Home » Posts tagged 'BRD 2879'
Tag Archives: BRD 2879
BRD 2879

BRD2879
BRD-K56962879-001-01-5
CAS 1304750-47-7
Chemical Formula: C30H38FN3O5S
Molecular Weight: 571.7084
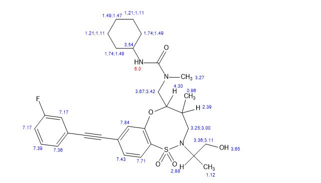
3-cyclohexyl-1-(((4R,5R)-8-((3-fluorophenyl)ethynyl)-2-((S)-1-hydroxypropan-2-yl)-4-methyl-1,1-dioxido-2,3,4,5-tetrahydrobenzo[b][1,4,5]oxathiazocin-5-yl)methyl)-1-methylurea
3-cyclohexyl-1-[[(4R,5R)-8-[2-(3-fluorophenyl)ethynyl]-2-[(2S)-1-hydroxypropan-2-yl]-4-methyl-1,1-dioxo-4,5-dihydro-3H-6,1$l^{6},2-benzoxathiazocin-5-yl]methyl]-1-methylurea
BRD2879 is a potent and cell-active inhibitor of IDH1-R132H with a markedly different structure from previously reported probes with (IC50 = 50 nM for inhibiting IDH1-R132H enzyme). BRD2879 represents a new structural class of mutant IDH1 inhibitors that, with optimization, may prove useful in the study of this enzyme and its role in cancer
![]()
The Eli and Edythe L. Broad Institute of MIT and Harvard (/ˈbroʊd/), often referred to as the Broad Institute, is a biomedical and genomic research center located in Cambridge, Massachusetts, United States. The institute is independently governed and supported as a 501(c)(3) nonprofit research organization under the name Broad Institute Inc.,[1][2] and is partners with Massachusetts Institute of Technology, Harvard University, and the five Harvard teaching hospitals.


PAPER

Evidence suggests that specific mutations of isocitrate dehydrogenases 1 and 2 (IDH1/2) are critical for the initiation and maintenance of certain tumor types and that inhibiting these mutant enzymes with small molecules may be therapeutically beneficial. In order to discover mutant allele-selective IDH1 inhibitors with chemical features distinct from existing probes, we screened a collection of small molecules derived from diversity-oriented synthesis. The assay identified compounds that inhibit the IDH1-R132H mutant allele commonly found in glioma. Here, we report the discovery of a potent (IC50 = 50 nM) series of IDH1-R132H inhibitors having 8-membered ring sulfonamides as exemplified by the compound BRD2879. The inhibitors suppress (R)-2-hydroxyglutarate production in cells without apparent toxicity. Although the solubility and pharmacokinetic properties of the specific inhibitor BRD2879 prevent its use in vivo, the scaffold presents a validated starting point for the synthesis of future IDH1-R132H inhibitors having improved pharmacological properties.
Discovery of 8-Membered Ring Sulfonamides as Inhibitors of Oncogenic Mutant Isocitrate Dehydrogenase 1
People

CLICK ON IMAGES


1H NMR (300 MHz, CDCl3, 27 °C) δ 7.88 (d, J = 8.3 Hz, 1H), 7.39-7.27 (m, 3H), 7.22-7.14 (m, 2H), 7.12-7.03 (m, 1H), 4.57 (td, J = 9.5, 2.5 Hz, 1H), 4.35-4.23 (m, 2H), 3.97-3.78 (m, 2H), 3.74-3.60 (m, 2H), 3.51 (ddd, J = 12.3, 9.9, 4.0 Hz, 1H), 3.40 (dd, J = 15.8, 5.1 Hz, 1H), 3.18 (dd, J = 9.9, 2.9 Hz, 1H), 3.12 (dd, J = 14.4, 2.6 Hz, 1H), 2.66 (s, 3H), 2.30-2.16 (m, 1H), 2.06 (d, J = 12.2 Hz, 1H), 1.96 (d, J = 12.1 Hz, 1H), 1.69-1.58 (m,1H), 1.58-1.45 (m, 2H), 1.23 (d, J = 6.8 Hz, 3H), 1.40-0.97 (m, 5H), 0.94 (d, J = 7.0 Hz, 3H).
13C NMR (75 MHz, CDCl3, 27 °C) δ 164.20, 160.92, 157.74, 154.80, 134.60, 130.26, 130.15, 129.56, 128.62, 127.82, 127.77, 127.68, 126.90, 124.27, 118.81, 118.50, 116.63, 116.35, 91.32, 88.40, 85.60, 64.86, 58.03, 51.64, 49.88, 48.51, 36.73, 34.51, 34.35, 34.31, 25.72, 25.28, 25.23, 15.76, 15.05.
HRMS (ESI) calc’d for C30H38FN3O5S [M+H]+ : 572.2589. Found: 572.2588.
1H NMR PREDICT


13C NMR PREDICT

REFERENCES
Discovery of 8-Membered Ring Sulfonamides as Inhibitors of Oncogenic Mutant Isocitrate Dehydrogenase 1
Jason M. Law, Sebastian C. Stark, Ke Liu, Norah E. Liang, Mahmud M. Hussain, Matthias Leiendecker, Daisuke Ito, Oscar Verho, Andrew M. Stern, Stephen E. Johnston, Yan-Ling Zhang, Gavin P. Dunn, Alykhan F. Shamji, and Stuart L. Schreiber
Publication Date (Web): August 18, 2016 (Letter)
DOI: 10.1021/acsmedchemlett.6b00264
/////////////2-hydroxyglutarate, allele-selective probe, AML, BRD 2879, cancer, diversity-oriented synthesis, glioma, high-throughput screening, isocitrate dehydrogenase, small-molecule probe, BRD2879; BRD-2879; BRD 2879
FC1=CC(C#CC2=CC(O[C@@H](CN(C(NC3CCCCC3)=O)C)[C@H](C)CN([C@@H](C)CO)S4(=O)=O)=C4C=C2)=CC=C1
DRUG APPROVALS BY DR ANTHONY MELVIN CRASTO
.....















