40°C and the reaction mixture was maintained under these conditions for about thirty-six hours. When the reaction was completed, the resultant product was filtered and washed with demineralised water (4 x 100 mL), acetone (4 x 100 mL) and dried into vacuum oven at a temperature of 30°C to give 29.80 g of lithium salt of the methyl-2-fluoroacrylate polymer with divinylbenzene and 1 ,7-octadiene.
    13C-NMR of lithium salt of methyl-2-fluoroacrylate polymer with divinylbenzene and 1 ,7-octadiene: reported in Figure 2.
    Lithium content: 6.2%.
    EXAMPLE 3. Synthesis of Patiromer.
    Lithium salt of methyl-2-fluoroacrylate polymer with divinylbenzene and 1 ,7- octadiene (29.80 g), as obtained in example 2, demineralised water (150 mL), and a solution of demineralised water (150 mL) and calcium chloride (70 g, 0.63 mol) were loaded into a reaction flask and the reaction mixture was left at room temperature for about four hours. When the reaction was completed, the product was filtered, washed with demineralised water (2 x 50 mL), acetone (1 x 50 mL) and dried in vacuum oven at a temperature of 30°C, to give 27.90 g of Patiromer.
    13C-NMR of Patiromer: reported in Figure 3.
    Calcium content: 16.1 %.

    References

    • 1 Henneman, A; Guirguis, E; Grace, Y; Patel, D; Shah, B (2016). “Emerging therapies for the management of chronic hyperkalemia in the ambulatory care setting”. American Journal of Health-System Pharmacy 73 (2): 33–44. doi:10.2146/ajhp150457. PMID 26721532.
    • 2FDA Professional Drug Information for Veltassa.
    • 3Vanden Hoek TL, Morrison LJ, Shuster M, Donnino M, Sinz E, Lavonas EJ, Jeejeebhoy FM, Gabrielli A; Morrison; Shuster; Donnino; Sinz; Lavonas; Jeejeebhoy; Gabrielli (2010-11-02). “Part 12: cardiac arrest in special situations: 2010 American Heart Association Guidelines for Cardiopulmonary Resuscitation and Emergency Cardiovascular Care”. Circulation 122 (18 Suppl 3): S829–61. doi:10.1161/CIRCULATIONAHA.110.971069. PMID 20956228.
    • 4Esteras, R.; Perez-Gomez, M. V.; Rodriguez-Osorio, L.; Ortiz, A.; Fernandez-Fernandez, B. (2015). “Combination use of medicines from two classes of renin-angiotensin system blocking agents: Risk of hyperkalemia, hypotension, and impaired renal function”. Therapeutic Advances in Drug Safety 6 (4): 166. doi:10.1177/2042098615589905. PMID 26301070.
    • 5Rastegar, A; Soleimani, M (2001). “Hypokalaemia and hyperkalaemia”. Postgraduate Medical Journal 77 (914): 759–64. doi:10.1136/pmj.77.914.759. PMC 1742191. PMID 11723313.
    • 6Tamargo, J; Caballero, R; Delpón, E (2014). “New drugs for the treatment of hyperkalemia in patients treated with renin-angiotensin-aldosterone system inhibitors — hype or hope?”. Discovery medicine 18 (100): 249–54. PMID 25425465.
    • 7″FDA approves new drug to treat hyperkalemia”. FDA. 21 October 2015.
    • 8RxList: Veltassa.
    • 9Weir, Matthew R.; Bakris, George L.; Bushinsky, David A.; Mayo, Martha R.; Garza, Dahlia; Stasiv, Yuri; Wittes, Janet; Christ-Schmidt, Heidi; Berman, Lance; Pitt, Bertram (2015). “Patiromer in Patients with Kidney Disease and Hyperkalemia Receiving RAAS Inhibitors”. New England Journal of Medicine 372 (3): 211. doi:10.1056/NEJMoa1410853. PMID 25415805.
    Patiromer skeletal.svg
    Systematic (IUPAC) name
    2-Fluoropropenoic acid, cross-linked polymer with diethenylbenzene and 1,7-octadiene
    Clinical data
    Trade names Veltassa
    AHFS/Drugs.com entry
    Legal status
    Routes of
    administration
    Oral suspension
    Pharmacokinetic data
    Bioavailability Not absorbed
    Metabolism None
    Onset of action 7 hrs
    Duration of action 24 hrs
    Excretion Feces
    Identifiers
    CAS Number 1260643-52-4
    1208912-84-8 (calcium salt)
    ATC code None
    PubChem SID 135626866
    DrugBank DB09263
    UNII 1FQ2RY5YHH
    KEGG D10148
    ChEMBL CHEMBL2107875
    Synonyms RLY5016
    Chemical data
    Formula [(C3H3FO2)182·(C10H10)8·(C8H14)10]n

    [Ca91(C3H2FO2)182·(C10H10)8·(C8H14)10]n (calcium salt)

    ////

    Elotuzumab


     

    str2

    Elotuzumab

    Approved nov 30 2012

    A SLAMF7-directed immunostimulatory antibody used to treat multiple myeloma.

    (Empliciti®)

    HuLuc-63;BMS-901608

    cas 915296-00-3

     

     

     

    STR1

     

    Elotuzumab (brand name Empliciti, previously known as HuLuc63) is a humanized monoclonal antibody used in relapsed multiple myeloma.[1] The package insert denotes its mechanism as a SLAMF7-directed (also known as CD 319) immunostimulatory antibody.[2]

    Approvals and indications

    In May 2014, it was granted “Breakthrough Therapy” designation by the FDA. [3] On November 30, 2015, FDA approved elotuzumab as a treatment for patients with multiple myeloma who have received one to three prior medications.[1] Elotuzumab was labeled for use with lenalidomide and dexamethasone. Each intravenous injection of elotuzumab should be premedicated with dexamethasone, diphenhydramine, ranitidine and acetaminophen.[2]

     

    Elotuzumab is APPROVED for safety and efficacy in combination with lenalidomide and dexamethasone.

    Monoclonal antibody therapy for multiple myeloma, a malignancy of plasma cells, was not very clinically efficacious until the development of cell surface glycoprotein CS1 targeting humanized immunoglobulin G1 monoclonal antibody – Elotuzumab. Elotuzumab is currently APPROVED in relapsed multiple myeloma.

    Elotuzumab (HuLuc63) binds to CS1 antigens, highly expressed by multiple myeloma cells but minimally present on normal cells. The binding of elotuzumab to CS1 triggers antibody dependent cellular cytotoxicity in tumor cells expressing CS1. CS1 is a cell surface glycoprotein that belongs to the CD2 subset of immunoglobulin superfamily (IgSF). Preclinical studies showed that elotuzumab initiates cell lysis at high rates. The action of elotuzumab was found to be enhanced when multiple myeloma cells were pretreated with sub-therapeutic doses of lenalidomide and bortezomib. The impressive preclinical findings prompted investigation and analysis of elotuzumab in phase I and phase II studies in combination with lenalidomide and bortezomib.

    Elotuzumab As Part of Combination Therapy: Clinical Trial Results

    Elotuzumab showed manageable side effect profile and was well tolerated in a population of relapsed/refractory multiple myeloma patients, when treated with intravenous elotuzumab as single agent therapy. Lets’ take a look at how elotuzumab fared in combination therapy trials,

    In phase I trial of elotuzumab in combination with Velcade/bortezomib in patients with relapsed/refractory myeloma, the overall response rate was 48% and activity was observed in patients whose disease had stopped responding to Velcade previously. The trial results found that elotuzumab enhanced Velcade activity.
    A phase I/II trial in combination with lenalidomide and dexamethasone in refractory/relapsed multiple myeloma patients showed that 82% of patients responded to treatment with a partial response or better and 12% of patients showed complete response. Patients who had received only one prior therapy showed 91% response rate with elotuzumab in combination with lenalidomide and dexamethasone.


    Phase I/II trials of the antibody drug has been very impressive and the drug is currently into Phase III trials. Two phase III trials are investigating whether addition of elotuzumab with Revlimid and low dose dexamethasone would increase the time to disease progression. Another phase III trial (ELOQUENT 2) is investigating and comparing safety and efficacy of lenalidomide plus low dose dexamethasone with or without 10mg/kg of elotuzumab in patients with relapsed/refractory multiple myeloma.

    Elotuzumab is being investigated in many other trials too. It is being evaluated in combination with Revlimid and low-dose dexamethasone in multiple myeloma patients with various levels of kidney functions, while another phase II study is investigating elotuzumab’s efficacy in patients with high-risk smoldering myeloma.

    The main target of multiple myeloma drug development is to satisfy the unmet need for drugs that would improve survival rates. Elotuzumab is an example that mandates much interest in this area and should be followed with diligence.

     

    On November 30, 2015, the U. S. Food and Drug Administration approved elotuzumab (EMPLICITI, Bristol-Myers Squibb Company) in combination with lenalidomide and dexamethasone for the treatment of patients with multiple myeloma who have received one to three prior therapies.
    Elotuzumab is a monoclonal antibody directed against Signaling Lymphocyte Activation Molecule Family 7 (SLAMF7). SLAMF7 is present on myeloma cells and is also present on natural killer cells.
    The approval was based on a multicenter, randomized, open-label, controlled trial evaluating progression-free survival (PFS) and overall response rate (ORR) in patients with relapsed or refractory multiple myeloma who had received 1 to 3 prior lines of therapy.  A total of 646 patients were randomized (1:1) to receive elotuzumab in combination with lenalidomide and dexamethasone (n=321) or lenalidomide plus dexamethasone alone (n=325).  Patients continued treatment until disease progression or the development of unacceptable toxicity.
    The trial demonstrated a statistically significant improvement in both PFS and ORR, the trial’s co-primary endpoints.  The median PFS in the elotuzumab-containing arm was 19.4 months and 14.9 months in the lenalidomide plus dexamethasone alone arm (hazard ratio 0.70, 95% CI: 0.57, 0.85; p = 0.0004).  The ORR in the elotuzumab-containing arm was 78.5% (95% CI: 73.6, 82.9) compared to 65.5% (95% CI: 60.1, 70.7) in the lenalidomide plus dexamethasone alone arm (p=0.0002).
    The safety data reflect exposure in 318 patients to elotuzumab in combination with lenalidomide and dexamethasone and 317 patients to lenalidomide plus dexamethasone. The most common adverse reactions (greater than or equal to 20%), with an increased rate in the elotuzumab arm compared to the control arm, were fatigue, diarrhea, pyrexia, constipation, cough, peripheral neuropathy, nasopharyngitis, upper respiratory tract infection, decreased appetite, and pneumonia.
    Other important adverse reactions include infusion reactions, infections, second primary malignancies, hepatotoxicity, and interference with determination of complete response.  As elotuzumab is an IgG kappa monoclonal antibody, it can be detected in the serum protein electrophoresis and immunofixation assays used to assess response.
    Serious adverse events occurred in 65.4% of patients in the elotuzumab-containing arm compared to 56.5% in the lenalidomide plus dexamethasone alone arm. The most common serious adverse reactions were pneumonia, pyrexia, respiratory tract infection, anemia, pulmonary embolism, and acute renal failure.
    The recommended dose and schedule for elotuzumab is 10 mg/kg intravenously every week for the first two cycles and every 2 weeks, thereafter, until disease progression or unacceptable toxicity with lenalidomide 25 mg daily orally on days 1 through 21.  Dexamethasone is administered as follows: In weeks with elotuzumab infusion, dexamethasone is to be administered in divided doses, 8 mg intravenously prior to infusion and 28 mg orally; in weeks without elotuzumab infusion, dexamethasone is to be administered 40 mg orally.  Pre-medication with an H1 blocker, H2 blocker, and acetaminophen should be administered prior to elotuzumab infusion.
    Elotuzumab is being approved prior to the Prescription Drug User Fee Act (PDUFA) goal date of February 29, 2016.  This application was granted priority review and had breakthrough therapy designation.  A description of these expedited programs is in the Guidance for Industry: Expedited Programs for Serious Conditions-Drugs and Biologics, available at: http://www.fda.gov/downloads/drugs/guidancecomplianceregulatoryinformation/guidances/ucm358301.pdf

     

    Empliciti’s Cost

    Empliciti will be sold in the U.S. in two vials sizes: A smaller vial that contains 300 mg of the drug, and a larger vial that contains 400 mg.

    Bristol-Myers Squibb has informed The Beacon that the wholesale price per vial of Empliciti will be $1,776 for the 300 mg vial and $2,368 for the 400 mg vial.

    Using these prices and an assumed patient weight of between 154 and 176 pounds, Empliciti will cost $18,944 per four-week cycle for each of the first two cycles of treatment, and $9,472 per cycle there­after. This means, in turn, that Empliciti’s cost per year will be $142,080 in the first year and $123,136 in subsequent years.

    In comparison, Velcade costs between $4,800 and $8,500 per four-week cycle, depending on how often it is dosed. Ninlaro costs $8,670 per four-week cycle. And Kyprolis costs $10,500 per four-week cycle at the standard (20 – 27 mg/m2) dose.

    Additional details about the FDA approval of Empliciti can be found in this press release from the FDA, a related press release from Bristol-Myers Squibb and AbbVie, and the full Empliciti prescribing information.

    The results of the ELOQUENT-2 trial were published in Lonial, S. et al., “Elotuzumab Therapy for Relapsed or Refractory Multiple Myeloma,” The New England Journal of Medicine, June 2, 2015 (abstract). Slides from the ASCO presentation summarizing the ELOQUENT-2 results can be viewed here (PDF, courtesy of Dr. Lonial). This Beacon news article provides an in-depth look at the trial results.

     

    Elotuzumab
    Monoclonal antibody
    Type Whole antibody
    Source Humanized
    Target SLAMF7 (CD319)
    Clinical data
    Trade names Empliciti
    Pregnancy
    category
    • US: X (Contraindicated)
    Legal status
    Routes of
    administration
    IV
    Pharmacokinetic data
    Bioavailability 100% (IV)
    Identifiers
    CAS Number 915296-00-3 
    ATC code None
    IUPHAR/BPS 8361
    UNII 1351PE5UGS Yes
    Chemical data
    Formula C6476H9982N1714O2016S42
    Molecular mass 145.5 kDa

    References

     

    1 “Press Announcement—FDA approves Empliciti, a new immune-stimulating therapy to treat multiple myeloma”. U.S. Food and Drug Administration. Retrieved 3 December 2015.

    2“Empliciti (elotuzumab) for Injection, for Intravenous Use. Full Prescribing Information” (PDF). Empliciti (elotuzumab) for US Healthcare Professionals. Bristol-Myers Squibb Company, Princeton, NJ 08543 USA.

    3 “Bristol-Myers Squibb and AbbVie Receive U.S. FDA Breakthrough Therapy Designation for Elotuzumab, an Investigational Humanized Monoclonal Antibody for Multiple Myeloma” (Press release). Princeton, NJ & North Chicago, IL: Bristol-Myers Squibb. 2014-05-19. Retrieved 2015-02-05.

     

    ///////

    FDA approves new orphan drug Uptravi (selexipag) to treat pulmonary arterial hypertension


    Selexipag.svg

     

     KEEPING WATCHING THIS POSTS FOR SYNTHESIS UPDATES

    12/22/2015
    On December 21, the U.S. Food and Drug Administration approved Uptravi (selexipag) tablets to treat adults with pulmonary arterial hypertension (PAH), a chronic, progressive, and debilitating rare lung disease that can lead to death or the need for transplantation.

    December 22, 2015

    On December 21, the U.S. Food and Drug Administration approved Uptravi (selexipag) tablets to treat adults with pulmonary arterial hypertension (PAH), a chronic, progressive, and debilitating rare lung disease that can lead to death or the need for transplantation.

    “Uptravi offers an additional treatment option for patients with pulmonary arterial hypertension,” said Ellis Unger, M.D., director of the Office of Drug Evaluation I in the FDA’s Center for Drug Evaluation and Research. “The FDA supports continued efforts to provide new treatment options for rare diseases.”

    PAH is high blood pressure that occurs in the arteries that connect the heart to the lungs. It causes the right side of the heart to work harder than normal, which can lead to limitations on exercise ability and shortness of breath, among other more serious complications.

    Uptravi belongs to a class of drugs called oral IP prostacyclin receptor agonists. The drug acts by relaxing muscles in the walls of blood vessels to dilate (open) blood vessels and decrease the elevated pressure in the vessels supplying blood to the lungs.

    Uptravi’s safety and efficacy were established in a long-term clinical trial of 1,156 participants with PAH. Uptravi was shown to be effective in reducing hospitalization for PAH and reducing the risks of disease progression compared to placebo. Participants were exposed to Uptravi in this trial for a median duration of 1.4 years.

    Common side effects observed in those treated with Uptravi in the trial include headache, diarrhea, jaw pain, nausea, muscle pain (myalgia), vomiting, pain in an extremity, and flushing.

    Uptravi was granted orphan drug designation. Orphan drug designation provides incentives such as tax credits, user fee waivers, and eligibility for exclusivity to assist and encourage the development of drugs for rare diseases.

    Uptravi is marketed by San Francisco-based Actelion Pharmaceuticals US, Inc.

    Selexipag.svg

     

    Selexipag, Uptravi

    475086-01-2 CAS

    (C26H32N4O4S, Mr = 496.6 g/mol)

    A prostacyclin receptor (PGI2) agonist used to treat pulmonary arterial hypertension (PAH).

    NIPPON SHINYAKU….INNOVATOR

    Selexipag (brand name Uptravi) is a drug developed by Actelion for the treatment of pulmonary arterial hypertension (PAH). Selexipag and its active metabolite, ACT-333679 (MRE-269) (the free carboxylic acid), are agonists of the prostacyclin receptor, which leads to vasodilation in the pulmonary circulation.[1]

    The US FDA granted it Orphan Drug status[2] (for PAH). It was approved by the U.S. FDA on 22 December 2015.[2]

    ACT-333679 or MRE-269, the active metabolite of selexipag

     

     

     

    str1

     

     

    str1

     

    str1

     

     

    PATENT

    US2012/101276

    http://www.google.st/patents/US20120101276?hl=pt-PT&cl=en

    The present invention relates to a crystal of 2-{4-[N-(5,6-diphenylpyrazin-2-yl)-N-isopropylamino]butyloxy}-N-(methylsulfonyl)acetamide (hereinafter referred to as “compound A”).

     

     

    BACKGROUND OF THE INVENTION

    Compound A has an excellent PGI2 agonistic effect and shows a platelet aggregation inhibitory effect, a vasodilative effect, a bronchodilative effect, a lipid deposition inhibitory effect, a leukocyte activation inhibitory effect, etc. (see, for example, in WO 2002/088084 (“WO ‘084”)).

    Specifically, compound A is useful as preventive or therapeutic agents for transient ischemic attack (TIA), diabetic neuropathy, diabetic gangrene, peripheral circulatory disturbance (e.g., chronic arterial occlusion, intermittent claudication, peripheral embolism, vibration syndrome, Raynaud’s disease), connective tissue disease (e.g., systemic lupus erythematosus, scleroderma, mixed connective tissue disease, vasculitic syndrome), reocclusion/restenosis after percutaneous transluminal coronary angioplasty (PTCA), arteriosclerosis, thrombosis (e.g., acute-phase cerebral thrombosis, pulmonary embolism), hypertension, pulmonary hypertension, ischemic disorder (e.g., cerebral infarction, myocardial infarction), angina (e.g., stable angina, unstable angina), glomerulonephritis, diabetic nephropathy, chronic renal failure, allergy, bronchial asthma, ulcer, pressure ulcer (bedsore), restenosis after coronary intervention such as atherectomy and stent implantation, thrombocytopenia by dialysis, the diseases in which fibrosis of organs or tissues is involved [e.g., Renal diseases (e.g., tuburointerstitial nephritis), respiratory diseases (e.g., interstitial pneumonia (pulmonary fibrosis), chronic obstructive pulmonary disease), digestive diseases (e.g., hepatocirrhosis, viral hepatitis, chronic pancreatitis and scirrhous stomachic cancer), cardiovascular diseases (e.g, myocardial fibrosis), bone and articular diseases (e.g, bone marrow fibrosis and rheumatoid arthritis), skin diseases (e.g, cicatrix after operation, scalded cicatrix, keloid, and hypertrophic cicatrix), obstetric diseases (e.g., hysteromyoma), urinary diseases (e.g., prostatic hypertrophy), other diseases (e.g., Alzheimer’s disease, sclerosing peritonitis; type I diabetes and organ adhesion after operation)], erectile dysfunction (e.g., diabetic erectile dysfunction, psychogenic erectile dysfunction, psychotic erectile dysfunction, erectile dysfunction associated with chronic renal failure, erectile dysfunction after intrapelvic operation for removing prostata, and vascular erectile dysfunction associated with aging and arteriosclerosis), inflammatory bowel disease (e.g., ulcerative colitis, Crohn’s disease, intestinal tuberculosis, ischemic colitis and intestinal ulcer associated with Behcet disease), gastritis, gastric ulcer, ischemic ophthalmopathy (e.g., retinal artery occlusion, retinal vein occlusion, ischemic optic neuropathy), sudden hearing loss, avascular necrosis of bone, intestinal damage caused by administration of a non-steroidal anti-inflammatory agent (e.g., diclofenac, meloxicam, oxaprozin, nabumetone, indomethacin, ibuprofen, ketoprofen, naproxen, celecoxib) (there is no particular limitation for the intestinal damage so far as it is damage appearing in duodenum, small intestine and large intestine and examples thereof include mucosal damage such as erosion and ulcer generated in duodenum, small intestine and large intestine), and symptoms associated with lumbar spinal canal stenosis (e.g., paralysis, dullness in sensory perception, pain, numbness, lowering in walking ability, etc. associated with cervical spinal canal stenosis, thoracic spinal canal stenosis, lumbar spinal canal stenosis, diffuse spinal canal stenosis or sacral stenosis) etc. (see, for example, in WO ‘084, WO 2009/157396, WO 2009/107736, WO 2009/154246, WO 2009/157397, and WO 2009/157398).

    In addition, compound A is useful as an accelerating agent for angiogenic therapy such as gene therapy or autologous bone marrow transplantation, an accelerating agent for angiogenesis in restoration of peripheral artery or angiogenic therapy, etc. (see, for example, in WO ‘084).

    Production of Compound A

    Compound A can be produced, for example, according to the method described in WO ‘084, and, it can also be produced according to the production method mentioned below.

     

     

    Step 1:

    6-Iodo-2,3-diphenylpyrazine can be produced from 6-chloro-2,3-diphenylpyrazine by reacting it with sodium iodide. The reaction is carried out in the presence of an acid in an organic solvent (e.g., ethyl acetate, acetonitrile, acetone, methyl ethyl ketone, or their mixed solvent). The acid to be used is, for example, acetic acid, sulfuric acid, or their mixed acid. The amount of sodium iodide to be used is generally within a range of from 1 to 10 molar ratio relative to 6-chloro-2,3-diphenylpyrazine, preferably within a range of from 2 to 3 molar ratio. The reaction temperature varies depending on the kinds of the solvent and the acid to be used, but may be generally within a range of from 60° C. to 90° C. The reaction time varies depending on the kinds of the solvent and the acid to be used and on the reaction temperature, but may be generally within a range of from 9 hours to 15 hours.

    Step 2:

    5,6-Diphenyl-2-[(4-hydroxybutyl(isopropyl)amino]pyrazine can be produced from 6-iodo-2,3-diphenylpyrazine by reacting it with 4-hydroxybutyl(isopropyl)amine. The reaction is carried out in the presence of a base in an organic solvent (e.g., sulfolane, N-methylpyrrolidone, N,N-dimethylimidazolidinone, dimethyl sulfoxide or their mixed solvent). The base to be used is, for example, sodium hydrogencarbonate, potassium hydrogencarbonate, potassium carbonate, sodium carbonate or their mixed base. The amount of 4-hydroxybutyl(isopropyl)amine to be used may be generally within a range of from 1.5 to 5.0 molar ratio relative to 6-iodo-2,3-diphenylpyrazine, preferably within a range of from 2 to 3 molar ratio. The reaction temperature varies depending on the kinds of the solvent and the base to be used, but may be generally within a range of from 170° C. to 200° C. The reaction time varies depending on the kinds of the solvent and the base to be used and on the reaction temperature, but may be generally within a range of from 5 hours to 9 hours.

    Step 3:

    Compound A can be produced from 5,6-diphenyl-2-[4-hydroxybutyl(isopropyl)amino]pyrazine by reacting it with N-(2-chloroacetyl)methanesulfonamide. The reaction is carried out in the presence of a base in a solvent (N-methylpyrrolidone, 2-methyl-2-propanol or their mixed solvent). The base to be used is, for example, potassium t-butoxide, sodium t-butoxide or their mixed base. The amount of N-(2-chloroacetyl)methanesulfonamide to be used may be generally within a range of from 2 to 4 molar ratio relative to 5,6-diphenyl-2-[4-hydroxybutyl(isopropyl)amino]pyrazine, preferably within a range of from 2 to 3 molar ratio. The reaction temperature varies depending on the kinds of the solvent and the base to be used, but may be generally within a range of from −20° C. to 20° C. The reaction time varies depending on the kinds of the solvent and the base to be used and on the reaction temperature, but may be generally within a range of from 0.5 hours to 2 hours.

    The compounds to be used as the starting materials in the above-mentioned production method for compound A are known compounds, or can be produced by known methods.

    PATENT

    WO 2002088084

    and

    http://www.google.fm/patents/WO2009157398A1?cl=en

    PAPER

    Bioorganic and Medicinal Chemistry, 2007 ,  vol. 15,   21  p. 6692 – 6704

    compd 31

    PAPER

    Bioorganic and Medicinal Chemistry, 2007 ,  vol. 15,   24  p. 7720 – 7725

    Full-size image (5 K)2a isthe drug

    N-Acylsulfonamide and N-acylsulfonylurea derivatives of the carboxylic acid prostacyclin receptor agonist 1 were synthesized and their potential as prodrug forms of the carboxylic acid was evaluated in vitro and in vivo. These compounds were converted to the active compound 1 by hepatic microsomes from rats, dogs, monkeys, and humans, and some of the compounds were shown to yield sustained plasma concentrations of 1 when they were orally administered to monkeys. These types of analogues, including NS-304 (2a), are potentially useful prodrugs of 1.

    http://www.sciencedirect.com/science/article/pii/S0968089607007614

    str1

    PATENT

    WO 2011024874

     

    Example 1 t- butylamine Form I crystal of the salt
    Compound A (40 mg) with 0.5mL dimethoxyethane (hereinafter, referred to as. “DME”) was dissolved in, and t- butylamine (1.1 eq) were added, 25 1 ° C. at 8 it was stirred for hours. Thereafter, the reaction solution was added t- butyl methyl ether (1mL), at -20 ° C. 3 and held hours. It was collected by filtration the precipitated crystals produced, under reduced pressure, and dried, I-form crystals of t- butylamine salt ( 3 to afford 9.9mg). B Powder X-ray diffraction spectrum of type I crystal obtained t- butylamine salt using the apparatus shown in Figure 1.
    Melting point: 152.5 ℃
    elemental analysis (C 3 0 H 4 3 N 5 O 4 S + 0.0 3 H 2 as O)
    calculated value (%) C: 6 3 .1 8 H: 7 . 6 1 N: 12 .2 8 measured value (%) C: 6 2. 8 5 H: 7 . 6 4 N: 12.52 1 H-NMR (DMSO-D 6 ): delta 8 .15 (s, 1H), 7 .55 – 7 . 8 0 (M, 2H), 7 .10- 7 . .45 (M, 10H), 4 7 . 0-4 8 5 (M, 1H), 3 . 6 6 (s, 2H), 3 .4 7 (t, 2H), 3 .45 (t, 2H), 2. 7 3 (s, 3 H), 1.50-1. 7 5 (M, 4H), 1.2 3 (s, 9H), 1.22 (D, 6 H)
    Example 2 I-form crystal of the potassium salt
    Compound A tetrahydrofuran with (40mg) 12mL (hereinafter, referred to as. “THF”) was dissolved in, 0.1M aqueous potassium hydroxide solution (1.1 eq) was added, 40 ℃ It was heated and stirred in for 15 minutes. After that, it was evaporated under reduced pressure, the solvent. The residue it was added ethyl acetate (200μL). While shaking the mixture heated to 50 ° C. 8 was allowed to cool to 25 ℃ over hours. After repeated two more times this step, at -20 ° C. 3 and held hours. The resulting precipitated crystals were collected by filtration under reduced pressure, and dried to obtain Form I crystal of the potassium salt. B Powder X-ray diffraction spectrum of type I crystal of the obtained potassium salt using the apparatus shown in Fig. 1 H-NMR (DMSO-D 6 ): delta 8 .14 (s, 1H), 7 .1 8 – 7 . 3 8 . (M, 10H), 4 7 . 2-4 8 4 (M, 1H) , 3 . 6 5 (s, 2H), 3 .4 7 (t, 2H), 3 .45 (t, 2H), 2. 7 2 (s, 3 H), 1.55-1. 7 0 ( M, 4H), 1.2 3 (D, 6 H)
    Example 3  II-form crystals of the potassium salt
    Compound A with (40mg) was dissolved in THF and 12mL, 0.1M aqueous potassium hydroxide solution (1.1 eq) was added and heated with stirring for 15 min at 40 ℃. After that, it was evaporated under reduced pressure, the solvent. The residue it was added ethyl acetate (200μL). While shaking the mixture heated to 50 ° C. 8 was allowed to cool to 25 ℃ over hours. This operation was repeated two more times, at -20 ° C. 3 and held hours. It was collected by filtration the precipitated crystals produced, under reduced pressure, after drying, 40 ℃, relative humidity 7 while 5% of thermo-hygrostat 7 left for days to give crystalline Form II of the potassium salt. B Powder X-ray diffraction spectrum of crystalline Form II of the resulting potassium salt using the apparatus Fig 3 is shown in.

    Example 4 III type crystal of the potassium salt
    Compound A , in addition to (100mg) acetonitrile (1mL), and stirred with heating, Compound A was dissolved, followed by cooling to 20 ℃. To a solution 3 .5M potassium hydroxide / ethanol solution (1.1 eq) was added and stirred for 200 minutes at 20 ℃. While stirring the mixture 7 after a heated stirring for 1 hour to 0 ° C., and then cooled to 10 ℃ over 10 hours. Further heated while the mixture 6 is heated to 0 ℃, t- butyl methyl ether (0. 3 after adding mL), cooled to 20 ℃ over 10 hours. It was collected by filtration the precipitated crystals produced, under reduced pressure, and dried, III type crystal of the potassium salt ( 7 to afford 5mg). The powder X-ray diffraction spectrum of the type III crystal of the obtained potassium salt using R unit is shown in FIG. Furthermore, in differential scanning calorimetry, of about 7 endothermic peak was observed at around 4 ° C..
    Elemental analysis (C 2 6 H 3 1 N 4 O 4 . SK + 0 7 8 H 2 as O)
    calculated value (%) C: 5 6 .91 H: 5.9 8 N: 10.21
    measured value (%) C: 5 6 . 6 1 H: 5.55 N:. 10 3 6

    EXAMPLE 5 IV-type crystal of the potassium salt
    Compound A , in addition to (50mg) and ethyl acetate (1mL), and stirred with heating, Compound A was dissolved, followed by cooling to 20 ℃. To a solution 3 .5M potassium hydroxide / ethanol solution (2.2 eq) was added and 2 at 20 ° C. 3 and stirred for hours. It was collected by filtration the precipitated crystals produced, under reduced pressure, and dried to obtain Form IV crystal of the potassium salt (41mg). The powder X-ray diffraction spectrum of crystalline Form IV of the resulting potassium salt using R unit is shown in FIG. Furthermore, in differential scanning calorimetry, an endothermic peak was observed at around approximately 91 ℃.

    str1

    Selexipag (C26H32N4O4S, Mr = 496.6 g/mol) ist ein Diphenylpyrazin-Derivat. Es wird in der Leber zum aktiven Metaboliten ACT-333679 (MRE-269) biotransformiert. Selexipag unterscheidet sich strukturell von Prostazyklin und anderen Prostazylin-Rezeptor-Agonisten.

     

     

     

     

    References

     

     

    1. Kuwano et al. NS-304, an orally available and long-acting prostacyclin receptor agonist prodrug. J Pharmacol Exp Ther 2007;322:1181-1188.
    2. Kuwano et al. A long-acting and highly selective prostacyclin receptor agonist prodrug, NS-304, ameliorates rat pulmonary hypertension with unique relaxant responses of its active form MRE-269 on rat pulmonary artery. J Pharmacol Exp Ther 2008;326:691-699.
    3. Simonneau G, Lang I, Torbicki A, Hoeper MM, Delcroix M, Karlocai K, Galie N. Selexipag, an oral, selective IP receptor agonist for the treatment of pulmonary arterial hypertension Eur Respir J 2012; 40: 874-880
    4. Mubarak KK. A review of prostaglandin analogs in the management of patients with pulmonary arterial hypertension. Respir Med 2010;104:9-21.
    5. Sitbon, O.; Morrell, N. (2012). “Pathways in pulmonary arterial hypertension: The future is here”. European Respiratory Review 21 (126): 321–327. doi:10.1183/09059180.00004812. PMID 23204120.
    Patent Submitted Granted
    Methods of identifying critically ill patients at increased risk of development of organ failure and compounds for the treatment hereof [US8877710] 2009-12-30 2014-11-04
    Form-I crystal of 2-{4-[N-(5,6-diphenylpyrazin-2-yl)-N-isopropylamino]butyloxy}-N-(methylsulfonyl)acetamide and method for producing the same [US8791122] 2010-06-25 2014-07-29
    COMPOUNDS CAPABLE OF MODULATING/PRESERVING ENDOTHELIAL INTEGRITY FOR USE IN PREVENTION OR TREATMENT OF ACUTE TRAUMATIC COAGULOPATHY AND RESUSCITATED CARDIAC ARREST [US2015057325] 2013-03-26 2015-02-26
    INHIBITION OF NEOVASCULARIZATION BY SIMULTANEOUS INHIBITION OF PROSTANOID IP AND EP4 RECEPTORS [US2014275200] 2014-03-05 2014-09-18
    INHIBITION OF NEOVASCULARIZATION BY INHIBITION OF PROSTANOID IP RECEPTORS [US2014275238] 2014-03-05 2014-09-18
    Fibrosis inhibitor [US8889693] 2014-04-10 20
    Patent Submitted Granted
    Heterocyclic compound derivatives and medicines [US7205302] 2004-05-27 2007-04-17
    METHODS OF IDENTIFYING CRITICALLY ILL PATIENTS AT INCREASED RISK OF DEVELOPMENT OF ORGAN FAILURE AND COMPOUNDS FOR THE TREATMENT HEREOF [US2014322207] 2014-07-11 2014-10-30
    THERAPEUTIC COMPOSITIONS CONTAINING MACITENTAN [US2014329824] 2014-07-18 2014-11-06
    Sustained Release Composition of Prostacyclin [US2014303245] 2012-08-10 2014-10-09
    COMPOUNDS CAPABLE OF MODULATING/PRESERVING ENDOTHELIAL INTEGRITY FOR USE IN PREVENTION OR TREATMENT OF ACUTE TRAUMATIC COAGULOPATHY AND RESUSCITATED CARDIAC ARREST [US2013261177] 2011-09-30 2013-10-03
    METHODS OF TREATMENT OF PATIENTS AT INCREASED RISK OF DEVELOPMENT OF ISCHEMIC EVENTS AND COMPOUNDS HEREOF [US2013040898] 2011-04-29 2013-02-14
    Substituted Diphenylpyrazine Derivatives [US2013005742] 2010-08-06 2013-01-03
    USE OF FORM-I CRYSTAL OF 2–N-(METHYLSULFONYL)ACETAMIDE [US2014148469] 2014-01-22 2014-05-29
    CRYSTALS OF 2- {4- [N- (5,6-DIPHENYLPYRAZIN-2-YL) -N-ISOPROPYLAMINO]BUTYLOXY}-N- (METHYLSULFONYL) ACETAMIDE [US2014155414] 2014-01-22 2014-06-05
    PROSTACYCLIN AND ANALOGS THEREOF ADMINISTERED DURING SURGERY FOR PREVENTION AND TREATMENT OF CAPILLARY LEAKAGE [US2014044797] 2012-03-30 2014-02-13

     

     

     

    Selexipag
    Selexipag.svg
    Names
    IUPAC name

    2-{4-[(5,6-diphenylpyrazin-2-yl)(propan-2-yl)amino]butoxy}-N-(methanesulfonyl)acetamide
    Other names

    ACT-293987, NS-304
    Identifiers
    475086-01-2 Yes
    ChEMBL ChEMBL238804 
    ChemSpider 8089417 Yes
    7552
    Jmol interactive 3D Image
    KEGG D09994 Yes
    PubChem 9913767
    UNII P7T269PR6S Yes
    Properties
    C26H32N4O4S
    Molar mass 496.6 g·mol−1

     

    SEE……….http://apisynthesisint.blogspot.in/2015/12/fda-approves-new-orphan-drug-uptravi.html

    //////////

    CC(C)N(CCCCOCC(=O)NS(=O)(=O)C)C1=CN=C(C(=N1)C2=CC=CC=C2)C3=CC=CC=C3