New Drug Approvals

Home » 2015 » March (Page 2)

Monthly Archives: March 2015

DRUG APPROVALS BY DR ANTHONY MELVIN CRASTO .....FOR BLOG HOME CLICK HERE

Blog Stats

  • 4,934,546 hits

Flag and hits

Flag Counter

Enter your email address to follow this blog and receive notifications of new posts by email.

Join 37.8K other subscribers
Follow New Drug Approvals on WordPress.com

Archives

Categories

Recent Posts

Flag Counter

ORGANIC SPECTROSCOPY

Read all about Organic Spectroscopy on ORGANIC SPECTROSCOPY INTERNATIONAL 

Enter your email address to follow this blog and receive notifications of new posts by email.

Join 37.8K other subscribers
DR ANTHONY MELVIN CRASTO Ph.D

DR ANTHONY MELVIN CRASTO Ph.D

DR ANTHONY MELVIN CRASTO, Born in Mumbai in 1964 and graduated from Mumbai University, Completed his Ph.D from ICT, 1991,Matunga, Mumbai, India, in Organic Chemistry, The thesis topic was Synthesis of Novel Pyrethroid Analogues, Currently he is working with AFRICURE PHARMA, ROW2TECH, NIPER-G, Department of Pharmaceuticals, Ministry of Chemicals and Fertilizers, Govt. of India as ADVISOR, earlier assignment was with GLENMARK LIFE SCIENCES LTD, as CONSUlTANT, Retired from GLENMARK in Jan2022 Research Centre as Principal Scientist, Process Research (bulk actives) at Mahape, Navi Mumbai, India. Total Industry exp 32 plus yrs, Prior to joining Glenmark, he has worked with major multinationals like Hoechst Marion Roussel, now Sanofi, Searle India Ltd, now RPG lifesciences, etc. He has worked with notable scientists like Dr K Nagarajan, Dr Ralph Stapel, Prof S Seshadri, etc, He did custom synthesis for major multinationals in his career like BASF, Novartis, Sanofi, etc., He has worked in Discovery, Natural products, Bulk drugs, Generics, Intermediates, Fine chemicals, Neutraceuticals, GMP, Scaleups, etc, he is now helping millions, has 9 million plus hits on Google on all Organic chemistry websites. His friends call him Open superstar worlddrugtracker. His New Drug Approvals, Green Chemistry International, All about drugs, Eurekamoments, Organic spectroscopy international, etc in organic chemistry are some most read blogs He has hands on experience in initiation and developing novel routes for drug molecules and implementation them on commercial scale over a 32 PLUS year tenure till date Feb 2023, Around 35 plus products in his career. He has good knowledge of IPM, GMP, Regulatory aspects, he has several International patents published worldwide . He has good proficiency in Technology transfer, Spectroscopy, Stereochemistry, Synthesis, Polymorphism etc., He suffered a paralytic stroke/ Acute Transverse mylitis in Dec 2007 and is 90 %Paralysed, He is bound to a wheelchair, this seems to have injected feul in him to help chemists all around the world, he is more active than before and is pushing boundaries, He has 100 million plus hits on Google, 2.5 lakh plus connections on all networking sites, 100 Lakh plus views on dozen plus blogs, 227 countries, 7 continents, He makes himself available to all, contact him on +91 9323115463, email amcrasto@gmail.com, Twitter, @amcrasto , He lives and will die for his family, 90% paralysis cannot kill his soul., Notably he has 38 lakh plus views on New Drug Approvals Blog in 227 countries......https://newdrugapprovals.wordpress.com/ , He appreciates the help he gets from one and all, Friends, Family, Glenmark, Readers, Wellwishers, Doctors, Drug authorities, His Contacts, Physiotherapist, etc He has total of 32 International and Indian awards

Verified Services

View Full Profile →

Archives

Categories

Flag Counter

Uprosertib (GSK-2141795)


Uprosertib (GSK-2141795)

GSK 2141795C

N-[(1S)-1-(aminomethyl)-2-(3,4-difluorophenyl)ethyl]-5-chloro-4-(4-chloro-1-methyl-1H-pyrazol-5-yl)furan-2-carboxamide

N-[(2S)-1-amino-3-(3,4-difluorophenyl)propan-2-yl]-5-chloro-4-(4-chloro-2-methylpyrazol-3-yl)furan-2-carboxamide

2-​Furancarboxamide, N-​[(1S)​-​2-​amino-​1-​[(3,​4-​difluorophenyl)​methyl]​ethyl]​-​5-​chloro-​4-​(4-​chloro-​1-​methyl-​1H-​pyrazol-​5-​yl)​-

Λ/-{(1 S)-2-amino-1-r(3,4-difluorophenyl)methyllethyl}-5-chloro-4-(4- chloro-1-methyl-1H-pyrazol-5-yl)-2-furancarboxamide

N-{(1S)-2-amino-1-[(3,4-difluorophenyl)methyl]ethyl}-5-chloro-4-(4-chloro-1-methyl-1Hpyrazol-5-yl)-2-furancarboxamide.

 Cas 1047634-65-0 (GSK-2141795); BASE

CAS 1047635-80-2 (GSK-2141795 HCl salt)

Synonym: GSK-2141795; GSK2141795; GSK 2141795; GSK795; GSK-795; GSK 795. Uprosertib. UNII ZXM835LQ5E

IUPAC/Chemical name: 

N-((S)-1-amino-3-(3,4-difluorophenyl)propan-2-yl)-5-chloro-4-(4-chloro-1-methyl-1H-pyrazol-5-yl)furan-2-carboxamide

C18H16Cl2F2N4O2
Exact Mass: 428.06184
Molecular Weight: 429.25

Elemental Analysis: C, 50.37; H, 3.76; Cl, 16.52; F, 8.85; N, 13.05; O, 7.45

Mechanims of Action:Akt inhibitor
Indication:Cancer Treatment
Drug Company:GlaxoSmithKline

PHASE 2… CANCER

 Uprosertib, also known as GSK2141795 and GSK795, is an orally bioavailable inhibitor of the serine/threonine protein kinase Akt (protein kinase B) with potential antineoplastic activity.

The National Cancer Institute (NCI) is evaluating the compound in phase II clinical studies for the treatment of endometrial carcinoma and multiple myeloma in combination with trametinib.

GSK-2141795, an oral AKT inhibitor, is in early clinical trials at GlaxoSmithKline for the treatment of solid tumors and lymphoma. The company is conducting phase II clinical trials for the treatment of patients with BRAF wild-type mutation melanoma and for the treatment of recurrent or persistent cervical cancer in combination with trametinib.

Akt inhibitor GSK2141795 binds to and inhibits the activity of Akt, which may result in inhibition of the PI3K/Akt signaling pathway and tumor cell proliferation and the induction of tumor cell apoptosis. Activation of the PI3K/Akt signaling pathway is frequently associated with tumorigenesis and dysregulated PI3K/Akt signaling may contribute to tumor resistance to a variety of antineoplastic agents.

QC data:

View NMR, View HPLC, View MS …… MEDKOO

Uprosertib.png

PATENT

Patent Submitted Granted
Inhibitors of AKT Activity [US2011071182] 2011-03-24
INHIBITORS OF Akt ACTIVITY [US2010267759] 2010-10-21
INHIBITORS OF AKT ACTIVITY [US2009209607] 2009-08-20
INHIBITORS OF Akt ACTIVITY [US2010041726] 2010-02-18

 More information about this drug

The chemical structures of  Afuresertib (GSK-2110183) and GSK-2141795 are very similar as shown below:

GSK-2110183 and Afuresertib structures

 Fig 1. chemical structures of  Afuresertib (GSK-2110183) and GSK-2141795

PATENT

WO 2008098104 OR EP2117523

http://www.google.com/patents/EP2117523A1?cl=en

Scheme 2

11-1 I-2

II-3 II-4

Reagents: (a) PyBrop, (i-Pr)2NEt, 1 ,1-dimethylethyl (2-amino-3- phenylpropyl)carbamate, DCM, RT; (b) 5-(5,5-dimethyl-1 ,3,2-dioxaborinan-2-yl)-1- methyl-1 H-pyrazole, K2CO3, Pd(PPh3)4, dioxane/H2O; (c) TFA / DCM, RT.

Preparation 7

Preparation of 5-(5,5-dimethyl-1 ,3,2-dioxaborinan-2-yl)-1 -methyl-1 H-pyrazole

To a solution of 1 -methyl pyrazole (4.1 g, 50 mmole) in THF (100 ml.) at 00C was added n-BuLi (2.2M in THF, 55 mmole). The reaction solution was stirred for 1 hour at RT and then cooled to -78°C [J. Heterocyclic Chem. 41 , 931 (2004)]. To the reaction solution was added 2-isopropoxy-4,4,5,5-tetramethyl-1 ,3,2-dioxaborolane (12.3 ml_, 60 mmole). After 15 min at -78°C, the reaction was allowed to warm to 00C over 1 hour. The reaction was diluted with saturated NH4CI solution and extracted with DCM. The organic fractions were washed with H2O (2 x 100 ml_), dried over Na2SO4 and concentrated under vacuum to afford a tan solid (8.0 g, 77%) which was used without further purification. LCMS (ES) m/z 127 (M+H)+ for [RB(OH)2]; 1H NMR (CDCI3, 400 MHz) δ 7.57 (s, 1 H), 6.75 (s, 1 H), 4.16 (s, 3H), and 1.41 (s, 12H).

Example . .24

Figure imgf000390_0002UPROSERTIB

Preparation Λ/-{(1 S)-2-amino-1-r(3,4-difluorophenyl)methyllethyl}-5-chloro-4-(4- chloro-1-methyl-1H-pyrazol-5-yl)-2-furancarboxamide

a) methyl 4-(1-methyl-1H-pyrazol-5-yl)-2-furancarboxylate

A solution of methyl 4-bromo-2-furancarboxylate (470 mg, 2.29 mmol), potassium carbonate (1584 mg, 11.46 mmol), 1-methyl-5-(4,4,5,5-tetramethyl-1 ,3,2- dioxaborolan-2-yl)-1 H-pyrazole (525 mg, 2.52 mmol)[prepared according to Preparation 7] and bis-(tri-t-butylphosphine)Palladium (0) (58.6 mg, 0.12 mmol) in 1 ,4-dioxane (9.55 ml) and water (1.9 ml) was stirred at 80 0C. After 1 hr, the solution was partitioned between H2O-DCM and the aqueous phase was washed several times with DCM. The combined organic fractions were dried over I^^SOφ concentrated and purified via column chromatography (30% EtOAc in hexanes) affording the title compound (124 mg, 0.60 mmol, 26 % yield) as a white powder: LCMS (ES) m/e 206 (M+H)+.

b) methyl 5-chloro-4-(4-chloro-1-methyl-1 H-pyrazol-5-yl)-2-furancarboxylate

A solution of methyl 4-(1-methyl-1 H-pyrazol-5-yl)-2-furancarboxylate (412 mg, 2.0 mmol) and N-chlorosuccinimide (267 mg, 2.0 mmol) in DMF (10 ml.) was heated at 75 0C for 30 minutes. Another batch of N-chlorosuccinimide (267 mg, 2.0 mmol) was added. After 1 hr, the mixture was concentrated and purified using silica gel and eluting with 0-55% ethyl acetate / hexane to afford the title compound as a white solid (225 mg, 0.82 mmol, 71 % yield) : LCMS (ES) m/e 276 (M+H)+.

c) 5-chloro-4-(4-chloro-1-methyl-1 H-pyrazol-5-yl)-2-furancarboxylic acid

A solution of methyl 5-chloro-4-(4-chloro-1-methyl-1 H-pyrazol-5-yl)-2- furancarboxylate (224 mg, 0.82 mmol) in 6N sodium hydroxide (1.36 ml, 8.2 mmol) and tetrahydrofuran (5 ml) was stirred at 70 0C in a sealed tube for 1 h. The resulting solution was cooled and then partitioned between H2O-DCM. The aqueous phase was adjusted to pH ~4 and then washed several times with DCM. The combined organic fractions were dried over Na2SO4 and concentrated affording the title compound (201 mg, 0.77 mmol, 94 % yield) as a yellow oil: LCMS (ES) m/e 262 (M+H)+.

d) 5-chloro-4-(4-chloro-1-methyl-1 H-pyrazol-5-yl)-N-{(1S)-2-(3,4-difluorophenyl)-1- [(1 ,3-dioxo-1 ,3-dihydro-2H-isoindol-2-yl)methyl]ethyl}-2-furancarboxamide

To a solution of 5-chloro-4-(4-chloro-1-methyl-1 H-pyrazol-5-yl)-2- furancarboxylic acid (200 mg, 0.77 mmol)[prepared according to the procedure of Preparation 6], 2-[(2S)-2-amino-3-(2,4-difluorophenyl)propyl]-1 H-isoindole-1 ,3(2H)- dione (254 mg, 0.80 mmol) and N,N-diisopropylethylamine (0.40 ml, 2.30 mmol) in DCM (10 ml) was added bromo-tris-pyrrolidino-phosphonium hexafluorophosphate (536 mg, 1.15 mmol). After stirring at ambient temperature for 20 hrs, the mixture was concentrated and purified with silica gel column eluting with gradient (0-50% ethyl acetate/hexanes) to afford the title compounds as an off-white foamy solid (304 mg, 0.54 mmol, 71 % yield): LCMS (ES) m/e 560(M+H)+.

e) Λ/-{(1 S)-2-amino-1-[(3,4-difluorophenyl)methyl]ethyl}-5-chloro-4-(4-chloro-1- methyl-1 /-/-pyrazol-5-yl)-2-furancarboxamide

To a solution of 5-chloro-4-(4-chloro-1-methyl-1 H-pyrazol-5-yl)-N-{(1S)-2- (3,4-difluorophenyl)-1 -[(1 ,3-dioxo-1 ,3-dihydro-2H-isoindol-2-yl)methyl]ethyl}-2- furancarboxamide (304 mg, 0.54 mmol) in methanol (5 ml) at 25 0C was added hydrazine (0.08 ml, 2.7 mmol) dropwise. After 12h, the solution was concentrated, dry loaded onto silica and purified by column chromatography (5% MeOH in DCM (1 % NH4OH)). The free base was converted to the HCI salt by addition of excess 4M HCI in dioxane (1 ml) to the residue in MeOH (2 ml) affording the HCI salt of the title compound as a yellow solid:

LC-MS (ES) m/z 430(M+H)+,

1H NMR (400 MHz, MeOD) δ ppm 2.91 – 3.05 (m, 2 H) 3.17 – 3.28 (m, 2 H) 3.81 (s, 3 H) 4.57 (d, J=9.60 Hz, 1 H) 7.12 (br. s., 1 H) 7.18-7.28 (m., 2 H) 7.36-7.39 (m, 1 H) 7.58 (s, 1 H).

SYNTHESIS ELABORATED

upro 1

STEP A

Figure imgf000261_0002

4,5-dibromo-2-furancarboxylic acid  in methanol , sulfuric acid methyl 4,5-dibromo-2-furancarboxylate  LCMS (ES) m/e 283 (M+H)+
STEP B
imgf000261_0002
methyl 4,5-dibromo-2-furancarboxylate and isopropylmagnesium chloride ,to give methyl 4-bromo-2-furancarboxylate
 LCMS (ES) m/e 204,206 (M, M+2)+

STEP C

Figure imgf000262_0001

methyl 4-bromo-2-furancarboxylate and NCS in N,N-dimethylformamide methyl 4-bromo-5-chloro-2-furancarboxylate  LCMS (ES) m/e 238,240,242 (M, M+2, M+4)+
STEP D
Figure imgf000262_0002
methyl 4-bromo-5-chloro-2-furancarboxylate , 1-methyl-5-(4,4,5,5-tetramethyl-1,3,2-dioxaborolan-2-yl)-1H-pyrazole prepared according toPreparation 7], potassium carbonate and bis(tri-t-butylphosphine)paliadium(0)  in 1,4-dioxane (19.14 ml) and water  ……methyl 5-chloro-4-(1-methyl-1H-pyrazol-5-yl)-2-furancarboxylate obtained. LCMS m/e ES 240, 242 (M, M+2)+
 
STEP  E
imgf000261_0002
a) 5-chloro-4-(4-chloro-1-methyl-1H-pyrazol-5-yl)-2-furancarboxylic acid.
A solution of methyl 5-chloro-4-(1-methyl-1H-pyrazol-5-yl)-2-furancarboxylate [prepared according to Example
127] and n-chlorosuccinimide (166 mg, 1.25 mmol) yielding 5-chloro-4-(4-chloro-1-methyl-1H-pyrazol-5-yl)-2-furancarboxylic acid. LCMS (ES) m/e 261,263 (M, M+2)+
STEP F
Figure imgf000392_0001
Reacting  5-chloro-4-(4-chloro-1-methyl-1H-pyrazol-5-yl)-2-furancarboxylic acid [prepared according to the procedure of Preparation 6], 2-[(2S)-2-amino-3-(2,4-difluorophenyl)propyl]-1H-isoindole-1,3(2H)-dione and N,N-diisopropylethylamine in DCM  was added bromo-tris-pyrrolidino-phosphonium hexafluorophosphate …….obtd
5-chloro-4-(4-chloro-1-methyl-1H-pyrazol-5-yl)-N-{(1S)-2-(3,4-difluorophenyl)-1-[(1,3-dioxo-1,3-dihydro-2H-isoindol-2-yl)methyl]ethyl}-2-furancarboxamide. the uproserib precursor

LCMS (ES) m/e 560(M+H)+

NOTE STRUCTURE OF 2-[(2S)-2-amino-3-(2,4-difluoro phenyl)propyl]-1H-isoindole-1,3(2H)-dione

SEE  http://www.google.com/patents/WO2010093885A1?cl=en

Preparation 1

Figure imgf000036_0001

Preparation of 2-[(2S)-2-amino-3-(3,4-difluorophenyl)propyl1-1 /-/-isoindole-1 ,3(2H)-dione a) 1 ,1-dimethylethyl [(1 S)-2-(3,4-difluorophenyl)-1-(hydroxymethyl)ethyl]carbamate

Figure imgf000036_0002

To a solution of Λ/-{[(1 ,1-dimethylethyl)oxy]carbonyl}-3,4-difluoro-L-phenylalanine (2.0 g, 6.7 mmol) in THF (35 ml.) at 0 0C stirred was added BH3-THF (30 ml_, 30 mmol- 1 M in THF). After 12h, the reaction was quenched with AcOH:MeOH (1 :4, 20 ml.) and partitioned between saturated aqueous NaHCO3 and CHCI3. The aqueous phase was then extracted several times with CHCI3. The combined organic fractions were concentrated and the resulting white solid (7.0 g, 74%) used without further purification: LCMS (ES) m/e 288 (M+H)+.

b) 1 ,1-dimethylethyl {(1 S)-2-(3,4-difluorophenyl)-1-[(1 ,3-dioxo-1 ,3-dihydro-2/-/-isoindol-2- yl)methyl]ethyl}carbamate

Figure imgf000037_0001

To a solution of 1 ,1-dimethylethyl [(1 S)-2-(3,4-difluorophenyl)-1-

(hydroxymethyl)ethyl]carbamate (2.65 g, 9.22 mmol), polymer bound triphenylphosphine (5.33 g, 1 1.5 mmol, 2.15 mmol/g) and phthalimide (1.63 g, 10.9 mmol) in THF (50 ml.) at 25 0C was added diisopropyl azodicarboxylate (1.85 ml_, 11.3 mmol). After stirring at RT for 1 h, the reaction solution was filtered and concentrated. The residue was adsorbed onto silica and purified via column chromatography to yield product (0.33 g) as a white solid: LCMS (ES) m/z 417 (M+H)+.

c) 2-[(2S)-2-amino-3-(3,4-difluorophenyl)propyl]-1 H-isoindole-1 ,3(2H)-dione

To a solution of 1 ,1-dimethylethyl {(1S)-2-(3,4-difluorophenyl)-1-[(1 ,3-dioxo-1 ,3- dihydro-2H-isoindol-2-yl)methyl]ethyl}carbamate (0.33 g, 0.79 mmol) in CHCI3:MeOH (10:3, 13 mL) at RT was added 4M HCI in dioxane (5 mL, 20 mmol). After 12h, the solvents were removed and affording the title compound (0.29 g, quant.) as a white HCI salt which was used without further purification: LCMS (ES) m/z 317 (M+H)+.

FINAL STEP

 conversion of precursor to uprosertb
  Figure imgf000392_0001 UPROSERTIB PRECURSOR GIVES Figure imgf000390_0002 UPROSERTIB
N-{(1S)-2-amino-1-[(3,4-difluorophenyl)methyl]ethyl}-5-chloro-4-(4-chloro-1-methyl-1Hpyrazol-5-yl)-2-furancarboxamide.
5-chloro-4-(4-chloro-1-methyl-1Hpyrazol-5-yl)-N-{(1S)-2-(3,4-difluorophenyl)-1-[(1,3-dioxo-1,3-dihydro-2H-isoindol-2-
yl)methyl]ethyl}-2-furancarboxamide  in methanol (5 ml) AND  hydrazine …..N-{(1S)-2-amino-1-[(3,4-difluorophenyl)methyl]ethyl}-5-chloro-4-(4-chloro-1-methyl-1Hpyrazol-5-yl)-2-furancarboxamide.
SYNTHESIS OF INTERMEDIATES

Example 127


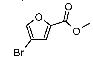
a) methyl 4,5-dibromo-2-furancarboxylate

To a solution of 4,5-dibromo-2-furancarboxylic acid (25 g, 93 mmol) in methanol (185 ml) was added sulfuric acid (24.7 ml, 463 mmol). The resulting solution stirred at 50 0C over 12h. The solution was partitioned between H2O-DCM and the aqueous phase was washed several times with DCM. The combined organic fractions were dried over I^^SOφ concentrated and used directly without further purification providing methyl 4,5-dibromo-2-furancarboxylate (23.67 g, 83 mmol, 90 % yield), LCMS (ES) m/e 283, 285, 287 (M, M+2, M+4)+.b) methyl 4-bromo-2-furancarboxylate Br

To a solution of methyl 4,5-dibromo-2-furancarboxylate (3.3 g, 1 1.62 mmol) in tetrahydrofuran (46 ml) at -40 0C was added isopropylmagnesium chloride (6.97 ml, 13.95 mmol). After 1 h, Water (11 ml) was added and the solution warmed to 25 0C. The reaction mixture was then partitioned between H2O-DCM and the aqueous phase was washed several times with DCM. The combined organic fractions were dried over Na2SOφ concentrated and purified by column chromatography (3% EtOAc in hexanes) affording methyl 4-bromo-2-furancarboxylate (1.4 g, 6.49 mmol, 56 % yield) as a yellow solid: LCMS (ES) m/e 205, 207 (M, M+2)+.

c) methyl 4-bromo-5-chloro-2-furancarboxylate

A solution of methyl 4-bromo-2-furancarboxylate (1.4 g, 6.83 mmol) and NCS (0.912 g, 6.83 mmol) in N,N-dimethylformamide (13.7 ml) was stirred in a sealed tube for 1 h at 100 0C. After 1 h, the solution was partitioned between DCM- H2O and the aqueous phase was washed several times with DCM. The combined organic fractions were dried over I^^SOφ concentrated and purified via column chromatography (2-10% EtOAc in hexanes) affording methyl 4-bromo-5-chloro-2- furancarboxylate (1.348 g, 5.12 mmol, 75 % yield) as a white solid: LCMS (ES) m/e 238, 240, 242 (M, M+2, M+4)+.

d) methyl 5-chloro-4-(1-methyl-1 H-pyrazol-5-yl)-2-furancarboxylate

A solution of methyl 4-bromo-5-chloro-2-furancarboxylate (1.1 g, 4.59 mmol), 1-methyl-5-(4,4,5,5-tetramethyl-1 ,3,2-dioxaborolan-2-yl)-1 H-pyrazole (1.05 g, 5.05 mmol)[prepared according to Preparation 7], potassium carbonate (3.17 g, 22.97 mmol) and bis(tri-t-butylphosphine)palladium(0) (0.117 g, 0.23 mmol) in 1 ,4- dioxane (19.14 ml) and water (3.83 ml) was stirred at 80 0C in a sealed tube for 1 h. The reaction mixture was partitioned between H2O-DCM and the aqueous phase was washed several times with DCM. The combined organic fractions were dried over Na2SOφ concentrated and purified via column chromatography (silica, 4-25% EtOAc in hexanes) yielding methyl 5-chloro-4-(1-methyl-1 H-pyrazol-5-yl)-2- furancarboxylate (800 mg, 2.53 mmol, 55 % yield) as a yellow oil: LCMS m/e ES 240, 242 (M, M+2)+.

e) 5-chloro-4-(1-methyl-1 H-pyrazol-5-yl)-2-furancarboxylic acid

A solution of methyl 5-chloro-4-(1-methyl-1 H-pyrazol-5-yl)-2- furancarboxylate (300 mg, 1.25 mmol) in 6N sodium hydroxide (4.16 ml, 24.93 mmol) and tetrahydrofuran (5.4 ml) was stirred at 70 0C in a sealed tube for 1 h. The resulting solution was cooled and then partitioned between H2O-DCM. The aqueous phase was adjusted to pH ~4 and then washed several times with DCM. The combined organic fractions were dried over Na2SO4 and concentrated affording 5-chloro-4-(1-methyl-1 H-pyrazol-5-yl)-2-furancarboxylic acid (267 mg, 0.59 mmol, 47 % yield) as a white foam: LCMS (ES) m/e 265 (M+H)+.

References

1: Dumble M, Crouthamel MC, Zhang SY, Schaber M, Levy D, Robell K, Liu Q, Figueroa DJ, Minthorn EA, Seefeld MA, Rouse MB, Rabindran SK, Heerding DA, Kumar R. Discovery of Novel AKT Inhibitors with Enhanced Anti-Tumor Effects in Combination with the MEK Inhibitor. PLoS One. 2014 Jun 30;9(6):e100880. doi: 10.1371/journal.pone.0100880. eCollection 2014. PubMed PMID: 24978597; PubMed Central PMCID: PMC4076210.

2: Pachl F, Plattner P, Ruprecht B, Médard G, Sewald N, Kuster B. Characterization of a chemical affinity probe targeting Akt kinases. J Proteome Res. 2013 Aug 2;12(8):3792-800. doi: 10.1021/pr400455j. Epub 2013 Jul 3. PubMed PMID: 23795919.

3: Pal SK, Reckamp K, Yu H, Figlin RA. Akt inhibitors in clinical development for the treatment of cancer. Expert Opin Investig Drugs. 2010 Nov;19(11):1355-66. doi: 10.1517/13543784.2010.520701. Epub 2010 Sep 16. Review. PubMed PMID: 20846000; PubMed Central PMCID: PMC3244346.

 

 

 

 

Brexpiprazole ブレクスピプラゾール


Brexpiprazole structure.svg

Brexpiprazole

ブレクスピプラゾール

OPC-34712, UNII-2J3YBM1K8C, OPC34712,
CAS 913611-97-9,
Molecular Formula:C25H27N3O2S
Molecular Weight:433.56578 g/mol
7-[4-[4-(1-benzothiophen-4-yl)piperazin-1-yl]butoxy]-1H-quinolin-2-one
7-[4-[4-(1-Benzothiophen-4-yl)piperazin-1-yl]butoxy]quinolin-2(1H)-one
2(1H)​-​Quinolinone, 7-​[4-​(4-​benzo[b]​thien-​4-​yl-​1-​piperazinyl)​butoxy]​-
7- [ 4- ( 4-benzo[b]thiophen-4- yl-piperazin-l-yl)butoxy] -lH-quinolin-2-one
7-[4-(4-benzo[b]thiophen-4-yl-piperazin-1-yl)butoxy]-1H-quinolin-2-one
Otsuka Pharma Co Ltd,

OTSUKA ……………INNOVATOR

NDA is considered filed as of September 9, 2014 (60 days after submission). The PDUFA date is July 11, 2015.

 UPDATE JULY 2015 ON STATUS OF APPROVAL

Approval Status:

Approved July 2015

Specific Treatments:

depression and schizophrenia

Therapeutic Areas

Brexpiprazole (/brɛksˈpɪprəzl/ breks-pip-rə-zohl; also called OPC-34712) is a novel D2 dopamine partial agonist investigational product currently in clinical trials for the treatment of depression, schizophrenia, and attention deficit hyperactivity disorder(ADHD).[1]Although it failed Stage 2 trials for ADHD, it has been designed to provide improved efficacy and tolerability (e.g., lessakathisia, restlessness and/or insomnia) over established adjunctive treatments for major depressive disorder (MDD).[2]

OPC-34712 is an antidepressant and antipsychotic drug candidate awaiting approval in the U.S. for the treatment of schizophrenia and also as adjunctive treatment of major depressive disorder (MDD). The product is in phase III clinical trials for the treatment of agitation associated with Alzheimer’s disease. Phase III clinical trials are also underway for the treatment of post-traumatic stress disorder (PTSD).

brexpiprazole (pre-registration, as of April 2015), which is being developed by Otsuka and Lundbeck, useful for treating schizophrenia, agitation associated with Alzheimer’s disease, major depressive disorder and attention deficit hyperactivity disorder. Family members of the product case, WO2006112464, hold protection in EU states until 2026 and its US equivalent, US7888362, has US154 extension, expiring in 2027. Suzhou Vigonvita Life Sciences appears to be new to patenting and is the first collaborative filing from the three assignees.

Phase II clinical trials are also ongoing for use as adjunctive therapy in adults with attention deficit hyperactivity disorder (ADHD). The compound is being developed by Otsuka Pharmaceutical. In 2011, a codevelopment and commercialization agreement was signed by Lundbeck and Otsuka Pharmaceutical in Latin and North America, Australia and Europe for the treatment of psychiatric disorders.

The drug is being developed by Otsuka, and is considered to be a successor[3] of its top-selling antipsychotic agent aripiprazole(brand names: Abilify, Aripiprex). Otsuka’s US patent on aripiprazole expired on October 20, 2014;[4] however, due to a pediatric extension, a generic will not become available until at least April 20, 2015.[5]

Brexpiprazole (1) , a serotonin–dopamine activity modulator, is an investigational new drug currently in phase-III clinical trials for the treatment of depression, schizophrenia, and attention deficit hyperactivity disorder.(1A) Brexpiprazole is also considered to be a possible successor to the top-selling antipsychotic agent aripiprazole.(2A)

  1. 1A……….Phase II and Phase III Drugs in U.S. Development for Depression, Anxiety, Sleep Disorders, Psychosis & ADHD, 2011. http://www.neurotransmitter.net/newdrugs.html(accessed Jan 27, 2015).

  2. 2A…………FDA accepts new schizophrenia drug filing, 2014.http://www.pharmafile.com/news/194878/fda-accepts-new-schizophrenia-drug-filing(accessed Jan 27, 2015).
    BREXPIPRAZOLE.png
    Brexpiprazole

    In the clinical program, brexpiprazole demonstrated improvement in symptoms in both schizophrenia and as adjunctive therapy in major depressive disorder (MDD)

    July 2015 is the anticipated completion timing of the FDA’s review (based on PDUFA timeline)Otsuka Pharmaceutical Co., Ltd. (Otsuka) and H. Lundbeck A/S (Lundbeck) today announced that the U.S. Food and Drug Administration (FDA) has determined that the New Drug Application (NDA) for brexpiprazole for monotherapy in adult patients with schizophrenia and for adjunctive treatment of major depressive disorder (MDD) in adult patients is sufficiently complete to allow for a substantive review, and the NDA is considered filed as of September 9, 2014 (60 days after submission). The PDUFA date is July 11, 2015.The NDA is supported by seven completed placebo-controlled clinical phase II or III studies in the proposed indications – three studies in schizophrenia and four studies with brexpiprazole as adjunctive therapy in MDD. The dossier included data from more than 6,000 participants of whom more than 5,000 received brexpiprazole.

    Brexpiprazole in adult patients with schizophreniaOne clinical phase II and two clinical phase III placebo-controlled studies have been completed using brexpiprazole in adult patients suffering from schizophrenia. Across the three studies more than 1,700 patients have been randomized.In the first pivotal phase III study randomizing approximately 625 patients, brexpiprazole 2mg/day and 4 mg/day both demonstrated greater improvement of symptoms relative to placebo as measured by change from baseline in the Positive and Negative Syndrome Scale (PANSS) Total Score at week 6 (p<0.05). Results of the key secondary endpoint supported primary results.In the second pivotal phase III study randomizing approximately 650 patients, brexpiprazole 4 mg/day again demonstrated greater improvement of symptoms relative to placebo (p<0.05) in change from baseline in the PANSS Total Score at Week 6. Brexpiprazole 2 mg/day showed numerical improvement (p>0.05) over placebo at Week 6.The results from the clinical phase II studyi were presented at the 24th Annual US Psychiatric and Mental Health Congress in November 2011. The study showed a clinically meaningful improvement from baseline measured by PANSS total score at week 6, although it did not achieve statistical separation from placeboii.In the placebo-controlled phase II and III studies, the rates of discontinuation due to adverse events were 8.1% for patients receiving brexpiprazole compared to 12.7% of patients receiving placebo; the only adverse event that occurred in more than 5% of brexpiprazole patients and more frequently than placebo was akathisia (5.8% vs. 4.5%).
    Brexpiprazole as adjunctive therapy in major depressive disorder (MDD) Four studies have been included in the dossier using brexpiprazole as adjunctive therapy for adult patients suffering from MDD who had demonstrated a consistent, inadequate response to at least two regimens of prior antidepressant treatment. Patients with MDD and an inadequate response to one to three antidepressants were enrolled and received antidepressants for 8 weeks, single blinded, in the two phase III studies. Patients with an inadequate response during this prospective phase were provided antidepressant therapy and randomized adjunctive treatment with either brexpiprazole or placebo for 6 weeks. The primary efficacy endpoint was the change in MADRS (Montgomery–Åsberg Depression Rating Scale) Total Score from baseline at week 6. MADRS is a commonly used scale to assess the range of symptoms in patients with MDD. Across the four studies, more than 3,900 patients entered the prospective phase and more than 1,800 patients were included in the randomized phase of the studies.The first pivotal phase III results were presented in a poster session at the 22nd European Psychiatry Association Congress (EPA) in March 2014. This two-arm phase III study randomized approximately 380 patients and demonstrated an improvement of symptoms with an antidepressant plus 2 mg brexpiprazole that was greater than an antidepressant plus placebo (p<0.001)The second pivotal phase III study was a three-arm study in which approximately 675 patients were randomized to treatment with an antidepressant plus either placebo, 1 mg brexpiprazole or 3 mg brexpiprazole.v Patients in both brexpiprazole treatment groups showed greater improvement in symptoms as measured by the MADRS compared to placebo (1 mg p>0.05, 3 mg p<0.05). Results of the second pivotal phase III study in MDD have not yet been published.

    The first clinical phase IIvi study randomized approximately 425 patients in four arms and was presented at the 164th Annual Meeting of the American Psychiatric Association in May 2011. Patients exhibited greater improvements than adjunctive placebo in MADRS Total score with the 1.5 (±0.5) mg/day dose of brexpiprazole after six weeks of treatment (p

    About brexpiprazole (OPC-34712)Brexpiprazole is a novel investigational psychotropic compound discovered by Otsuka and under co-development with Lundbeck. Brexpiprazole is a serotonin-dopamine activity modulator (SDAM) that acts as a partial agonist at 5-HT1A and dopamine D2 receptors at similar potency, and an antagonist at 5-HT2A and noradrenaline alpha1B/2C receptors.

Partnership with Lundbeck

In November 2011, Otsuka and Lundbeck have announced a global alliance.[6] Lundbeck has given Otsuka an upfront payment of $200 million, and the deal includes development, regulatory and sales payments, for a potential total of $1.8 billion. Specifically for OPC-34712, Lundbeck will obtain 50% of net sales in Europe and Canada and 45% of net sales in the US from Otsuka.

The partnership has been presented by Otsuka to its investors as a good fit for several reasons:[7]

  • Geographic strategy: Otsuka in Japan, Asia, US; Lundbeck in Europe, South America and emerging markets
  • Research strategy: Otsuka has knowledge in antipsychotics, Lundbeck in anti-depressant and anxiolytic.
  • CNS strategy: Otsuka has a robust portfolio in next-generation CNS drugs, while Lundbeck covers a wide range of CNS conditions from Alzheimer’s to schizophrenia.
  • Similar corporate culture

Clinical trials

OPC-34712 is currently in clinical trials for adjunctive treatment of MDD, adjunctive treatment of adult ADHD and schizophrenia.[8]

Major depression

Phase II

The Phase 2 multicenter, double-blind, placebo-controlled study randomized 429 adult MDD patients who exhibited an inadequate response to one to three ADTs in the current episode. The study was designed to assess the efficacy and safety of OPC-34712 as an adjunctive treatment to standard ADT. The ADTs included in the study were desvenlafaxine, escitalopram, fluoxetine, paroxetine, sertraline, and venlafaxine.[9]

Phase III

A new Phase III study is currently in the recruiting stage: “Study of the Safety and Efficacy of Two Fixed Doses of OPC-34712 as Adjunctive Therapy in the Treatment of Adults With Major Depressive Disorder (the Polaris Trial)”.[10] Its goal is “to compare the effect of OPC-34712 to the effect of placebo (an inactive substance) as add on treatment to an assigned FDA approved antidepressant treatment (ADT) in patients with Major Depressive Disorder who demonstrate an incomplete response to a prospective trial of the same assigned FDA approved ADT”. Estimated enrollment is 1250 volunteers.

Brexpiprazole, code: OPC-34712) is Otsuka Pharmaceutical Co., Ltd. developed a new generation of anti-psychotic drug candidates, and its role in multiple receptors, dopamine D2 receptor partial agonist (improving positive and negative symptoms, cognitive impairment and depressive symptoms), 5-HT2A receptor antagonist (improving negative symptoms, cognitive dysfunction, symptoms of depression, insomnia), α1 adrenoceptor antagonists (improving positive symptoms of schizophrenia), 5 – serotonin uptake / reuptake inhibitors (improve depressive symptoms); at the same time, but also a 5-HT1A partial agonist (anxiolytic and antidepressant activity) and 5-HT7 antagonist (temperature, circadian rhythms, learning and memory, sleep) . Currently, in the United States and Europe as adjuvant treatment of severe depression (MDD) Phase III clinical trial; III clinical trial for the treatment of schizophrenia in the United States, Europe and Japan, meanwhile, is still the United States Phase II adult ADHD Clinical Trials.

Adult ADHD

Phase II

  • Study of the Safety and Efficacy of OPC-34712 as a Complementary Therapy in the Treatment of Adult Attention Deficit/Hyperactivity Disorder (STEP-A)[11] The company did not move the product to Phase III, and it is presumed this drug failed Phase II trials for the disorder.

Schizophrenia

Phase I

  • Trial to Evaluate the Effects of OPC-34712 on QT/QTc in Subjects With Schizophrenia or Schizoaffective Disorder[12]

Phase II

  • A Dose-finding Trial of OPC-34712 in Patients With Schizophrenia[13]

Phase III

  • Efficacy Study of OPC-34712 in Adults With Acute Schizophrenia (BEACON)[14]
  • Safety and Tolerability Study of Oral OPC-34712 as Maintenance Treatment in Adults With Schizophrenia (ZENITH)[15]
  • Study of the Effectiveness of Three Different Doses of OPC-34712 in the Treatment of Adults With Acute Schizophrenia (VECTOR)[16]
  • A Long-term Trial of OPC-34712 in Patients With Schizophrenia[17]

Conferences

  • Phase II results were presented at the American Psychiatric Association’s 2011 annual meeting in May 2011.[18]
  • The drug has been presented at the 2nd Congress of Asian College of Neuropsychopharmacology[19] in September 2011.
  • At the US Psychiatric and Mental Health Congress in November 2011 in Vegas, Robert McQuade presented the Phase II Trial results for Schizophrenia[20]

 Pharmacology

Brexpiprazole acts as a partial agonist of the 5-HT1A, D2, and D3 receptors, and as an antagonist of the 5-HT2A, 5-HT2B, 5-HT7, α1A, α1B, α1D, and α2C-adrenergic, and H1receptors.[22] It has negligible affinity for the mACh receptors.[22]

Patents

  • U.S. Patent 8,071,600
  • WIPO PCT/JP2006/317704
  • Canadian patent: 2620688[24]
  • WO 2013162046
  • WO 2013161830
  •  WO 2013162048
  • WO 2013015456
  • JP 2008115172
  • WO 2006112464
  • WO2015054976 NEW
Patent Submitted Granted
PIPERAZINE-SUBSTITUTED BENZOTHIOPHENES FOR TREATMENT OF MENTAL DISORDERS [US2011152286] 2011-06-23
Piperazine-substituted benzothiophenes for treatment of mental disorders [US7888362] 2010-07-15 2011-02-15
Otsuka Pharmaceutical Co., Ltd. are disclosed in PCT Application WO2006112464A1 in the preparation route see Scheme 1, the difficulty of the route is the first reaction generates byproducts easily separated by column chromatography is not easy to obtain high-purity intermediates, thus affecting the final product Bray prazosin purity and yield.Scheme 1:

Subsequently, Otsuka Pharmaceutical Co., Ltd. are disclosed in PCT Application WO2013015456A1 in the alternative method of preparing the reaction of this step, see Scheme 2, the route the reagents are more expensive, high-cost, environmentally unfriendly and not suitable for industrial production.

Reaction Scheme 2:

Due to the above production process there is a high cost, and difficult to separate impurities and other shortcomings, it is necessary to find an economical, practical, environmental protection, new routes to improve process stability, reduce costs, improve product quality.

Synthesis

WO 2013015456

IN THIS BELOW PIC WE SEE

click on pics below to view

Synthesis of A

1 BROMO 4 CHLORO BUTANE WAS REACTED WITH 7 HYDROXY 1H QUINOLINE -2-ONE TO GIVE A

7 ( 4 CHLORO BUTOXY)-1H -QUINOLINE-2-ONE, WHICH WILL BE USED FOR COUPLING AT LAST STAGE

1 BROMO 4 CHLORO BUTANE

WP_000310

IN THE BELOW PIC  2,6-Dichlorobenzaldehyde AND RHODANINE WERE REACTED TO GIVE 2,6-dichlorobenzylidenerhodanine.

2,6-Dichlorobenzaldehyde

RHODANINE

NEXT WAS
2,6-dichlorobenzylidenerhodanine, GAVE (Z)-3-(2,6-dichlorophenyl)-2-mercapto-2-propenoic acid.

1H-NMR (DMSO-d6) d
ppm; 7.23-7.67 (4H, m), 3.5-5.7 (1H, br.), 11.7-14.5 (1H, br.).

Next was prepration of K salt

(Z)-3-(2,6-dichlorophenyl-2-mercapto-2-propenoic acid and  potassium hydroxide gave ((Z)-3-(2,6-dichlorophenyl-2-mercapto-2-propenoic acid potassium salt).

Next stage

((Z)-3-(2,6-dichlorophenyl-2-mercapto-2-propenoic acid potassium
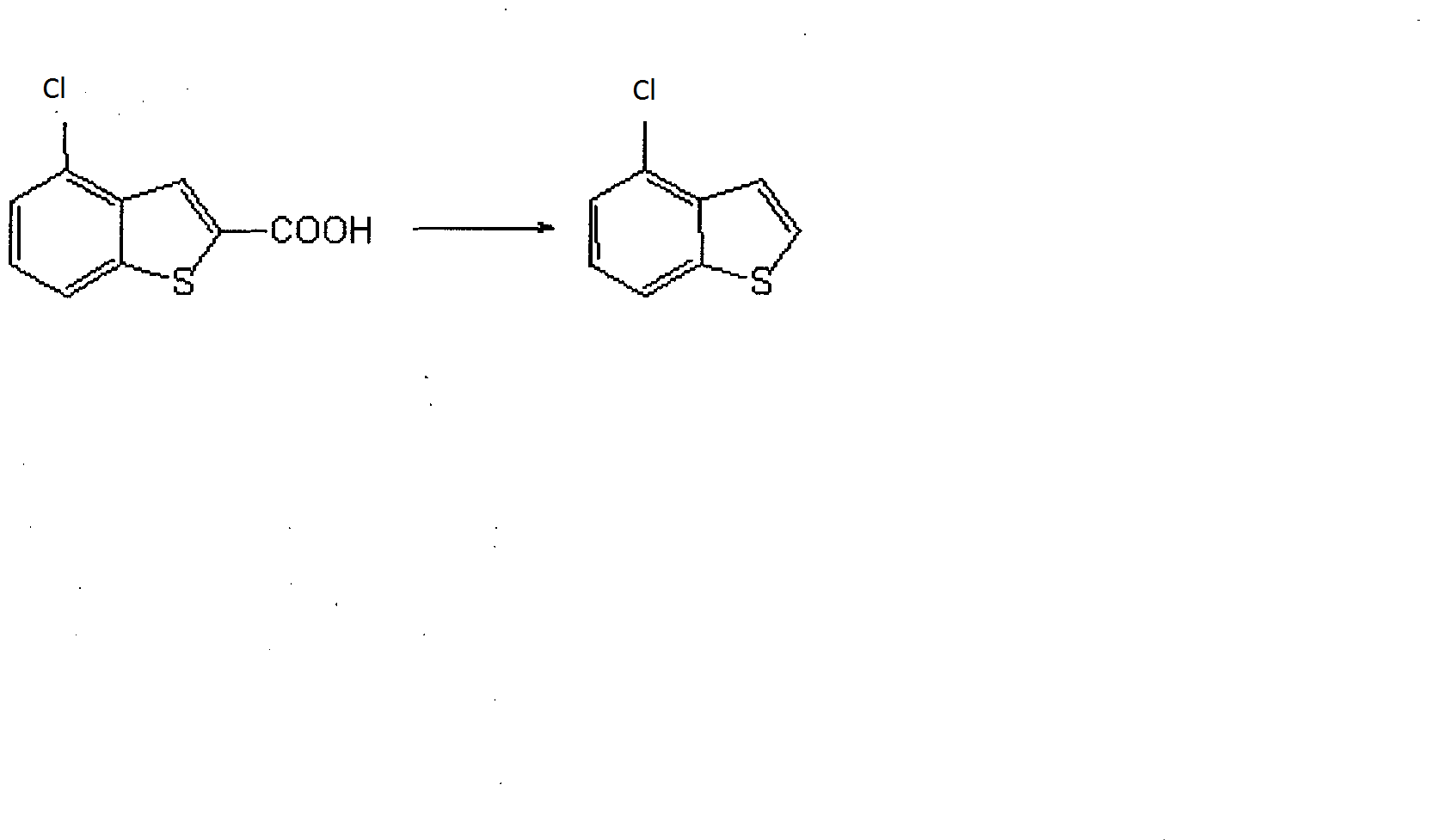
salt) GAVE  2-carboxy-4-chlorobenzo[b]thiophene.
Yield: 48.8 g. 1H-NMR (DMSO-d6) d ppm; 7.53 (1H, t, J = 7.7 Hz), 7.58 (1H, dd, J = 7.7, 1.3
Hz), 8.03 (1H, d, J = 0.5 Hz), 8.07 (1H, d, J = 7.6 Hz).

NEXT IS DECARBOXYLATION

A mixture of 2-carboxy-4-chlorobenzo[b]thiophene, 1,3-dimethyl-2-imidazolidinone, and 1,8-
diazabicyclo[5.4.0]-undec-7-ene GAVE  compound. 4-chlorobenzo[b]thiophene.  1H-NMR (DMSO-d6) d ppm; 7.38 (1H, t, J = 8.4
Hz), 7.51 (1H, dd, J = 5.5, 0.8 Hz), 7.48 (1H, dd, J = 7.7, 0.9 Hz), 7.94 (1H, dd, J = 5.5, 0.4
Hz), 8.02 (1H, dt, J = 8.0, 0.9 Hz).

WP_000309

BETTER REPRESENTATION OF ABOVE PIC

CLIPS FROM PATENT

Synthesis of 2,6-dichlorobenzylidenerhodanine

2,6-Dichlorobenzaldehyde (77.0 g) , rhodanine (58.6 g) , and acetic acid (539 ml) were suspended with stirring at room temperature. Anhydrous sodium acetate (116 g) was added to the suspension, and the resulting mixture was heated under reflux for 3 hours. The reaction mixture was cooled to 45°C, and ice water (700 ml) was added. After the mixture was stirred for 0.2 hours, the precipitated crystals were collected by filtration, washed with water, and then dried to obtain 2,6- dichlorobenzylidenerhodanine. Even in non-dried form, this product could be subjected to the subsequent step.

Yield: 125.4 g^- MR (CDC13) 6ppm;7.30-7.44 (3H, m) , 7.70 (1H. s), 9.6 (1H, br.).

Reference Example 3

• Synthesis of (Z)-3-(2,6-dichlorophenyl)-2-mercapto-2-propenoic acid

A suspension of 2,6- dichlorobenzylidenerhodanine (160.4 g) and water (800 ml) was stirred at room temperature, and sodium hydroxide (83.0 g) was added over a period of 1 hour. The resulting mixture was heated with stirring for another 0.5 hours. The reaction mixture was cooled with ice (10°C), and concentrated hydrochloric acid (192 ml) was added. After the mixture was stirred while cooling with ice for 0.5 hours, the precipitated crystals were collected by filtration. The crystals obtained by filtration were washed with water and then dried to obtain an equivalent amount of (Z)-3-(2,6-dichlorophenyl)-2-mercapto-2- propenoic acid.

Yield: 138.9 g l-NMR (DMSO-de) δρρπΐ;7.23-7.67 (4H, m) , 3.5-5.7 (1H, br.), 11.7-14.5 (1H, br.).

Reference Example 4

• Synthesis of 2-carboxy-4-chlorobenzo[b] thiophene

A suspension of (Z)-3-(2,6-dichlorophenyl-2-mercapto-2- propenoic acid (72.4 g) and water (362 ml) was stirred at room temperature. Further, potassium hydroxide (40.8 g) was added, and the mixture was heated under reflux for 4 hours . After the mixture was allowed to cool, the mixture was stirred for 1 hour while cooling with ice. The precipitated crystals ((Z)-3-(2,6- dichlorophenyl-2-mercapto-2-propenoic acid potassium salt) were collected by filtration and washed with cold water. After the crystals were suspended in water, 35% concentrated hydrochloric acid (32 ml) was added (pH = 1), and the mixture was stirred at room temperature for 1 hour. The precipitated crystals were collected by filtration and dried to obtain 2-carboxy-4- chlorobenzo[b] thiophene.

Yield of 48.8 g ^- MRiDMSO-de) 6ppm; 7.53 (1H, t, J = 7.7 Hz), 7.58 (1H, dd, J = 7.7, 1.3 Hz), 8.03 (1H, d, J = 0.5 Hz), 8.07 (1H, d, J = 7.6 Hz).

Reference Example 5

• Synthesis of K salt  4-chlorobenzo[b] thiophen-2-carboxylate

Reference Example 6

· Synthesis of 2-carboxy-4-chlorobenzo[b]thiophene

Sodium 4-chlorobenzo[b] thiophen-2-carboxylate (2.40 g) was dissolved in water (33 ml) at 60°C. Concentrated hydrochloric acid (1.3 ml) was added to the solution at the same temperature, and the resulting mixture was stirred. The precipitated crystals were collected by filtration, washed with water, and then dried to obtain 2-carboxy-4-chlorobenzo[b] thiophene.

Yield: 1.61 g ^- MR (DMS0-d6);7.53 (1H, t, J = 7.7 Hz), 7.58 (1H, dd, J = 7.7, 1.3 Hz), 8.03 (1H, d, J = 0.5 Hz), 8.07 (1H, d, J = 7.6 Hz).

e

d

Elaborate description

IN THIS BELOW PIC WE SEE

Synthesis of 4-(1-piperazinyl)benzo[b]thiophene

4-Chlorobenzo[b]thiophene and xylene , Subsequently, piperazine, sodium tert-butoxide, palladium acetate (II), and 2-dicyclohexylphosphino-2′,6′-di-iso-propoxy-1,1′-biphenyl (RuPhos) …… producing 4-(1-piperazinyl)benzo[b]thiophene.

NEXT IS PREPARATION OF HYDROCHLORIDE

4-(1-piperazinyl)benzo[b]thiophene hydrochloride. 1H-NMR (DMSO-d6) d ppm;
3.30 (4H, br.s), 3.61 (4H, br.s), 6.97 (1H, d, J = 7.8 Hz), 7.32 (1H, br. dd, J = 8.4, 7.8 Hz),
7.53 (1H, d, J = 5.6 Hz), 7.70 (1H, d, J = 8.4 Hz), 7.76 (1H, d, J = 5.6 Hz), 9.37 (1H, br.s).

NEXT  IS REACTION WITH A TO GIVE BREXPIPRAZOLE

1-benzo[b]thiophen-4-yl-piperazine hydrochloride, potassium carbonate
and DMF  and  7-(4-chlorobutoxy)-1H-quinolin-2-one A  FROM PIC 1 and potassium iodide  GAVE BREXPIPRAZOLE, ie 7-[4-(4-benzo[b]thiophen-4-yl-piperazin-1-yl)butoxy]-1H-quinolin-2-one.

1H-NMR (DMSO-d6) d ppm; 1.6-1.75 (2H, m), 1.75-1.9 (2H, m), 2.44
(2H, t, J = 7.0 Hz), 2.55-2.70 (4H, m), 3.00-3.15 (4H, m), 4.06 (2H, t, J = 6.3 Hz), 6.30 (1H,
d, J = 9.5 Hz), 6.75-6.85 (2H, m), 6.88 (1H, d, J = 7.5 Hz), 7.27 (1H, dd, J = 8 Hz, 8 Hz),
7.40 (1H, d, J = 5.5 Hz), 7.55 (1H, d, J = 9.5 Hz), 7.61 (1H, d, J = 8 Hz), 7.69 (1H, d, J = 5.5
Hz), 7.80 (1H, d, J = 9.5 Hz), 11.58 (1H, bs).

WP_000308

BETTER REPRESENTATION OF  PIC

Example 2

• Synthesis of 4- (l-piperazinyl)benzo[b]thiophene hydrochloride

4-Chlorobenzo[b] thiophene (5.00 g), piperazine (5.11 g) , palladium acetate (II) (2.7 mg), tri-tert-butylphosphonium

tetraphenylborate (6.2 mg), sodium tert-butoxide (8.548 g), and xylene (70 ml) were stirred at 120 to 130°C for 5 hours. After the reaction mixture was cooled to room temperature, water was added thereto, and the layers were separated. The xylene layer was washed with water, and then with saline. After addition of activated carbon, the mixture was stirred at room temperature for 30 minutes. After filtration of the mixture, concentrated

hydrochloric acid was added to the filtrate, and the resulting mixture was stirred at room temperature for 30 minutes. The precipitated crystals were collected by filtration and dried to obtain 4- ( l-piperazinyl)benzo[b] thiophene hydrochloride.

Yield: 6.94 g !H-NMRiDMSO-de) 6ppm; 3.30 (4H, br.s), 3.61 (4H, br.s), 6.97 (1H, d, J= 7.8 Hz), 7.32 (1H, br.dd, J= 8.4. 7.8 Hz), 7.53 (1H, d, J= 5.6 Hz), 7.70 (1H, d, J= 8.4 Hz), 7.76 (1H, d, J= 5.6 Hz), 9.37 (1H, br.s).

Example 3

• Synthesis of 4- ( 1-piperazinyl)benzo[b] thiophene hydrochloride

4-Chlorobenzo[b] thiophene (10.0 g) and xylene (100 ml) were placed in a reaction vessel. The reaction vessel was

evacuated and then purged with argon. Subsequently, piperazine (15.3 g) , sodium tert-butoxide (17.1 g) , palladium acetate (II) (13.0 mg) , and 2-dicyclohexylphosphino-2′,6′-di-iso-propoxy-1,1′- biphenyl (RuPhos) (69.0 mg) were added. After evacuation and purging with argon, the mixture was refluxed for 2 hours. After the reaction mixture was cooled to about 80°C, water (50 ml) and silica #600H (0.65 g) were added. The mixture was stirred at approximately 60°C for about 10 minutes, and then filtered. After the filtrate was separated into layers, the xylene layer was washed with water. Subsequently, the xylene layer was placed into the reaction vessel again. After addition of water (200 ml) and concentrated hydrochloric acid (8.0 ml) , the mixture was heated with stirring for dissolution. The layers were separated at 75°C or more. After the aqueous layer was collected, toluene (150 ml) and 25% aqueous sodium hydroxide solution (16 ml) were added, and the mixture was stirred. The layers were separated, and the organic layer was collected. The organic layer was washed with water and concentrated with an evaporator. Methanol (150 ml) was added to the concentrated oil to dissolve the oil, thus producing a methanol solution. 2-Propanol (150 ml) and concentrated

hydrochloric acid (7 ml) were placed into another reaction vessel, and the methanol solution was added dropwise over a period of 15 minutes or more. After completion of the dropwise addition, the mixture was cooled and stirred at 10°C or less for about 30 minutes, and then filtered (washed with a mixture of 5 ml of methanol and 5 ml of 2-propanol) . The crystals were collected, and then dried to obtain 4-(l-piperazinyl)benzo[b]thiophene hydrochloride.

Yield: 11.61 g

^-NMRfDMSO-de) oppm;

3.25-3.40 (8H, br.s), 6.96 (1H, d, J = 7.5 Hz), 7.32 (1H, dd, J = 8.0, 7.5 Hz), 7.52 (1H, d, J = 5.5 Hz ) . 7.70 (1H, d, J = 8.0 Hz), 7.75 (1H, d, J = 5.5 Hz), 9.35 (1H, br.s).

Reference Example 9

· Synthesis of 7- ( 4-chlorobutoxy) -lH-quinolin-2-one

After 7-hydroxy-lH-quinolin-2-one (10 g) and DMF (50 ml) were heated to approximately 30°C, an aqueous potassium carbonate solution (potassium carbonate: 8.6 g, water: 10 ml) was added. After the mixture was stirred at 30 to 40°C for about 15 minutes, l-bromo-4-chlorobutane (14.3 ml) was added and stirred at approximately 40°C for 5 hours. Water (100 ml) was added dropwise over a period of 30 minutes or more while the

temperature was maintained at 30°C or more. After the mixture was stirred at approximately 30°C for 30 minutes, stirring was continued at 10°C or less for 1 hour, after which the precipitated crystals were collected by filtration. After methanol (100 ml) was added to the precipitated crystals, the mixture was stirred under reflux to ensure dissolution. This solution was cooled and stirred at 30 to 40°C for 30 minutes and then at 5°C or less for about 1 hour, after which the precipitated crystals were

collected by filtration. The crystals were dried at 60°C to obtain 7- (4-chlorobutoxy) -lH-quinolin-2-one as white powder.

Yield: 12.3 g

^I-NMR (300 MHz; CDC13) oppm; 1.95-2.05 (4H, m) , 3.64 (2H, t, J = 6.0Hz), 4.10 (2H, t. J = 5.5 Hz), 6.56 (1H, d, J = 9.5 Hz), 6.80 (1H. dd, J = 9.0 Hz, 2.5 Hz), 6.84 (1H, d, J = 2.5 Hz), 7.45 (1H, d, J = 9.0 Hz), 7.73 (1H, d, J = 9.5 Hz), 12.45 (1H, brs).

Example 4

· Synthesis of 7- [4- (4-benzo[b]thiophen-4-yl-piperazin-l- yl)butoxy] -lH-quinolin-2-one

After 1-benzo[b] thiophen-4-yl-piperazine hydrochloride (10.6 g), potassium carbonate (5.8 g) , and DMF (50 ml) were stirred at 30 to 40°C for about 30 minutes, 7-(4-chlorobutoxy) -1H- quinolin-2-one (10.0 g) and potassium iodide (6.9 g) were added. The mixture was stirred at 90 to 100°C for 2 hours. While the temperature of the mixture was maintained at 60°C or more, water (150 ml) was added dropwise over a period of 10 minutes or more.

After the mixture was cooled to 10°C or less, the precipitated crystals were collected by filtration, and washed with water and then with ethanol.

After ethanol (325 ml) and acetic acid (25 ml) were added to the precipitated crystals, the mixture was stirred under reflux for dissolution. Concentrated hydrochloric acid (3.6 ml) was added at around 70°C, and the mixture was cooled. After confirming the precipitation of crystals, the mixture was heated again and stirred under reflux for 1 hour. After the mixture was cooled to 10°C or less, the precipitated crystals were collected by filtration and washed with ethanol.

After ethanol (191 ml) and water (127 ml) were added to the precipitated crystals, the mixture was stirred under reflux for dissolution. After activated carbon (0.89 g) was added, the mixture was stirred under reflux for 30 minutes and then hot filtered. After activated carbon was removed, the mixture was heated again for dissolution. After 25% aqueous sodium hydroxide solution (5.8 ml) was added at approximately 70°C, the mixture was stirred under reflux for 30 minutes, after which water (64 ml) was added at approximately 70°C. After the mixture was stirred at 40°C for 30 minutes, the precipitated crystals were collected by filtration at 40°C or less, then washed with water, and dried to obtain 7- [4-(4-benzo[b]thiophen-4-yl-piperazin-l-yl)butoxy] -1H- quinolin-2-one as white crystals.

Yield: 14.30 g ^-NMRfDMSO-de) 6ppm; 1.6-1.75 (2H, m) . 1.75-1.9 (2H, m) , 2.44 (2H, t, J = 7.0 Hz),2.55-2.70 (4H, m) , 3.00-3.15 (4H, m) , 4.06 (2H, t, J = 6.3 Hz), 6.30 (1H, d, J = 9.5 Hz), 6.75-6.85 (2H, m) , 6.88 (1H, d, J = 7.5 Hz), 7.27 (1H, dd, J = 8 Hz, 8 Hz), 7.40 (1H, d, J = 5.5 Hz), 7.55 (1H, d, J = 9.5 Hz), 7.61 (1H, d, J = 8 Hz), 7.69 (1H, d, J = 5.5 Hz), 7.80 (1H, d, J = 9.5 Hz), 11.58 (1H, bs) .

c

  logo

SEE  http://www.molbase.com/en/index.html

IH NMR PREDICT

7-[4-[4-(1-benzothiophen-4-yl)piperazin-1-yl]butoxy]-1H-quinolin-2-one NMR spectra analysis, Chemical CAS NO. 913611-97-9 NMR spectral analysis, 7-[4-[4-(1-benzothiophen-4-yl)piperazin-1-yl]butoxy]-1H-quinolin-2-one H-NMR spectrum

  logo

13 C NMR PREDICT

7-[4-[4-(1-benzothiophen-4-yl)piperazin-1-yl]butoxy]-1H-quinolin-2-one NMR spectra analysis, Chemical CAS NO. 913611-97-9 NMR spectral analysis, 7-[4-[4-(1-benzothiophen-4-yl)piperazin-1-yl]butoxy]-1H-quinolin-2-one C-NMR spectrum

Patent

Reaction Scheme 3:

https://patentscope.wipo.int/search/en/detail.jsf;jsessionid=D842B4D68D66F641E505E9690CF876D0.wapp2nB?docId=WO2015054976&recNum=1&maxRec=&office=&prevFilter=&sortOption=&queryString=&tab=FullText

 

Wherein, X is halogen, such as fluorine, chlorine, bromine, iodine; R and R 1 as defined above in the definition of the compounds of formula I the same;
Scheme 4:

Wherein, X is fluorine, chlorine, bromine or iodine; R 1 as defined above, with a compound of formula I as defined for the same;
Reaction Scheme 5:
Wherein, X is fluorine, chlorine, bromine or iodine; R 1 is the same as defined in the compounds shown above, and R are as defined for formula I. The present invention also provides processes for preparing key intermediates Bray prazosin/  Brexpiprazole or a salt thereof, the method as shown in Scheme 6:
Scheme 6:
Example 26
7- [4- (benzothiazol-4-yl-1-piperazinyl) butoxy] -3,4-dihydro -2 (1H) – quinolinone
Preparation of

The product (400mg, 0.83mmol) of Example 25 will be implemented, silver carbonate (46mg, 0.16mmol) was dissolved in DMSO (5mL) and the acetic acid was heated to 120 ℃ overnight. Cooling, water was added, extracted with ethyl acetate, ethyl acetate layer was washed with saturated sodium bicarbonate and brine each wash again, dried over anhydrous sodium sulfate, and silica gel column chromatography, to give a solid (80mg, yield 22%).
1 HNMR (400 MHz, DMSO-d 6 ): δ10.00 (s, 1H), 7.69 (d, 1H), 7.61 (d, 1H), 7.40 (d, 1H), 7.27 (t, 1H), 7.04 ( d, 1H), 6.89 (d, 1H), 6.50 (dd, 1H), 6.45 (d, 1H), 3.93 (t, 2H), 3.06 (br, 4H), 2.78 (t, 2H), 2.60 (br , 4H), 2.41 (t, 4H), 1.74 (t, 2H), 1.60 (t, 2H) ESI: [M + 1] + = 436.3.

Example 27
7- [4- (2-carboxy-benzothiophen-4-yl-1-piperazinyl) butoxy] -2 (1H) – quinolinone
Preparation of

A mixture of 2-chloro-6- (4- (4 – ((2-oxo-1,2-dihydro-quinolin-7-yl) oxy) butyl) piperazin-1-yl) benzaldehyde (80mg , 0.18mmol) was dissolved in DMF (5mL) was added sodium hydroxide (29mg, 0.73mmol) and thioglycolic acid (0.025mL, 0.36mmol), 120 ℃ stirred for 16 hours. Cooling, water was added, adjusted with 1N HCl aqueous solution is about pH = 5, extracted with ethyl acetate, the ethyl acetate layer was washed with saturated brine, dried over anhydrous sodium sulfate, and silica gel column chromatography, to give a solid (40mg, yield 46 %).
ESI: [M + 1] + = 478.0.

Piperazine hydrochloride – (2-carboxy-benzothiophen-4-yl)
Example 28 1-

The product of Example 17 (100mg, 0.25mmol) was dissolved in acetic acid (3mL) and concentrated hydrochloric acid (0.5 mL) in, 100 ℃ stirred for 10 hours. The reaction solution was poured into ice water, stirred for 10min after filtration, to obtain the target substance (38mg, 50% yield).

1 HNMR (400 MHz, DMSO-d 6 ): [delta] 9.46 (bs, 2H), 8.04 (s, 1H), 7.69 (d, 1H), 7.43 (t, 1H), 7.00 (d, 1H), 3.30 ( bs, 8H) ESI: [M + 1] + = 262.9.
Preparation of tert-butyl piperazine-1 – Example 224- (2-carboxy-benzothiophen-4-yl)

Under nitrogen, to N, at room temperature was added N- dimethylformamide (5mL) within the reference product (200g, 0.62mmol) of Example 1, thioglycolic acid (114mg, 1.23mmol), sodium methoxide (133mg, 2.45mmol ), and the mixture was stirred at 105 ℃ 18 hours. Cooling, water was added, extracted with ethyl acetate, separated and the aqueous phase was adjusted pH = 5 or so, the precipitated solid was filtered and dried to obtain the target substance (130mg, 58% yield).
1 HNMR (400 MHz, DMSO-d 6 ): [delta] 7.98 (s, 1H), 7.64 (d, 1H), 7.42 (t, 1H), 6.95 (d, 1H), 3.53 (bs, 4H), 3.035 ( bs, 4H) ESI: [M-1] = 361.1.
Preparation of piperazine-1-carboxylic acid tert-butyl ester – (2-carboxy-benzothiophen-4-yl) Example 234-

Under nitrogen, to N, at room temperature was added N- dimethylformamide (5mL) within the reference product (200g, 0.62mmol) of Example 1, thioglycolic acid (114mg, 1.23mmol), sodium hydroxide (99mg, 2.45 mmol), the mixture was stirred at 105 ℃ 18 hours. Cooling, water was added, extracted with ethyl acetate, separated and the aqueous phase was adjusted pH = 5 or so, the precipitated solid was filtered and dried to obtain the target substance (180mg, yield 81%).
1 HNMR (400 MHz, DMSO-d 6 ): [delta] 7.98 (s, 1H), 7.64 (d, 1H), 7.42 (t, 1H), 6.95 (d, 1H), 3.53 (bs, 4H), 3.035 ( bs, 4H) ESI: [M-1] = 361.1.

Example 24 7- [4- (2-ethoxycarbonyl-4-phenyl and thienyl-1-piperazinyl) butoxy] -2 (1H) – quinolinone Preparation of

A mixture of 2-chloro-6- (4- (4 – ((2-oxo-1,2-dihydro-quinolin-7-yl) oxy) butyl) piperazin-1-yl) benzaldehyde (80mg , 0.18mmol) was dissolved in DMF (5mL) was added DIPEA (94mg, 0.73mmol) and ethyl mercaptoacetate (0.024mL, 0.22mmol), 110 ℃ stirred for 16 hours. Cooling, water was added, extracted with ethyl acetate, the ethyl acetate layer was washed with saturated brine, dried over anhydrous sodium sulfate, and silica gel column chromatography, to give a solid (40mg, 46% yield).
Preparation of piperazine-1-carboxylic acid tert-butyl ester – Example 184- (2-ethoxycarbonyl phenyl and thien-4-yl)

Under nitrogen, was added at room temperature to DMF (5mL) within the reference product (200mg, 0.62mmol) of Example 1, ethyl mercaptoacetate (0.081ml, 0.74mmol), DIPEA (342mg, 2.48mmol), the mixture was at 105 ℃ stirred for 18 hours, 1N HCl aqueous solution was added adjust pH = 7, and extracted with methyl tert-butyl ether, the ether layer was washed three times with saturated brine, dried over anhydrous sodium sulfate, the drying agent was filtered off, and concentrated by column chromatography to obtain the target (170mg, yield 71%).
1 HNMR (400 MHz, CDCl 3 ): [delta] 8.40 (s, 1H), 7.58 (d, 1H), 7.37 (t, 1H), 6.95 (d, 1H), 4.44 (q, 2H), 3.64 (m, 4H), 3.15 (m, 4H) ESI: [M + 1] + = 391.1.

Preparation of piperazine-1-carboxylic acid tert-butyl ester – Example 194- (2-ethoxycarbonyl phenyl and thien-4-yl)

Under nitrogen at room temperature was added the product of Reference Example 1 to ethanol (5mL) inside (200mg, 0.62mmol), ethyl mercaptoacetate (0.081ml, 0.74mmol), sodium hydroxide (100mg, 2.48mmol), the mixture 85 ℃ stirred for 6 hours, and concentrated by column chromatography to obtain the target substance (70mg, 30% yield).
1 HNMR (400 MHz, CDCl 3 ): [delta] 8.40 (s, 1H), 7.58 (d, 1H), 7.37 (t, 1H), 6.95 (d, 1H), 4.44 (q, 2H), 3.64 (m, 4H), 3.15 (m, 4H) ESI: [M + 1] + = 391.1.

Piperazine hydrochloride – (2-carboxy-benzothiophen-4-yl) Example 201-

The product of Example 2 (200mg, 0.55mmol), was dissolved in THF (5mL) was added concentrated hydrochloric acid (0.5mL), 50 ℃ heated 6h.Cooling, methyl tert-butyl ether (5mL), filtered to give the target (130mg, yield 79%).
1 HNMR (400 MHz, DMSO-d 6 ): [delta] 9.46 (bs, 2H), 8.04 (s, 1H), 7.69 (d, 1H), 7.43 (t, 1H), 7.00 (d, 1H), 3.30 ( bs, 8H) ESI: [M + 1] + = 262.9.

Piperazine hydrochloride – (benzothiophen-4-yl) Example 211-

The product of Example 20 (130mg, 0.43mmol) was added to diphenyl ether (3mL) in, 260 ℃ heating 0.5h. Cooling, filtration object (60mg, 55% yield).
1 HNMR (400 MHz, DMSO-d 6 ): [delta] 9.46 (bs, 2H), 7.75 (d, 1H), 7.69 (d, 1H), 7.53 (t, 1H), 7.31 (t, 1H), 6.97 ( t, 1H), 3.30 (bs, 8H) ESI: [M + 1] + = 219.2.

PAPER

Org. Process Res. Dev., Article ASAP
DOI: 10.1021/acs.oprd.5b00027
Figure

Figure 1. Brexpiprazole (1) and intermediate 18.

Abstract Image

2-Chloro-6-fluorobenzaldehyde was converted to 4-(1-piperazinyl)benzo[b]thiophene dihydrochloride (18), an intermediate in the synthesis of brexpiprazole, via a five-step sequence in 54% overall yield. This procedure requires no expensive catalyst and avoids the side products produced in the coupling step in the reported process. Several kilograms of compound 18 were prepared using this economical and scalable process.

1-(Benzo[b]thiophen-4-yl)piperazine Dihydrochloride (18)

Compound 10 (1.5 kg, 4.71 mol) was dissolved in ………………..DELETED…………………, and then dried to give compound 18 (1.17 kg, 85% yield). HPLC for compound 18 (tR = 6.3 min, identical to authentic sample) 99.8% purity; HPLC method B.
18:
1H NMR (400 MHz, DMSO-d6) δ 11.86 (s, 1H), 9.65 (s, 2H), 7.75 (d, J = 5.5 Hz, 1H), 7.69 (d, J = 8.1 Hz, 1H), 7.53 (d, J = 5.5 Hz, 1H), 7.30 (t, J = 7.9 Hz, 1H), 6.96 (d, J = 7.6 Hz, 1H), 3.30 (s, 8H).
13C NMR (100 MHz, DMSO-d6): δ 146.92, 140.62, 133.40, 126.50, 125.06, 121.91, 117.73, 112.56, 48.52, 43.00.
MS (ESI, eV): m/z = 219.1 [M + H]+.

 ………..

PATENT

http://www.google.com/patents/US20140187782

A 4-(1-piperazinyl)benzo[b]thiophene compound represented by Formula (1):

Figure US20140187782A1-20140703-C00002

is useful for various medicines such as antipsychotic drugs. Moreover, a 4-(1-piperazinyl)benzo[b]thiophene compound represented by Formula (4):

Figure US20140187782A1-20140703-C00003

wherein R1 is a hydrogen atom or a protecting group, is useful as an intermediate for synthesizing the compound represented by Formula (1).

Reference Example 30 and Example 1 of PTL 1 specifically disclose a method for producing a benzo[b]thiophene compound (the reaction scheme shown below). In Reference Example 30, 4-(1-piperazinyl)benzo[b]thiophene is produced by heating under reflux a mixture comprising 14.4 g of 4-bromobenzo[b]thiophene, 29.8 g of anhydrous piperazine, 9.3 g of sodium tert-butoxide, 0.65 g of (R)-(+)-2,2′-bis(diphenylphosphino)-1,1′-binaphthyl (BINAP), 0.63 g of tris(dibenzylideneacetone)dipalladium (0), and 250 ml of toluene (step X).

Figure US20140187782A1-20140703-C00004

However, the reaction of the step X produces a relatively large amount of by-products that can hardly be separated, and the purity of the compound (4a) is thus inevitably reduced. Moreover, although column purification is performed to increase the purity of the compound (4a), it is very difficult to completely remove by-products, even by column chromatography purification. For this reason, there is a demand for the development of a novel method for producing the compound (4a) with high yield and high purity.

Furthermore, by-products contained in the compound (4a) inevitably reduce the purity of the compound (1) in the subsequent step Y. Since the method described in PTL 1 requires purification by column chromatography to obtain the target compound (1) with high purity, the method is not suitable for the industrial process of mass production. In addition, according to the method, incorporation of by-products that can hardly be separated is inevitable, and high-purity products usable as active pharmaceutical ingredients cannot be produced without purification by column chromatography.

CITATION LISTPatent Literature

  • PTL 1: Japanese Unexamined Patent Publication No. 2006-316052 Non Patent Literature
  • NPL 1: Tetrahedron Lett., 2004, 45, 9645

Figure US20140187782A1-20140703-C00020

Figure US20140187782A1-20140703-C00021

Figure US20140187782A1-20140703-C00022

Example 4

Synthesis of 7-[4-(4-benzo[b]thiophen-4-yl-piperazin-1-yl)butoxy]-1H-quinolin-2-one

After 1-benzo[b]thiophen-4-yl-piperazine hydrochloride (10.6 g), potassium carbonate (5.8 g), and DMF (50 ml) were stirred at 30 to 40° C. for about 30 minutes, 7-(4-chlorobutoxy)-1H-quinolin-2-one (10.0 g) and potassium iodide (6.9 g) were added. The mixture was stirred at 90 to 100° C. for 2 hours. While the temperature of the mixture was maintained at 60° C. or more, water (150 ml) was added dropwise over a period of 10 minutes or more. After the mixture was cooled to 10° C. or less, the precipitated crystals were collected by filtration, and washed with water and then with ethanol.

After ethanol (325 ml) and acetic acid (25 ml) were added to the precipitated crystals, the mixture was stirred under reflux for dissolution. Concentrated hydrochloric acid (3.6 ml) was added at around 70° C., and the mixture was cooled. After confirming the precipitation of crystals, the mixture was heated again and stirred under reflux for 1 hour. After the mixture was cooled to 10° C. or less, the precipitated crystals were collected by filtration and washed with ethanol.

After ethanol (191 ml) and water (127 ml) were added to the precipitated crystals, the mixture was stirred under reflux for dissolution. After activated carbon (0.89 g) was added, the mixture was stirred under reflux for 30 minutes and then hot filtered. After activated carbon was removed, the mixture was heated again for dissolution. After 25% aqueous sodium hydroxide solution (5.8 ml) was added at approximately 70° C., the mixture was stirred under reflux for 30 minutes, after which water (64 ml) was added at approximately 70° C. After the mixture was stirred at 40° C. for 30 minutes, the precipitated crystals were collected by filtration at 40° C. or less, then washed with water, and dried to obtain 7-[4-(4-benzo[b]thiophen-4-yl-piperazin-1-yl)butoxy]-1H-quinolin-2-one as white crystals.

Yield: 14.30 g

1H-NMR (DMSO-d6) δ ppm;

1.6-1.75 (2H, m), 1.75-1.9 (2H, m), 2.44 (2H, t, J=7.0 Hz), 2.55-2.70 (4H, m), 3.00-3.15 (4H, m), 4.06 (2H, t, J=6.3 Hz), 6.30 (1H, d, J=9.5 Hz), 6.75-6.85 (2H, m), 6.88 (1H, d, J=7.5 Hz), 7.27 (1H, dd, J=8 Hz, 8 Hz), 7.40 (1H, d, J=5.5 Hz), 7.55 (1H, d, J=9.5 Hz), 7.61 (1H, d, J=8 Hz), 7.69 (1H, d, J=5.5 Hz), 7.80 (1H, d, J=9.5 Hz), 11.58 (1H, bs).

………………………

PATENT

http://www.google.com/patents/WO2006112464A1?cl=en

Example 1

Preparation of 7- [4- (4-benzo [b] thiophen-4-yl- piperazin-1-yl) butoxy] -lH-quinolin-2-one

A mixture of 9.0 g of 7- ( 4-chlorobutoxy) -IH- quinolin-2-one, 10 g of 1-benzo [b] thiophene-4-yl- piperazine hydrochloride, 14 g of potassium carbonate, 6 g of sodium iodide and 90 ml of dimethylformamide was stirred for 2 hours at 😯0C. Water was added to the reaction solution and precipitated crystals were separated by filtration. The crystals were dissolved in a mixed solvent of dichloromethane and methanol, dried over magnesium sulfate, and the solvent was evaporated under reduced pressure. The residue was purified by silica gel column chromatography (dichloromethane .-methanol = 100:3). Recrystallized from ethanol, 13.6 g of 7- [4- (4-benzo [b] thiophen-4-yl- piperazin-1-yl) butoxy] -lH-quinolin-2-one in the form of a white powder was obtained.

Melting point 183.5-184.50C

1H-NMR ( DMSO-dg) δppm:

1.6-1.75 (2H, m) , 1.75-1.9(2H, m) , 2.44(2H, t, J=7Hz) , 2.5-2.8(4H, m) , 2.9-3.2(4H, m) , 4.06(2H, t, J=6.5Hz), 6.3O(1H, d, J=9.5Hz), 6.75-6.85 (2H, m) , 6.88(1H, d, J=7.5Hz), 7.27 (IH, dd, J=8Hz, 8Hz), 7.40 (IH, d, J=5.5Hz), 7.55 (IH, d, J=9.5Hz), 7.61(1H, d, J=8Hz) , 7.69(1H, d, J=5.5Hz), 7.8O(1H, d, J=9.5Hz), 11.59(1H, bs) .

……………….

PATENT

Figure imgf000006_0001 7- [ 4- ( 4-benzo[b]thiophen-4- yl-piperazin-l-yl)butoxy] -lH-quinolin-2-one

The dihydrate of the benzothiophene compound represented by Formula (I) or of a salt thereof according to the present invention can be produced from an anhydride of the benzothiophene compound or of a salt thereof.

The benzothiophene compound (in the form of an

anhydride) of Formula (I), from which the dihydrate of the present invention is produced, is a known compound, and can be obtained by the production method disclosed in Example 1 of

JP2006-316052A or according to Reference Examples 1 and 2

Fig. 1 shows the ^-NMR spectrum of the dihydrate of the benzothiophene compound represented by Formula (I) prepared in Example 1.

Fig. 2 shows the X-ray powder diffraction pattern of the dihydrate of the benzothiophene compound represented by

Formula (I) prepared in Example 1.

Fig. 3 shows the infrared absorption spectrum of the dihydrate of the benzothiophene compound represented by Formula (I) prepared in Example 1.

Fig. 4 shows the Raman spectrum of the dihydrate of the benzothiophene compound represented by Formula (I) prepared in Example 1.

Fig. 5 shows the XH- MR spectrum of the benzothiophene compound represented by Formula (I) prepared in Example 2.

Reference Example 1: Synthesis of 7-(4-chlorobutoxy)-lH-quinolin- 2-one Methanol (149 L) , 7-hydroxy-lH-quinolin-2-one (14.87 kg), and potassium hydroxide (6.21 kg) were mixed and stirred. After dissolution, l-bromo-4-chlorobutane (47.46 kg) was further added thereto and the resulting mixture was stirred under reflux for seven hours. Thereafter, the mixture was stirred at 10° C for one hour. The precipitated crystal was centrifuged and washed with methanol (15 L). The wet crystal was collected and placed in a tank. Water (149 L) was added thereto, followed by stirring at room temperature. After centrifugation, the resulting solid was washed with water (30 L). The wet crystal was collected and placed in a tank. After adding methanol (74 L), the mixture was stirred under reflux for one hour, cooled to 10° C, and then stirred. The precipitated crystal was centrifuged and washed with methanol (15 L). The separated crystal was dried at 60° C to obtain 7- (4-chlorobutoxy) -lH-quinolin-2-one (15.07 kg).

Reference Example 2: Synthesis of 7- [ 4- ( 4-benzo[b] thiophen-4-yl- piperazin-l-yl)butoxy] -lH-quinolin-2-one

Water (20 L), potassium carbonate (1.84 kg), 1- benzo[b] thiophen-4-yl-piperazine hydrochloride (3.12 kg), and ethanol (8 L) were mixed and stirred at 50° C. 7- ( 4-Chlorobutoxy) – lH-quinolin-2-one (2.80 kg) obtained in Reference Example 1 was added to the mixture and stirred under reflux for nine hours.

After concentrating the solvent (8 L) under ordinary pressure, the mixture was stirred at 90° C for one hour and then cooled to 9° C . The precipitated crystal was centrifuged and then

sequentially washed with water (8 L) and ethanol (6 L). The separated crystal was dried at 60° C to obtain a crude product. The crude product (4.82 kg) and ethanol (96 L) were mixed in a reaction vessel, and acetic acid (4.8 L) was introduced into the reaction vessel. The mixture was stirred under reflux for one hour to dissolve the crude product. After introducing

hydrochloric acid (1.29 kg), the mixture was cooled to 10° C. The mixture was heated again, refluxed for one hour, and cooled to 7° C. The precipitated crystal was centrifuged and washed with ethanol (4.8 L). The separated crystal was dried at 60° C to obtain 7- [4- (4-benzo[b] thiophen-4-yl-piperazin-l-yl)butoxy] -1H- quinolin-2-one hydrochloride (5.09 kg). The resulting 7- [4- (4- benzo[b]thiophen-4-yl-piperazin-1-yl)butoxy] -lH-quinolin-2-one hydrochloride (5.00 kg), ethanol (45 L), and water (30 L) were mixed in a reaction vessel. The mixture was stirred under reflux to dissolve the 7-[4-(4-benzo[b]thiophen-4-yl-piperazin-l- yl)butoxy] -lH-quinolin-2-one hydrochloride. Activated carbon (500 g) and water (5 L) were added thereto, and an activated carbon treatment was conducted under reflux for 30 minutes. After performing hot filtration, a solution containing sodium hydroxide (511 g) dissolved in water (1.5 L) was flowed into the reaction vessel while stirring the filtrate under reflux. After stirring under reflux for 30 minutes, water (10 L) was introduced thereto and the mixture was cooled to approximately 40° C. The

precipitated crystal was centrifuged and washed with water (125 L). The separated crystal was dried at 80° C to obtain 7- [4- (4- benzo[b]thiophen-4-yl-piperazin-1-yl)butoxy] – lH-quinolin-2-one (3.76 kg).

Example 1: Preparation of 7- [ 4- ( 4-benzo[b]thiophen-4-yl- piperazin-l-yl)butoxy] -lH-quinolin-2-one dihydrate

The 7- [4- (4-benzo[b] thiophen-4-yl-piperazin-1- yl)butoxy] -lH-quinolin-2-one (3.2 kg) obtained in Reference

Example 2, ethanol (64 L) , water (74 L) , and acetic acid (1.77 kg) were mixed in a reaction vessel to prepare an acidic liquid mixture. The mixture was stirred under reflux to dissolve the 7- [ 4- ( 4-benzo[b] thiophen-4-yl-piperazin-1-yl)butoxy] -1H-quinolin-2- one (reflux temperature: 84° C). After cooling to -5°C, the solution obtained above was introduced, over a period of 30 minutes, into a solution containing 25% sodium hydroxide (5.9 kg) and water (54 L) that was cooled to 0°C, to prepare a liquid mixture with pHlO. After being stirred at 5° C or below for one hour, the mixture was heated to 20 to 30° C and further stirred for-seven hours . The precipitated crystal was filtered and washing with water (320 L) was performed, until alkali in the solid component disappeared (i.e.. until the pH value of the filtrate became 7 ) . The solid component was then air-dried until its weight became constant to obtain a white solid 7-[4-(4- benzofb] thiophen-4-yl-piperazin-l-yl)butoxy] -lH-quinolin-2-one dihydrate (unground, 3.21 kg).

Fig. 1 shows the XH-NMR spectrum (D SO-d6, TMS) of the dihydrate prepared by the aforesaid method. As shown in Fig. 1, in the ^- MR spectrum (DMSO-d6, TMS) , peaks were observed at 1.64 ppm (tt, J = 7.4 Hz, J = 7.4 Hz, 2H) , 1.80 ppm (tt, J = 7.0 Hz, J = 7.0 Hz, 2H), 2.44 ppm (t, J = 7.5 Hz, 2H) , 2.62 ppm (br, 4H) , 3.06 ppm (br, 4H) , 3.32 ppm (s, 4H + H20) , 4.06 ppm (t, J = 6.5 Hz, 2H), 6.29 ppm (d, J = 9.5 Hz, 1H), 6.80 ppm (d, J = 2.5 Hz, 1H) , 6.80 ppm (dd, J = 2.5 Hz, J = 9.0 Hz, 1H) , 6.88 ppm (d, J = 7.5 Hz, 1H), 7.27 ppm (dd, J = 7.8 Hz, J = 7.8 Hz, 1H) , 7.40 ppm (dd, J = 0.5 Hz, J = 5.5 Hz, 1H), 7.55 ppm (d, J = 9.0 Hz, 1H) , 7.61 ppm (d, J = 8.0 Hz, 1H) , 7.69 ppm (d, J = 5.5 Hz, 1H) , 7.80 ppm (d, J = 9.5 Hz, 1H), and 11.57 ppm (s, 1H) .

The X-ray powder diffraction spectrum of the dihydrate prepared by the aforesaid method was measured using an X-ray diffractometer (D8 ADVANCE, available from Bruker AXS). Fig. 2 shows the X-ray powder diffraction spectrum. As shown in Fig. 2, in the X-ray powder diffraction spectrum, diffraction peaks were observed at 2Θ = 8.1° , 8.9° , 15.1° , 15.6° , and 24.4° . Other than those mentioned above, the diffraction peaks were also observed at 2Θ = 11.6°.. 12.2°, 14.0°, 16.3°, 18.1°, 18.4°, 18.9°, 19.5°, 20.5°, 21.5°, 22.6°, 23.3°, 25.0°, 26.1°, 26.4°, 27.1°. 28.1°, 28.5°, 28.9°, 29.8°, 30.4°, 30.7°, 31.6°, 32.9°, 33.9°, 34.4°, 35.2°, 36.0°, 36.7°, 37.4° , and 38.3°.

The IR (KBr) spectrum of the dihydrate prepared by the aforesaid method was measured. Fig. 3 shows the IR (KBr) spectrum. As shown in Fig. 3, in the IR (KBr) spectrum, absorption bands were observed in the vicinity of wavenumbers 3509 cm“1, 2934 cm“1, 2812 cm“1, 1651 cm“1, 1626 cm“1, 1447 cm“1, 1223 cm“1 and 839 cm“1.

The Raman spectrum of the dihydrate prepared by the aforesaid method was measured. Fig. 4 shows the Raman spectrum. As shown in Fig. 4, in the Raman spectrum, absorption bands were observed in the vicinity of wavenumbers 1497 cm“1, 1376 cm“1, 1323 cm“1, 1311 cm“1, 1287 cm“1, 1223 cm“1, and 781 cm“1.

Other than those mentioned above, absorption was also observed in the vicinity of wavenumbers 1656 cm“1, 1613 cm“1, 1563 cm“1, 1512 cm“1, 1468 cm“1, 1446 cm“1, 1241 cm“1, 1203 cm“1, 1145 cm“1, 1096 cm“1, 1070 cm“1, 971 cm“1, and 822 cm“1.

The water content of the dihydrate prepared by the aforesaid method was measured using a moisture meter (CA-100, available from Mitsubishi Chemical Analytech Co., Ltd.) by the Karl Fischer method. As a result, the dihydrate had a water content of 7.79% by weight.

Example 2; Preparation of finely ground dihydrate

Dihydrate crystal (2.73 kg) obtained in Example 1 was ground using a jet mill. Here, the air pressure was set at 5 kgf/cm2, and the rotational speed of the feeder was set at 20 rpm. As a result, finely ground 7-[4-(4-benzo[b]thiophen-4-yl- piperazin-1-yl)butoxy] -1H-quinoli -2-one dihydrate (2.61 kg,

95.6%) was obtained.

The dihydrate (finely ground product) thus obtained had a mean particle diameter of 5.5 um. The mean particle diameter was measured using a Microtrack HRA, manufactured by Nikkiso Co., Ltd.

Fig. 5 shows the ^-NMR spectrum (DMSO-d6, TMS) of the dihydrate prepared by the above method. As shown in Fig. 5, in the ^- MR spectrum (DMSO-d6, TMS), peaks were observed at 1.64 ppm (tt, J = 7.3 Hz, J = 7.3 Hz, 2H), 1.80 ppm (tt, J = 6.9 Hz, J = 6.9 Hz, 2H), 2.44 ppm (t, J = 7.3 Hz, 2H) , 2.62 ppm (br, 4H) , 3.06 ppm (br, 4H) , 3.32 ppm (s, 4H + H20) , 4.06 ppm (t, J = 6.5 Hz, 2H), 6.29 ppm (d, J = 9.5 Hz, 1H) , 6.80 ppm (d, J = 2.5 Hz , 1H) , 6.80 ppm (dd, J = 2.3 Hz, J = 9.3 Hz, 1H) , 6.88 ppm (d, J = 7.5 Hz, 1H), 7.27 ppm (dd, J = 8.0 Hz, J = 8.0 Hz, 1H) , 7.40 ppm (d, J = 5.5 Hz, 1H), 7.55 ppm (d, J = 9.5 Hz , 1H) , 7.61 ppm (d, J = 8.0 Hz, 1H), 7.69 ppm (d, J = 5.5 Hz, 1H) , 7.80 ppm (d, J = 9.5

Hz, 1H), and 11.57 ppm (s, 1H) .

The X-ray powder diffraction spectrum of the dihydrate prepared by the aforesaid method was measured in the same manner as in Example 1. Fig. 6 shows the X-ray powder diffraction spectrum. As shown in Fig. 6, in the X-ray powder diffraction spectrum, diffraction peaks were observed at 2Θ = 8.2° , 8.9° ,

15.2° , 15.7° and 24.4° .

Other than those mentioned above, the diffraction peaks were also observed at 2Θ = 6.8°, 12.2°, 14.0°, 14.5″, 17.4°,

18.1°, 18.5°, 19.0°, 19.2°, 19.6°, 20.3°, 20.6°, 21.5°, 22.7°,

23.4°, 25.0°, 26.1°, 27.1°, 28.6°, 29.0°, 30.4°, 34.0°, 34.5°,

35.3° , and 36.7° .

The IR (KBr) spectrum of the dihydrate prepared by the aforesaid method was measured in the same manner as in Example 1.

Fig. 7 shows the IR (KBr) spectrum. As shown in Fig. 7, in the IR

(KBr) spectrum, absorption bands were observed in the vicinity of wavenumbers 3507 cm“1, 2936 cm“1, 2812 cm“1, 1651 cm“1, 1626 cm“1,

1447 cm“1, 1223 cm“1 and 839 cm“1.

The Raman spectrum of the dihydrate prepared by the aforesaid method was measured. Fig. 8 shows the Raman spectrum.

As shown in Fig. 8, in the Raman spectrum, absorption bands were observed in the vicinity of wavenumbers 1496 cm‘1, 1376 cm“1, 1323 cm‘1, 1311 cm“1, 1286 cm“1, 1223 cm“1, and 781cm“1.

Other than those mentioned above, absorption was also observed in the vicinity of wavenumbers 1656 cm“1, 1614 cm“1, 1563 cm“1, 1512 cm“1, 1467 cm“1, 1446 cm“1, 1241 cm“1, 1203 cm“1, 1145 cm“1,

1095 cm“1, 1069 cm“1, 971 cm“1, and 822 cm“1.

The water content of the dihydrate prepared by the aforesaid method was measured using a moisture meter (CA-100, available from Mitsubishi Chemical Analytech Co., Ltd.) by the

Karl Fischer method. As a result, the dihydrate had a water content of 6.74% by weight . Example 3 : Preparation of 7- [ 4- ( 4-benzo[b] thiophen-4-yl- piperazin-l-yl)butoxy] -lH-quinolin-2-one dihydrate

7- [ 4- ( 4-Benzo[ ] thiophen-4-yl-piperazin-1-yl)butoxy] – lH-quinolin-2-one (5.0 kg), ethanol (100 L), water (115 L), and DL-lactic acid (2.29 kg) were mixed to prepare an acidic liquid mixture. The liquid mixture was stirred under reflux to dissolve the 7- [4- (4-benzo[b] thiophen-4-yl-piperazin-l-yl)butoxy] -1H- quinolin-2-one (reflux temperature: 82° C). After cooling to -5°C, the solution obtained above was introduced, over a period of about 15 minutes, into a solution containing sodium hydroxide (1.48 kg) and water (135 L) that was cooled to 1°C, to prepare a liquid mixture with pHll. After being stirred at approximately 2 to 5° C for three hours, the mixture was heated to 45° C and

further stirred at 45 to 50° C for two hours. The precipitated crystal was filtered and washing with water (200 L) was performed until alkali in the solid component disappeared (i.e., until the pH value of the filtrate became 7). The solid component was further washed with a liquid mixture of ethanol (15 L) and water (20 L). The solid component was then dried at room temperature until its weight became constant to obtain a white solid 7- [4- (4- benzo[b] thiophen-4-yl-piperazin-1-yl)butoxy] -1H-quinolin-2-one dihydrate (unground, 5.11 kg).

The dihydrate thus obtained was the same as that obtained in Example 1.

The Raman spectrum of the dihydrate prepared by the aforesaid method was measured. Fig. 9 shows the Raman spectrum. As shown in Fig. 9, in the Raman spectrum, absorption bands were observed in the vicinity of wavenumbers 1497 cm“1, 1376 cm“1, 1323 cm“1, 1311 cm“1, 1287 cm“1, 1223 cm“1, and 782 cm“1.

Other than those mentioned above, absorption was also observed in the vicinity of wavenumbers 1656 cm“1, 1614 cm“1, 1563 cm“1, 1512 cm“1, 1468 cm“1, 1446 cm“1, 1241 cm“1, 1203 cm“1, 1145 cm“1, 1126 cm“1, 1096 cm“1, 1070 cm“1, 972 cm“1, and 822 cm“1.

…………………….

PATENT

http://www.google.com/patents/WO2006112464A1?cl=en

…………………..

PATENT

http://www.google.com/patents/US20110152286

References

  1.  “Phase II and Phase III Drugs in U.S. Development for Depression, Anxiety, Sleep Disorders, Psychosis, & ADHD”. Retrieved 9 February 2012.
  2.  “Otsuka Pharmaceutical Development & Commercialization, Inc.”. Bloomberg Businessweek. Retrieved 10 February 2012.
  3.  “Otsuka HD places top priority on development of OPC-34712.”. Chemical Business Newsbase. January 3, 2011. Retrieved 10 February 2012.
  4. Patent 5006528, Oshiro, Yasuo; Seiji Sato & Nobuyuki Kurahashi, “Carbostyril derivatives”, published October 20, 1989
  5. “Patent and Exclusivity Search Results”. Electronic Orange Book. US Food and Drug Administration. Retrieved 8 December 2008.
  6.  “Lundbeck and Otsuka Pharmaceutical sign historic agreement to deliver innovative medicines targeting psychiatric disorders worldwide”. Lundbeck. Retrieved 10 February2012.
  7.  “Otsuka Holdings Financial Results Presentation Q2 FY2011”. Retrieved 10 February2012.
  8.  “OPC-34712 search results”. Retrieved 10 February 2012.
  9.  “Study of the Safety and Efficacy of OPC-34712 as Adjunctive Therapy in the Treatment of Patients With Major”. Retrieved 15 February 2012.
  10.  “Study of the Safety and Efficacy of Two Fixed Doses of OPC-34712 as Adjunctive Therapy in the Treatment of Adults With Major Depressive Disorder (the Polaris Trial)”. Retrieved 10 February 2012.
  11. ^ Jump up to:a b “Study of the Safety and Efficacy of OPC-34712 as a Complementary Therapy in the Treatment of Adult Attention Deficit/Hyperactivity Disorder (STEP-A)”. Retrieved10 February 2012.
  12.  “Trial to Evaluate the Effects of OPC-34712 on QT/QTc in Subjects With Schizophrenia or Schizoaffective Disorder”. Retrieved 10 February 2012.
  13.  “A Dose-finding Trial of OPC-34712 in Patients With Schizophrenia”. Retrieved10 February 2012.
  14.  “Efficacy Study of OPC-34712 in Adults With Acute Schizophrenia (BEACON)”. Retrieved 10 February 2012.
  15. Jump up^ “Safety and Tolerability Study of Oral OPC-34712 as Maintenance Treatment in Adults With Schizophrenia (ZENITH)”. Retrieved 10 February 2012.
  16.  “Study of the Effectiveness of Three Different Doses of OPC-34712 in the Treatment of Adults With Acute Schizophrenia (VECTOR)”. Retrieved 10 February 2012.
  17.  “A Long-term Trial of OPC-34712 in Patients With Schizophrenia”. Retrieved10 February 2012.
  18.  “Otsuka Pharmaceutical Co., Ltd. Announces Results from a Phase 2 Study of Investigational Product OPC-34712 as Adjunctive Therapy in Adults with Major Depressive Disorder”. Retrieved 16 February 2012.
  19.  “Preclinical Pharmacology of Brexpiprazole (Opc-34712): A Novel Compound with Dopamine D2 Receptor Partial Agonist Activity”. Retrieved 16 February 2012.
  20.  “2011 U.S. Psych Congress Poster Session Abstracts”. Retrieved 16 February 2012.
  21.  “Otsuka Pharmaceutical reports OPC-34712 Phase 2 trial results in major depressive disorder”. News-Medical.Net. Retrieved 10 February 2012.
  22.  Maeda K, Sugino H, Akazawa H et al. (September 2014). “Brexpiprazole I: in vitro and in vivo characterization of a novel serotonin-dopamine activity modulator”. J. Pharmacol. Exp. Ther. 350 (3): 589–604. doi:10.1124/jpet.114.213793.PMID 24947465.
  23. “Trial to Evaluate the Effects of OPC-34712 on QT/QTc in Subjects With Schizophrenia or Schizoaffective Disorder”. Retrieved 10 February 2012.
  24.  “Canadian Patents Database 2620688”. Retrieved 16 February 2012.
  25. http://zliming2004.blog.163.com/blog/static/6456372120149963644472/

 ………

JP2006316052A Title not available
US20110152286 * Dec 16, 2010 Jun 23, 2011 Otsuka Pharmaceutical Co., Ltd. Piperazine-substituted benzothiophenes for treatment of mental disorders
 UPDATED
SUZHOU VIGONVITA LIFE SCIENCES CO., LTD. [CN/CN]; 398, Ruoshui Road, Suzhou Industrial Park Suzhou, Jiangsu 215123 (CN).
TOPHARMAN SHANGHAI CO., LTD. [CN/CN]; 1088, Chuansha Road, Pudong Shanghai 201209 (CN).
SHANGHAI INSTITUTE OF MATERIA MEDICA, CHINESE ACADEMY OF SCIENCES [CN/CN]; 555, Zuchongzhi Road, Zhangjiang, Pudong Shanghai 201203 (CN)
(EN)The present invention relates to methods of preparing brexpiprazole, analogs thereof, key intermediates and salts thereof. Specifically, the present invention relates to new methods of preparing brexpiprazole, analogs thereof, key intermediates and salts thereof, and to the key intermediates and salts thereof used in the methods. The methods involve mild reaction conditions, stable intermediates, easy operations, and widely available reagents, thereby allowing for reduced synthesis costs, a shortened production cycle, high yield, and high product quality. The methods are suited for use in large-scale production.
Bray prazosin (Brexpiprazole, code: OPC-34712) is Otsuka Pharmaceutical Co., Ltd. developed a new generation of anti-psychotic drug candidates that act on more than one receptor, dopamine D2 receptor partial agonist (improving positive and negative symptoms, cognitive impairment and depressive symptoms), 5-HT2A receptor antagonist (improving negative symptoms, cognitive dysfunction, symptoms of depression, insomnia), α1 adrenoceptor antagonists (improving positive symptoms of schizophrenia), 5 – serotonin uptake / reuptake inhibitors (symptoms of depression); at the same time, but also a 5-HT1A partial agonist (anxiolytic and antidepressant activity) and 5-HT7 antagonist (temperature, circadian rhythms, learning and memory, sleep) . Currently, in the United States and Europe as an adjunctive treatment of severe depression (MDD) Phase III clinical trials; III clinical trials the treatment of schizophrenia in the United States, Europe and Japan, meanwhile, is still the United States II Adult ADHD clinical trials.
Otsuka Pharmaceutical Co., Ltd. are disclosed in PCT Application WO2006112464A1 in the preparation route Bray prazosin, see Scheme 1, the difficulty of the route is the first step in the reaction by-products easily separated by column chromatography is not easy to obtain high-purity intermediates, thus affecting the final product Bray prazosin purity and yield.
Scheme 1:
Subsequently, Otsuka Pharmaceutical Co., Ltd. are disclosed in PCT Application WO2013015456A1 in the alternative method of preparing the reaction of this step, see Scheme 2, along the route of the reagents are more expensive, high-cost, environmentally unfriendly and not suitable for industrial production.
Reaction Scheme 2:
Due to the above production process there is a high cost, and difficult to separate impurities and other shortcomings, it is necessary to find an economical, practical, environmental protection, new routes to improve process stability, reduce costs, improve product quality.
DISCLOSURE
In response to these deficiencies, an object of the present invention is to provide a new, simple operation, high yield, low cost, environmentally friendly and suitable for industrial mass production Bray prazosin and the like, key intermediates and preparing a salt thereof.
Another object of the present invention is to provide novel compounds and salts thereof of the manufacturing process.
To achieve the above objects, the present invention provides compounds of formula I, the structure is as follows:
Wherein, R is C1 ~ C6 straight or branched chain alkyl, benzyl; preferably, R is C1 ~ C4 straight or branched chain alkyl group; most preferably, R is methyl, ethyl, t-butyl group;
R 1 is acyl amino-protecting groups (e.g. formyl ( ), an acetyl group, a propionyl group, a benzoyl group, haloacetyl group, phthaloyl) or class alkoxycarbonyl amino-protecting group (e.g. t-butoxycarbonyl , benzyloxycarbonyl, 9-fluorenyl methoxy carbonyl); said haloacetyl group is a fluorinated acetyl, bromoacetyl, chloroacetyl or iodoacetyl group; preferably, R 1 is formyl, acetyl and tert-butoxycarbonyl groups;
The present invention also provides a method for preparing a compound of formula I, the compound of formula II with a thioglycolate as shown in the reaction, the compound, the method shown in Formula I as shown in Scheme 3,
Reaction Scheme 3:
Wherein, X is halogen, such as fluorine, chlorine, bromine, iodine; R and R 1 are as defined above, the compound of formula I as defined the same;
The above reaction in the presence of a base, in particular, is an inorganic base (e.g. sodium hydroxide, potassium hydroxide, strontium hydroxide, lithium hydroxide, barium hydroxide, calcium hydroxide, cesium hydroxide, sodium hydrogen carbonate, potassium bicarbonate, potassium carbonate, sodium carbonate, strontium carbonate, cesium carbonate, sodium sulfide, sodium hydroxide, etc.) or an organic base (e.g. sodium alkoxide, potassium alkoxide, butyl lithium, 1,8-diazabicyclo [5,4 0] undecene -7 (DBU), pyridine, quinoline, 4-dimethylaminopyridine (DMAP) or an organic amine, etc.) performed in the presence of, wherein the sodium alkoxide may be sodium methoxide, sodium ethoxide, propoxy sodium alkoxide, sodium isopropoxide, n-butoxide, sodium tert-butoxide and the like; may be the potassium alkoxide, potassium methoxide, potassium ethoxide, potassium-propanol, potassium isopropoxide, n-butoxide, potassium tert-butoxide , the organic amine may be triethylamine, diethylamine, n-butylamine, tripropylamine, diisopropylamine, diisopropylethylamine, etc., preferably, the base may be an inorganic alkali sodium hydroxide, potassium hydroxide, lithium hydroxide, sodium hydrogencarbonate, potassium hydrogencarbonate, potassium carbonate, sodium carbonate, strontium carbonate, sodium sulfide, sodium hydroxide, or organic bases as sodium methoxide, sodium ethoxide, tert-butoxide potassium, triethylamine, diethylamine, diisopropylamine or diisopropylethylamine;
The above reaction is carried out in a suitable solvent, the solvent is water, C 1 ~ C 5 lower alcohol (such as methanol, ethanol, n-propanol, isopropanol, n-butanol, isobutanol, tert-butanol, n-amyl alcohol, amyl alcohol, ethylene glycol, propylene glycol, glycerol), N, N- dimethylformamide (DMF), dimethyl sulfoxide (DMSO), tetrahydrofuran (THF), acetonitrile, dioxane, N- methylpyrrolidone, methylene chloride, chloroform, ethylene glycol dimethyl ether, diethylene glycol dimethyl ether or ethylene glycol monomethyl ether, and the like, one or more, preferably, the solvent is water , methanol, ethanol, N, N- dimethylformamide (DMF), dimethylsulfoxide (DMSO), tetrahydrofuran (THF), acetonitrile, dioxane or ethylene glycol dimethyl ether or a species; the reaction time from 1 hour to 24 hours, preferably 2 hours to 12 hours. The reaction temperature is 0 ℃ ~ 150 ℃, preferably room temperature ~ 100 ℃.
To achieve the above object, the present invention also provides a compound of formula III, is structured as follows:
Wherein, R 1 is acyl amino protecting groups (e.g. formyl, acetyl, propionyl, benzoyl, halo acetyl, phthaloyl) or class alkoxycarbonyl amino-protecting group (e.g. t-butoxycarbonyl , benzyloxycarbonyl, 9-fluorenyl methoxycarbonyl), said haloacetyl group is a fluorinated acetyl, bromoacetyl, chloroacetyl or iodoacetyl;
Preferably, R 1 is formyl, acetyl or t-butoxycarbonyl;
The present invention also provides a method of preparing compounds of Formula III are shown, thioglycolic acid compound and reacting compound of formula III as shown in the method shown by the formula II as shown in Scheme 4,
Scheme 4:
Wherein, X is fluorine, chlorine, bromine or iodine; R 1 as defined above, with a compound of formula I as defined the same;
Bray prazosin (Brexpiprazole, code: OPC-34712) is Otsuka Pharmaceutical Co., Ltd. developed a new generation of anti-psychotic drug candidates that act on more than one receptor, dopamine D2 receptor partial agonist (improving positive and negative symptoms, cognitive impairment and depressive symptoms), 5-HT2A receptor antagonist (improving negative symptoms, cognitive dysfunction, symptoms of depression, insomnia), α1 adrenoceptor antagonists (improving positive symptoms of schizophrenia), 5 – serotonin uptake / reuptake inhibitors (symptoms of depression); at the same time, but also a 5-HT1A partial agonist (anxiolytic and antidepressant activity) and 5-HT7 antagonist (temperature, circadian rhythms, learning and memory, sleep) . Currently, in the United States and Europe as an adjunctive treatment of severe depression (MDD) Phase III clinical trials; III clinical trials the treatment of schizophrenia in the United States, Europe and Japan, meanwhile, is still the United States II Adult ADHD clinical trials.
Scheme 5:

 

Wherein, X is fluorine, chlorine, bromine or iodine; R 1 are the same as defined in the compounds illustrated and R are as defined above for formula I. The present invention also provides processes for preparing key intermediates Bray prazosin or a salt thereof, the method as shown in Scheme 6:
Scheme 6:
14- (3-chloro-2-carboxaldehyde-phenyl-1 -) – Reference Example Synthesis of piperazine-1-carboxylic acid tert-butyl ester
A mixture of 2-chloro-6-fluorobenzaldehyde (500mg, 3.15mmol), piperazine-1-carboxylate (646mg, 3.47mmol) was dissolved in N, N- dimethylformamide (5mL), and nitrogen at, at room temperature was added potassium carbonate (2.18g, 15.77mmol), the mixture was stirred for 4 hours at 80 ℃, cooled and filtered, water (20mL), ethyl acetate (3 × 5mL) was extracted, dried over anhydrous sodium sulfate, filtered The desiccant was concentrated to give a solid, after with petroleum ether (50mL) beating 1h, filtered to give a pale yellow solid (750mg, 75% yield).
1 HNMR (400 MHz, CDCl 3 ): δ10.37 (s, 1H), 7.40 (t, 1H), 7.01 (d, 1H), 6.99 (d, 1H), 3.20 (m, 4H), 3.00 (s, 4H), 1.47 (s, 9H) ESI: [M + 1] + = 325.8.
Reference Example 21- carboxylic acid (3-chloro-2-carboxaldehyde-phenyl-1 -) – -4- piperazine

 

A mixture of 2-chloro-6-fluorobenzaldehyde (500mg, 3.15mmol), 1- formyl piperazine (396mg, 3.47mmol) was dissolved in DMF (5mL), and under nitrogen at room temperature was added potassium carbonate (2.18g, 15.77mmol). The mixture was stirred for 4 hours at 80 ℃, cooled water (20mL), ethyl acetate (3 × 5mL) was extracted, dried over anhydrous sodium sulfate, and concentrated to give a solid with petroleum ether (50mL) After beating 1h, filtered to give a pale yellow solid (588mg, yield 70%).
1 HNMR (400 MHz, CDCl 3 ): [delta] 10.45 (s, 1H), 8.13 (s, 1H), 7.44 (t, 1H), 7.18 (d, 1H), 7.02 (d, 1H), 3.80 (s, 2H), 36.4 (s, 2H), 3.10 (m, 4H) ESI: [M + 1] + = 253.1.
Acetyl-31- (3-chloro-2-carboxaldehyde-phenyl-1 -) – 4- Reference piperazine
A mixture of 2-chloro-6-fluorobenzaldehyde (500mg, 3.15mmol), 1- acetyl-piperazine (444mg, 3.47mmol) was dissolved in DMF (5mL), and under nitrogen at room temperature was added potassium carbonate (2.18g, 15.77 mmol), the mixture was stirred at 80 ℃ 4 hours, cooled and filtered, water (20mL), ethyl acetate (3 × 5mL) was extracted, dried over anhydrous sodium sulfate, and concentrated to give a solid, after with petroleum ether (50mL) beating 1h, filtered to give a pale yellow solid (588mg, yield 70%).
1 HNMR (400 MHz, CDCl 3 ): [delta] 10.44 (s, 1H), 7.44 (t, 1H), 7.17 (d, 1H), 7.03 (d, 1H), 3.79 (bs, 4H), 3.10 (m, 4H), 2.18 (s, 3H) ESI: [M + 1] + = 267.1.
Piperazine-1-carboxylic acid tert-butyl ester – 14- (2-ethoxycarbonyl phenyl and thien-4-yl) Example
Under nitrogen, to N, was added the product (1.0g, 3.08mmol) of Reference Example 1 N- dimethylformamide (5mL) at room temperature within, ethyl thioglycolate (388mg, 3.20mmol), potassium carbonate (1.38 g, 10mmol), the mixture was stirred for 4 hours at 80 ℃, cooled and filtered, water (20mL), ethyl acetate (3x5mL) was extracted, dried over anhydrous sodium sulfate, the drying agent filtered, and concentrated to give a solid with petroleum ether (50mL ) after beating 1h, filtered to give a pale yellow solid (900mg, 75% yield).
1 HNMR (400 MHz, CDCl 3 ): [delta] 8.40 (s, 1H), 7.58 (d, 1H), 7.37 (t, 1H), 6.95 (d, 1H), 4.44 (q, 2H), 3.64 (m, 4H), 3.15 (m, 4H) ESI: [M + 1] + = 391.1.
Example 24- (2-carboxy-benzothiophen-4-yl) – piperazine-1-carboxylate Synthesis of
Of the product (1.0g, 2.5mmol) in Example 1 was dissolved into 1,4-dioxane (5mL), was added 4N aqueous sodium hydroxide solution (1.8mL, 7.2mmol), the mixture was stirred for 3h at 80 ℃, cooled to room temperature, water (5mL) and ethyl acetate (10mL), separated and the aqueous phase with 1N HCl at 0 ℃ pH was adjusted to about 4.0, the resulting solid was filtered, dried to give a pale yellow solid.
1 HNMR (400 MHz, DMSO-d 6 ): [delta] 7.98 (s, 1H), 7.64 (d, 1H), 7.42 (t, 1H), 6.95 (d, 1H), 3.53 (bs, 4H), 3.035 ( bs, 4H) ESI: [M-1] = 361.1.
34- (benzothiophen-4-yl) Example – Synthesis of piperazine-1-carboxylic acid tert-butyl ester
The product of Example 2 (20g, 54mmol) will be implemented, cuprous oxide (1g, 7mmol) was dissolved in quinoline (50mL) inside, heated to 140 ℃ overnight. After cooling and filtration, the filtrate was added water, extracted with ethyl acetate, the organic phase was washed with 1N HCl to slightly acidic, saturated aqueous sodium bicarbonate solution, purified by silica gel column chromatography, the concentrated solid slurried with petroleum ether to give an off-white solid (13g, yield 70%).
1 HNMR (400 MHz, CDCl 3 ): [delta] 7.57 (d, 1H), 7.41 (s, 2H), 7.27 (t, 1H), 6.88 (d, 1H), 3.66 (m, 4H), 3.01 (m, 4H), 1.50 (s, 9H) ESI: [M + 1] + = 319.1.
44- (benzothiophene-4-yl) Example – Synthesis of piperazine-1-carboxylic acid tert-butyl ester
The product of Example 2 (500mg, 1.35mmol) will be implemented, silver carbonate (40mg, 0.135mmol) and acetic acid (8mg) was dissolved in dimethylsulfoxide (5mL) inside, heated to 120 ℃, the reaction overnight, cooled and filtered, and the filtrate Water was added, extracted with ethyl acetate, and concentrated by column chromatography to obtain the target substance.
1 HNMR (400 MHz, CDCl 3 ): [delta] 7.57 (d, 1H), 7.41 (s, 2H), 7.27 (t, 1H), 6.88 (d, 1H), 3.66 (m, 4H), 3.01 (m, 4H), 1.50 (s, 9H) ESI: [M + 1] + = 319.1.
Piperazine hydrochloride – 51- (benzothiophen-4-yl) Example
At room temperature, the product of Example 3 will be implemented (2g, 6.2mmol) was dissolved in dioxane (6mL) was added 4N HCl / dioxane (6mL), stirred 3h, concentrated to dryness, the residue was beating ethyl acetate, filtered to obtain the target substance (1.3g, 95% yield).
1 HNMR (400 MHz, DMSO-d 6 ): [delta] 9.46 (bs, 2H), 7.75 (d, 1H), 7.69 (d, 1H), 7.53 (t, 1H), 7.31 (t, 1H), 6.97 ( t, 1H), 3.30 (bs, 8H) ESI: [M + 1] + = 219.2.
Example 61- formyl-4- (2-ethoxycarbonyl phenyl and thien-4-yl) – piperazine Synthesis
In N 2 protected, at room temperature was added the product of Reference Example 2 to DMF (5mL) inside (1.0g, 3.7mmol), ethyl thioglycolate (410mg, 3.80mmol), potassium carbonate (1.38g, 10mmol), the mixture 80 ℃ stirred for 4 hours. Cooling water was added (20mL), ethyl acetate (3 × 5mL) was extracted, dried over anhydrous sodium sulfate, and concentrated to give a solid with petroleum ether (50mL) After beating 1h, filtered to give a pale yellow solid (1.0 g, yield 83%).
1 HNMR (400 MHz, CDCl3): [delta] 8.15 (d, 2H), 7.59 (d, 1H), 7.41 (t, 1H), 6.94 (d, 1H), 4.44 (q, 2H), 3.85 (t, 2H ), 3.68 (t, 2H), 3.21-3.15 (m, 4H), 1.44 (t, 3H) ESI: [M + 1] + = 319.1.

Example 71- formyl-4- (2-carboxy-benzothiophen-4-yl) – piperazine

The product (1.0g, 3.1mmol) of Example 6 was dissolved in methanol (5mL) and water (2mL) the addition of lithium hydroxide (420mg, 10mmol), the mixture was stirred at room temperature for 5h, was added water (5mL) and acetic acid ethyl ester (10mL), extracted, the aqueous phase was collected, the pH was adjusted to about 4.0 at 0 ℃ with 1N HCl solution, the precipitated solid was filtered and dried to give a pale yellow solid (510mg, 56% yield).
ESI: [M-1] = 289.1.
Example 81- formyl (benzothiophen-4-yl) -4 – piperazine
The product (1.0g, 3.4mmol) Example 7 will be implemented, cuprous oxide (50mg) was dissolved in quinoline (5mL) inside, heated to 140 ℃ overnight. After cooling and filtration, water was added, extracted with ethyl acetate, the organic phase was washed with aqueous 1N HCl to slightly acidic, then with saturated aqueous sodium bicarbonate solution, and concentrated by silica gel column chromatography, the resulting solid was slurried with petroleum ether to give white solid (520mg, 62% yield).
1 HNMR (400 MHz, CDCl 3 ): [delta] 8.15 (s, 1H), 7.62 (d, 1H), 7.42 (m, 2H), 7.31 (t, 1H), 6.04 (d, 1H), 3.82 (t, 2H), 3.63 (t, 2H), 3.19-3.12 (m, 4H) ESI: [M + 1] + = 247.1.
Example 91- (benzothiophen-4-yl) – piperazine hydrochloride
A mixture of the product of Example 8 (500mg) was dissolved in dioxane (2mL) was added 4N HCl / dioxane (3mL), stirred 3h, concentrated to dryness, slurried with ethyl acetate, filtered to give the target (470mg, yield 90%).
1 HNMR (400 MHz, DMSO-d 6 ): [delta] 9.46 (bs, 2H), 7.75 (d, 1H), 7.69 (d, 1H), 7.53 (t, 1H), 7.31 (t, 1H), 6.97 ( t, 1H), 3.30 (bs, 8H) ESI: [M + 1] + = 219.2.
Example 10 1-Acetyl-4- (2-ethoxycarbonyl phenyl and thien-4-yl) – piperazine Synthesis
Under the protection of N2, at room temperature was added the product of Reference Example 3 (1.0g, 3.74mmol) to DMF (5mL) inside, ethyl thioglycolate (388mg, 3.20mmol), potassium carbonate (1.38g, 10mmol), the mixture was 80 ℃ stirred for 4 hours, cooled water was added (20mL), ethyl acetate (3 × 5mL) was extracted, dried over anhydrous sodium sulfate, and concentrated to give a solid with petroleum ether (50mL) beating 1h, filtered to give a pale yellow solid (863mg, yield 70%).
1 HNMR (400 MHz, CDCl 3 ): [delta] 8.17 (s, 1H), 7.60 (d, 1H), 7.42 (t, 1H), 7.01 (d, 1H), 4.44 (q, 2H), 3.94 (br, 2H), 3.80 (br, 2H), 3.21 (br, 4H), 2.19 (s, 3H), 1.44 (t, 3H) ESI: [M + 1] + = 333.3.
Example 11 1-Acetyl-(2-carboxy-benzothiophen-4-yl) -4 – piperazine
The product (1.0g, 3.0mmol) from Example 10 was dissolved in methanol (5mL) and water (2mL) the addition of lithium hydroxide (300mg, 7.2mmol), the mixture was stirred at rt for 3h, water was added (5mL) and ethyl acetate ester (10mL), separated and the aqueous phase was collected, the pH adjusted with aqueous 1N HCl at 0 ℃ to about 4.0, and the precipitated solid was filtered, dried to give a pale yellow solid (820mg, yield 90%).
ESI: [M-1] = 303.1.
Example 12 1-Acetyl-4- (benzothiazol-4-yl) – piperazine
The product of Example 11 (1.0g, 3.2mmol), cuprous oxide (50mg) was dissolved in quinoline (5mL) inside, heated to 140 ℃ overnight. After cooling and filtration, water was added, extracted with ethyl acetate, washed with 1N HCl solution was added to a weak acid, a saturated aqueous solution of sodium bicarbonate, silica gel column chromatography, and concentrated to give a solid slurried with petroleum ether to give a white solid (600mg , yield 70%).
1 HNMR (400 MHz, DMSO-d 6 ): [delta] 7.95 (s, 1H), 7.65 (d, 1H), 7.41 (t, 1H) 6.95 (d, 1H), 3.69 (q, 4H), 3.10 (t , 2H), 3.02 (t, 2H), 2.06 (s, 3H) ESI: [M + 1] + = 261.1.
EXAMPLE 131- (benzothiophen-4-yl) – piperazine hydrochloride
A mixture of the product of Example 12 (1g, 3.8mmol) was dissolved in dioxane (6mL) was added 4N HCl / dioxane (6mL), stirred 3h, concentrated dry, with ethyl beating, filtered to give the product (870mg, yield 90%).
1 HNMR (400 MHz, DMSO-d 6 ): [delta] 9.46 (bs, 2H), 7.75 (d, 1H), 7.69 (d, 1H), 7.53 (t, 1H), 7.31 (t, 1H), 6.97 ( t, 1H), 3.30 (bs, 8H) ESI: [M + 1] + = 219.2.
141- (benzothiophen-4-yl) Example – piperazine

The product of (500mg, 1.38mmol) of Example 2 was dissolved in quinoline (3mL) the addition of cuprous oxide (20mg), the reaction temperature was raised to 140 ℃ After 2h, the reaction continues to heat up to 240 ℃ 3h, cooled to room temperature, filtered , water was added, extracted with ethyl acetate, washed with saturated aqueous sodium bicarbonate, silica gel column chromatography, and concentrated to give the desired product. 1 HNMR (300 MHz, DMSO-d 6 ): [delta] 8.74 (bs, 1H), 7.75 (d, 1H), 7.69 (d, 1H), 7.51 (d, 1H), 7.31 (t, 1H), 6.95 ( d, 1H), 3.24 (m, 8H) ESI: [M + 1] + = 219.2.

Example 15 7- [4- (2-carboxy-4-yl-benzothiophene-1-piperazinyl) butoxy] -3,4-dihydro -2 (1H) – quinolinone Preparation of

7- [4- (2-ethoxycarbonyl-4-phenyl and thienyl-1-piperazinyl) butoxy] -3,4-dihydro -2 (1H) – quinolinone (300mg, 0.59 mmol) was dissolved in methanol (3mL) and water (1mL) was added lithium hydroxide (76mg, 1.8mmol), stirred at rt for 3h, ethyl acetate was added, the aqueous phase was adjusted with 1N dilute hydrochloric acid to about pH 4.0, using bis dichloromethane: methanol (10: 1) extraction, concentration did a white solid (210mg, 46% yield).

1 HNMR (400 MHz, DMSO-d 6 ): [delta] 10.01 (s, 1H), 7.88 (s, 1H), 7.61 (d, 1H), 7.38 (t, 1H), 7.03 (q, 1H), 6.93 ( d, 1H), 6.48 (m, 2H), 3.92 (m, 4H), 3.35 (s, 4H), 2.84 (s, 4H), 2.77 (s, 2H), 2.62 (s, 2H), 1.72 (m , 4H), ESI: [M-1] = 478.3.

EXAMPLE 167- [4- (benzothiazol-4-yl-1-piperazinyl) butoxy] -3,4-dihydro -2 (1H) – quinolinone Preparation of

The product (500mg, 1.04mmol) of Example 15 will be implemented, cuprous oxide (50mg) was dissolved in quinoline (5mL) inside, heated to 140 ℃ overnight. After cooling and filtration, water was added, extracted with ethyl acetate, washed with 1N HCl solution was added until pH = 4.0, dichloromethane: methanol (10: 1) extracted, dried over anhydrous sodium sulfate, and silica gel column chromatography to give a solid (320mg , yield 70%).

1 HNMR (400 MHz, DMSO-d 6 ): δ10.00 (s, 1H), 7.69 (d, 1H), 7.61 (d, 1H), 7.40 (d, 1H), 7.27 (t, 1H), 7.04 ( d, 1H), 6.89 (d, 1H), 6.50 (dd, 1H), 6.45 (d, 1H), 3.93 (t, 2H), 3.06 (br, 4H), 2.78 (t, 2H), 2.60 (br , 4H), 2.41 (t, 4H), 1.74 (t, 2H), 1.60 (t, 2H) ESI: [M + 1]+ = 436.3.

Preparation of piperazine-1-carboxylic acid tert-butyl ester – Example 17 4- (2-ethoxycarbonyl phenyl and thien-4-yl)

Under nitrogen at room temperature was added to ethanol (5mL) within the reference product (200mg, 0.62mmol) of Example 1, ethyl mercaptoacetate (0.081ml, 0.74mmol), potassium carbonate (342mg, 2.48mmol), the mixture was 85 ℃ stirred for 18 hours, concentrated, and column chromatography to obtain the target substance (100mg, 42% yield).
1 HNMR (400 MHz, CDCl 3 ): [delta] 8.40 (s, 1H), 7.58 (d, 1H), 7.37 (t, 1H), 6.95 (d, 1H), 4.44 (q, 2H), 3.64 (m, 4H), 3.15 (m, 4H) ESI: [M + 1] + = 391.1.
Preparation of piperazine-1-carboxylic acid tert-butyl ester – Example 18 4- (2-ethoxycarbonyl phenyl and thien-4-yl)
Under nitrogen, was added at room temperature to DMF (5mL) within the reference product (200mg, 0.62mmol) of Example 1, ethyl mercaptoacetate (0.081ml, 0.74mmol), DIPEA (342mg, 2.48mmol), the mixture was at 105 ℃ stirred for 18 hours, 1N HCl solution was added adjust the pH = 7, and extracted with methyl tert-butyl ether, the ether layer was then washed three times with saturated brine, dried over anhydrous sodium sulfate, the drying agent filtered, and concentrated by column chromatography to obtain the target (170mg, yield 71%).
1 HNMR (400 MHz, CDCl 3 ): [delta] 8.40 (s, 1H), 7.58 (d, 1H), 7.37 (t, 1H), 6.95 (d, 1H), 4.44 (q, 2H), 3.64 (m, 4H), 3.15 (m, 4H) ESI: [M + 1] + = 391.1.
Preparation of piperazine-1-carboxylic acid tert-butyl ester – Example 19 4- (2-ethoxycarbonyl phenyl and thien-4-yl)

Under nitrogen at room temperature was added the product of Reference Example 1 to ethanol (5mL) inside (200mg, 0.62mmol), ethyl mercaptoacetate (0.081ml, 0.74mmol), sodium hydroxide (100mg, 2.48mmol), the mixture 85 ℃ stirred for 6 hours, concentrated to column chromatography to obtain the target substance (70mg, 30% yield).

1 HNMR (400 MHz, CDCl 3 ): [delta] 8.40 (s, 1H), 7.58 (d, 1H), 7.37 (t, 1H), 6.95 (d, 1H), 4.44 (q, 2H), 3.64 (m, 4H), 3.15 (m, 4H) ESI: [M + 1] + = 391.1.
Piperazine hydrochloride – (2-carboxy-benzothiophen-4-yl) Example 201-
The product of Example 2 (200mg, 0.55mmol), was dissolved in THF (5mL), concentrated hydrochloric acid (0.5mL), 50 ℃ heated 6h. Cooling, methyl tert-butyl ether (5mL), filtered to give the target (130mg, yield 79%).
1 HNMR (400 MHz, DMSO-d 6 ): [delta] 9.46 (bs, 2H), 8.04 (s, 1H), 7.69 (d, 1H), 7.43 (t, 1H), 7.00 (d, 1H), 3.30 ( bs, 8H) ESI: [M + 1] + = 262.9.
Piperazine hydrochloride – (benzothiophene-4-yl) Example 211-
The product of Example 20 (130mg, 0.43mmol) was added to diphenyl ether (3mL) in, 260 ℃ heating 0.5h. Cooled and filtered to give the object (60mg, 55% yield).
1 HNMR (400 MHz, DMSO-d 6 ): [delta] 9.46 (bs, 2H), 7.75 (d, 1H), 7.69 (d, 1H), 7.53 (t, 1H), 7.31 (t, 1H), 6.97 ( t, 1H), 3.30 (bs, 8H) ESI: [M + 1] + = 219.2.
Preparation of tert-butyl piperazine-1 – Example 224- (2-carboxy-benzothiophen-4-yl)
Under nitrogen, to N, at room temperature was added N- dimethylformamide (5mL) within the reference product (200g, 0.62mmol) of Example 1, thioglycolic acid (114mg, 1.23mmol), sodium methoxide (133mg, 2.45mmol ), and the mixture was stirred at 105 ℃ 18 hours. Cooling, water was added, extracted with ethyl acetate, separated and the aqueous phase was adjusted pH = 5 or so, the precipitated solid was filtered and dried to obtain the target substance (130mg, 58% yield).
1 HNMR (400 MHz, DMSO-d 6 ): [delta] 7.98 (s, 1H), 7.64 (d, 1H), 7.42 (t, 1H), 6.95 (d, 1H), 3.53 (bs, 4H), 3.035 ( bs, 4H) ESI: [M-1] = 361.1.
Preparation of piperazine-1-carboxylic acid tert-butyl ester – (2-carboxy-benzothiophen-4-yl) Example 234-
Under nitrogen, to N, at room temperature was added N- dimethylformamide (5mL) within the reference product (200g, 0.62mmol) of Example 1, thioglycolic acid (114mg, 1.23mmol), sodium hydroxide (99mg, 2.45 mmol), the mixture was stirred at 105 ℃ 18 hours. Cooling, water was added, extracted with ethyl acetate, separated and the aqueous phase was adjusted pH = 5 or so, the precipitated solid was filtered and dried to obtain the target substance (180mg, yield 81%).
1 HNMR (400 MHz, DMSO-d 6 ): [delta] 7.98 (s, 1H), 7.64 (d, 1H), 7.42 (t, 1H), 6.95 (d, 1H), 3.53 (bs, 4H), 3.035 ( bs, 4H) ESI: [M-1] = 361.1.
Example 24 7- [4- (2-ethoxycarbonyl-4-phenyl and thienyl-1-piperazinyl) butoxy] -2 (1H) – quinolinone Preparation of
2-chloro-6- (4- (4 – ((2-oxo-1,2-dihydro-quinolin-7-yl) oxy) butyl) piperazin-1-yl) benzaldehyde (80mg , 0.18mmol) was dissolved in DMF (5mL) was added DIPEA (94mg, 0.73mmol) and ethyl mercaptoacetate (0.024mL, 0.22mmol), 110 ℃ stirred for 16 hours.Cooling, water was added, extracted with ethyl acetate, the ethyl acetate layer was washed with saturated brine, dried over anhydrous sodium sulfate, and silica gel column chromatography to give a solid (40mg, 46% yield).
1 HNMR (400 MHz, DMSO-d 6 ): δ11.69 (s, 1H), 11.24 (s, 1H), 8.09 (s, 1H), 7.81 (d, 1H), 7.74 (d, 1H), 7.57 ( d, 1H), 7.48 (t, 1H), 7.04 (d, 1H), 6.82 (m, 2H), 6.30 (d, 1H), 4.32 (m, 4H), 4.06 (t, 2H), 3.67-3.16 (m, 8H), 1.96 (m, 2H), 1.84 (m, 2H), 1.32 (t, 3H) ESI: [M + 1] + = 506.4.
Example 25 7- [4- (2-carboxy-4-yl-benzothiophene-1-piperazinyl) butoxy] -3,4-dihydro -2 (1H) – quinolinone Preparation of
7- [4- (2-ethoxycarbonyl-4-phenyl and thienyl-1-piperazinyl) butoxy] -3,4-dihydro -2 (1H) – quinolinone (100mg, 0.19 mmol) was dissolved in acetic acid (3mL) and concentrated hydrochloric acid (0.5mL), 100 ℃ stirred for 10 hours. The reaction mixture was poured into ice water, stirred for 10min after filtration, to obtain the target substance (40mg, 43% yield).
1 HNMR (400 MHz, DMSO-d 6 ): [delta] 10.01 (s, 1H), 7.88 (s, 1H), 7.61 (d, 1H), 7.38 (t, 1H), 7.03 (q, 1H), 6.93 ( d, 1H), 6.48 (m, 2H), 3.92 (m, 4H), 3.35 (s, 4H), 2.84 (s, 4H), 2.77 (s, 2H), 2.62 (s, 2H), 1.72 (m , 4H), ESI: [M-1] = 478.3.
Example 26 7- [4- (benzothiazol-4-yl-1-piperazinyl) butoxy] -3,4-dihydro -2 (1H) – quinolinone Preparation of
The product (400mg, 0.83mmol) of Example 25 will be implemented, silver carbonate (46mg, 0.16mmol) was dissolved in DMSO (5mL) and the acetic acid was heated to 120 ℃ overnight. Cooling, water was added, extracted with ethyl acetate, the ethyl acetate layer was washed with saturated aqueous sodium bicarbonate and brine again each wash, dried over anhydrous sodium sulfate, and silica gel column chromatography to give a solid (80mg, yield 22%).
1 HNMR (400 MHz, DMSO-d 6 ): δ10.00 (s, 1H), 7.69 (d, 1H), 7.61 (d, 1H), 7.40 (d, 1H), 7.27 (t, 1H), 7.04 ( d, 1H), 6.89 (d, 1H), 6.50 (dd, 1H), 6.45 (d, 1H), 3.93 (t, 2H), 3.06 (br, 4H), 2.78 (t, 2H), 2.60 (br , 4H), 2.41 (t, 4H), 1.74 (t, 2H), 1.60 (t, 2H) ESI: [M + 1]+ = 436.3.
Example 27 7- [4- (2-carboxy-4-yl-benzothiophene-1-piperazinyl) butoxy] -2 (1H) – quinolinone Preparation of
2-chloro-6- (4- (4 – ((2-oxo-1,2-dihydro-quinolin-7-yl) oxy) butyl) piperazin-1-yl) benzaldehyde (80mg , 0.18mmol) was dissolved in DMF (5mL) was added sodium hydroxide (29mg, 0.73mmol) and thioglycolic acid (0.025mL, 0.36mmol), 120 ℃ stirred for 16 hours. Cooling, water was added, adjusted with 1N HCl aqueous solution is about pH = 5, extracted with ethyl acetate, the ethyl acetate layer was washed with saturated brine, dried over anhydrous sodium sulfate, and silica gel column chromatography to give a solid (40mg, yield 46 %).

ESI: [M + 1] + = 478.0.

Piperazine hydrochloride – (2-carboxy-benzothiophen-4-yl) Example 28 1-
The product of Example 17 (100mg, 0.25mmol) was dissolved in acetic acid (3mL) and concentrated hydrochloric acid (0.5 mL) in, 100 ℃ stirred for 10 hours. The reaction mixture was poured into ice water, stirred for 10min after suction filtration to give the object (38mg, 50% yield).
1 HNMR (400 MHz, DMSO-d 6 ): [delta] 9.46 (bs, 2H), 8.04 (s, 1H), 7.69 (d, 1H), 7.43 (t, 1H), 7.00 (d, 1H), 3.30 ( bs, 8H) ESI: [M + 1] + = 262.9.
uUpdate july 2015

On July 10, the U.S. Food and Drug Administration approved Rexulti (brexpiprazole) tablets to treat adults with schizophrenia and as an add-on treatment to an antidepressant medication to treat adults with major depressive disorder (MDD).

Schizophrenia is a chronic, severe, and disabling brain disorder affecting about one percent of Americans. Typically, symptoms are first seen in adults younger than 30 years of age and include hearing voices; believing other people are reading their minds or controlling their thoughts; and being suspicious or withdrawn.

MDD, commonly referred to as depression, is also a severe and disabling brain disorder characterized by mood changes and other symptoms that interfere with a person’s ability to work, sleep, study, eat, and enjoy once-pleasurable activities. Episodes of depression often recur throughout a person’s lifetime, although some may experience a single occurrence. Other signs and symptoms of MDD include loss of interest in usual activities; significant change in weight or appetite; insomnia or excessive sleeping (hypersomnia); restlessness/pacing (psychomotor agitation); increased fatigue; feelings of guilt or worthlessness; slowed thinking or impaired concentration; and suicide attempts or thoughts of suicide. Not all people with MDD experience the same symptoms.

“Schizophrenia and major depressive disorder can be disabling and can greatly disrupt day-to-day activities,” said Mitchell Mathis, M.D., director of the Division of Psychiatry Products in the FDA’s Center for Drug Evaluation and Research. “Medications affect everyone differently so it is important to have a variety of treatment options available for patients with mental illnesses.”

The effectiveness of Rexulti in treating schizophrenia was evaluated in 1,310 participants in two 6-week clinical trials. Rexulti was shown to reduce the occurrence of symptoms of schizophrenia compared to placebo (inactive tablet).

The effectiveness of Rexulti as an add-on treatment for MDD was evaluated in two 6-week trials that compared Rexulti plus an antidepressant to placebo plus an antidepressant in 1,046 participants for whom an antidepressant alone did not adequately treat their symptoms. The participants taking Rexulti reported fewer symptoms of depression than those taking the placebo.

Rexulti and other drugs used to treat schizophrenia have a Boxed Warning alerting health care professionals about an increased risk of death associated with the off-label use of these drugs to treat behavioral problems in older people with dementia-related psychosis. No drug in this class is approved to treat patients with dementia-related psychosis.

The Boxed Warning also alerts health care professionals and patients to an increased risk of suicidal thinking and behavior in children, adolescents, and young adults taking antidepressants. Patients should be monitored for worsening and emergence of suicidal thoughts and behaviors. Rexulti must be dispensed with a patient Medication Guide that describes important information about the drug’s uses and risks.

The most common side effects reported by participants taking Rexulti in clinical trials included weight gain and an inner sense of restlessness, such as feeling the need to move.

Rexulti is manufactured by Tokyo-based Otsuka Pharmaceutical Company Ltd.

 

update………….

4-Chlorobenzo[b]thiophene a key intermediate in brexpiprazole synthesis

Abstract Image
We established an improved synthetic route to 4-chlorobenzo[b]thiophene, a key intermediate in brexpiprazole synthesis, via a practical decarboxylation process in three steps. Thermal analysis demonstrated that the coexistence of the decarboxylated product with DBU should be avoided and that removal of the product outside the reactor was vital. Our process yields the target compound by distillation under reduced pressure and is safe, highly batch efficient, cost-effective, and high yielding. Furthermore, manufacturing on a pilot scale was also accomplished through our approach.

Figure

4-Chlorobenzo[b]thiophene-2-carboxylic Acid (4)

 4 as a white solid
mp 260 °C.
1H NMR (300 MHz, DMSO-d6) δ 7.54 (d, 1H, J = 11.6, 7.7 Hz), 7.56 (dd, 1H, J = 17.8, 7.7 Hz), 8.03 (d, 1H, J = 0.7 Hz), 8.07 (td, 1H, J = 7.6, 0.9 Hz), 13.19 (brs, 1H).

13C NMR (75 MHz, DMSO-d6) δ 122.21, 125.01, 126.84, 127.99, 128.96, 136.50, 136.57, 142.55, 163.10.

Elemental analysis calcd for C: 50.83%, H: 2.37%, found C: 50.84%, H: 2.21%.

2,3,4,6,7,8,9,10-Octahydropyrimido[1,2-a]azepin-1-ium 4-Chlorobenzo[b]thiophene-2-carboxylate 5

5 as a white solid
Mp 182.5 °C.
1H NMR (300 MHz, CDCl3) δ 1.66 (m, 6H), 1.80–1.75 (m, 2H), 2.98–2.94 (m, 2H), 3.45–3.39 (m, 4H), 3.55–3.51 (m, 2H), 7.31–7.20 (m, 2H), 7.69 (dd, 1H, J = 3.9, 0.6 Hz), 7.97 (s, 1H), 13.19 (brs, 1H).

13C NMR (75 MHz, CDCl3) δ 19.51, 24.03, 26.70, 28.88, 31.99, 38.01, 48.36, 53.94, 121.04, 123.00, 125.17, 126.61, 128.98, 138.21, 142.43, 146.85, 165.91, 167.20.

Elemental analysis calcd for C: 59.25%, H: 5.80%, N: 7.68%, found C: 59.10%, H: 5.44%, N: 7.53%.

4-Chlorobenzo[b]thiophene (2)

1H NMR (300 MHz, CDCl3) δ 7.26 (t, 1H, J = 7.8 Hz), 7.36 (dd, 1H, J = 7.8, 0.9 Hz), 7.50 (d, 1H, J = 5.7 Hz), 7.52 (d, 1H, J = 5.7 Hz), 7.76 (d, 1H, J = 7.8 Hz).

13C NMR (75 MHz, CDCl3) δ 121.12, 122.40, 125.02, 127.43, 128.93, 138.06, 141.07.

Elemental analysis calcd for C: 56.98%, H: 2.99%, found C: 56.76%, H: 2.94%.

SEE

http://pubs.acs.org/doi/abs/10.1021/acs.oprd.5b00340

http://pubs.acs.org/doi/suppl/10.1021/acs.oprd.5b00340/suppl_file/op5b00340_si_001.pdf

Safe and Efficient Decarboxylation Process: A Practical Synthetic Route to 4-Chlorobenzo[b]thiophene

Bulk Pharmaceutical Chemicals Department, Second Tokushima Factory, Production Headquarters, Otsuka Pharmaceutical Co., Ltd., 224-18, Hiraishi Ebisuno, Kawauchi-cho, Tokushima 771-0182, Japan
Org. Process Res. Dev., Article ASAP
DOI: 10.1021/acs.oprd.5b00340

 

Japanese filing for Amgen’s PCSK9 inhibitor Repatha


Amgen has filed its closely watched PCSK9 inhibitor Repatha (evolocumab) in Japan for the treatment of high cholesterol.

Repatha is an investigational fully human monoclonal antibody that inhibits proprotein convertase subtilisin/kexin type 9 (PCSK9), a protein that reduces the liver’s ability to remove low-density lipoprotein cholesterol (LDL-C), or ‘bad’ cholesterol, from the blood.

Evolocumab

Monoclonal antibody
Type Whole antibody
Source Human
Target PCSK9
Clinical data
  • Investigational
Subcutaneous injection
Identifiers
1256937-27-5
C10AX13
Chemical data
Formula C6242H9648N1668O1996S56
141.8 kDa

Evolocumab[1] (also known as compound number AMG-145 or AMG145)[2] is a monoclonal antibody designed for the treatment of hyperlipidemia.[3] Evolocumab is a fully human monoclonal antibody that inhibits proprotein convertase subtilisin/kexin type 9 (PCSK9).

PCSK9 is a protein that targets LDL receptors for degradation and thereby reduces the liver’s ability to remove LDL-C, or “bad” cholesterol, from the blood.

Evolocumab, being developed by Amgen scientists, is designed to bind to PCSK9 and inhibit PCSK9 from binding to LDL receptors on the liver surface. In the absence of PCSK9, there are more LDL receptors on the surface of the liver to remove LDL-C from the blood.

Clinical trials

Two trials have been in progress as at mid-2014:

On 23 January 2014 Amgen announced that the Phase 3 GAUSS-2 (Goal Achievement After Utilizing an Anti-PCSK9 Antibody in Statin Intolerant Subjects-2) trial evaluating evolocumab in patients with high cholesterol who cannot tolerate statins met its co-primary endpoints: the percent reduction from baseline in low-density lipoprotein cholesterol (LDL-C) at week 12 and the mean percent reduction from baseline in LDL-C at weeks 10 and 12. The mean percent reductions in LDL-C, or “bad” cholesterol, compared to ezetimibe were consistent with results observed in the Phase 2 GAUSS study.[4][5]

The GAUSS-2 trial evaluated safety, tolerability and efficacy of evolocumab in 307 patients with high cholesterol who could not tolerate effective doses of at least two different statins due to muscle-related side effects. Patients were randomly assigned to one of four treatment groups: subcutaneous evolocumab 140 mg every two weeks and oral placebo daily; subcutaneous evolocumab 420 mg monthly and oral placebo daily; subcutaneous placebo every two weeks and oral ezetimibe 10 mg daily; or subcutaneous placebo monthly and oral ezetimibe 10 mg daily.

Safety was generally balanced across treatment groups. The most common adverse events (> 5 percent in evolocumab combined group) were headache (7.8 percent evolocumab; 8.8 percent ezetimibe), myalgia (7.8 percent evolocumab; 17.6 percent ezetimibe), pain in extremity (6.8 percent evolocumab; 1.0 percent ezetimibe), and muscle spasms (6.3 percent evolocumab; 3.9 percent ezetimibe).

Cholesterol-lowering treatment with a statin as part of follow-up care can help reduce a patient’s risk after myocardial infarction, ischaemic stroke or TIA.

The FOURIER Phase 3 clinical study http://www.fourierstudy.com/ seeks to find out whether lowering cholesterol by an additional 50% might reduce this risk even further. Several sites in the UK are part of this very large clinical study, lasting up to five years, and it is hoped that the study will help guide future clinical practice.

Evolocumab (also formerly known as AMG145, from Amgen) binds to PCSK9, a natural protein produced by the liver. By binding to PCSK9, evolocumab allows the LDL receptor (a protein present in the liver) to move LDL-cholesterol out of the bloodstream more efficiently. This study is designed to see whether treatment of dyslipidemia with evolocumab in people who have experienced a prior myocardial infarction, ischaemic stroke or TIA, and who are taking a highly effective dose of a statin, reduces the risk of recurring or additional cardiovascular events. Participants in this study have clinically evident cardiovascular disease.

READ AT

https://newdrugapprovals.org/2014/03/19/amgen-drug-evolocumab-hits-endpoint-of-cholesterol-reduction/

MY EARLIER ARTICLE

DR ANTHONY MELVIN CRASTO Ph.DDR ANTHONY CRASTO

https://newdrugapprovals.org/

References

 1

Pierson, Ransdell (17 March 2014). “Amgen drug meets goal for those with high genetic cholesterol”. Associated Press. Retrieved 19 March 2014.

Daiichi partners with AZ to sell Movantik in US…….Pharmatimes, Selina McKee


Naloxegol.svg
Naloxegol
Daiichi partners with AZ to sell Movantik in US 
March 19, 2015

Selina McKee

News editor, Selina McKee

Selina McKee

Qualified from King’s College London with BSc (hons) in Human Biology in 1999 with an interest in medical journalism. Has since held positions as a database analyst managing a portfolio of companies at Evaluate Pharma, and as news editor at Pharma Marketletter. Fluent German speaker, interests include music, piano, reading, astronomy, photography and Formula 1.

Daiichi partners with AZ to sell Movantik in US

AstraZeneca has chosen Daiichi Sankyo to help sell its novel constipation drug Movantik (naloxegol) in the US, as the firm gears up for its launch in April.

First-in-class Movantik was cleared in the US last September for the treatment of opioid-induced constipation in adults with chronic non-cancer pain, for which there is still significant unmet need.

PharmaTimes Magazine and Digital offer a unique blend of news stories, interviews, features, case studies, analysis and comment on the critical issues facing the pharma and healthcare sectors. Our wide editorial lens combined with our editorial philosophy to deliver sharp, informed and entertaining coverage from the perspective of the industry, the payer and the patient, allows PharmaTimes to help kickstart conversations that matter most to our audience of decision makers within pharma and the healthcare profession.PharmaTimes Competitions are a critical facet of our business, providing a unique opportunity for industry to showcase its most talented people in marketing, communications, sales and clinical research. No other competitions offer entrants the chance to compete head-to-head in real-life challenges devised by independent industry and healthcare experts, to test their skill sets against their peers in real time, and receive feedback to ensure the whole experience is a valuable learning process.

 Selina McKee

Selina McKee

Editor, UK News at PharmaTimes

London, United Kingdom
Pharmaceuticals
uk.linkedin.com/pub/selina-mckee/4/174/339/en

Experience

Editor, UK News

PharmaTimes

September 2005 – Present (9 years plus

Company News Editor

Pharma Marketletter

November 2003 – August 2005 (1 year 10 months)

Research Analyst

Evaluate Pharma

March 2000 – January 2003 (2 years 11 months)

Education

King’s College London, U. of London

BSc (Hons) Human Biology

1996 – 1999

PharmaTimes Media Ltd.
8-10 Dryden Street
Covent Garden
London WC2E 9NA

Email: pharma@pharmatimes.com
Telephone: +44 (0)20 7240 6999
Fax: +44 (0)20 7240 4479

Company Registration Number: 09019637

Selina McKee

Map of Dryden St, London WC2E 9NA, UK
Dryden St London WC2E 9NA, UK

Registered in England & Wales at:
PharmaTimes Media Limited
8-10 Dryden Street
Covent Garden
London WC2E 9NA

more………….

LINKEDIN

uk.linkedin.com/pub/selina-mckee/4/174/339/en

Authors – PharmaTimes

Selina McKee. Qualified from King’s College London with BSc (hons) in Human Biology in 1999 with an interest in medical journalism. Has since held positions .

Selina McKee (@PTSelinaMcKee) | Twitter

The latest Tweets from Selina McKee (@PTSelinaMcKee). News Editor for http://t.co/o6l54nzsxb & PharmaTimes Magazine. Also on your mobile. Sussex, UK.

5 Dryden Street, Covent Garden, London. London – , Greater London, WC2

Covent Garden Interior May 2006

covent garden. 2 Dryden Street. London

Dryden Street, London
.
Happy Hands provides domestic cleaning in Covent Garden (WC2) and other districts in London.

6 lakh views on New drug approvals Blog


Flag Counter

https://newdrugapprovals.org/

NEW DRUG APPROVALS

ALL ABOUT DRUGS, LIVE, BY DR ANTHONY MELVIN CRASTO, WORLDDRUGTRACKER, HELPING MILLIONS, 7 MILLION HITS ON GOOGLE, PUSHING BOUNDARIES, ONE LAKH PLUS CONNECTIONS WORLDWIDE, 5 LAKHS PLUS VIEWS ON THIS BLOG IN 203 COUNTRIES

DR ANTHONY MELVIN CRASTO

ANTHONY MELVIN CRASTO
MY BLOGS………

DR ANTHONY MELVIN CRASTO Ph.D

DR ANTHONY CRASTO

https://newdrugapprovals.org/

 

 

ORGANIC SPECTROSCOPY

Read all about Organic Spectroscopy on ORGANIC SPECTROSCOPY INTERNATIONAL

DRUG APPROVALS BY DR ANTHONY MELVIN CRASTO …..FOR BLOG HOME CLICK HERE

Join me on Linkedin

View Anthony Melvin Crasto Ph.D's profile on LinkedIn

Join me on Facebook FACEBOOK

Join me on twitterFollow amcrasto on Twitter

Join me on google plus Googleplus

 amcrasto@gmail.com

vietnam

 

Map of vietnam country.

 

 

 

 

 

 

 

 

 

 

dalat city

hanoi

 

 

 

 

 

 

 

Pleasures of Process Development


milkshake's avatarOrg Prep Daily

BreakingBad

A reflux in 12 molar HCl
Carefully watched for a frothing,
Painstakingly drained from the reactor,
To strip down and scrub off that gross thing.

My bosses, I tried please believe me,
I’m doing my best as you insist,
I’m ashamed of the material I burned through,
I’m ashamed of the deadlines I missed.

But if you could just see the beauty,
These things I could never describe,
These pleasures of process perfection,
This is my one lucky prize.

refrain: Product isolation…

My apologies to Joy Division

View original post

Sri Lankan traditional medicine


Sri Lanka has its own indigenous scheme of traditional medicine (Ayurveda).[1][2] This system has been practised for many centuries in the island nation. The Sri Lankan Ayurvedic tradition is a mixture of the Sinhala traditional medicine, Ayurveda and Siddha systems of India, Unani medicine of Greece through the Arabs, and most importantly, theDesheeya Chikitsa, which is the indigenous medicine of Sri Lanka.

History

Sri Lanka developed its own Ayurvedic system based on a series of prescriptions handed down from generation to generation over a period of 3,000 years. The ancient kings, who were also prominent physicians, sustained its survival and longevity. King Buddhadasa (398 AD), the most influential of these physicians, wrote the Sarartha Sangrahaya, a comprehensive manuscript which Sri Lankan physicians still use today for reference.Map of sri lanka 

  1. Sri Lanka

Ancient inscriptions on rock surfaces reveal that organized medical services have existed within the country for centuries. In fact, Sri Lanka claims to be the first country in the world to have established dedicated hospitals. The Sri Lankan mountain Mihintale still has the ruins of what many believe to be the first hospital in the world. Old hospital sites now attract tourists, who marvel at the beautiful ruins. These places have come to symbolize a traditional sense of healing and care, which was so prevalent at that time.

Historically the Ayurvedic physicians enjoyed a noble position in the country’s social hierarchy due to their royal patronage. From this legacy stems a well-known Sri Lankan saying: “If you can not be a king, become a healer.” Along with Buddhism, the interrelationship between Ayurveda and royalty continues to influence politics in Sri Lanka.

Four systems of traditional medicine have been adopted in Sri Lanka: Ayurveda, Siddha, Unani and Deshiya Chikitsa. The Ayurveda and Deshiya Chikitsa systems use mainly plant and herbal preparations for the treatment of diseases–the former uses about 2000 species, the latter about 500. The plants are used singly or as mixtures.

The traditional systems of medicine have a vast literature, mainly in the form of manuscripts. The principle of the Ayurvedic system is to consider the body as a whole, ailments of different organs not being treated separately as in modern medicine. Similarly, Ayurveda takes into account the actions of the drug in its entirety.

Research therefore must be carried out in hospitals or biological laboratories and not in chemical laboratories where plant extracts are subject inevitably to chemical reactions. Therefore the chemical approach to identify active principles is a complete deviation from the principles of traditional medicine. Research on plants should be carried out for the further development of traditional systems of medicine and not to their detriment.

The threat of extinction of certain species of plants and herbs is stressed, the causes being the destruction of jungles, the greater demand for raw materials for increased manufacture of traditional medicinal preparations, the absence of organised cultivation of medicinal plants, and unscientific harvesting. The compilation of encyclopaedias of plants used in traditional medicine is highly recommended for every country interested in preserving the traditional systems of medicine.

Traditional medicine has been practiced in Sri Lanka for 3,000 years. At present, there are four systems of traditional medical systems in Sri Lanka viz. Ayurveda, Siddha, Unani and Deshiya Chikitsa (Sri Lankan traditional treatment). The most important among them is Ayurveda, which also forms part of the national health services provided by the government of Sri Lanka including separate ministry for Indigenous Medicine. At present, Ayurveda serves a large proportion of the population with one Ayurvedic physician per 3,000 people in Sri Lanka. About 60 to 70% of the rural population relies on traditional and natural medicine for their primary health care. Therefore Herbal drugs are essential components of traditional medical system in Sri Lanka. Sri Lanka is identified as one of the most biologically diverse countries in Asia with about 20% of the area under forest. It has the highest species diversity per unit area in Asia and is one of the mega biodiversity hot spots. Therefore it is an urgent need to rationally utilize medicinal plants for curative purposes with proper maintenance of biodiversity. The government of Sri Lana has taken several initiatives to develop technology for the effective conservation and efficient utilization of medicinal plants, to coordinate research and developmental activities through the Department of Ayurveda, Bandaranayake Memorial Ayurvedic Research Institute and the Institute of Indigenous Medicine – University of Colombo. But lack of funding and some problems and constraints knowledge of herbal medical systems and its applications to cure illnesses has not been effectively explored fully by Sri Lanka. If this happens successfully, Sri Lanka could gain a very significant competitive edge  in the global market, especially in the herbal medical drugs, beauty care and nutraceuticals.

There is a lot of scope for Sri Lanka to achieve higher rank in global market through export of quality products from medicinal and aromatic plants. But Sri Lanka seems to be lagging behind using advanced technology and standardization procedures in herbal products and is ranked lower in the herbal medicine global market share, while China occupies nearly 30% of the global market with high tech issues. Therefore Sri Lanka need to be focused on the quality assurance with multidisciplinary researches with in the country and collaborative works with other high tech used countries. Further Good laboratory practices (GLP) and Good manufacturing practices (GMPs) are also needed to apply for produce good quality medicinal products in Sri Lanka. Without overcoming these entire measures current scenario is not sufficient to increase the global market share of herbal drug industry and herbal medical practice for Sri Lanka.

Pathirage Kamal Perera, Guest invited speaker, Topic: Current scenario of herbal medicine in Sri Lanka, ASSOCHAM , 4th annual Herbal International Summit cum Exhibition on Medicinal & Aromatic Products, Spices and finished products(hi-MAPS) at NSIC, Okhla Industrial Estate, New Delhi on 14 -15 April,2012.

TRAVEL TO SRILANKA……..http://www.kumc.edu/Documents/history%20of%20med/Abeykoon.pdf

Works Cited 1. Waxler-Morrison NE. “Plural Medicine in Sri Lanka: Do Ayurvedic and Western Medical Practices Differ?” 1988. Web. 27 Jan. 2012. . 2. Glynn, J. R. “Factors That Influence Patients in Sri Lanka in Their Choice between Ayurvedic and Western Medicine.” British Medical Journal 291 (1985): 470-72. . 3. Jeyarajah R. “Factors That Influence Patients in Sri Lanka in Their Choice between Ayurvedic and Western Medicine.” 28 Sept. 1985. Web. 27 Jan. 2012. . 4. Ediriweera ER ER. “Clinical Study on the Efficacy of Chandra Kalka with Mahadalu Anupanaya in the Management of Pakshaghata (Hemiplegia).” Jan. 2011. Web. 27 Jan. 2012. . 5. Mano H. “Mechanisms of Blood Glucose-lowering Effect of Aqueous Extract from Stems of Kothala Himbutu (Salacia Reticulata) in the Mouse.” Jan. 2009. Web. 27 Jan. 2012. . 6. Nordstrom CR. “Exploring Pluralism–the Many Faces of Ayurveda.” 1988. Web. 27 Jan. 2012. . 7. Weerasinghe MC. “Paradox in Treatment Seeking: An Experience from Rural Sri Lanka.” Mar. 2011. Web. 27 Jan. 2012. .

The contacts of mentors and other respective sources

Commissioner of western province, Ministry of Indigenous Medicine, Sri Lanka Name- Dr. Nimal Karunasiri, Designation – Commissioner of Western Province, Ministry of Indigenous Medicine Sri Lanka Address- Ministry of Indigenous Medicine, Sri Lanka Contact information- Tel 01194777675679 Email- Nimalskl@gmail.com

National Ayurvedic Medical College and hospitals Name- Dr. R.A. Jayasinghe Designation – Director of indigenous medicine – Rajagiriya Address- National Ayurvedic Medical College, Rajagiriya, Sri Lanka Contact information- Tel +94775412312

National Ayurvedic research center Name- K.D.S. Ranaweera Designation- Professor Address- Institute Bandaranayaka Memorial Research Institute, Navinna, Sri Lanaka Contact information- Tel +942850302 or 333 /0712413537

Licensed Ayurvedic medical practitioners Name- Dr. H.A.M Sriyani Designation- Doctor of Ayurvedic Medicine Institute- Ayurvedic Hospital Address- Minipe Pradeshiya Saba (provincial level hospital), Hasalaka, Sri Lanka Contact information- Tel- 01194772865364

Name- Dr. H.P Jayadasa Designation- Doctor of Ayurvedic Medicine Institute- Gampaha Ayurvedic dispensary Address- 40. A, Rahula Road, Katubadda, Moratuwa, Sri Lanka Contact information- Tel- 01194777551389

Address of the hospital where the shadowing of doctors and interviewing patients will take placeMinipe Pradeshiya Saba (provincial level hospital) Hasalaka

References

  1.  Plunkett, Richard; Ellemor, Brigitte (2003). Sri Lanka. Lonely Planet. p. 174. ISBN 1-74059-423-1.
  2. Petitjean, Patrick; Jami, Catherine; Moulin, Anne + – Marie (1992). Science and Empires. Springer. p. 112. ISBN 0-7923-1518-9.

Sri Lankan traditional medicine

http://www.indigenousmedimini.gov.lk/

Retosiban, GSK221149A


Retosiban structure.svg

Retosiban, GSK221149A

820957-38-8

MW 494.5827, MF C27 H34 N4 O5

Oxytocin antagonist

Threatened pre-term labour

PHASE 3 GSK

UNII-GIE06H28OX, GSK 221149A,  820957-38-8,

(3R,6R)-6-((S)-sec-butyl)-3-(2,3-dihydro-1H-inden-2-yl)-1-((R)-1-(2-methyloxazol-4-yl)-2-morpholino-2-oxoethyl)piperazine-2,5-dione

3(R)-(2,3-Dihydro-1H-inden-2-yl)-1-[1(R)-(2-methyloxazol-4-yl)-2-(4-morpholinyl)-2-oxoethyl]-6(R)-[1(S)-methylpropyl]piperazine-2,5-dione

(3R.6R)-3-(2,3-dihvdro-1 H-inden-2-v0-1 -\( R)-1 -(2-methyl-1 ,3-oxazol-4- yl)-2-(4-morpholinyl)-2-oxoethyll-6-r(1S -1-methylpropyn-2.5- piperazinedione

2,​5-​Piperazinedione, 3-​(2,​3-​dihydro-​1H-​inden-​2-​yl)​-​1-​[(1R)​-​1-​(2-​methyl-​4-​oxazolyl)​-​2-​(4-​morpholinyl)​-​2-​oxoethyl]​-​6-​[(1S)​-​1-​methylpropyl]​-​, (3R,​6R)​-

Morpholine, 4-[(2R)-[(3R,6R)-3-(2,3-dihydro-1H-inden-2-yl)-6-[(1S)-1-methylpropyl]-2,5-dioxo-1-piperazinyl](2-methyl-4-oxazolyl)acetyl]-

Retosiban (GSK-221,149-A)[1][2] is an oral drug which acts as a selective, sub-nanomolar (Ki = 0.65 nM) oxytocin receptor antagonist with >1400-fold selectivity[3] over the related vasopressin receptors and is being developed by GlaxoSmithKline for the treatment of preterm labour.[4][5]

Retosibanis an oxytocin (OT) antagonist in phase III clinical trials at GlaxoSmithKline for the prevention of preterm labor. OT antagonism is widely known to inhibit spontaneous uterine contractions.

Retosiban is a diketopiperazine nonpeptide compound with high potency and selectivity for the OT receptor over vasopressin receptors.

This  candidate has been shown to block oxytocin-induced uterine contractions when administered intravenously and to exhibit oral activity

Preterm labor is a major clinical problem leading to death and disability in newborns and accounts for 10% of all births and causes 70% of all infant mortality and morbidity.(Goldenberg, R. L.; Rouse, D.Prevention of premature birth N. Engl. J. Med. 1998, 339, 313)
Oxytocin (OT) is a potent stimulant of uterine contractions and is responsible for the initiation of labor via the interaction with the OT receptors in the mammalian uterus. OT antagonists have been shown to inhibit uterine contractions and delay preterm delivery. So there is increasing interest in OT antagonists because of their potential application in the prevention of preterm labor.
Although several tocolytics have already been approved in clinical practice, they have harmful maternal or fetal side effects.(Enkin, M.; Kierse, M.; Neilson, J.; Preterm Labour: A Guide to Effective Care in Pregnancy and Childbirth, 3rd ed.; Oxford University Press: Oxford, UK, 2000; pp 211225. )
The first clinically tested OT antagonist atosiban has a much more tolerable side effect profile and has recently been approved for use in Europe.
Atosiban SW.svgATOSIBAN

However, atosiban is a peptide and a mixed OT/vasopressin V1a receptor antagonist that has to be given by iv infusion and is not suitable for long-term maintenance treatment, as it is not orally bioavailable.((a) Bossmar, T.Treatment of preterm labor with the oxytocin and vasopressin antagonist atosiban J. Perinat. Med. 1998, 26, 458– 465

See also,(b) Coomarasamy, A.; Knox, E. M.; Gee, H.; Khan, K. S.Oxytocin antagonists for tocolysis in preterm labour—a systematic review Med. Sci. Monit. 2002, 8, RA268RA273)

Hence there has been considerable interest in overcoming the shortcomings of the peptide OT antagonists by identifying orally active nonpeptide OT antagonists with a higher degree of selectivity toward the vasopressin receptors (V1a, V1b, V2) with good oral bioavailability. Although several templates have been investigated as potential selective OT antagonists, few have achieved the required selectivity for the OT receptor vs the vasopressin receptors combined with the bioavailability and physical chemical properties required for an efficacious oral drug.(Borthwick, A. D.Oral Oxytocin Antagonists J. Med. Chem. 2010, 53, 65256538)
Therefore  the objective was to design a potent, orally active OT antagonist with high levels of selectivity over the vasopressin receptor with good oral bioavailability in humans that would delay labor safely by greater than seven days and with improved infant outcome, as shown by a reduced combined morbidity score.
The most potent of these was the 2,4-difluorophenyl dimethylamide 1, which has good in vitro (pKi = 9.2) and in vivo (IC50 = 227 nM) potency and is 20-fold more potent than atosiban in vitro. Compound 1 also has good pharmacokinetics with bioavailability >50% in both the rat and the dog.
Moreover, it is >500-fold selective over all three human vasopressin receptors (hV1aR, hV2R, and hV1bR) and has an acceptable P450 profile. In addition, it has a satisfactory safety profile in the genotoxicity screens and in the four day oral toxicity test in rats.

RETOSIBAN 106

However, 1 had poor aqueous solubility and high intrinsic clearance in human and cynomolgus monkey liver microsomes, so a compound was required that retained high antagonist potency and excellent pharmacokinetics in animal species seen with 1 but was more soluble and with improved human intrinsic clearance to decrease the risk of low bioavailability in humans.
first approach was to replace the 7-aryl ring with a five-membered heterocycle, which led to the oxazole Retosiban (106) a clinical candidate.(Borthwick, A. D.; Liddle, J.The design of orally bioavailable 2,5 diketopiperazine oxytocin antagonists: from concept to clinical candidate for premature labour Med. Res. Rev. 2011, 31, 576604)
As a backup to 106, an alternative replacement of the 7-aryl ring with a six-membered heterocycle was considered and in this report we describe how we investigated the modification of the 7-aryl ring to the 7(3′-pyridyl) ring and optimized substitution in this ring as well as modifying the isobutyl group to obtain good potency, lower intrinsic clearance in human microsomes, and good pharmacokinetics in animal species.
Barusiban.pngBARUSIBAN

 

L-368,899 structure.pngL-368899

L-371,257 structure.pngL-371257

PAPER

Pyridyl-2,5-diketopiperazines as potent, selective, and orally bioavailable oxytocin antagonists: Synthesis, pharmacokinetics, and in vivo potency
J Med Chem 2012, 55(2): 783

http://pubs.acs.org/doi/abs/10.1021/jm201287w

 PAPER

The discovery of GSK221149A: A potent and selective oxytocin antagonist
Bioorg Med Chem Lett 2008, 18(1): 90

http://www.sciencedirect.com/science/article/pii/S0960894X07013170

Full-size image (4 K)

Full-size image (30 K)

Scheme

Reagents and conditions: (a) triethylamine, MeOH; (b) H2, Pd/C, ethanol/acetic acid; (c) carbonyl diimidazole, CH2Cl2 3 h then acetone/2 N HCl; (d) benzotriazol-1-yloxytripyrrolidinophosphonium hexafluorophosphate, dichloromethane 1 h then morpholine.

GSK221149A and other tertiary amides were prepared in four steps via the Ugi reaction as outlined in Scheme . A 2:1 mixture of diastereoisomers 24 was formed with the desirable (R)-diastereoisomer being the minor product. Hydrogenation of crude 24 furnished the cyclised phenol 25, again enriched with the undesirable (S)-diastereoisomer.

Activation of the mixture 25 with carbonyl diimidazole followed by the addition of 2 N HCl promoted epimerisation at the exocyclic position and yielded the acids 26 with the required (R)-diastereoisomer as the major product.

Acid activation with benzotriazol-1-yloxytripyrrolidinophosphonium hexafluorophosphate followed by the addition of morpholine and subsequent column chromatography yielded homo-chiral GSK221149A.

 

PATENT

WO 2005000840

http://www.google.co.in/patents/EP1641787A1?cl=en

Example 3

(3R.6R)-3-(2,3-dihvdro-1 H-inden-2-v0-1 -\( R)-1 -(2-methyl-1 ,3-oxazol-4- yl)-2-(4-morpholinyl)-2-oxoethyll-6-r(1S -1-methylpropyn-2.5- piperazinedione ( 2R)-[(benzyloxycarbonyl)amino](2,3-dihydro-1 H-inden-2-yl)ethanoic acid (35.84g, 0.110mol) in a 500mL round bottomed flask was treated with 2,2,2-trifluoroethanol (165mL) followed by methanol (55ml) and triethylamine (11.13g, 15.33mL, 0.110mmol) the slurry was stirred for 3.5hrs until dissolution was observed. The solution was then added to (D)- allo Isoleucine methyl ester hydrochloride (20g, .110mol) in a separate flask. The slurry was stirred until dissolution was observed. 2-methyl-4- formyloxazole (12.24g, 0.110mmol) was then added followed by 2- benzyloxyphenylisocynanide (23.04g, 0.110mmol). The dark brown reaction mixture was then stirred at 20-25°C for 24hrs. The solution was then concentrated to a volume of ca. 130mL by distillation at reduced pressure.

The solution was the diluted with dichloromethane (200mL) and washed with water (2 x 200mL). The organic phase was then diluted with N-methyl pyrrolidinone (460mL) was and the dichloromethane removed by stirring at 40°C under vacuum for 2hrs. Acetic acid 46mL) was then added followed by palladium on carbon catalyst (69. Og of 10% Pd wt, 57% water, Johnson Matthey type 87L) and the mixture hydrogenated under balloon pressure of hydrogen with rapid stirring for 2hrs. The reaction mixture was then filtered, washed through with ethyl acetate (960mL) and washed with 3%w/v aq sodium chloride solution (960mL). The biphasic mixture was filtered and the organic phase separated and washed with 3%w/v aq sodium chloride solution (2 x 960mL). The organic solution was then diluted with ethyl acetate (200mL) and concentrated by distillation at atmospheric pressure by distilling out 385mL of solvent. The concentrated solution at 20-25°C was treated with 1 ,1′-carbonyldiimidazoIe (21.46g, 0.132mol) and stirred at 20-25°C for 1 hr then treated with water (290mL) and stirred rapidly at 20-25°C for 24hr. The mixture was allowed to settle and the ethyl acetate layer separated and discarded. The aqueous phase was washed with ethyl acetate (290mL) and the mixture allowed to settle and the aqueous phase was separated and acidified to pH 1-2 by the addition of concentrated hydrochloric acid (18mL).

The aqueous phase was then extracted into ethyl acetate (290mL and then 145mL). The combined ethyl acetate solution was then concentrated by distillation at atmospheric pressure to a volume of ca. 93mL. This solution was then diluted with tetrahydrofuran (62mL) and treated with triethylamine (11.02g, 15.20mL, 0.109mol) and cooled to -78°C. The solution was then treated with trimethylacetyl chloride (4.81 g, 4.92mL, 39.90mmol) and stirred at – 78°C for 7hr. The reaction mixture was then treated with a solution of morpholine (15.82g, 15.83mL, 0.181 mol) in tetrahydrofuran (23mL) and stirred at -78°C for 1hr 20mins before being allowed to warm to 20-25°C. The solution was then diluted with ethyl acetate (76mL) and washed with saturated aqueous sodium bicarbonate solution (2 x 153mL) followed by water (153mL). The organic solution was then diluted with ethyl acetate (54mL) and distilled down to a volume of 69mL at atmospheric pressure. The solution was then cooled to 20-25°C at which point crystallisation of the title compound occurred. The slurry of was then cooled further to 0°C before the title compound was isolated by filtration and sucked dry. Yield 8.92g.

 SYN WILL BE UPDATED.. ……………KEEP WATCHING

References

  • 1  Liddle J, Allen MJ, Borthwick AD, Brooks DP, Davies DE, Edwards RM, Exall AM, Hamlett C, Irving WR, Mason, AM, McCafferty GP, Nerozzi F, Peace S, Philp J, Pollard D, Pullen MA, Shabbir SS, Sollis SL, Westfall TD, Woollard PM, Wu C, Hickey DM (January 2008). “The discovery of GSK221149A: A potent and selective oxytocin antagonist”. Bioorganic & Medicinal Chemistry Letters 18 (1): 90–94. doi:10.1016/j.bmcl.2007.11.008. PMID 18032036.
  • 2
  • Borthwick, A. D.; Liddle, J. (January 2013). “Retosiban and Epelsiban: Potent and Selective Orally available Oxytocin Antagonists”. In Domling, A. Methods and Principles in Medicinal Chemistry: Protein-Protein Interactions in Drug Discovery. Weinheim: Wiley-VCH. pp. 225–256. ISBN 978-3-527-33107-9.
  • 3
  • McCafferty GP, Pullen MA, Wu C, Edwards RM, Allen M.J, Woollard PM, Borthwick AD, Liddle J, Hickey DM, Brooks DP, Westfall TD (March 2007). “Use of a novel and highly selective oxytocin receptor antagonist to characterize uterine contractions in the rat”. American Journal of Physiology – Regulatory, Integrative and Comparative Physiology 293: R299–R305. doi:10.1152/ajpregu.00057.2007. PMID 17395790.
  • 4
  • USAN Council (2007). “Statement on a Nonproprietary Name Adopted by the USAN Council” (PDF).
  • 5  Borthwick AD, Liddle J (July 2011). “The Design of Orally Bioavailable 2,5-Diketopiperazine Oxytocin Antagonists: From Concept to Clinical Candidate for Premature Labour”. Medicinal Research Reviews 31 (4): 576–604. doi:10.1002/med.20193. PMID 20027670.

…………..

OTHER INFO

http://pubs.acs.org/doi/abs/10.1021/jm201287w

Abstract Image

A six-stage stereoselective synthesis of indanyl-7-(3′-pyridyl)-(3R,6R,7R)-2,5-diketopiperazines oxytocin antagonists from indene is described. SAR studies involving mono- and disubstitution in the 3′-pyridyl ring and variation of the 3-isobutyl group gave potent compounds (pKi > 9.0) with good aqueous solubility. Evaluation of the pharmacokinetic profile in the rat, dog, and cynomolgus monkey of those derivatives with low cynomolgus monkey and human intrinsic clearance gave 2′,6′-dimethyl-3′-pyridyl Rsec-butyl morpholine amide Epelsiban (69), a highly potent oxytocin antagonist (pKi = 9.9) with >31000-fold selectivity over all three human vasopressin receptors hV1aR, hV2R, and hV1bR, with no significant P450 inhibition. Epelsiban has low levels of intrinsic clearance against the microsomes of four species, good bioavailability (55%) and comparable potency to atosiban in the rat, but is 100-fold more potent than the latter in vitro and was negative in the genotoxicity screens with a satisfactory oral safety profile in female rats.

EPELSIBAN

(3R,6R)-3-(2,3-Dihydro-1H-inden-2-yl)-1-[(1R)-1-(2,6-dimethyl-3-pyridinyl)-2-(4-morpholinyl)-2-oxoethyl]-6-[(1S)-1-methylpropyl]-2,5-piperazinedione (69)

69 as a white solid (2.4 g, 45%). Recystallisation from ethyl acetate/hexane (1:3) gave colorless needles (75%) mp 140 °C. 1H NMR (CDCl3) δ 7.49 (d, J = 7.8 Hz, 1H, pyridyl-4H), 7.26–7.15 (m, 4H, indanyl-arylH), 7.10 (d, J =8.1 Hz, 1H, pyridyl-5H), 6.68 (s, 1H, NCHpyridyl), 6.49 (d, J = 2.8 Hz, 1H, lactam-NH), 4.10 (dd, J = 10.1 Hz, 4.0 Hz, 1H, NCHindanyl), 4.01 (d, J = 4.5 Hz, NCHsec-butyl), 3.75–2.71 (m, 13H, 8× morpholinyl-H, indanyl-3H, –1H, –2H), 2.62 and 2.58 (2s, 6H, pyridyl-2Me,-6Me), 1.64–1.52 (m, 1H, CHHMe), 0.98–0.79 (m, 2H, CHHMe, CHMeCH2), 0.70 (t, J = 7.1 Hz, 3H, CH2Me), 0.45 (d, J = 6.8 Hz, 3H, CHMe). LCMS m/z 519 (MH+) single component, gradient 2 (tR 2.70 min). HRMS calcd for C30H38N4O4 (MH+) 519.29658, found 519.29667. HPLC: 100% (tR 10.388 min).
To a warm solution of 69 (2.66 g, 5.1 mmol) in acetone (40 mL) was added a solution of benzene sulfonic acid (0.81 g, 5.1 mmol) in acetone (40 mL), and the resulting solution was heated to boiling and allowed to cool to room temperature during 48 h. The resulting crystals were filtered off, air-dried on the filter pad to give the besylate (3.214 g, 92.6%) as white crystals of 69B mp 179–183 °C. 1H NMR (CD3OD) δ 8.30 (d, 1H, J = 8.1 Hz, pyridyl-4H), 7.84–7.80 (m, 2H, PhSO3ortho-H), 7.78 (d, J = 8.3 Hz, 1H, pyridyl-5H), 7.45–7.38 (m, 3H, PhSO3meta-H, para-H), 7.23–7.09 (m, 4H, indanyl-arylH), 6.08 (broad s, 1H, NCHpyridyl), 4.00 (d, J = 4.6 Hz, 1H, NCHsec-butyl), 3.92 (d, J = 9.9 Hz, 1H, NCHindanyl), 3.78–3.39 and 3.14–2.80 (m, 13H, 8× morpholinyl-H, indanyl-3H, –1H, –2H)), 2.79 and 2.78 (2s, 6H, pyridyl-2Me, -6Me), 1.85–1.74 (m, 1H, CHHMe), 1.59–1.48 (m, 1H, CHHMe), 1.15–1.01 (m, 1H, CHMeCH2), 0.92 (d, J = 6.3 Hz, 3H, CHMe), 0.85 (t, J = 7.3 Hz, 3H, CH2Me). LCMS m/z 519 MH+ single components, tR 2.72 min; circular dichroism (CH3CN) λmax 225.4 nm, dE −15.70, E15086; λmax 276 nm, dE 3.82, E5172. HRMS calcd for C30H38N4O4 (MH+) 519.2971, found 519.2972. Anal. (C30H38N4O4·C6H6O3S·3.0H2O) C, H, N, S.

…………..

Updates

Inline image 1

Inline image 2
Inline image 3

ANTHONY MELVIN CRASTO

THANKS AND REGARD’S
DR ANTHONY MELVIN CRASTO Ph.D

amcrasto@gmail.com

MOBILE-+91 9323115463
GLENMARK SCIENTIST ,  INDIA
web link
Retosiban
Retosiban structure.svg
Systematic (IUPAC) name
(3R,6R)-6-[(2S)-butan-2-yl]-3-(2,3-dihydro-1H-inden-2-yl)-1-[(1R)-1-(2-methyl-1,3-oxazol-4-yl)-2-(morpholin-4-yl)-2-oxoethyl]piperazine-2,5-dione
Clinical data
Legal status
  • Non-regulated
Identifiers
CAS number 820957-38-8
ATC code None
PubChem CID 96025669
ChemSpider 23323798
UNII GIE06H28OX
KEGG D08986
Synonyms GSK-221,149-A
Chemical data
Formula C27H34N4O5 
Molecular mass 494.58 g/mol

Dabrafenib mesylate, GSK 2118436, ダブラフェニブ 达拉菲尼, An antineoplastic agent that inhibits BRAF kinase


DABRAFENIB

ダブラフェニブ

达拉菲尼,

1195765-45-7 BASE

1195768-06-9 cas of mesylate

Benzenesulfonamide, N-​[3-​[5-​(2-​amino-​4-​pyrimidinyl)​-​2-​(1,​1-​dimethylethyl)​-​4-​thiazolyl]​-​2-​fluorophenyl]​-​2,​6-​difluoro-

N-{3-[5-(2-Amino-4-pyrimidinyl)-2-(1,1-dimethylethyl)-1,3-thiazol-4-yl]-2-fluorophenyl}-2,6-difluorobenzenesulfonamide

MW 519.56 BASE

MF C23 H20 F3 N5 O2 S2 BASE

  • Dabarefenib
  • Dabrafenib
  • GSK 2118436
  • Tafinlar
  • UNII-QGP4HA4G1B

US FDA APPROVAL….Date of Approval: May 29, 2013

update

Product details
Name
Tafinlar
Agency product number
EMEA/H/C/002604
Active substance
dabrafenib mesilate
International non-proprietary name (INN) or common name
dabrafenib
Therapeutic area (MeSH)
Melanoma
Anatomical therapeutic chemical (ATC) code
L01EC02
Publication details
Marketing-authorisation holder
Novartis Europharm Limited

Date of issue of marketing authorisation valid throughout the European Union
26/08/2013

 An orally bioavailable inhibitor of B-raf (BRAF) protein with potential antineoplastic activity. Dabrafenib selectively binds to and inhibits the activity of B-raf, which may inhibit the proliferation of tumor cells which contain a mutated BRAF gene. B-raf belongs to the the raf/mil family of serine/threonine protein kinases and plays a role in regulating the MAP kinase/ERKs signaling pathway, which may be constitutively activated due to BRAF gene mutations

Dabrafenib (trade name Tafinlar) is a drug for the treatment of cancers associated with a mutated version of the gene BRAF. Dabrafenib acts as an inhibitor of the associated enzyme B-Raf, which plays a role in the regulation of cell growth. Dabrafenib has clinical activity with a manageable safety profile in clinical trials of phase 1 and 2 in patients with BRAF(V600)-mutated metastatic melanoma.[1][2]

The Food and Drug Administration approved dabrafenib as a single agent treatment for patients with BRAF V600E mutation-positive advanced melanoma on May 30, 2013.[3] Clinical trial data demonstrated that resistance to dabrafinib and other BRAF inhibitors occurs within 6 to 7 months.[4] To overcome this resistance, the BRAF inhibitor dabrafenib was combined with the MEK inhibitor trametinib.[4] As a result of this research, on January 8, 2014, the FDA approved the combination of dabrafenib and trametinib for the treatment of patients with BRAF V600E/K-mutant metastatic melanoma.[5]

Inhibitor of BRAF(V600) mutants

Active Ingredient: DABRAFENIB MESYLATE
Dosage Form;Route: CAPSULE;ORAL
Proprietary Name: TAFINLAR
Applicant: GLAXOSMITHKLINE
Strength: EQ 75MG BASE
NDA Application Number: N202806
Product Number: 002
Approval Date: May 29, 2013
Reference Listed Drug Yes
RX/OTC/DISCN: RX

Patent Data

Appl No Prod No Patent No Patent
Expiration
Drug Substance
Claim
Drug Product
Claim
Patent Use
Code
Delist
Requested
N202806 002 7994185 Jan 20, 2030 Y Y U – 1406
N202806 002 8415345 Jan 20, 2030 Y Y U – 1406

Exclusivity Data

NDA Appl No Prod No Exclusivity Code Exclusivity Expiration
N202806 002 I – 678 Jan 8, 2017
N202806 002 ODE Jan 9, 2021
N202806 002 NCE May 29, 2018
N202806 002 ODE May 29, 2020

PDF……http://www.accessdata.fda.gov/drugsatfda_docs/label/2013/202806s000lbl.pdf

TERMS

I 678, TRAMETINIB, IN COMBINATION WITH DABRAFENIB, FOR THE TREATMENT OF PATIENTS WITH UNRESECTABLE OR METASTATIC MELANOMA WITH BRAF V600E OR V600K MUTATIONS AS DETECTED BY AN FDA-APPROVED TEST

ODE ORPHAN DRUG EXCLUSIVITY

NCE NEW CHEMICAL ENTITY

image

Analogs described herein were generally prepared according to Scheme S1. When the desired benzoic acid pre- cursors were unknown, the synthetic scheme began wi th esterification of bromo-acids 15a. Subsequent palladi-um-catalyzed amination witht-butyl carbamate afforded anilino esters15b. After esterification of benzoic acids15, or amination of bromo-esters leading to 15b, the anilino esters were reacted with an arylsulfonyl chloride toform the sulfonamide headgroup. Ester16was then condensed with the lithium anion of 2-chl
oro-4-methylpyrimidine to generate ketone intermediate17. Bromination of17with NBS followed by cyclization withisopropyl ort
-butyl thioamide afforded the desired thiazole core18. The tail was then installed by SNAr dis-placement at the chloropyrimidine in18
with either methanolic ammonia or a primary basicamine to generatethe desired analogues19
.

DABRAFENIB SYNTHESIS

DABRAFENIB ROUTE

WILL BE UPDATED

Inline image 1

Inline image 2

http://www.google.com/patents/WO2011047238A1?cl=en

Method 1 : Compound B (first crystal form) – A/-{3-[5-(2-Amino-4-pyrimidinyl)-2-(1 ,1 dimethylethyl)-1 ,3-thiazol-4-yl]-2-fluorophenyl}-2,6-difluorobenzenesulfonamide

Figure imgf000016_0001

A suspension of A/-{3-[5-(2-chloro-4-pyrimidinyl)-2-(1 ,1 -dimethylethyl)-1 ,3-thiazol-4-yl]- 2-fluorophenyl}-2,6-difluorobenzenesulfonamide (196 mg, 0.364 mmol) and ammonia in methanol 7M (8 ml, 56.0 mmol) was heated in a sealed tube to 90 °C for 24 h. The reaction was diluted with DCM and added silica gel and concentrated. The crude product was chromatographed on silica gel eluting with 100% DCM to 1 :1 [DCM:(9:1 EtOAc:MeOH)]. The clean fractions were concentrated to yield the crude product. The crude product was repurified by reverse phase HPLC (a gradient of acetonitrile:water with 0.1 %TFA in both). The combined clean fractions were concentrated then partitioned between DCM and saturated NaHCO3. The DCM layer was separated and dried over Na2SO4. The title compound, /V-{3-[5-(2-amino-4-pyrimidinyl)-2-(1 ,1 – dimethylethyl)-1 ,3-thiazol-4-yl]-2-fluorophenyl}-2,6-difluorobenzenesulfonamide was obtained (94 mg, 47% yield). 1 H NMR (400 MHz, DMSO-c/6) δ ppm 10.83 (s, 1 H), 7.93 (d, J=5.2 Hz, 1 H), 7.55 – 7.70 (m, 1 H), 7.35 – 7.43 (m, 1 H), 7.31 (t, J=6.3 Hz, 1 H), 7.14 – 7.27 (m, 3 H), 6.70 (s, 2 H), 5.79 (d, J=5.13 Hz, 1 H), 1 .35 (s, 9 H). MS (ESI): 519.9 [M+H]+.

Method 2: Compound B (alternative crystal form) – A/-{3-[5-(2-Amino-4-pyrimidinyl)-2- (1 ,1 -dimethylethyl)-1 ,3-thiazol-4-yl]-2-fluorophenyl}-2,6-difluorobenzenesulfonamide 19.6 mg of A/-{3-[5-(2-Amino-4-pyrimidinyl)-2-(1 ,1 -dimethylethyl)-1 ,3-thiazol-4-yl]-2- fluorophenyl}-2,6-difluorobenzenesulfonamide (may be prepared in accordance with example 58a) was combined with 500 L of ethyl acetate in a 2-mL vial at room temperature. The slurry was temperature-cycled between 0-40°C for 48 hrs. The resulting slurry was allowed to cool to room temperature and the solids were collected by vacuum filtration. The solids were analyzed by Raman, PXRD, DSC/TGA analyses, which indicated a crystal form different from the crystal form resulting from Example 58a, above. Method 3: Compound B (alternative crystal form, large batch) – A/-{3-[5-(2-amino-4- pyrimidinyl)-2-(1 ,1 -dimethylethyl)-1 ,3-thiazol-4-yl]-2-fluorophenyl}-2,6- difluorobenzenesulfonamide

Figure imgf000018_0001

tep A: methyl 3-{[(2,6-difluorophenyl)sulfonyl]amino}-2-fluorobenzoate

Figure imgf000018_0002

Methyl 3-amino-2-fluorobenzoate (50 g, 1 eq) was charged to reactor followed by dichloromethane (250 mL, 5 vol). The contents were stirred and cooled to ~15°C and pyridine (26.2 mL, 1 .1 eq) was added. After addition of the pyridine, the reactor contents were adjusted to ~15°C and the addition of 2,6-diflurorobenzenesulfonyl chloride (39.7 mL, 1 .0 eq) was started via addition funnel. The temperature during addition was kept <25°C. After complete addition, the reactor contents were warmed to 20-25°C and held overnight. Ethyl acetate (150 mL) was added and dichloromethane was removed by distillation. Once distillation was complete, the reaction mixture was then diluted once more with ethyl acetate (5 vol) and concentrated. The reaction mixture was diluted with ethyl acetate (10 vol) and water (4 vol) and the contents heated to 50-55°C with stirring until all solids dissolve. The layers were settled and separated. The organic layer was diluted with water (4 vol) and the contents heated to 50-55° for 20-30 min. The layers were settled and then separated and the ethyl acetate layer was evaporated under reduced pressure to ~3 volumes. Ethyl Acetate (5 vol.) was added and again evaporated under reduced pressure to ~3 volumes.

Cyclohexane (9 vol) was then added to the reactor and the contents were heated to reflux for 30 min then cooled to 0 °C. The solids were filtered and rinsed with cyclohexane (2 x 100 mL). The solids were air dried overnight to obtain methyl 3-{[(2,6- difluorophenyl)sulfonyl]amino}-2-fluorobenzoate (94.1 g, 91 %).

Step B: A/-{3-[(2-chloro-4-pyhmidinyl)acetyl]-2-fluorophenyl}-2,6- difluorobenzenesulfonamide

Figure imgf000019_0001

Methyl 3-{[(2,6-difluorophenyl)sulfonyl]amino}-2-fluorobenzoate (490 g, 1 equiv.), prepared generally in accordance with Step A, above, was dissolved in THF (2.45 L, 5 vols) and stirred and cooled to 0-3 °C. 1 M lithium bis(trimethylsilyl)amide in THF (5.25 L, 3.7 equiv.) solution was charged to the reaction mixture followed addition of 2- chloro-4-methylpyrimidine (238 g, 1 .3 equiv.) in THF (2.45 L, 5 vols). The reaction was then stirred for 1 hr. The reaction was quenched with 4.5M HCI (3.92 L, 8 vols). The aqueous layer (bootom layer) was removed and discarded. The organic layer was concentrated under reduced pressure to ~2L. IPAC (isopropyl acetate) (2.45L) was added to the reaction mixture which was then concentrated to ~2L. IPAC (0.5L) and MTBE (2.45 L) was added and stirred overnight under N2. The solids were filtered. The solids and mother filtrate added back together and stirred for several hours. The solids were filtered and washed with MTBE (~5 vol). The solids were placed in vacuum oven at 50 °C overnight. The solids were dried in vacuum oven at 30 °C over weekend to obtain A/-{3-[(2-chloro-4-pyhmidinyl)acetyl]-2-fluorophenyl}-2,6- difluorobenzenesulfonamide (479 g, 72%).

Step C: A/-{3-[5-(2-chloro-4-pyrimidinyl)-2-(1 ,1 -dimethylethyl)-1 ,3-thiazol-4-yl]-2- fluorophenyl}-2,6-difluorobenzenesulfonamide

Figure imgf000020_0001

To a reactor vessel was charged /V-{3-[(2-chloro-4-pyrimidinyl)acetyl]-2-fluorophenyl}- 2,6-difluorobenzenesulfonamide (30 g, 1 eq) followed by dichloromethane (300 mL). The reaction slurry was cooled to ~10°C and N-bromosuccinimide (“NBS”) (12.09 g, 1 eq) was added in 3 approximately equal portions, stirring for 10-15 minutes between each addition. After the final addition of NBS, the reaction mixture was warmed to ~20°C and stirred for 45 min . Water (5 vol) was then added to the reaction vessel and the mixture was stirred and then the layers separated. Water (5 vol) was again added to the dichloromethane layer and the mixture was stirred and the layers separated. The dichloromethane layers were concentrated to -120 mL. Ethyl acetate (7 vol) was added to the reaction mixture and concentrated to -120 mL. Dimethylacetamide (270 mL) was then added to the reaction mixture and cooled to ~10°C. 2,2- Dimethylpropanethioamide (1 .3 g, 0.5 eq) in 2 equal portions was added to the reactor contents with stirring for ~5 minutes between additions. The reaction was warmed to 20-25 °C. After 45 min, the vessel contents were heated to 75°C and held for 1 .75 hours . The reaction mixture was then cooled to 5°C and water (270 ml) was slowly charged keeping the temperature below 30°C. Ethyl acetate (4 vol) was then charged and the mixture was stirred and layers separated. Ethyl acetate (7 vol) was again charged to the aqueous layer and the contents were stirred and separated. Ethyl acetate (7 vol) was charged again to the aqueous layer and the contents were stirred and separated. The organic layers were combined and washed with water (4 vol) 4 times and stirred overnight at 20-25°C. The organic layers were then concentrated under heat and vacuum to 120 mL. The vessel contents were then heated to 50°C and heptanes (120 mL) were added slowly. After addition of heptanes, the vessel contents were heated to reflux then cooled to 0°C and held for ~2 hrs. The solids were filtered and rinsed with heptanes (2 x 2 vol). The solid product was then dried under vacuum at 30°C to obtain /V-{3-[5-(2-chloro-4-pyrimidinyl)-2-(1 ,1 -dimethylethyl)-1 ,3-thiazol-4-yl]-2- fluorophenyl}-2,6-difluorobenzenesulfonannide (28.8 g, 80%).

Step D: A/-{3-[5-(2-amino-4-pyhmidinyl)-2-(1 ,1 -dimethylethyl)-1 ,3-thiazol-4-yl]-2- fluorophenyl}-2,6-difluorobenzenesulfonannide

In 1 gal pressure reactor, a mixture of A/-{3-[5-(2-chloro-4-pyrinnidinyl)-2-(1 ,1 – dimethylethyl)-1 ,3-thiazol-4-yl]-2-fluorophenyl}-2,6-difluorobenzenesulfonamide (120 g) prepared in accordance with Step C, above, and ammonium hydroxide (28-30%, 2.4 L, 20 vol) was heated in the sealed pressure reactor to 98-103 °C and stirred at this temperature for 2 hours. The reaction was cooled slowly to room temperature (20 °C) and stirred overnight. The solids were filtered and washed with minimum amount of the mother liquor and dried under vacuum. The solids were added to a mixture of EtOAc (15 vol)/ water (2 vol) and heated to complete dissolution at 60-70 °C and the aqueous layer was removed and discarded. The EtOAC layer was charged with water (1 vol) and neutralized with aq. HCI to ~pH 5.4-5.5. and added water (1 vol). The aqueous layer was removed and discarded at 60-70 °C. The organic layer was washed with water (1 vol) at 60-70 °C and the aqueous layer was removed and discarded. The organic layer was filtered at 60 °C and concentrated to 3 volumes. EtOAc (6 vol) was charged into the mixture and heated and stirred at 72 °C for 10 min , then cooled to 20°C and stirred overnight. EtOAc was removed via vacuum distillation to concentrate the reaction mixture to ~3 volumes. The reaction mixture was maintained at ~65-70°C for ~30mins. Product crystals having the same crystal form as those prepared in Example 58b (and preparable by the procedure of Example 58b), above, in heptanes slurry were charged. Heptane (9 vol) was slowly added at 65-70 °C. The slurry was stirred at 65-70 °C for 2- 3 hours and then cooled slowly to 0-5°C. The product was filtered, washed with

EtOAc/heptane (3/1 v/v, 4 vol) and dried at 45°C under vacuum to obtain A/-{3-[5-(2- amino-4-pyrimidinyl)-2-(1 ,1 -dimethylethyl)-1 ,3-thiazol-4-yl]-2-fluorophenyl}-2,6- difluorobenzenesulfonamide (102.3 g, 88%).

Method 4: Compound B (mesylate salt) – A/-{3-[5-(2-amino-4-pyrimidinyl)-2-(1 ,1 – dimethylethyl)-1 ,3-thiazol-4-yl]-2-fluorophenyl}-2,6-difluorobenzenesulfonamide methanesulfonate

Figure imgf000022_0001

To a solution of /V-{3-[5-(2-amino-4-pyrimidinyl)-2-(1 ,1 -dimethylethyl)-1 ,3-thiazol-4-yl]-2- fluorophenyl}-2,6-difluorobenzenesulfonannide (204 mg, 0.393 mmol) in isopropanol (2 ml_), methanesulfonic acid (0.131 ml_, 0.393 mmol) was added and the solution was allowed to stir at room temperature for 3 hours. A white precipitate formed and the slurry was filtered and rinsed with diethyl ether to give the title product as a white crystalline solid (210 mg, 83% yield). 1 H NMR (400 MHz, DMSO-c/6) δ ppm 10.85 (s, 1 H) 7.92 – 8.05 (m, 1 H) 7.56 – 7.72 (m, 1 H) 6.91 – 7.50 (m, 7 H) 5.83 – 5.98 (m, 1 H) 2.18 – 2.32 (m, 3 H) 1 .36 (s, 9 H). MS (ESI): 520.0 [M+H]+.

Method 5: Compound B (alternative mesylate salt embodiment) – A/-{3-[5-(2-amino-4- pyrimidinyl)-2-(1 ,1 -dimethylethyl)-1 ,3-thiazol-4-yl]-2-fluorophenyl}-2,6- difluorobenzenesulfonamide methanesulfonate

A/-{3-[5-(2-amino-4-pyrimidinyl)-2-(1 ,1 -dimethylethyl)-1 ,3-thiazol-4-yl]-2-fluorophenyl}- 2,6-difluorobenzenesulfonamide (as may be prepared according to example 58a) (2.37g, 4.56 mmol) was combined with pre-filtered acetonitrile (5.25 vol, 12.4 ml_). A pre-filtered solution of mesic acid (1 .1 eq., 5.02 mmol, 0.48 g) in H2O (0.75 eq., 1 .78 ml_) was added at 20°C. The temperature of the resulting mixture was raised to 50- 60°C while maintaining a low agitation speed. Once the mixture temperature reached to 50-60°C, a seed slurry of A/-{3-[5-(2-amino-4-pyrimidinyl)-2-(1 ,1 -dimethylethyl)-1 ,3- thiazol-4-yl]-2-fluorophenyl}-2,6-difluorobenzenesulfonamide methanesulfonate (1 .0 %w/w slurried in 0.2 vol of pre-filtered acetonitrile) was added, and the mixture was aged while agitating at a speed fast enough to keep solids from settling at 50-60°C for 2 hr. The mixture was then cooled to 0-5°C at 0.25°C/min and held at 0-5°C for at 6 hr. The mixture was filtered and the wet cake was washed twice with pre-filtered

acetonitrile. The first wash consisted of 14.2 ml (6 vol) pre-filtered acetonitrile and the second wash consisted of 9.5 ml (4 vol) pre-filtered acetonitrile. The wet solid was dried at 50°C under vacuum, yielding 2.39 g (85.1 % yield) of product. Typically, the salts of the present invention are pharmaceutically acceptable salts.

May 29, 2013 — GlaxoSmithKline plc announced today that the U.S. Food and Drug Administration (FDA) has approved Tafinlar (dabrafenib). Tafinlar is indicated as a single-agent oral treatment for unresectable melanoma (melanoma that cannot be removed by surgery) or metastatic melanoma (melanoma which has spread to other parts of the body) in adult patients with BRAF V600E mutation. Tafinlar is not indicated for the treatment of patients with wild-type BRAF melanoma. The mutation must be detected by an FDA-approved test, such as the companion diagnostic assay from bioMérieux S.A., THxID™-BRAF.

Among those with metastatic melanoma, approximately half have a BRAF mutation, which is an abnormal change in a gene that can enable some melanoma tumours to grow and spread

Tafinlar is approved for patients with the BRAF V600E mutation, which accounts for approximately 85 percent of all BRAF V600 mutations in metastatic melanoma.

GSK will be making Tafinlar available for prescription no later than in the early third quarter of 2013.

In 2010, GSK entered a collaboration with bioMérieux to develop a companion diagnostic test to detect BRAF V600 (V600E and V600K) gene mutations found in several cancers, including melanoma. bioMérieux has received FDA pre-market approval of THxID™-BRAF. Currently, it is the only FDA-approved test that detects the V600K mutation.

The primary outcome measure was the estimation of the overall intracranial response rate (OIRR) in each cohort. The OIRR for Cohort A was 18 percent (95% CI: 9.7, 28.2). For Cohort B, the OIRR was also 18 percent (95% CI: 9.9, 30.0). The median duration of response was 4.6 months (95% CI: 2.8, Not Reached) and 4.6 months (95% CI: 1.9, 4.6) in Cohort A and Cohort B, respectively.

Melanoma is the most serious and deadly form of skin cancer. According to statistics from the National Cancer Institute, in 2013 there will be an estimated 9,480 deaths resulting from melanoma in the United States. When melanoma spreads in the body, the disease is called metastatic melanoma.Approximately half of all people with metastatic melanoma have a BRAF mutation, which is an abnormal change in a gene that can enable some melanoma tumours to grow and spread.

One in two patients worldwide with metastatic melanoma is expected to survive for a year after diagnosis, while in the U.S., the five-year survival rate was 16 percent (2003-2009).The median age of a newly diagnosed metastatic melanoma patient is almost a decade younger than other cancers.

Tafinlar (dabrafenib) is now approved for the treatment of adult patients with unresectable or metastatic melanoma with BRAF V600E mutation as detected by an FDA-approved test. Limitation of use: Tafinlar is not recommended for use in patients with wild-type BRAF melanoma.

Tafinlar is not approved or licensed in Europe and may not be approved in other parts of the world for the treatment of patients with BRAF V600 mutation-positive unresectable melanoma or metastatic melanoma.

Dabrafenib mesylate is a kinase inhibitor. The chemical name for dabrafenib mesylate is N-{3-[5-(2-Amino-4-pyrimidinyl)-2-(1,1-dimethylethyl)-1,3-thiazol-4-yl]-2-fluorophenyl}-2,6-difluorobenzene sulfonamide, methanesulfonate salt. It has the molecular formula C23H20F3N5O2S2•CH4O3S and a molecular weight of 615.68. Dabrafenib mesylate has the following chemical structure:

TAFINLAR (dabrafenib) Structural Formula Illustration

Dabrafenib mesylate is a white to slightly colored solid with three pKas: 6.6, 2.2, and -1.5. It is very slightly soluble at pH 1 and practically insoluble above pH 4 in aqueous media.

TAFINLAR (dabrafenib) capsules are supplied as 50-mg and 75-mg capsules for oral administration. Each 50-mg capsule contains 59.25 mg dabrafenib mesylate equivalent to 50 mg of dabrafenib free base. Each 75-mg capsule contains 88.88 mg dabrafenib mesylate equivalent to 75 mg of dabrafenib free base.

The inactive ingredients of TAFINLAR are colloidal silicon dioxide, magnesium stearate, and microcrystalline cellulose. Capsule shells contain hypromellose, red iron oxide (E172), and titanium dioxide (E171).

Dabrafenib mesylate

1195768-06-9 cas of mesylate

N-[3-[5-(2-aminopyrimidin-4-yl)-2-tert-butyl-1,3-thiazol-4-yl]-2-fluorophenyl]-2,6-difluorobenzenesulfonamide;methanesulfonic acid

Chemical structure

Dabrafenib Mesylate (GSK-2118436)

………………….

WO2015003571

达拉菲尼甲磺酸盐的新晶型及其制备方法

https://patentscope.wipo.int/search/en/detail.jsf;jsessionid=A1F1236472ED5D758B64CA11358EBB6C.wapp1nC?docId=WO2015003571&recNum=1&maxRec=&office=&prevFilter=&sortOption=&queryString=&tab=PCTDescription

Deficiencies of the prior art W, the main object of the present invention is to provide as follows has a better stability in an aqueous or aqueous systems Dara Feeney 曱

For purposes of this invention, the present invention provides Dallas Phoenix mesylate Form IV (hereinafter referred to as “Form IV”) and its preparation method. The type IV crystal is a hydrate; preferably each 摩尔达拉菲 Nepal mesylate contains about 1.5 moles of water.

Using Cu- Κα radiation, the crystalline form IV of X-ray powder diffraction pattern at diffraction angles 2Θ of 4.7 ± 0.2 °, 9.2 ± 0.2. , 12.8 ± 0.2. , 13.8 ± 0.2. 15.0 0.2 soil. And 16.3 ± 0.2 ° of the characteristic peaks.

Preferably, the crystalline form IV of the X-ray powder diffraction pattern at diffraction angles 2Θ of 4.7 ± 0.2. , 9.2 ± 0.2. , 12.8 ± 0 · 2. , 13 · 8 ± 0 · 2 o , 15.0 ± 0.2. , 16.3 ± 0 · 2. , 18.0 ± 0.2. , 18 · 6 ± 0.2. , 20 · 6 ± 0.2. , 22.9 ± 0.2 °, 23.8 ± 0.2. And 24.3 ± 0.2. Department characteristic peaks

Form IV of FIG differential scanning calorimetry (DSC) show: sample 151~ 105 ° C there is a large endothermic peak (solvent peak), the sample after dehydration melting range of 132 ~ 148 ° C, then at 200 ° C ~ 245 ° C with a heat transfer crystal peak at 249 ° C and finally melted.

The crystalline form IV has the following advantageous properties:

1) left at room temperature for one month and stable, stable for 1 month at room temperature for -97% RH;

2) known Form I in water suspension was stirred for 15 minutes into the free base monohydrate; and Form IV in water suspension was stirred for 15 minutes remain for 曱 salt Form IV, After stirring overnight converted to the free base monohydrate Form IV described more conducive to maintaining the solubility of the sample is larger than the free base state 曱 sulfonates, Form IV has a better stability in water / aqueous system or sex.

3) 0 to 22 hours compared to the elution amount, any detection points of Form IV of elution volume than the known polymorph I of the elution amount. Description Form IV has a better solubility and bioavailability.

4) 0 to 120 minutes elution amount compared to any detection points of Form IV gum Nang elution volume than the known polymorph I of the dissolution of glue Nang. Description Form IV gum Nang has better dissolution.

The Form IV was prepared using any one of the following methods:

1) The Dallas Feeney known mesylate polymorph I was dissolved in a mixed solution of tetrahydrofuran Yue alcohol, volatile crystallization, and then the precipitated crystals were separated and dried to obtain the Form IV;

The Yue alcohol and tetrahydrofuran in a volume ratio of 0.1 to 100: 1, preferably 0.5~50: 1, more preferably 0.5~5: 1;

2) The Dallas Phoenix Yue sulfonates known polymorph I was dissolved in acetone, volatile crystallization, and the precipitated crystals

Separated, dried, to give the Form IV;

3) The Dallas Phoenix 曱 known polymorph I salt is dissolved in isopropanol, after the addition of polyacrylic acid, volatile crystallization, and then the precipitated crystals were separated and dried to obtain the Form IV;

The polyacrylic acid in an amount of polymorph I of the known amount of 0.1% wt~10% wt, preferably

0.5% wt ~ 10% wt, more preferably 2% wt ~ 5% wt; an average molecular weight of the polyacrylic acid is 2000-5000.

Preparation of the above three methods, the known Dara Feeney 曱 sulfonate polymorph I at room temperature in an amount corresponding to its solubility in a solution of 0.1 to 1 times, preferably 0.5 to 1 times, more preferably 0.8 to 1 times;

The crystallization temperature of room temperature ~ 40 ° C, preferably at room temperature; the crystallization time is 1~14 days, preferably for two days; the dry, you can not vacuum or pressure, the pressure is preferably less than 0.09Mpa; temperature of 30 ° C ~ 120 ° C, preferably 4 (TC ~ 80 ° C, more preferably 40 ° C ~ 60 ° C; for 10 to 72 hours, preferably 10~48 hours, more preferably from 10- 24 hours;

4) The Dallas Phoenix Yue sulfonate polymorph Form II or V is placed to give the Form IV;

The placement of room temperature ~ 40 ° C, preferably room temperature; placement time from 15 minutes to 7 days, preferably

One day;

5) The temperature rise Dara Feeney 曱 sulfonate polymorph II to 120 ° C and then spontaneously cooled to room temperature to obtain the crystalline form

IV;

The preparation of Form I of Preparation Example 1 known

Methods Patent Document WO2009 / 137391 or CN200980126781.6 Example 58a and 58d known polymorph I. Preparation Specifically:

The N- {3- [5- (2- chloro-4-pyrimidinyl) -2- (1,1-Yue-yl-ethyl) -1,3-thiazol-4-yl] – 2-fluorophenyl 2,6-difluorophenyl sulfonamide (196 mg, 0.364mmol) and 7M ammonia in methanol (8ml, 56mmol) was added to a 25 ml autoclave, heated to 90 ° C for 24 hours, TLC showed the starting material the reaction was complete, The reaction system was cooled to room temperature, the solvent was concentrated and the residue was dry column chromatography to obtain N- {3- [5- (2- amino-4-pyrimidinyl) -2- (1,1-dimethylethyl ) -1,3-thiazol-4-yl] -2-fluorophenyl} -2,6-difluorobenzenesulfonamide 90 mg, yield: 45%.

The N- {3- [5- (2- amino-4-pyrimidinyl) -2- (1,1-Yue-yl-ethyl) -1,3-thiazol-4-yl] -2-fluorophenyl 2,6-difluorophenyl sulfonamide (204 mg, 0.393mmol) in isopropanol (2 mL) was added 曱 acid (0.131 ml, 0.393mmol) and the solution was stirred at room temperature for 3 hours. A white precipitate formed and the slurry was filtered and washed with diethyl ether to give N- [3- [5- (2- amino-4-pyrimidinyl) -2- (t-butyl) -4-thiazol-yl] -2-fluoro phenyl] -2,6-difluorobenzenesulfonamide 曱 sulphonates crystalline solid (221 mg, 87% yield) as a white.

1HNM (400MHz, DMSO-d6)5 ppm 10.85(s, lH)7.92-8.05(m, 1H), 7.56-7.72(m, 1H), 6.91-7.50(m, 7H), 5.83-5.98(m, 1H) , 2.18-2.32(m, 3H) , 1.36(s, 9H)。

Preparation of crystal form obtained X-ray powder diffraction pattern shown in Figure 10. Report is consistent with the patent document WO2009 / 137391 or CN200980126781.6.

DSC chart is shown in Fig. Show: Known polymorphs I melt away as 247 ° C~250 ° C.

TGA spectrum shown in Figure 12. Show: decomposition temperature of 261 ° C.

Example 1

Take 10.02 mg polymorph IV (Example 7 Preparation) in 5 ml glass vial, add 0.5 ml of water, ultrasonic resulting suspension stirred at room temperature for 15 minutes, after centrifugation without drying, the present invention is to obtain crystalline form II. The yield was 10.00 mg; 99% yield.

X-ray powder diffraction pattern shown in Figure 6.

TGA pattern shown in Figure 7. Show: Form II at 50 ° C before the weight loss of about 4.6% (about 1.5 water), 50 ° C ~ 155 ° C 1.4% weight loss (about 0.5 water), the decomposition temperature of 287 ° C.

………………….

PATENT

http://www.google.com/patents/WO2009137391A2?cl=en

WO 2009137391

Example 58a: Λ/-{3-r5-(2-Amino-4-pyrimidinylV2-(1.1-dimethylethylV1.3-thiazol-4-yll-2- fluorophenyl}-2,6-difluorobenzenesulfonamide

Following a procedure analogous to the procedure described in Example 51, Step B using Λ/-{3-[5-(2-chloro-4-pyrimidinyl)-2-(1 ,1-dimethylethyl)-1 ,3-thiazol-4-yl]-2- fluorophenyl}-2,6-difluorobenzenesulfonamide (196 mg, 0.364 mmol) and ammonia in methanol 7M (8 ml, 56.0 mmol) and heating to 90 0C for 24 h, the title compound, Λ/-{3- [5-(2-amino-4-pyrimidinyl)-2-(1 ,1-dimethylethyl)-1 ,3-thiazol-4-yl]-2-fluorophenyl}-2,6- difluorobenzenesulfonamide was obtained (94 mg, 47% yield). 1H NMR (400 MHz, DMSO-d6) δ ppm 10.83 (s, 1 H), 7.93 (d, J=5.2 Hz, 1 H), 7.55 – 7.70 (m, 1 H), 7.35 –

7.43 (m, 1 H), 7.31 (t, J=6.3 Hz, 1 H), 7.14 – 7.27 (m, 3 H), 6.70 (s, 2 H), 5.79 (d, J=5.13 Hz, 1 H), 1.35 (s, 9 H). MS (ESI): 519.9 [M+H]+.

Example 58b: Λ/-{3-r5-(2-Amino-4-pyrimidinyl)-2-(1 ,1-dimethylethyl)-1 ,3-thiazol-4-yll-2- fluorophenyl}-2,6-difluorobenzenesulfonamide

19.6 mg of Λ/-{3-[5-(2-Amino-4-pyrimidinyl)-2-(1 ,1-dimethylethyl)-1 ,3-thiazol-4-yl]-2- fluorophenyl}-2,6-difluorobenzenesulfonamide (may be prepared in accordance with example 58a) was combined with 500 μl_ of ethyl acetate in a 2-mL vial at room temperature. The slurry was temperature-cycled between 0-400C for 48 hrs. The resulting slurry was allowed to cool to room temperature and the solids were collected by vacuum filtration. The solids were analyzed by Raman, PXRD, DSC/TGA analyses, which indicated a crystal form different from the crystal form resulting from Example 58a, above. Example 58c: Λ/-{3-r5-(2-amino-4-pyrimidinylV2-(1.1-dimethylethylV1.3-thiazol-4-yll-2- fluorophenyl}-2,6-difluorobenzenesulfonamide

Step A: methyl 3-{[(2,6-difluorophenyl)sulfonyl]amino}-2-fluorobenzoate

Methyl 3-amino-2-fluorobenzoate (50 g, 1 eq) was charged to reactor followed by dichloromethane (250 ml_, 5 vol). The contents were stirred and cooled to ~15°C and pyridine (26.2 ml_, 1.1 eq) was added. After addition of the pyridine, the reactor contents were adjusted to ~15°C and the addition of 2,6-diflurorobenzenesulfonyl chloride (39.7 ml_, 1.0 eq) was started via addition funnel. The temperature during addition was kept <25°C. After complete addition, the reactor contents were warmed to 20-250C and held overnight. Ethyl acetate (150 ml.) was added and dichloromethane was removed by distillation. Once distillation was complete, the reaction mixture was then diluted once more with ethyl acetate (5 vol) and concentrated. The reaction mixture was diluted with ethyl acetate (10 vol) and water (4 vol) and the contents heated to 50- 55°C with stirring until all solids dissolve. The layers were settled and separated.

The organic layer was diluted with water (4 vol) and the contents heated to 50-55° for 20-30 min. The layers were settled and then separated and the ethyl acetate layer was evaporated under reduced pressure to ~3 volumes. Ethyl Acetate (5 vol.) was added and again evaporated under reduced pressure to ~3 volumes. Cyclohexane (9 vol) was then added to the reactor and the contents were heated to reflux for 30 min then cooled to 0 0C. The solids were filtered and rinsed with cyclohexane (2 x 100 ml_). The solids were air dried overnight to obtain methyl 3-{[(2,6-difluorophenyl)sulfonyl]amino}-2- fluorobenzoate (94.1 g, 91 %).

Step B: Λ/-{3-[(2-chloro-4-pyrimidinyl)acetyl]-2-fluorophenyl}-2,6- difluorobenzenesulfonamide

Methyl 3-{[(2,6-difluorophenyl)sulfonyl]amino}-2-fluorobenzoate (490 g, 1 equiv.), prepared generally in accordance with Step A, above, was dissolved in THF (2.45 L, 5 vols) and stirred and cooled to 0-3 0C. 1 M lithium bis(trimethylsilyl)amide in THF (5.25 L, 3.7 equiv.) solution was charged to the reaction mixture followed addition of 2-chloro-4- methylpyrimidine (238 g, 1.3 equiv.) in THF (2.45 L, 5 vols). The reaction was then stirred for 1 hr. The reaction was quenched with 4.5M HCI (3.92 L, 8 vols). The aqueous layer (bootom layer) was removed and discarded.

The organic layer was concentrated under reduced pressure to ~2L. IPAC (isopropyl acetate) (2.45L) was added to the reaction mixture which was then concentrated to ~2L. IPAC (0.5L) and MTBE (2.45 L) was added and stirred overnight under N2. The solids were filtered. The solids and mother filtrate added back together and stirred for several hours. The solids were filtered and washed with MTBE (~5 vol). The solids were placed in vacuum oven at 50 0C overnight. The solids were dried in vacuum oven at 30 0C over weekend to obtain Λ/-{3-[(2-chloro-4-pyrimidinyl)acetyl]-2-fluorophenyl}-2,6- difluorobenzenesulfonamide (479 g, 72%).

Step C: Λ/-{3-[5-(2-chloro-4-pyrimidinyl)-2-(1 ,1-dimethylethyl)-1 ,3-thiazol-4-yl]-2- fluorophenyl}-2,6-difluorobenzenesulfonamide

To a reactor vessel was charged Λ/-{3-[(2-chloro-4-pyrimidinyl)acetyl]-2-fluorophenyl}- 2,6-difluorobenzenesulfonamide (30 g, 1 eq) followed by dichloromethane (300 ml_). The reaction slurry was cooled to ~10°C and N-bromosuccinimide (“NBS”) (12.09 g, 1 eq) was added in 3 approximately equal portions, stirring for 10-15 minutes between each addition. After the final addition of NBS, the reaction mixture was warmed to ~20°C and stirred for 45 min . Water (5 vol) was then added to the reaction vessel and the mixture was stirred and then the layers separated. Water (5 vol) was again added to the dichloromethane layer and the mixture was stirred and the layers separated.

The dichloromethane layers were concentrated to -120 ml_. Ethyl acetate (7 vol) was added to the reaction mixture and concentrated to -120 ml_. Dimethylacetamide (270 ml.) was then added to the reaction mixture and cooled to -1O0C. 2,2-Dimethylpropanethioamide (1.3 g, 0.5 eq) in 2 equal portions was added to the reactor contents with stirring for -5 minutes between additions. The reaction was warmed to 20-25 0C. After 45 min, the vessel contents were heated to 75°C and held for 1.75 hours . The reaction mixture was then cooled to 5°C and water (270 ml) was slowly charged keeping the temperature below 300C. Ethyl acetate (4 vol) was then charged and the mixture was stirred and layers separated. Ethyl acetate (7 vol) was again charged to the aqueous layer and the contents were stirred and separated.

Ethyl acetate (7 vol) was charged again to the aqueous layer and the contents were stirred and separated. The organic layers were combined and washed with water (4 vol) 4 times and stirred overnight at 20-250C. The organic layers were then concentrated under heat and vacuum to 120 ml_. The vessel contents were then heated to 500C and heptanes (120 ml.) were added slowly. After addition of heptanes, the vessel contents were heated to reflux then cooled to 0°C and held for -2 hrs. The solids were filtered and rinsed with heptanes (2 x 2 vol). The solid product was then dried under vacuum at 300C to obtain Λ/-{3-[5-(2-chloro-4-pyrimidinyl)- 2-(1 , 1 -dimethylethyl)-1 ,3-thiazol-4-yl]-2-fluorophenyl}-2,6-difluorobenzenesulfonamide (28.8 g, 80%).

Step D:

Λ/-{3-[5-(2-amino-4-pyrimidinyl)-2-(1 ,1-dimethylethyl)-1 ,3-thiazol-4-yl]-2- fluorophenyl}-2,6-difluorobenzenesulfonamide

In 1 gal pressure reactor, a mixture of Λ/-{3-[5-(2-chloro-4-pyrimidinyl)-2-(1 ,1- dimethylethyl)-1 ,3-thiazol-4-yl]-2-fluorophenyl}-2,6-difluorobenzenesulfonamide (120 g) prepared in accordance with Step C, above, and ammonium hydroxide (28-30%, 2.4 L, 20 vol) was heated in the sealed pressure reactor to 98-103 0C and stirred at this temperature for 2 hours. The reaction was cooled slowly to room temperature (20 0C) and stirred overnight. The solids were filtered and washed with minimum amount of the mother liquor and dried under vacuum. The solids were added to a mixture of EtOAc (15 vol)/ water (2 vol) and heated to complete dissolution at 60-70 0C and the aqueous layer was removed and discarded. The EtOAC layer was charged with water (1 vol) and neutralized with aq. HCI to ~pH 5.4-5.5. and added water (1vol). The aqueous layer was removed and discarded at 60-70 0C.

The organic layer was washed with water (1 vol) at 60-70 0C and the aqueous layer was removed and discarded. The organic layer was filtered at 60 0C and concentrated to 3 volumes. EtOAc (6 vol) was charged into the mixture and heated and stirred at 72 0C for 10 min , then cooled to 2O0C and stirred overnight. EtOAc was removed via vacuum distillation to concentrate the reaction mixture to ~3 volumes.

The reaction mixture was maintained at -65-7O0C for ~30mins. Product crystals having the same crystal form as those prepared in Example 58b (and preparable by the procedure of Example 58b), above, in heptanes slurry were charged. Heptane (9 vol) was slowly added at 65-70 0C. The slurry was stirred at 65-70 0C for 2-3 hours and then cooled slowly to 0-50C. The product was filtered, washed with EtOAc/heptane (3/1 v/v, 4 vol) and dried at 45°C under vacuum to obtain Λ/-{3-[5-(2- amino-4-pyrimidinyl)-2-(1 , 1 -dimethylethyl)-1 ,3-thiazol-4-yl]-2-fluorophenyl}-2,6- difluorobenzenesulfonamide (102.3 g, 88%).

Example 58d:

Λ/-{3-r5-(2-amino-4-pyrimidinvn-2-(1.1-dimethylethylV1.3-thiazol-4-yll-2- fluorophenyl}-2,6-difluorobenzenesulfonamide methanesulfonate

Figure imgf000208_0001 MESYLATE

To a solution of Λ/-{3-[5-(2-amino-4-pyrimidinyl)-2-(1 ,1-dimethylethyl)-1 ,3-thiazol-4-yl]-2- fluorophenyl}-2,6-difluorobenzenesulfonamide (204 mg, 0.393 mmol) in isopropanol (2 ml_), methanesulfonic acid (0.131 ml_, 0.393 mmol) was added and the solution was allowed to stir at room temperature for 3 hours. A white precipitate formed and the slurry was filtered and rinsed with diethyl ether to give the title product as a white crystalline solid (210 mg, 83% yield).

1H NMR (400 MHz, DMSO-d6) δ ppm 10.85 (s, 1 H) 7.92 – 8.05 (m, 1 H) 7.56 – 7.72 (m, 1 H) 6.91 – 7.50 (m, 7 H) 5.83 – 5.98 (m, 1 H) 2.18 – 2.32 (m, 3 H) 1.36 (s, 9 H). MS (ESI): 520.0 [M+H]+.WO2009137391

…………………………………………………………………

PAPER

ACS Medicinal Chemistry Letters (2013), 4(3), 358-362.

ACS Med. Chem. Lett., 2013, 4 (3), pp 358–362
DOI: 10.1021/ml4000063

http://pubs.acs.org/doi/abs/10.1021/ml4000063

Figure
The title compound,N-{3-[5-(2-amino-4-pyrimidinyl)-2-(1,1-dimethylethyl)-1,3-thiazol-4-yl]-2-fluorophenyl}-2,6-difluorobenze
nesulfonamide was obtained (94 mg, 47% yield).
Dabrafenib base
1H NMR
(400 MHz, DMSO-d6) δ ppm 10.83 (s, 1 H), 7.93 (d,J=5.2 Hz, 1 H), 7.55 – 7.70 (m, 1 H), 7.35 – 7.43 (m, 1 H), 7.31(t,J=6.3 Hz, 1 H), 7.14 – 7.27 (m, 3 H), 6.70 (s, 2 H),5.79 (d,J=5.13 Hz, 1 H), 1.35 (s, 9 H).
MS (ESI): 519.9 [M+H]+.
13C NMR (100 MHz, DMSO-d6) δ ppm 182.1, 164.0, 160.6, 159.4, 158.0, 154.9,
152.4, 145.8, 136.6, 135.1, 130.0,
128.4, 125.6, 124.7, 114.1, 113.9, 105.7, 38.3, 31.0.

…………………………………………………………….

Patent

http://www.google.com/patents/WO2014158467A1?cl=en

……………………………………………
WO 2014066606

Step C : N- {3-[5-(2-chloro-4-pyrimidinyl)-2-(l , 1 -dimethylethyl)-l ,3-thiazol-4-yl]- 2-fluorophenyl}-2,6-difluorobenzenesulfonamide

To a reactor vessel was charged N- {3-[(2-chloro-4-pyrimidinyl)acetyl]-2- fluorophenyl}-2,6-difluorobenzenesulfonamide (30 g, 1 eq) followed by dichloromethane (300 mL). The reaction slurry was cooled to ~10°C and N-bromosuccinimide (“NBS”) (12.09 g, 1 eq) was added in 3 approximately equal portions, stirring for 10-15 minutes between each addition. After the final addition of NBS, the reaction mixture was warmed to ~20°C and stirred for 45 min . Water (5 vol) was then added to the reaction vessel and the mixture was stirred and then the layers separated. Water (5 vol) was again added to the dichloromethane layer and the mixture was stirred and the layers separated. The dichloromethane layers were concentrated to -120 mL. Ethyl acetate (7 vol) was added to the reaction mixture and concentrated to -120 mL. Dimethylacetamide (270 mL) was then added to the reaction mixture and cooled to ~10°C. 2,2-Dimethylpropanethioamide (1.3 g, 0.5 eq) in 2 equal portions was added to the reactor contents with stirring for ~5 minutes between additions. The reaction was warmed to 20-25 °C. After 45 min, the vessel contents were heated to 75°C and held for 1.75 hours . The reaction mixture was then cooled to 5°C and water (270 ml) was slowly charged keeping the temperature below 30°C. Ethyl acetate (4 vol) was then charged and the mixture was stirred and layers separated. Ethyl acetate (7 vol) was again charged to the aqueous layer and the contents were stirred and separated. Ethyl acetate (7 vol) was charged again to the aqueous layer and the contents were stirred and separated. The organic layers were combined and washed with water (4 vol) 4 times and stirred overnight at 20-25°C. The organic layers were then concentrated under heat and vacuum to 120 mL. The vessel contents were then heated to 50°C and heptanes (120 mL) were added slowly. After addition of heptanes, the vessel contents were heated to reflux then cooled to 0°C and held for ~2 hrs. The solids were filtered and rinsed with heptanes (2 x 2 vol). The solid product was then dried under vacuum at 30°C to obtain N-{3-[5-(2-chloro-4-pyrimidinyl)-2-(l,l-dimethylethyl)-l,3- thiazol-4-yl]-2-fluorophenyl}-2,6-difluorobenzenesulfonamide (28.8 g, 80%).

Compound B is disclosed and claimed, along with pharmaceutically acceptable salts thereof, as being useful as an inhibitor of BRaf activity, particularly in the treatment of cancer, in PCT patent application PCT/US09/42682. Compound B is embodied by Examples 58a through 58e of the application. The PCT application was published on 12 November 2009 as publication WO2009/137391, and is hereby incorporated by reference.

Suitably, Compound B may be prepared according to the methods below:

Method 1 : Compound B (first crystal form) – N-{3-[5-(2-Amino-4-pyrimidinyl)-2- (1,1 -dimethylethyl)- 1 ,3-thiazol-4-yl]- -fluorophenyl} -2,6-difluorobenzenesulfonamide

A suspension of N-{3-[5-(2-chloro-4-pyrimidinyl)-2-(l,l-dimethylethyl)-l,3- thiazol-4-yl]-2-fluorophenyl}-2,6-difluorobenzenesulfonamide (196 mg, 0.364 mmol) and ammonia in methanol 7M (8 ml, 56.0 mmol) was heated in a sealed tube to 90 °C for 24 h. The reaction was diluted with DCM and added silica gel and concentrated. The crude product was chromatographed on silica gel eluting with 100% DCM to 1 : 1 [DCM: (9: 1 EtOAc:MeOH)]. The clean fractions were concentrated to yield the crude product. The crude product was repurified by reverse phase HPLC (a gradient of acetonitrile: water with 0.1%TFA in both). The combined clean fractions were concentrated then partitioned between DCM and saturated NaHC03. The DCM layer was separated and dried over Na2S04. The title compound, N-{3-[5-(2-amino-4-pyrimidinyl)-2-(l,l-dimethylethyl)- l,3-thiazol-4-yl]-2-fluorophenyl}-2,6-difluorobenzenesulfonamide was obtained (94 mg, 47% yield). 1H NMR (400 MHz, DMSO- 6) δ ppm 10.83 (s, 1 H), 7.93 (d, J=5.2 Hz, 1 H), 7.55 – 7.70 (m, 1 H), 7.35 – 7.43 (m, 1 H), 7.31 (t, J=6.3 Hz, 1 H), 7.14 – 7.27 (m, 3 H), 6.70 (s, 2 H), 5.79 (d, J=5.13 Hz, 1 H), 1.35 (s, 9 H). MS (ESI): 519.9 [M+H]+.

Method 2: Compound B (alternative crystal form) – N-{3-[5-(2-Amino-4- pyrimidinyl)-2-(l,l-dimethylethyl)-l,3-thiazol-4-yl]-2-fluorophenyl}-2,6- difluorobenzenesulfonamide 19.6 mg of N-{3-[5-(2-Amino-4-pyrimidinyl)-2-(l,l- dimethylethyl)- 1 ,3-thiazol-4-yl]-2-fluorophenyl} -2,6-difluorobenzenesulfonamide (may be prepared in accordance with example 58a) was combined with 500 L of ethyl acetate in a 2-mL vial at room temperature. The slurry was temperature-cycled between 0-40°C for 48 hrs. The resulting slurry was allowed to cool to room temperature and the solids were collected by vacuum filtration. The solids were analyzed by Raman, PXRD, DSC/TGA analyses, which indicated a crystal form different from the crystal form resulting from Example 58a, above.

Method 3: Compound B (alternative crystal form, large batch) – N-{3-[5-(2-amino- 4-pyrimidinyl)-2-(l , 1 -dimethylethyl)- 1 ,3-thiazol-4-yl]-2-fluorophenyl} -2,6- difluorobenzenesulfonamide

Step D : N-{3-[5-(2-amino-4-pyrimidinyl)-2-(l,l-dimethylethyl)-l,3-thiazol-4-yl]-

2-fluorophenyl}-2,6-difluorobenzenesulfonamide

In 1 gal pressure reactor, a mixture of N-{3-[5-(2-chloro-4-pyrimidinyl)-2-(l,l- dimethylethyl)- 1 ,3-thiazol-4-yl]-2-fluorophenyl} -2,6-difluorobenzenesulfonamide ( 120 g) prepared in accordance with Step C, above, and ammonium hydroxide (28-30%, 2.4 L, 20 vol) was heated in the sealed pressure reactor to 98-103 °C and stirred at this temperature for 2 hours. The reaction was cooled slowly to room temperature (20 °C) and stirred overnight. The solids were filtered and washed with minimum amount of the mother liquor and dried under vacuum. The solids were added to a mixture of EtOAc (15 vol)/ water (2 vol) and heated to complete dissolution at 60-70 °C and the aqueous layer was removed and discarded. The EtOAC layer was charged with water (1 vol) and neutralized with aq. HC1 to ~pH 5.4-5.5. and added water (lvol). The aqueous layer was removed and discarded at 60-70 °C. The organic layer was washed with water (1 vol) at 60-70 °C and the aqueous layer was removed and discarded. The organic layer was filtered at 60 °C and concentrated to 3 volumes. EtOAc (6 vol) was charged into the mixture and heated and stirred at 72 °C for 10 min , then cooled to 20°C and stirred overnight. EtOAc was removed via vacuum distillation to concentrate the reaction mixture to ~3 volumes. The reaction mixture was maintained at ~65-70°C for ~30mins. Product crystals having the same crystal form as those prepared in Example 58b (and preparable by the procedure of Example 58b), above, in heptanes slurry were charged. Heptane (9 vol) was slowly added at 65-70 °C. The slurry was stirred at 65-70 °C for 2-3 hours and then cooled slowly to 0- 5°C. The product was filtered, washed with EtO Ac/heptane (3/1 v/v, 4 vol) and dried at 45°C under vacuum to obtain N-{3-[5-(2-amino-4-pyrimidinyl)-2-(l,l-dimethylethyl)-l,3- thiazol-4-yl]-2-fluorophenyl}-2,6-difluorobenzenesulfonamide (102.3 g, 88%>).

MESYLATE

Method 4: Compound B (mesylate salt) – N-{3-[5-(2-amino-4-pyrimidinyl)-2-(l,l- dimethylethyl)- 1 ,3-thiazol-4-yl]-2-fluorophenyl} -2,6-difluorobenzenesulfonamide methanesulfonate

To a solution of N-{3-[5-(2-amino-4-pyrimidinyl)-2-(l,l-dimethylethyl)-l,3- thiazol-4-yl]-2-fluorophenyl}-2,6-difluorobenzenesulfonamide (204 mg, 0.393 mmol) in isopropanol (2 mL), methanesulfonic acid (0.131 mL, 0.393 mmol) was added and the solution was allowed to stir at room temperature for 3 hours. A white precipitate formed and the slurry was filtered and rinsed with diethyl ether to give the title product as a white crystalline solid (210 mg, 83% yield). 1H NMR (400 MHz, DMSO- 6) δ ppm 10.85 (s, 1 H) 7.92 – 8.05 (m, 1 H) 7.56 – 7.72 (m, 1 H) 6.91 – 7.50 (m, 7 H) 5.83 – 5.98 (m, 1 H) 2.18 – 2.32 (m, 3 H) 1.36 (s, 9 H). MS (ESI): 520.0 [M+H]+.

Method 5: Compound B (alternative mesylate salt embodiment) – N-{3-[5-(2- amino-4-pyrimidinyl)-2-(l , 1 -dimethylethyl)-l ,3-thiazol-4-yl]-2-fluorophenyl} -2,6- difluorobenzenesulfonamide methanesulfonate

N- {3-[5-(2-amino-4-pyrimidinyl)-2-(l , 1 -dimethylethyl)- 1 ,3-thiazol-4-yl]-2- fluorophenyl}-2,6-difluorobenzenesulfonamide (as may be prepared according to example 58a) (2.37g, 4.56 mmol) was combined with pre-filtered acetonitrile (5.25 vol, 12.4 mL). A pre-filtered solution of mesic acid (1.1 eq., 5.02 mmol, 0.48 g) in H20 (0.75 eq., 1.78 mL) was added at 20°C. The temperature of the resulting mixture was raised to 50-60°C while maintaining a low agitation speed. Once the mixture temperature reached to 50- 60°C, a seed slurry of N-{3-[5-(2-amino-4-pyrimidinyl)-2-(l,l-dimethylethyl)-l,3-thiazol- 4-yl]-2-fluorophenyl}-2,6-difluorobenzenesulfonamide methanesulfonate (1.0 %w/w slurried in 0.2 vol of pre-filtered acetonitrile) was added, and the mixture was aged while agitating at a speed fast enough to keep solids from settling at 50-60°C for 2 hr. The mixture was then cooled to 0-5°C at 0.25°C/min and held at 0-5°C for at 6 hr. The mixture was filtered and the wet cake was washed twice with pre-filtered acetonitrile. The first wash consisted of 14.2 ml (6 vol) pre-filtered acetonitrile and the second wash consisted of 9.5 ml (4 vol) pre-filtered acetonitrile. The wet solid was dried at 50°C under vacuum, yielding 2.39 g (85.1% yield) of product

……………………………………….
WO 2014195852
………………………………………….
WO 2014169770
…………………………………………….
CN 104109159
…………………………………………….
CN 103588767

Dara Phoenix (Dabrafenib) by the British GlaxoSmithKline (GSK) has developed Sisu threonine protein kinase (BRAF) inhibitor, as monotherapy ro ー kinds of clothes capsules for carrying BRAF V600E mutation surgical unresectable melanoma or metastatic melanoma treatment of adult patients, Dara Phoenix mesylate in May 2013 was approved by the US Food and Drug Administration (FDA), and is listed on the United States, the trade name Tafinlar (Da Feina). Since the European Medicines Agency (EMA) Committee for Medicinal Products for human use (CHMP) positive evaluation of Tafinlar, making the drug is expected to become after Roche’s Weiluofeini (Vemurafinib) to enter the European market, following a second BRAF inhibitors.

The chemical name Phoenix Dallas: N- [3- [5- (2- amino-4-pyrimidinyl) -2_ (tert-butyl) ~ ~ thiazol-4-yl] _2_ fluorophenyl] – 2,6_-difluorobenzenesulfonamide.

Figure CN103588767AD00031

World Patent No. W02009137391, No. W02011047238 and W02012148588 number reported Dallas and Phoenix and its medicinal value synthesis method of the composition. According to the structural characteristics of Dara Phoenix and its analogues, the synthesis of such substances currently have A, B and C are three routes.

Figure CN103588767AD00032

  A more common route is the synthetic route, by reaction of 3-amino-2-fluorobenzoate (IX) first and 2,6_-difluorobenzene sulfonyl chloride (III) to amidation reaction occurs sulfonamide intermediate ( X); intermediate (X) with 2-chloro-4-methyl pyrimidine (XI) The condensation reaction occurs under the action of a strong base to give the intermediate (XII); intermediate (XII) to give the intermediate bromo

(XIII); intermediate (XIII) with 2,2_ dimethyl thiopropionamide (VI) to give the cyclized intermediate (XIV); and finally, the intermediate (XIV) by ammonolysis to afford the title compound Dallas Phoenix (I).

Figure CN103588767AD00041

Different [0009] B is the first route by reaction of 3-amino-2-fluorobenzoate (IX) amino group protection, and thus condensation, cyclization, and bromo; then be obtained by deprotection of the amino group and the sulfonamide Intermediate (XIV); similarly, the intermediate

(XIV) obtained by ammonolysis target compound Dara Phoenix (I).

Figure CN103588767AD00042

  c route design features that first aminolysis reaction, and then give the desired product by deprotection and amino sulfonamide reaction. Clearly, this design is suitable for the route of these substituted amino ー aminolysis reaction, and for compounds such as Dallas Phoenix having pyrimidinylamino structure is not applicable. The reason is that if there are two aromatic amino groups will make the final sulfonamide ー reaction step to lose selectivity.

Example IV: the reaction flask was added N- [3- (5- formyl-2-t-butyl-ko -4_ thiazolyl) -2_ fluorophenyl] -2,6_ difluoro benzenesulfonamide (VIII) (5.4g, 11.5mmol), N, N- dimethylformamide dimethyl acetal (DMF-DMA) (2.74g, 23mmol) and xylene 50mL, heated to 140 ° C. About every four hours methanol was distilled out of the resulting reaction system, the reaction takes about 24 hours in total, the end of the reaction was detected by TLC. Cool, add hexane 40mL, have produced a yellow solid, filtered, and dried solids obtained after January nitrate melon (1.36,11.5mmol), sodium hydroxide (0.46g, 11.5mmol) and n-Ding enjoy 5OmL, warmed to 120 ° C, The reaction for 12 inches, TLC the reaction was complete. Cooling, with a crystal precipitated crystallized slowly for 3 inches, and filtered. The filter cake starched water, filtered and dried to yield an off-white solid Dara Phoenix (I) 3.58g, yield 60%.

………………………………………………….
WO 2014193898

References

“Dabrafenib/Trametinib Combination Approved for Advanced Melanoma”. OncLive. January 9, 2013.

Updates

Dabrafenib prediction
1H NMR PREDICT

logo

N-[3-[5-(2-aminopyrimidin-4-yl)-2-tert-butyl-1,3-thiazol-4-yl]-2-fluorophenyl]-2,6-difluorobenzenesulfonamide NMR spectra analysis, Chemical CAS NO. 1195765-45-7 NMR spectral analysis, N-[3-[5-(2-aminopyrimidin-4-yl)-2-tert-butyl-1,3-thiazol-4-yl]-2-fluorophenyl]-2,6-difluorobenzenesulfonamide H-NMR spectrum

13C NM PREDICT

logo
N-[3-[5-(2-aminopyrimidin-4-yl)-2-tert-butyl-1,3-thiazol-4-yl]-2-fluorophenyl]-2,6-difluorobenzenesulfonamide NMR spectra analysis, Chemical CAS NO. 1195765-45-7 NMR spectral analysis, N-[3-[5-(2-aminopyrimidin-4-yl)-2-tert-butyl-1,3-thiazol-4-yl]-2-fluorophenyl]-2,6-difluorobenzenesulfonamide C-NMR spectrum

logo

COSY NMR PREDICT

screenshot-www nmrdb org 2015-03-20 09-23-51

logo

HMBC, HSBC NMR PREDICT

screenshot-2

INTERMEDIATES

INT 1
Methyl 3-{[(2,6-difluorophenyl)sulfonyl]amino}-2-fluorobenzoate;Methyl 3-(tert-butoxycarbonylamino)-2-fluorobenzoate, 1195768-23-0

 INT2
methyl 3-bromo-2-fluorobenzylate; PC3663; fluorobromobenzoic acid methyl ester;
3-bromo-2-fluorobenzoic acid methyl ester; 206551-41-9
 INT3
methyl 3-amino-2-fluorobenzoate, CAS No. 1195768-18-3
 INT4
Methyl 3-(tert-butoxycarbonylamino)-2-fluorobenzoate, CAS No. 1195768-19-4
 INT5
CAS No. 1042055-86-6  Methyl 3-(tert-butoxycarbonylamino)-2-fluorobenzoate
 INT6
2-fluoro-3-bromobenzoic acid;3-Bromo-2-fluoro-benzoic acid, CAS No. 161957-56-8 

…………………………………….
SYNTHESIS

SYN 1

DABARAFENIB

GLAXOSMITHKLINE LLC; HOOS, Axel; GRESHOCK, Joel Patent: WO2014/66606 A2, 2014 ; Location in patent: Page/Page column 20; 24 ;

SYN  2

WO2011/47238 A1, ;

SYN 3

ACS Medicinal Chemistry Letters, , vol. 4, # 3 p. 358 – 362

SYN 4

ACS Medicinal Chemistry Letters, , vol. 4, # 3 p. 358 – 362

SYN 5

ACS Medicinal Chemistry Letters, , vol. 4, # 3 p. 358 – 362

SYN 6
WO2011/47238 A1, ;

SYN 7

methyl 3-amino-2-fluorobenzoate, CAS No. 1195768-18-3WO2011/47238

 UPDATES WATCH REGULARLY

Brief Description

Figure 1 Form IV of the present invention an X-ray powder diffraction pattern.

Figure 2 is a schematic diagram Form IV of DSC language.

Figure 3 Form IV of the present invention TGA profiles.

Figure 4 is a dynamic water adsorption of Form IV of the invention, FIG.

Figure 5 Form IV of the present invention 1HNMR spectrum.

Figure 6 of the present invention, Form II X-ray powder diffraction pattern.

Figure 7 of the present invention, Form II TGA profiles.

Figure 8 Form III of the present invention an X-ray powder diffraction pattern.

Figure 9 Form V of the present invention, an X-ray powder diffraction pattern.

Figure 58a and in Example 10 in accordance with Patent Document WO2009 / 137391 or in CN200980126781.6

58d method described for the preparation of polymorph I of the known X-ray powder diffraction pattern.

Figure 11 is in accordance with Patent Document WO2009 / 137391 or CN200980126781.6 in the method of Example 58a and 58d described for the preparation of polymorph I of the known DSC pattern.

12 is in accordance with Patent Document WO2009 / 137391 or CN200980126781.6 in the method of Example 58a and 58d described for the preparation of polymorph I of the known TGA profiles.

Figure 13 is a known polymorph I in Comparative Example 1 in various stages XRPD comparison chart with the sample from top to bottom in the order of: Dara Phoenix free base hydrate, a known polymorph I in water was stirred for 15 After minutes to obtain a sample, and a known polymorph I.

Figure 14 Form IV in the present invention Comparative Example 1 each stage XRPD comparison chart with the sample from top to bottom in the order of: Form IV, Form IV in water with stirring for 15 minutes to obtain a sample, Form IV After stirring overnight in water to obtain a sample, as well as the free base of the hydrate Dara Phoenix. Figure 15 is a Comparative Form IV polymorph I of the known elution compared to the situation in Figure 1 (A to Form IV, ■ known Form 1).

Figure 16 is known in the polymorph I of Comparative Example 2 in various stages XRPD comparison chart (figure from top to bottom as follows: Form I is known API by “wet granulation” process of granulation (excluding section 3-step tablet) obtained by the sample, the known polymorphs I and amount of excipients formulated physically mixed formulation obtained sample, lactose monohydrate and microcrystalline cellulose according to Formulation physical sample after mixing, Dara Feeney free base hydrate, as well as known Form 1).

17 is a crystalline form IV according to the present invention in Comparative Example 2 in various stages XRPD comparison chart (from top to bottom as follows: In Form IV according to API “wet granulation” process of granulation (not included in Step 3 tableting) after the sample obtained, Form IV and excipients Formulation amount by physically mixing the obtained sample, the sample lactose monohydrate and microcrystalline cellulose according to Formulation after physical mixing, and Form IV).

FIG 5
Inline image 1
Dabrafenib
Dabrafenib.svg
Systematic (IUPAC) name
N-{3-[5-(2-aminopyrimidin-4-yl)-2-tert-butyl-1,3-thiazol-4-yl]-2-fluorophenyl}-2,6-difluorobenzenesulfonamide
Clinical data
Trade names Tafinlar
Legal status
Identifiers
CAS number 1195765-45-7
ATC code L01XE23
PubChem CID 44462760
ChemSpider 25948204
ChEBI CHEBI:75045
ChEMBL CHEMBL2028663
Chemical data
Formula C23H20F3N5O2S2
Molecular mass 519.56 g/mol

GSK 2636771


 

 

 

 

 

 

Company: GlaxoSmithKline
Meant to treat: tumors with loss-of-function in the tumor suppressor protein PTEN (phosphatase and tensin homolog)- 2nd most inactivated tumor suppressor after p53- cancers where this is often the case include prostate and endometrial
Mode of action: inhibitor of phosphoinositide 3-kinase-beta (PI3K-beta). Several lines of evidence suggest that proliferation in certain PTEN-deficient tumor cell lines is driven primarily by PI3K-beta.
Medicinal chemistry tidbits: The GSK team seemed boxed in because in 3 out of 4 animals used in preclinical testing, promising drug candidates had high clearance. It turned out that a carbonyl group that they thought was critical for interacting with the back pocket of the PI3K-beta enzyme wasn’t so critical after all. When they realized they could replace the carbonyl with a variety of functional groups, GSK2636771 eventually emerged. GSK2636771B (shown) is the tris salt of GSK2636771.
Status in the pipeline: Phase I clinical trials……….http://cenblog.org/the-haystack/2012/03/liveblogging-first-time-disclosures-from-acssandiego/

CARMEN

Posted By on Mar 24, 2012

Phone: 202-872-4502

Fax: 202-872-8727 or -6381

 

 

1372540-25-4

1H-​Benzimidazole-​4-​carboxylic acid, 2-​methyl-​1-​[[2-​methyl-​3-​(trifluoromethyl)​phenyl]​methyl]​-​6-​(4-​morpholinyl)​-

2-Methyl-1-[[2-methyl-3-(trifluoromethyl)phenyl]methyl]-6-(4-morpholinyl)-1H-benzimidazole-4-carboxylic acid

GSK2636771 is a potent, orally bioavailable, PI3Kβ-selective inhibitor, sensitive to PTEN null cell lines.

Formula:C22H22F3N3O3
M.Wt:433.43

WO 2014158467

http://www.google.com/patents/WO2014158467A1?cl=en

According to another embodiment, the invention relates to a method of re- sensitizing BRAF inhibitor resistant melanoma brain metastases comprising the administration of a therapeutically effective amount of

(i) a compound of formula (I)

or a pharmaceutically acceptable salt thereof;

……………………………………………………………….

http://www.google.co.in/patents/WO2014108837A1?cl=en

 

A combination comprising:
(i) a compound of Structure (I):
I
or a pharmaceutically acceptable salt thereof;
………………………………………………
SYNTHESIS
 GSK 2636771
………………………………………………
Example 26
Preparation of methyl 2-methyl-6-(4-morpholinyl)-l-(l-naphthalenylmethyl)-lH- benzimidazole-4-carboxylate a) 3-amino-5-chloro-2-nitrobenzoic acid

Under nitrogen, to a solution of t-BuOK (156.8 g) and Cu(OAc)2 (3.6 g) in DMF (1.2 L) was added a solution of 5-chloro-2-nitrobenzoic acid (40.0 g) and MeONH2 HCl (33.2 g) in DMF (300 mL) at 0° C. After 3h the reaction was quenched by addition of H20 (2.5 L) and acidified with 10% HC1 solution to pH= 1.The mixture was extracted with EA (2 L x 2) and the combined organic layers were then washed with brine, dried over anhydrous Na2S04, filtered and concentrated in- vacuo to afford the crude product as a yellow solid (43.2g, yield 100%). 1H NMR (300 MHz, CDC13): δ ppm 6.88 (s, 1H, J= 2.4Hz), 6.91 (d, 1H, J= 2.4Hz), 8.08 (br s, 2H); LC-MS: m/e = 217 [M+l]+. b) methyl 3-amino-5-chloro-2-nitrobenzoate

A mixture of 3-amino-5-chloro-2-nitrobenzoic acid (43.2 g) and HATU (2-(lH-7- Azabenzotriazol-l-yl)~l,l,3,3-tetramethyl uronium hexafluorophosphate Methanaminium, commercially available) (76 g) in MeOH (81 mL), Et3N (83 mL) and THF (300 mL) was stirred at room temperature for 3h. When TLC showed no starting material, the solvent was removed in-vacuo and the residue was then diluted with EtOAc (2 L). It was then washed with brine (1 L><3) and dried over anhydrous Na2S04, filtered and concentrated in-vacuo. The residue was then purified by silica gel chromatography eluted with EtOAc : petroleum ether = 1 : 8 to afford the desired product as a yellow solid (29.5 g, yield 64%). 1H NMR (300 MHz, CDC13): δ ppm 3.90 (s, 3H, s), 5.85 (br s, 2H), 6.80 (d, 1H, J = 2.4 Hz), 6.90 (d, 1H, J = 2.4 Hz); LC-MS: m/e = 231 [M+l]+ . c) methyl 3-amino-5-(4-morpholinyl)-2-nitrobenzoate

A mixture of combined batches of methyl 3-amino-5-chloro-2-nitrobenzoate (39 g), morpholine (29.5 g) and K2C03 (47 g) was stirred in DMF (200ml) at 110 0 C for 5 h. The mixture was cooled to room temperature and poured into water (1 L). It was extracted with EtOAc (500 mL x 3). The combined organic layers were washed with brine, dried over anhydrous Na2S04, filtered and concentrated in-vacuo to afford the desired product as a yellow solid (22 g, yield 46%). 1H NMR (300 MHz, CDC13): δ ppm 3.31 (t, 4H, J= 4.8 Hz), 3.82 (t, 4H, J= 4.8 Hz), 3.89 (s, 3H), 6.03 (d, 1H, J= 2.4 Hz), 6.34 (d, 1H, J= 2.4 Hz); LC- MS: m/e = 282 [M+l]+ . d) methyl 2-methyl-5-(4-morpholinyl)-lH-benzimidazole-7-carboxylate

To a solution of methyl 3-amino-5-(4-morpholinyl)-2-nitrobenzoate (22 g) stirring at reflux in HOAc (400 mL) was added iron powder in portions (13 g). After the addition, the mixture was stirred at reflux for 5 h. It was cooled to room temperature and the solvent was removed in- vacuo. The residue was neutralized with aqueous Na2C03 solution (1 L). It was extracted with EtOAc (500 mL x3). The combined organic layers were then concentrated in-vacuo and the residue was purified by silica gel chromatography eluted with MeOH : DCM = 1 : 30 to afford the desired product as a solid (16.6 g, yield 77%).

1H NMR (300 MHz, CDC13): δ ppm 2.67 (s, 3H), 3.17 (t, 4H, J= 4.8 Hz), 3.90 (t, 4H, J= 4.8 Hz), 3.98 (s, 3H), 7.44 (d, IH, J= 1.8 Hz), 7.54 (d, IH, J= 1.8 Hz);

LC-MS: m/e = 276 [M+l]+ .

Example 30

Preparation of methyl 2-methyl-l- {r2-methyl-3-(trifluoromethyl)phenyl1methyl|-6-(4- morpholinyl)- 1 H-benzimidazole-4-carboxylate

A solution of methyl 2-methyl-5-(4-morpholinyl)-lH-benzimidazole-7-carboxylate prepared as described in Example 26

Figure imgf000072_0001 methyl 2-methyl-5-(4-morpholinyl)-lH-benzimidazole-7-carboxylate

, step d (500mg, 1.8 mmol), l-(bromomethyl)-2-methyl-3- (trifluoromethyl)benzene (483 mg, 1.9 mmol)

l-(bromomethyl)-2-methyl-3- (trifluoromethyl)benzene

and K2C03 (497 mg, 3.6 mmol) in DMF (50 mL) was stirred at 80° C for 3 h. The reaction mixture was cooled to rt and poured into water (50 mL), extracted with EtOAc (30 mL x 3). The combined organic layers were washed with brine, dried over Na2S04 and concentrated. The resulting residue was purified by silica gel chromatography eluted with DCM : MeOH = 50 : 1 to give the crude product IE METHYL ESTER (230 mg, yield 29%), as a white solid.

1H NMR (300 MHz, DMSO-d6): δ ppm 2.39 (s, 3H), 2.54 (s, 3H), 3.08 (t, 4H, J=4.8 Hz), 3.72 (t, 4H, J=4.8 Hz), 3.89 (s, 3H), 5.57 (s, 2H), 6.27 (d, IH, J=7.5 Hz), 7.22 (t, IH, J=7.5 Hz), 7.27 (d, IH, J=2.4 Hz), 7.38 (d, IH, J=2.4 Hz) 7.60 (d, IH, J=7.5 Hz);

LC-MS: m/e = 448 [M+l]+

Example 31

Preparation of 2-methyl- 1 – { [2-methyl-3-(trifluoromethyl)phenyllmethyl| -6-(4-morpholiny0- 1 H-benzimidazole-4-carboxylic acidAn aqueous solution of 2 N LiOH (1.2 mL) was added to a solution of methyl 2-methyl- 1- {[2-methyl-3-(trifluoromethyl)phenyl]methyl}-6-(4-morpholinyl)-lH-benzimidazole-4- carboxylate, prepared as described in Example 30 (180 mg, 0.4 mmol) in THF (10 mL) and stirred at 50° C for 1 h. When TLC showed no starting material remaining, the mixture was cooled to rt and THF was removed under reduced pressure. The pH of the mixture was acidified to pH 3. The suspension was filtered and the filtrate was collected, and washed with water (lOmL) to give the product as a white solid (152 mg, yield 88%).

1H NMR (300 MHz,DMSO-d6):

δ ppm 2.46 (s, 3H), 2.54 (s, 3H), 3.10 (t, 4H, J=4.8 Hz), 3.73 (t, 4H, J=4.8 Hz), 5.63 (s, 2H), 6.37 (d, IH, J=7.8 Hz), 7.26 (t, IH, J=7.8 Hz), 7.35 (d, IH, J=2.4 Hz), 7.44 (d, IH, J=2.4 Hz), 7.62 (d, IH, J=7.8 Hz);

LC-MS: m/e = 434 [M+l]

 

 

WO2010006225A1 * 10 Jul 2009 14 Jan 2010 Novartis Ag Combination of (a) a phosphoinositide 3-kinase inhibitor and (b) a modulator of ras/raf/mek pathway
WO2011038380A2 * 28 Sep 2010 31 Mar 2011 Glaxosmithkline Llc Combination
WO2012061683A2 * 4 Nov 2011 10 May 2012 Glaxosmithkline Llc Methods for treating cancer
US20120088767 * 3 Oct 2011 12 Apr 2012 Junya Qu Benzimidazole derivatives as pi3 kinase inhibitors
O2013019620A2 * Jul 27, 2012 Feb 7, 2013 Glaxosmithkline Llc Method of treating cancer using combination of braf inhibitor, mek inhibitor, and anti-ctla-4 antibody
US20120202822 * Oct 12, 2010 Aug 9, 2012 Kurtis Earl Bachman Combination

 

 

CARMEN DRAHL

Links

Carmen Drahl (@carmendrahl) | Twitter

www.linkedin.com/in/carmendrahl/en

http://www.ddn-news.com/

http://cenblog.org/the-safety-zone/

Carmen Drahl – Google+

Carmen Drahl

 

Award-winning science communicator and social media power user based in Washington, DC.

Specialties: interviewing, science writing, social media, Twitter, Storify, YouTube, public speaking, hosting, video production, iPhone videography, non-linear video editing, blogging (WordPress and Blogger), HTML website coding

Education

Princeton University

Ph.D., Chemistry

2002 – 2007

Ph.D. with Erik J. Sorensen
She was on a team that completed the first total synthesis of abyssomicin C, a molecule found in small quantities in nature that showed hints of promise as a potential antibiotic. I constructed molecular probes from abyssomicin for proteomics studies of its biological activity.

M.A. with George L. McLendon
worked toward developing a drug conjugate as a potential treatment for cancer. I synthesized a photosensitizer dye-peptide conjugate for targeting the cell death pathway called apoptosis.

image

At a reception before the Alumni Day luncheon, President Tilghman (third from left) congratulated the winners of the University’s highest awards for students: (from left) Pyne Prize winners Lester Mackey and Alisha Holland; and Jacobus Fellowship recipients Sarah Pourciau, Egemen Kolemen and Carmen Drahl. Unable to attend the event was Jacobus Fellowship winner William Slauter. (photo: Denise Applewhite

 

 

B.A., Chemistry

1998 – 2002

Graduated summa cum laude with specialized honors in chemistry. Honors thesis entitled “Structural, kinetic, and mechanistic studies: the protein tyrosine phosphatases CD45 and PTP1B”

Activities and Societies: Phi Beta Kappa

Carmen Drahl, Class of 2002,

 

Experience

Science Journalist

Freelance

January 2014 – Present Washington D.C. Metro Area

Multimedia science journalist – I deliver clean products on time. Experience in reporting on chemistry, food science, history of science, drug development, science education.

Senior Editor, Chemical & Engineering News

American Chemical Society

August 2007 – December 2014 (7 years 5 months)Washington D.C. Metro Area

Reporting:
Cover the science of chemistry for C&EN, the American Chemical Society’s weekly magazine, circulation 160,000. Track new research findings daily, particularly in forensic science, drug discovery, organic chemistry, and food science.

Video:
Doubled circulation to C&EN’s YouTube channel in 2013. Scripted, narrated, edited footage.
Managed a core team of 4 and collaborated with other reporters to produce 30 videos, some reproduced in The Atlantic, Scientific American, Eater National, The Daily Mail.

Incepted, scripted, and co-hosted “Speaking of Chemistry”, a monthly web show that summarizes top chemistry news for the busy scientist.

Social Media:
Developed magazine-wide best practices for YouTube videos and Twitter. Ran staff workshops about Storify, Slashdot, and Reddit.

Hosting/Public Speaking:
Topics include communicating chemistry simply, transitioning from a Ph.D. to careers in science communication. Moderated discussions on chemophobia, social media usage in the chemical sciences. On-camera co-host for web newscasts produced by ACS.

Innovation:
With C&EN art and web teams, developed first-for-the-magazine features, including a 90th anniversary commemorative timeline poster, a pullout guide to top conference speakers, interactive quizzes and database searches.

Carmen Drahl, senior editor of Chemical and Engineering News, used her Ph.D. in chemistry as a springboard into the career she envisioned for herself. Here she shares some advice that helped her make the decision.

Carmen Drahl made the transition to a writing career while earning a Ph.D. in chemistry at Princeton University. Born and raised in New Jersey, she now lives in Washington, D.C., and reports for Chemical and Engineering News (C&EN). At C&EN she has written about how new medications get their names, explained the science behind a controversial hair-straightening product, and covered the scientific firestorm sparked by an alleged arsenic life form. Her work has been featured on SiriusXM’s Doctor Radio, Radio New Zealand’s This Way Up, and elsewhere. Her coverage has also been recognized by MIT’s Knight Science Journalism Tracker.

(Open)1 honor or award
Scientific Cocktails: Award-winning video

Scientific Cocktails: Award-winning video

Speaking of Chemistry: All About Tinsel

Speaking of Chemistry: All About Tinsel

Carmen Drahl

Twitter Maven

World Central Kitchen

March 2013 – August 2014 (1 year 6 months)Washington D.C. Metro Area

I was the “voice of Twitter” for World Central Kitchen, the humanitarian organization founded by renowned Chef José Andrés. Doubled followers to Twitter account in 2013, developed Twitter strategy for projects and events. Edited Annual Report, press releases and other communication materials. Volunteered in person at outreach events.

Contributing Editor, AWIS Magazine

Association of Women in Science

December 2005 – August 2007 (1 year 9 months)

sHE reported and wrote profiles of prominent women scientists in a range of fields (molecular biology, physics, geoscience) for the Research Advances column in AWIS Magazine.

Writer, various publications

Princeton University

April 2005 – May 2007 (2 years 2 months)

She reported and wrote news for the Princeton University News Office’s Research Notes, and wrote news and features for the Princeton University Chemistry Department’s Industrial Affiliates Program Newsletter and Chemistry Alumni Newsletter.

Honors & Awards

Eddie Digital Award- Best Video (B-to-B)

FOLIO Magazine

December 2014

Porter Ogden Jacobus Fellowship

Princeton University

February 2007

NSF Graduate Research Fellowship

National Science Foundation

2002

Volunteer Experience & Causes

Board Member

Princeton Alumni Weekly Magazine

October 2013

Advisory Committee

American Institute of Physics News and Media Services

October 2013

Member, Graduate Alumni Leadership Council

Princeton University

2009 – 2012 (3 years)

INTERVIEW

Continuing with the tradition from last two years, I will occasionally post interviews with some of the participants of the ScienceOnline2010 conference that was held in the Research Triangle Park, NC back in January. See all the interviews in this series here. You can check out previous years’ interviews as well: 2008 and 2009.

Today, I asked Carmen Drahl, Associate Editor for Science/Technology/Education at Chemical & Engineering News (find her as @carmendrahl on Twitter) to answer a few questions.

Welcome to A Blog Around The Clock. Would you, please, tell my readers a little bit more about yourself? Where are you coming from (both geographically and philosophically)? What is your (scientific) background?

i-b183f89fe33d3d9f0b308a6cb30d9b5b-Carmen Drahl pic1.JPGIt’s a pleasure and a privilege to be interviewed, Bora.

Good conversations make me happy. School was fun for me (well, maybe not grad school) and that’s evolved into a desire to always be learning something new. I enjoy doing nothing as much as I enjoy doing things. On Mondays, if I’m not too busy, I take hip-hop dance classes.

My hometown is Hackettstown, New Jersey. M&M’s are made there. I got a bachelor’s in chemistry from Drew University and a Ph.D. in chemistry at Princeton. Scientifically my expertise hovers somewhere around the interface between organic chemistry and biochemistry. A short while after defending my dissertation, I moved to Washington DC to write for Chemical & Engineering News, and that’s where I’ve been for almost three years now.

When and how did you first discover science blogs?

Scandal led me to science blogs. Seriously. In March 2006 I was still an organic chemistry grad student. Everyone in my lab was buzzing about a set of retractions in the Journal of the American Chemical Society (disclosure: today I work for the American Chemical Society, which publishes JACS). A rising young organic chemistry star retracted the papers because work by one of his graduate students couldn’t be reproduced. It was a big deal and became an even bigger deal as the inevitable rumors (salacious and otherwise) surfaced. The blogosphere had the details first. So that’s where Google pointed me and the other members of my lab when we searched for more information. I learned about the awesome (but sadly now defunct) blogs Tenderbutton and The Endless Frontier, by Dylan Stiles and Paul Bracher, both chemistry grad students like me. I also discovered the solid mix of chemistry and pharma at Derek Lowe’s In the Pipeline, which is still the first blog I visit every day.

Tell us a little more about your career trajectory so far: interesting projects past and present?

i-b7bd4d4568d9689c2daf400303c886c3-Carmen Drahl pic2.JPGBy the time I discovered science blogs I knew my career goals were changing. I’d already been lucky enough to audit a science writing course at Princeton taught by Mike Lemonick from TIME, and thought that maybe science writing was a good choice for me. After reading chemistry blogs for a while I realized “Hey, I can do this!” and started my own blog, She Blinded Me with Science, in July 2006. It was the typical grad student blog, a mix of posts about papers I liked and life in the lab.

At C&E News I’ve contributed to its C&ENtral Science blog, which premiered in spring 2008. I’ve experimented with a few different kinds of posts- observations and on-the-street interviews when I run into something chemistry-related in DC, in-depth posts from meetings, and video demos of iPod apps. One of my favorite things to do is toy with new audio/video/etc technology for the blog.

What is taking up the most of your time and passion these days? What are your goals?

In March I just started a new era in my web existence- I’m becoming a pharma blogger. I’m the science voice at The Haystack, C&E News’s new pharma blog and one of seven new blogs the magazine launched last month. My co-blogger is the talented Lisa Jarvis, who’s written about the business side of pharma for ten years and who brings a solid science background to the table as well. I kicked us off by liveblogging/livetweeting a popular session at the American Chemical Society’s meeting in San Francisco where drug companies reveal for the first time the chemical structures of potential new drugs being tested in clinical trials. The whole thing synced to FriendFeed as well. Folks followed the talks from all three venues, which was great. I hope I can continue doing that sort of thing in the future.

For this August, I’m co-organizing a mini-symposium at the American Chemical Society meeting in Boston about the chem/pharma blogosphere and its impact on research and communication. I’m in the process of inviting speakers right now. It’s my first time doing anything like this and part of me is petrified that no one will show up. Tips on organizing a conference session and how not to stress when doing so are welcome!

More broadly, I’d love to get more chemistry bloggers to connect with the community that attends ScienceOnline. I don’t ever want to become that old (or not-so-old) person who is clueless about them-thar newfangled whosiwhatsits that the kids are using nowadays.

What aspect of science communication and/or particular use of the Web in science interests you the most?

A few things come to mind, actually. I’d like to think that the web has made grad school a helluva lot less isolating for science grad students. You have the virtual journal clubs like Totally Synthetic, posts like SciCurious’s letter to a grad student, etc.

As a journalist the web’s capacity to equalize fascinates me. I’m extremely lucky to have a staff gig as a science writer without having gone to journalism school or landed a media fellowhip and it’s weird to think that my old blog might’ve helped my visibility. I didn’t know Ed Yong’s story until Scio10 but I think he’s a highly talented example of how the web can open doors.

The web’s equalizing power goes to readers of science content as well as writers, of course. In the ideal situation a reader can give a writer instant feedback and you can get a real conversation going, something that was much harder with the snail-paced system of letters to the editor and reader surveys. Not that the conversation is always civil. Most of C&EN’s readers have a decent amount of scientific training, but the debate that rages whenever we run an editorial about climate change is as intense as any I’ve seen.

In cases like that I don’t know that the web gives people a good representation of what the consensus is. For folks who don’t have scientific training, how do you ensure that people don’t just go to the content that already confirms their pre-existing beliefs about autism or global warming? John Timmer touched on this more eloquently in his interview with you, and I agree with him that I don’t think we have an answer yet. Though on a slightly different note, I will mention that I’ve been enjoying the New York Times’s recent attempts to recapture the spontaneity of flipping through the newspaper in online browsing, like the Times Skimmer for Google Chrome.

What are some of your favourite science blogs? Have you discovered any cool science blogs by the participants at the Conference?

In addition to the blogs I’ve already mentioned I enjoy Carbon-Based Curiosities, Wired Science, Chemistry Blog, and Terra Sigillata, to name a few of the 50 or so blogs on my feed reader.

I discovered scads of new blogs at Scio10 but I’ll focus on the one that’s become required reading for me these days: Obesity Panacea. I’d covered obesity drug development for C&EN but I’d never met Travis Saunders and Peter Janiszewski or heard of their blog until the conference.

What was the best aspect of ScienceOnline2010 for you? Is there anything that happened at this Conference – a session, something someone said or did or wrote – that will change the way you think about science communication, or something that you will take with you to your job, blog-reading and blog-writing?

Dave Mungeris my hero – his blogging 102 session was packed with practical tips that I brought back to C&EN for incorporating into our blogs, such as the use of the Disqus plugin for catching conversations on social networks, getting smart about using stats and surveys, etc. Some of that’s already happened, and some of the ideas are still in the works.

I came for the nuts-and-bolts blogging tips but I stayed for the conversations, especially the ones at the bar after the official program was done for the night. And the icing on the cake was seeing folks I’d worked with but never met, like Cameron Neylon and you, Bora, and catching up with people I hadn’t seen in months, like Jean-Claude Bradley, Aaron Rowe, Jennifer Ouellette and Nancy Shute.

It was so nice to meet you in person and thank you for the interview. I hope to see you again next January.