New Drug Approvals

Home » Posts tagged 'FDA 2013'

Tag Archives: FDA 2013

DRUG APPROVALS BY DR ANTHONY MELVIN CRASTO .....FOR BLOG HOME CLICK HERE

Blog Stats

  • 4,928,780 hits

Flag and hits

Flag Counter

Enter your email address to follow this blog and receive notifications of new posts by email.

Join 37.8K other subscribers
Follow New Drug Approvals on WordPress.com

Archives

Categories

Recent Posts

Flag Counter

ORGANIC SPECTROSCOPY

Read all about Organic Spectroscopy on ORGANIC SPECTROSCOPY INTERNATIONAL 

Enter your email address to follow this blog and receive notifications of new posts by email.

Join 37.8K other subscribers
DR ANTHONY MELVIN CRASTO Ph.D

DR ANTHONY MELVIN CRASTO Ph.D

DR ANTHONY MELVIN CRASTO, Born in Mumbai in 1964 and graduated from Mumbai University, Completed his Ph.D from ICT, 1991,Matunga, Mumbai, India, in Organic Chemistry, The thesis topic was Synthesis of Novel Pyrethroid Analogues, Currently he is working with AFRICURE PHARMA, ROW2TECH, NIPER-G, Department of Pharmaceuticals, Ministry of Chemicals and Fertilizers, Govt. of India as ADVISOR, earlier assignment was with GLENMARK LIFE SCIENCES LTD, as CONSUlTANT, Retired from GLENMARK in Jan2022 Research Centre as Principal Scientist, Process Research (bulk actives) at Mahape, Navi Mumbai, India. Total Industry exp 32 plus yrs, Prior to joining Glenmark, he has worked with major multinationals like Hoechst Marion Roussel, now Sanofi, Searle India Ltd, now RPG lifesciences, etc. He has worked with notable scientists like Dr K Nagarajan, Dr Ralph Stapel, Prof S Seshadri, etc, He did custom synthesis for major multinationals in his career like BASF, Novartis, Sanofi, etc., He has worked in Discovery, Natural products, Bulk drugs, Generics, Intermediates, Fine chemicals, Neutraceuticals, GMP, Scaleups, etc, he is now helping millions, has 9 million plus hits on Google on all Organic chemistry websites. His friends call him Open superstar worlddrugtracker. His New Drug Approvals, Green Chemistry International, All about drugs, Eurekamoments, Organic spectroscopy international, etc in organic chemistry are some most read blogs He has hands on experience in initiation and developing novel routes for drug molecules and implementation them on commercial scale over a 32 PLUS year tenure till date Feb 2023, Around 35 plus products in his career. He has good knowledge of IPM, GMP, Regulatory aspects, he has several International patents published worldwide . He has good proficiency in Technology transfer, Spectroscopy, Stereochemistry, Synthesis, Polymorphism etc., He suffered a paralytic stroke/ Acute Transverse mylitis in Dec 2007 and is 90 %Paralysed, He is bound to a wheelchair, this seems to have injected feul in him to help chemists all around the world, he is more active than before and is pushing boundaries, He has 100 million plus hits on Google, 2.5 lakh plus connections on all networking sites, 100 Lakh plus views on dozen plus blogs, 227 countries, 7 continents, He makes himself available to all, contact him on +91 9323115463, email amcrasto@gmail.com, Twitter, @amcrasto , He lives and will die for his family, 90% paralysis cannot kill his soul., Notably he has 38 lakh plus views on New Drug Approvals Blog in 227 countries......https://newdrugapprovals.wordpress.com/ , He appreciates the help he gets from one and all, Friends, Family, Glenmark, Readers, Wellwishers, Doctors, Drug authorities, His Contacts, Physiotherapist, etc He has total of 32 International and Indian awards

Verified Services

View Full Profile →

Archives

Categories

Flag Counter

Vilanterol trifenatate, ビランテロールトリフェニル酢酸塩


Vilanterol trifenatate.pngThumb

ThumbImage result for Vilanterol Trifenatate

str1

Vilanterol trifenatate, ビランテロールトリフェニル酢酸塩

ビランテロールトリフェナテート

UNII-40AHO2C6DG; GW642444M; CAS 503070-58-4

free form, 503068-34-6

HY-14300ACS-1679

444
642444
GSK-642444
GW-642444
GW-642444M

4-[(1R)-2-[6-[2-[(2,6-dichlorophenyl)methoxy]ethoxy]hexylamino]-1-hydroxyethyl]-2-(hydroxymethyl)phenol;2,2,2-triphenylacetic acid

1,3-Benzenedimethanol, α1-[[[6-[2-[(2,6-dichlorophenyl)methoxy]ethoxy]hexyl]amino]methyl]-4-hydroxy-, (α1R)-
4-{(1R)-2-[(6-{2-[(2,6-Dichlorbenzyl)oxy]ethoxy}hexyl)amino]-1-hydroxyethyl}-2-(hydroxymethyl)phenol
Molecular Formula: C44H49Cl2NO7
Molecular Weight: 774.776 g/mol

4-[(1R)-2-({6-[(2-{[(2,6-Dichlorophenyl)methyl]oxy}ethyl)oxy]hexyl}-amino)-1-hydroxyethyl]-2-(hydroxymethyl)phenol Acetate Salt

J. Med. Chem.201053 (11), pp 4522–4530
DOI: 10.1021/jm100326d

white crystalline solid: mp (DSC) 131.9−134.2 °C, [α]D 20 −14.6 (c 1.034 in MeOH). MS ES +ve m/z 289, 486/488 (M + H)+1H NMR δ (500 MHz, CD3OD) 7.47 (2H, m), 7.38 (8H, m), 7.28 (6H, tt, J 7.1, 1.8 Hz), 7.22 (4H, m), 6.86 (1H, d, J 7.9 Hz), 4.94 (1H, dd, J 9.7, 4.6 Hz), 4.91 (2H, s), 4.74 (2H, s), 3.79 (2H, m), 3.69 (2H, m), 3.56 (2H, t, J 6.1 Hz), 3.10 (2H, m), 2.99 (2H, m), 1.72 (2H, m), 1.65 (2H, m), 1.45 (4H, m). 13C NMR δ (125 MHz, CD3OD) 180.1, 156.2, 147.7, 140.3, 137.9, 134.5, 133.0, 131.9, 131.6, 129.6, 128.9, 128.1, 127.1, 127.0, 126.7, 116.0, 72.1, 71.4, 71.3, 71.1, 70.1, 68.4, 60.9, 55.4, 48.9, 30.5, 27.4, 27.1, 26.8. Anal. found: C, H, N, Cl.

Vilanterol is a selective long-acting beta2-adrenergic agonist (LABA) with inherent 24-hour activity for once daily treatment of COPD and asthma. Its pharmacological effect is attributable to stimulation of intracellular adenylyl cyclase which catalyzes the conversion of adenosine triphosphate (ATP) to cyclic-3′,5′-adenosine monophosphate (cAMP). Increases in cyclic AMP are associated with relaxation of bronchial smooth muscle and inhibition of release of hypersensitivity mediators from mast cells in the lungs.

Vilanterol is approved for use in several combination products such as with fluticasone furoate under the tradename Breo Ellipta and in combination with umeclidinium bromide as Anoro Ellipta. Approved by the FDA in 2013, use of Breo Ellipta is indicated for the long-term, once-daily maintenance treatment of airflow obstruction in patients with COPD, including chronic bronchitis and emphysema. It is also indicated for once-daily maintenance treatment of asthma in patients aged 18 or older with reversible obstructive airways disease.

Vilanterol is approved for use in several combination products such as with fluticasone furoate under the tradename Breo Ellipta and in combination with umeclidinium bromide as Anoro Ellipta. Approved by the FDA in 2013, use of Breo Ellipta is indicated for the long-term, once-daily maintenance treatment of airflow obstruction in patients with COPD, including chronic bronchitis and emphysema. It is also indicated for once-daily maintenance treatment of asthma in patients aged 18 or older with reversible obstructive airways disease.

Vilanterol (INNUSAN) is an ultra-long-acting β2 adrenoreceptor agonist (ultra-LABA), which was approved in May 2013 in combination with fluticasone furoate for sale as Breo Ellipta by GlaxoSmithKline for the treatment of chronic obstructive pulmonary disease (COPD).[1]

Vilanterol is available in following combinations:

The other active component of BREO ELLIPTA is vilanterol trifenatate, a LABA with the chemical name triphenylacetic acid-4-{(1R)-2-[(6-{2-[2,6-dicholorobenzyl)oxy]ethoxy} hexyl)amino]-1-hydroxyethyl}-2-(hydroxymethyl)phenol (1:1) and the following chemical structure:

Vilanterol trifenatate - Structural Formula Illustration

Vilanterol trifenatate is a white powder with a molecular weight of 774.8, and the empirical formula is C24H33Cl2NO5•C20H16O2. It is practically insoluble in water.

Image result for Vilanterol Trifenatate

https://www.accessdata.fda.gov/drugsatfda_docs/nda/2013/203975Orig1s000ChemR.pdf

PATENT

WO 2003024439

https://patents.google.com/patent/WO2003024439A1/ru

PAPER

 Journal of Medicinal Chemistry (2010), 53(11), 4522-4530

Abstract Image

A series of saligenin β2 adrenoceptor agonist antedrugs having high clearance were prepared by reacting a protected saligenin oxazolidinone with protected hydroxyethoxyalkoxyalkyl bromides, followed by removal of the hydroxy-protecting group, alkylation, and final deprotection. The compounds were screened for β2, β1, and β3 agonist activity in CHO cells. The onset and duration of action in vitro of selected compounds were assessed on isolated superfused guinea pig trachea. Compound 13f had high potency, selectivity, fast onset, and long duration of action in vitro and was found to have long duration in vivo, low oral bioavailability in the rat, and to be rapidly metabolized. Crystalline salts of 13f (vilanterol) were identified that had suitable properties for inhaled administration. A proposed binding mode for 13f to the β2-receptor is presented.

Synthesis and Structure−Activity Relationships of Long-acting β2Adrenergic Receptor Agonists Incorporating Metabolic Inactivation: An Antedrug Approach

 Departments of Medicinal Chemistry
 Respiratory Biology
§ Computational Structural Chemistry
 Drug Metabolism and Pharmacokinetics
Respiratory CEDD, GlaxoSmithKline Medicines Research Centre, Gunnels Wood Road, Stevenage, Hertfordshire SG1 2NY, United Kingdom
 Synthetic Chemistry, GlaxoSmithKline, Old Powder Mills, Near Leigh, Tonbridge, Kent TN11 9AN, United Kingdom
J. Med. Chem.201053 (11), pp 4522–4530
DOI: 10.1021/jm100326d
*To whom correspondence should be addressed. Phone: (+44)1438 762883. Fax: (+44)1438 768302. E-mail: pan.a.procopiou@gsk.com

4-[(1R)-2-({6-[(2-{[(2,6-Dichlorophenyl)methyl]oxy}ethyl)oxy]hexyl}-amino)-1-hydroxyethyl]-2-(hydroxymethyl)phenol (13f) Triphenylacetate Salt

Triphenylacetic acid (1.81 g, 6.28 mmol) was added to a solution of 4-((R)-2-{6-[2-(2,6-dichlorobenzyloxy)-ethoxy]-hexylamino}-1-hydroxyethyl)-2-hydroxymethyl-phenol (95% pure; 3.28 g, 6.41 mmol) in EtOH (20 mL), and the mixture heated to 80 °C to obtain a solution. The mixture was allowed to cool to ambient temperature, and the resulting product filtered, washed with a little ethanol, then dried in vacuo at 50 °C to afford 13f-triphenylacetate salt (4.3 g, 88%) as a white crystalline solid: mp (DSC) 131.9−134.2 °C, [α]D20 −14.6 (c 1.034 in MeOH). MS ES +ve m/z 289, 486/488 (M + H)+1H NMR δ (500 MHz, CD3OD) 7.47 (2H, m), 7.38 (8H, m), 7.28 (6H, tt, J 7.1, 1.8 Hz), 7.22 (4H, m), 6.86 (1H, d, J 7.9 Hz), 4.94 (1H, dd, J 9.7, 4.6 Hz), 4.91 (2H, s), 4.74 (2H, s), 3.79 (2H, m), 3.69 (2H, m), 3.56 (2H, t, J 6.1 Hz), 3.10 (2H, m), 2.99 (2H, m), 1.72 (2H, m), 1.65 (2H, m), 1.45 (4H, m). 13C NMR δ (125 MHz, CD3OD) 180.1, 156.2, 147.7, 140.3, 137.9, 134.5, 133.0, 131.9, 131.6, 129.6, 128.9, 128.1, 127.1, 127.0, 126.7, 116.0, 72.1, 71.4, 71.3, 71.1, 70.1, 68.4, 60.9, 55.4, 48.9, 30.5, 27.4, 27.1, 26.8. Anal. found: C, H, N, Cl.
Patent
CN 103923058

β 2- adrenergic receptor agonist is most widely used in clinical treatment of asthma and chronic obstructive pulmonary disease drugs. Currently available on the market β2_ adrenoceptor agonists longest duration of action of 12 hours, which resulted in the need twice daily dosing. Over the last decade, the development of high potency, high selectivity, rapid onset, long duration of action, is administered once daily β2- adrenoreceptor agonists caused great concern in the pharmaceutical industry. Triflate vilanterol by Glaxo Group Limited to develop a new type of ultra-long-acting β 2- adrenergic receptor agonist, on 18 December 2013 by the US FDA clearance to market its drugs name Anoro Ellipta0

vilanterol chemical name is 4 – {(lR) -2 – [(6- {2 _ [(2,6- dichlorobenzyl) oxy] ethoxy} hexyl) amino] -1 – hydroxyethyl} -2_ (hydroxymethyl) phenol, having the formula as follows:

Figure CN103923058AD00031

At present the synthesis of chiral vilanterol reported mainly in the following two ways:

1, and references J.Med.Chem.2010,53,4522-4530 Patent W02003024439, synthetic routes such as

under:

Figure CN103923058AD00032

1.2, and references J.Med.Chem.2010,53,4522-4530 Patent W02003024439, synthetic routes such as

under:

Figure CN103923058AD00041

Two or more routes are carried over a key intermediate in the alkylation of the amine compound X and then deprotecting to give the target compound I. Use of highly toxic chiral oxazaborolidine key intermediate in the process for preparing a compound X as a catalyst is expensive, and serious environmental pollution can not be recycled, high production costs; while boron reducing agent used in the process alkoxy – tetrahydrofuran solution of dimethyl sulfide have high reactivity shortcomings need to use special equipment. Further, throughout the synthesis process used in amounts of sodium hydride, sodium hydride in the reaction process will emit a lot of heat, and the use of sodium hydride and stored under harsh conditions, there are security risks in industrial production, is not suitable for industrial production.

Laurus Labs Limited was improved synthesis process described above, Patent W02014041565, which scheme is as follows:

Figure CN103923058AD00042

While this synthesis will replace potassium t-butoxide, sodium hydride, to reduce the security risks in industrial production, but the process for preparing a key intermediate compound using X is still toxic as chiral oxazaborolidine catalyst, and environmental pollution high production cost issues remain unresolved.

An epoxy compound IV (preparation described in Bioorganic & Medicinal Chemistry Letters, 23 (5), 2013,1548-1552 and Patent CN101684074A) amine VI with a chiral auxiliary to give the chiral compound V.

Figure CN103923058AD00043

Wherein the amine is a chiral auxiliary or S- S- phenylethylamine naphthylethyl amine, amine chiral auxiliary used has S- (a) – methylbenzylamine, (S) -2_ A -1-phenylethylamine, S – (-) _ N- benzyl-1-phenylethylamine, S – (-) – l_ (l- naphthyl) ethylamine

Example a

(R) -1- (2,2- dimethyl–4H- benzo [d] [I, 3] dioxin-6-yl) _2_ (⑶-1- phenyl-ethylamino) ethanol, and the step of preparing a salt of I): 2, 2- dimethyl-6- ethylene prepared -4H- benzo [d] [I, 3] dioxane (compound of formula IV) burning

Was added to a three neck round bottom flask, 12.8 g of 2-bromo-1- (2,2-dimethyl -4H-1,3- benzodioxin-6-yl) (Compound of formula II) ethanone and 100 ml of methanol, stirred and dissolved it was cooled to -10 ° C, followed by the slow addition of 2.4 g of sodium borohydride addition was completed, the reaction at room temperature for 90 minutes. Was added to the reaction mixture quenched with 50 ml aqueous ammonium chloride solution, stirred and concentrated to remove most of the methanol for 10 minutes, then extracted with 50 ml of methylene chloride, the aqueous phase was repeatedly extracted three times with 50 ml dichloromethane and the combined organic phases . The organic phase was washed with 20 ml of distilled water and once with 20 ml of saturated brine once, dried over anhydrous sodium sulfate, filtered, and concentrated. Then a mixture of tetrahydrofuran and methanol in this step the resulting compound (about 12 g) was dissolved in a total volume of 200 ml (volume ratio of tetrahydrofuran to methanol is 1: 1), 20.8 g of potassium carbonate was added, and the reaction at room temperature for 18 hour. The reaction was concentrated to remove most of the organic solvent, 100 ml of distilled water was added to the concentrate, and then 60 ml of methylene chloride was separated out and the aqueous phase repeatedly extracted three times with 30 ml of methylene chloride, the organic phase was washed with 20 ml of distilled water once with 20 ml saturated brine once, dried over anhydrous sodium sulfate, and concentrated to give a white solid. Compound IV obtained in this step without further purification was used directly in the next reaction.

. [0012] Step 2): (R) -1- (2, 2 ~ _ methyl -4H- benzo [d] [I, 3] dioxo TK 6-yl) -2 – ((S preparation) -1-phenyl-ethylamino) ethanol

The 8.24 g of the epoxy compound IV dissolved in 30 ml dimethyl sulfoxide at room temperature was slowly added 5.8 g S- (a) – methylbenzylamine, and then controlling the reaction temperature at 60 ° C 3 hours, by TLC monitoring the reaction is complete. Wait until the reaction mixture was cooled, added to 90 ml saturated aqueous sodium bicarbonate, and extracted with ethyl acetate (3 x 50 mL), the organic phase was dried over anhydrous sodium sulfate, then filtered and concentrated to give (R) -1- (2, 2-methyl–4H- benzo [d] [1,3] dioxin-6-yl) -2 – ((S) -1- phenylethyl) ethanol The crude product was 10.3 g, yield rate of 73%. The crude product obtained in this step without further purification was used directly in the next salt-forming reaction. [0013] 1H-NMR (500 MHz, CDCl3) δ 1.27 (d, J = 12.2 Hz, 3H), 1.49 (s, 6H), 2.94 (dd, J = 24.8 and 11.4 Hz, 1H), 3.21 (dd, J = 24.8 and 11.4 Hz, 1H), 4.32-4.39 (m, 1H), 4.59 (s, 2H), 4.84 – 4.89 (m, 1H), 6.82 (d, J = 15.0 Hz, 1H), 7.06 (d , J = 3.1 Hz, 1H), 7.25 – 7.35 (m, 6H).

[0014] LC-MS: m / z = 328.1 (C20H25NO3 + H +).

[0015] Chiral HPLC: R- configuration: 96.4%, S- configuration: 3.6%.

[0016] Step 3) (! R) -1- (2,2- dimethyl-benzo -41- [(1] [1,3] dioxin-6-yl) -2 – (( preparation of different salts of 1-phenyl-ethylamino) ethanol 5)

Step 2) The obtained crude product was equally divided into four parts, each of 20 ml of methanol are added to the solvent, stirring at 40 ° C under conditions to dissolve and camphorsulfonic acid were added to a solution of four parts, methanesulfonic acid , oxalic acid and benzoic acid is added in an amount of 1.5 equivalent of the crude product, after the addition was complete, stirring was continued for 2 hours, allowed to stand overnight and cooled at 0 ° C, filtered, to give the corresponding salt. The results shown in the following table.

Figure CN103923058AD00061

[0017] Second Embodiment

(R) -1- (2,2- dimethyl–4H- benzo [d] [I, 3] dioxane _6_ yl) _2_ (⑶-2- methoxy-1-phenyl ethanol and salts thereof ethylamino)

Step I): (R) -1- (2, 2- dimethyl -4H- benzo [d] [I, 3] dioxin-6-yl) ~ 2 ~ (⑶-2- methoxy preparation of 1-phenyl-ethylamino) ethanol

The method of preparation of a Compound IV The procedure of Example I) the same embodiment.

[0018] The epoxy compound IV was added 8.24 g to 50 ml of acetonitrile solvent, stirring and dissolved slowly added

9.06 g S-2- methoxy-1-phenylethylamine, followed by stirring at 80 ° C for 6 hours. After completion of the reaction was monitored by TLC, the reaction mixture was concentrated. 30 ml of saturated aqueous sodium bicarbonate, and extracted with ethyl acetate (3×30 mL), the organic phase was dried over anhydrous sodium sulfate, filtered, and concentrated to give (R) -1- (2, 2- dimethyl -4H- benzo [d] [1,3] dioxin-6-yl) -2 – ((S) -2_ gas-methoxy-1-phenylethyl-yl) ethanol 9.8 g crude was wide, wide rate of 68%. The crude product obtained in this step without further purification was used directly in the next salt-forming reaction.

[0019] 1H-NMR (500 MHz, CDCl3) δ 1.49 (s, 6H), 2.98 – 3.21 (m, 2H), 3.34 (s, 3H), 3.55 – 3.80 (m, 2H), 4.02 (dd, J = 12.4 and 2.3 Hz, 1H), 4.59 (s, 2H), 4.86 – 4.88 (m, 1H), 6.82 (d, J = 7.5 Hz, 1H), 7.06 (d, J = 1.4 Hz, 1H), 7.28 –

7.37 (m, 6H).

[0020] LC-MS: m / z = 358.0 (C21H27NO4 + H +).

[0021] Chiral HPLC: R- configuration: 97.1%, S- configuration: 2.9%.

[0022] Step 2) 😦 R) -l_ (2,2- dimethyl–4H- benzo [d] [l, 3] dioxin-6-yl) -2 – ((S) _2 preparation of different salts methoxy-1-phenyl-ethylamino) ethanol –

The procedure of Example I) thus-obtained crude product is equally divided into four parts, each mixed solvent was added 25 ml of ethanol and water (Vis: V # 1: 1) and stirred at 60 ° C under conditions so dissolved, then four solutions are each selected fumaric acid, malic acid, maleic acid and tartaric acid, acid is added in an amount 1.2 equivalents of crude product, after the addition was complete, stirring continued for 2 hours, allowed to stand between 5 ° C cooled overnight and filtered to give the corresponding salt. The results shown in the following table.

Figure CN103923058AD00071

[0023] Example three

(R) -2- (benzyl ((S) -1-phenylethyl) amino) -1- (2, 2 – dimethyl – -4H- benzo [d] [I, 3] dioxane ethanol and salts of 6-yl)

Step I): (R) _2_ (benzyl ((S) -1-phenylethyl) atmosphere yl) -1- (2, 2 – dimethyl – -4H- benzo [d] [I, 3] preparation dioxin-6-yl) ethanol

The method of preparation of a Compound IV The procedure of Example I) the same embodiment.

[0024] 8.24 g of the epoxy compound IV were added to 50 ml of tetrahydrofuran solvent, and stirred to dissolve slowly added

10.97 g (i) S-benzyl-1-N- phenethylamine, the reaction was refluxed for 4 hours, the reaction was complete by TLC monitoring. Wait until the reaction solution was cooled, 30 ml of saturated aqueous ammonium chloride was added, stirred at room temperature for 10 minutes, then add 3 g of sodium chloride, stirring was continued for 30 minutes standing layer, the aqueous phase was extracted with ethyl acetate (3×30 mL), the organic phase was dried over anhydrous sodium sulfate, filtered, and concentrated to give (R) -2_ (benzyl ((S) -1-phenylethyl) amino) -1- (2, 2 – dimethyl -4H- benzo [d] [1,3] dioxin-6-yl) ethanol The crude product was 9.3 g, 56% yield. The crude product obtained in this step without further purification was used directly in the next salt-forming reaction.

[0025] 1H-NMR (500 MHz, CDCl3) δ 1.27 (d, J = 12.4 Hz, 3H), 1.49 (s, 6H), 2.78 – 3.21 (m, 2H), 3.46 (s, 1H), 4.00 – 4.08 (m, 2H), 4.59 (s, 2H), 4.85 – 4.88 (m, 1H), 6.81 (d, J = 14.9 Hz, 1H), 7.05 – 7.37 (m, 12H).

[0026] LC-MS: m / z = 418.1 (C27H31NO3 + H +).

[0027] Chiral HPLC: R- configuration: 95.8%, S- configuration: 4.2%.

[0028] Step 2): (R) _2- (benzyl ((S) -1-phenylethyl) gas-yl) -1- (2, 2 – dimethyl – -4H- benzo [d] [ preparation I 3] dioxin-6-yl) ethanol of different salts

A mixed solvent of water -.V The procedure of Example I embodiment) of the obtained crude product was equally divided into four parts, each of which shall propanol and 30 ml of water is 3: 2) at 80 ° C for dissolution while stirring, and then was added to four parts, respectively, fumaric acid, citric acid, maleic acid and tartaric acid, the acid is added in an amount 1.2 equivalents of crude product, after the addition was complete, stirring continued for 2 hours, allowed to stand at 5 ° C for cooling overnight and filtered, to give the corresponding salt. The results shown in the following table.

Figure CN103923058AD00081

[0029] Fourth Embodiment

(R) -1- (2,2- dimethyl–4Η- benzo [d] [I, 3] dioxane _6_-yl) -2- (S) -1- (naphthyl _1_ yl) ethanol and salts thereof ethylamino)

Step I): (R) -1- (2,2_ dimethyl -4H- benzo [d] [1,3] dioxin-6-yl) -2_

Preparation (S) _1_ (naphthalen-1-yl) ethylamino) ethanol Preparation of Compound IV in a procedure as in Example I) the same embodiment.

[0030] The 8.24 g of the epoxy compound IV were added to 40 ml _2_ N- methyl pyrrolidone was slowly added with stirring so that after dissolution 9.58 g S – (-) – 1- (1- naphthyl) ethylamine, temperature was controlled at 100 ° C for 6 hours, the reaction was complete by TLC monitoring. After the reaction was cooled, 60 ml of saturated aqueous sodium bicarbonate, and extracted with ethyl acetate (3X 50 ml), the organic phase was dried over anhydrous sodium sulfate, filtered, and concentrated to give 00-1- (2,2-bis methyl-4! l-benzo [d] [l, 3] dioxin-6-yl) -2- (S) -1- (naphthalen-1-yl) ethylamino) ethanol The crude product 9.5 g, yield 63%. The crude product obtained in this step without further purification was used directly in the next salt-forming reaction.

[0031] 1H NMR (500 MHz, CDCl3) δ 1.40 (d, J = 11.9 Hz, 3H), 1.49 (s, 6H), 2.95 (dd, J = 24.7 and 11.0 Hz, 1H), 3.21 (dd, J = 24.9 and 11.0 Hz, 1H), 4.59 (s, 2H), 4.89 – 4.95 (m, 2H), 6.80 – 8.01 (m, I OH).

[0032] LC-MS: m / z = 378.2 (C24H27NO3 + H +).

[0033] Chiral HPLC: R- configuration: 97.8%, S- configuration: 2.3%.

[0034] Step 2): (R) -l_ (2,2- dimethyl–4H- benzo [d] [1,3] dioxin-6-yl) -2- (S) -1 preparation of (naphthalene-1-yl) ethylamino) ethanol salt of different –

The procedure of Example I embodiment) of the obtained crude product was equally divided into four parts, each of which shall solvent was added 25 ml of butanol was stirred at 80 ° C for the condition to be dissolved and then the mixture was four respective selection naphthalenesulfonic acid, camphorsulfonic acid, methanesulfonic acid and benzoic acid treatment, acid is added in an amount 1.5 equivalents crude product, after completion, stirring was continued for 2 hours, allowed to stand overnight and cooled at 0 ° C, filtered, to give the corresponding salt. The results shown in the following table.

Figure CN103923058AD00082

[0035] Embodiment V

(S) – (2- (tert-butoxy quasi-yl) ((R) -2- (2, 2- dimethyl-benzo [d] [I, 3] dioxin-6-yl) – 2 preparation amino) phenylacetate -2_ their salts light ~ ethyl)

The I step) (2S) – Preparation of [(tert-butoxycarbonyl) amino] (phenyl) acetate Patent Documents US8455514 and CN102120724A prepared (2S) according to – [(tert-butoxycarbonyl) amino] (phenyl) acetic acid methyl ester.

[0036] 1H-NMR (500 MHz, CDCl3) δ 1.42 (s, 9H), 3.67 (s, 3H), 6.19 (s, 1H), 7.20 – 7.38 (m, 5H).

[0037] Step 2): (S) – (2- (tert-butoxy quasi-yl) ((R) -2- (2,2- dimethyl-benzo [d] [I, 3] dioxane ) -2-6-yl) -2-hydroxyethyl) aminophenyl acetate

The 8.24 g of the epoxy compound IV were added to 30 ml of dimethyl sulfoxide, added slowly with stirring to dissolve after

12.72 g (2S) – [(tert-butoxycarbonyl) amino] (phenyl) acetate, the reaction temperature is controlled at 70 ° C 4 h, monitoring by TLC the reaction was complete. Wait until the reaction solution was cooled, added 60 mL of saturated aqueous sodium bicarbonate, and extracted with ethyl acetate (3 x 50 mL), the organic phase was dried over anhydrous sodium sulfate, filtered, and concentrated to give (S) – (2- (tert oxycarbonyl group) ((R) -2- (2, 2- dimethyl-benzo [d] [l, 3] dioxin-6-yl) -2-hydroxyethyl) amino) phenyl _2_ acetate The crude product was 11.2 g, yield 59%. The crude product obtained in this step without further purification was used directly in the next salt-forming reaction.

[0038] 1H-NMR (500 MHz, CDCl3) δ 1.42 (s, 9H), 1.49 (s, 6H), 3.48 (dd, J = 23.7and 7.5 Hz, 1H), 3.67 (s, 3H), 3.78 ( dd, J = 24.8 and 7.6 Hz, 1H), 4.59 (s, 2H), 5.52 – 5.55 (m, 1H), 6.41 (s, 1H), 6.80 – 7.32 (m, 8H).

[0039] LC-MS: m / z = 472.1 (C26H33NO7 + H +).

[0040] Chiral HPLC: R- configuration: 96.1%, S- configuration: 4.0%.

[0041] Step 3) (S) – (2_ (tert quasi-yl) ((R) _2_ (2,2_-dimethyl-benzo [d] [1,3] dioxin-6-yl) preparation of amino group) of different salts of methyl-2-phenyl-2-hydroxyethyl)

Step 2) The obtained crude product was equally divided into four parts, each solvent were added 20 ml of methanol was stirred at 40 ° C under conditions to dissolve, then the mixture was four respective selection acid, hydrochloric acid, naphthalenesulfonic acid, and methanesulfonic acid treatment, acid is added in an amount 1.5 equivalents crude product, after completion, stirring was continued for 2 hours, allowed to stand overnight and cooled at 0 ° C, filtered, to give the corresponding salt. The results shown in the following table.

Figure CN103923058AD00091
PATENT
W02014041565

Vilanterol is chemically described as 4-{(lR)-2-[6-{2-(2, 6-dichlorobenzyl) oxy] ethoxy} hexyl) amino]- l-hydroxyethyl}-2-(hydroxymethyl) phenol as represented by Formula I.

Figure imgf000002_0001

Formula I The compound 4-{(lR)-2-[(6-{2-[(2,6-dicUorobenzyl)oxy]emoxy}hexyl)amino]-l- hydroxy ethyl} -2-(hydroxymethyl)phenol is specifically described in WO2003/024439, as are pharmaceutically acceptable salts thereof, in particular the acetate, triphenylacetate, a-phenylcinnamate, 1-naphthoate and (R)-mandelate salts. More specifically the preferred pharmaceutically acceptable salt is triphenylacetate salt.

The PCT publication WO 2003/024439, the corresponding US equivalent US 7,361,787 (herein after the ‘787 patent) and J.Med.Chem, 2010, 53, 4522-4530 discloses the process for preparation of vilanterol along with pharmaceutically acceptable salt. The ‘787 patent reaction sequence is schematically represented as follows:

Figure imgf000003_0001

The process described in the ‘787 patent uses alcoholic solvent during the acetonide cleavage of Formula XIV, which tends to result in the formation of the corresponding ether impurities. This requires repetitive purifications, which can be tedious to practice during scale up process. Moreover the dibromo hexane used in the process contains the corresponding 1, 5-dibromo alkanes which tends to react in the same sequential manner to generate the corresponding analogues, which requires repetitive purifications to separate out from the final API. The ‘787 patent imply the use of column chromatographic procedures which are not feasible on the commercial scale.

The ‘787 patent further elucidates the process for preparing (5R)-5-(2, 2-dimethyl-4H-l,

Figure imgf000003_0002

isomeric impurities for the chiral intermediate would carry forward during the process 2013/000556

which results in the formation of various isomeric impurities which are difficult to separate and need more tedious procedures. Moreover reagents like sodium hydride are difficult to handle during the scale up process as it tends to generate high exothermicity, which can affect the yield and purity of the said compound.

The purity and the yield of vilanterol trifenatate as per the disclosed process are not satisfactory and also the said process involves chromatography techniques to isolate the intermediate compounds. The said techniques are tedious, labor intensive, time consuming process not suitable for industrial scale and which in turn result to an increase in the manufacturing cost. Moreover the said process involves the use of vilanterol trifenatate which degrades to form certain impurities and results in the formation of the final compound with a lesser purity.

In view of intrinsic fragility there is a need in the art to develop a simple, industrially feasible and scalable process for the synthesis of vilanterol that would avoid the aforementioned difficulties. Moreover it becomes necessary to prepare highly chiral pure oxazolidinone intermediate to prepare chirally pure vilanterol.

Examplel2: Preparation of 4-((R)-2-{6-[2-(2, 6-Dichlorobenzyloxy)-ethoxy]- hexylamino}-l-hydroxy ethyl)-2-hydroxymethyI-phenol (I-Vilanterol)

Compound XTV (1.0 eqt) was dissolved in acetone (10V) under nitrogen at ambient temperature. The reaction mass was cooled to 0-5°C and 0.5N HCl (12V) was added slowly. The reaction mass was allowed to stir for completion over one hour period. The reaction mass was diluted with dichloromethane and water, followed by addition of saturated sodium bicarbonate solution (lOv) at 0-5°C. The organic layer was separated then washed successively with water/saturated brine and dried over sodium sulfate the solution was concentrated to dryness under vacuum to obtain the residue, followed by column chromatography (MeOH-DCM as eluent). The pure fractions were concentrated under vacuum to afford the title compound as pale yellow color oil.

Yield: 77%; purity by HPLC: 99.15%; Chiral purity: R-isomer: 99.97%; S-isomer: 0.03%

Examplel3: Preparation of 4-((R)-2-{6-[2-(2, 6-Dichlorobenzyloxy)-ethoxy]- hexylamino}-l-hydroxy ethyI)-2-hydroxymethyl-phenol triphenyl acetate (IA: Vilanterol trifenatate)

Triphenyl acetic acid (l.Oeqt) was added to a solution of compound I (l.Oeqt) in acetone (20V) at ambient temperature and the mixture heated to 50-55°C to obtain a homogenous solution. The mixture was allowed to cool to ambient temperature; the resultant product was filtered, washed with chilled acetone, dried under vacuum at 50°C to afford the title compound as a white solid.

Yield: 69%; purity by HPLC: 99.79%; chiral purity-R-isomer: 99.96%; S-isomer: 0.049%

Patent
CN 102120724
Patent
CN 104744270
PATENT
CN 104744271
Patent

β 2- adrenergic receptor agonist is most widely used in clinical treatment of asthma and chronic obstructive pulmonary disease drugs. Currently available on the market β 2- adrenoreceptor agonist longest duration of action of 12 hours, which resulted in the need twice daily dosing. Over the last decade, the development of high potency, high selectivity, rapid onset, long duration of action, once daily dosing of β 2- adrenoreceptor agonists caused great concern in the pharmaceutical industry. Three acid vilanterol by Glaxo Group Limited development of a new Ultralente β 2- adrenergic receptor agonists, having bronchodilatory action.

[0003] vilanterol chemical name is 4 – {(lR) -2 – [(6- {2 – [(2,6- dichlorobenzyl) oxy] ethoxy} hexyl) amino] – 1-hydroxyethyl} -2_ (hydroxymethyl) phenol, having the formula as follows:

Figure CN105646285AD00041

[0005] vilanterol synthetic routes are:

Figure CN105646285AD00042

[0007] (5R) -5- (2, 2- dimethyl -4H-1,3- benzodioxin-6-yl) -1,3-oxazolidin-2-one was prepared an important intermediate Whelan Castro. The synthesis of this intermediate are currently two main ways:

[0008] 1: Reference Laurus Labs Limited published patent W02014041565, its main synthetic routes are as follows:

[0009]

Figure CN105646285AD00051

[0010] obvious drawback of this method, the starting material is 4-bromo-2-hydroxymethyl-phenol, expensive, the next two steps harsh reaction conditions, where low temperature -75 ° C, and the yield rate is not high. Obviously not suitable for large-scale industrial production.

[0011] 2: Reference J. Med Chem 2010, 53, 4522-4530, and patent W02003024439, scheme is as follows:

Figure CN105646285AD00052

[0013]

Figure CN105646285AD00061

The route salicylaldehyde as raw material, the final seven-step synthesis intermediates, but the reaction step, 2-bromo-1- (2,2-dimethyl -4H-1,3- benzodioxin en-6-yl) ethanone di-t-butyl imine and a dicarboxylic acid, a lower yield, only 58%; while the imine dicarboxylate and cesium carbonate expensive, more cost high; the next step and also acidolysis out a tert-butoxycarbonyl group, relatively low utilization atoms.

Synthetic Route [0046] The reaction is as follows:

[0047]

Figure CN105646285AD00091

Preparation of 5- (2-bromoacetyl) -2-hydroxyphenyl 4-carbaldehyde: [0048] Example 1

[0049] Under nitrogen, the ice bath, the aluminum trichloride 164g (5eq) dispersed into 600mL (20-fold amount) in DCM was slowly added dropwise bromoacetyl bromide 99. 4g (2eq), 20min After completion of the dropwise addition, the temperature warmed to room temperature, the reaction LH, salicylaldehyde to this mixture was added dropwise 30g, 20min dropwise addition, dropwise, the reaction overnight at 35 ° C. To the reaction mixture was added ice-water, the organic layer was separated, washed with water, dried and concentrated to dryness in vacuo.With DCM and recrystallized from n-hexane, the product was filtered to give 36. 5g, about 61% yield. 4 bandit 1 (4001 hold, 0)? (: 13): Sll.52 (s, lH), 9.99 (s, lH), 8.30 (s, lH), 8.17 (d, lH, J = 8Hz), 7.10 (d, lH, J = 8Hz), 4.39 (s, 2H); MS (-ESI) m / z 240 [MH]

– 5 -phenyl-1-one Preparation of 2-bromo-1- [4-hydroxy-3- (hydroxymethyl): [0050] Example 2

[0051] 40. 0g of the compound 4 dissolved in 400mL of acetic acid (10 times the amount), under ice-cooling, sodium borohydride was added portionwise 6. 8g (1. leq), was added stirred at rt for lh, TLC showed the reaction complete.Concentrated in vacuo to remove most of acetic acid, diluted with water and neutralized with sodium bicarbonate, extracted with EA, the organic phase washed with water and brine, dried over anhydrous sodium sulfate, and concentrated in vacuo to crude off-white powder did. After laundering refluxed with DCM to give a white powder 32g, 80% yield.

[0052] ^ NMR (400MHz, DMS0-d6): δ 10. 53 (s, 1H), 7. 99 (s, 1H), 7. 79 (d, 1H, J = 8Hz), 6.87 (d, lH , J = 8Hz), 4.75 (s, 2H), 4.50 (s, 2H); MS (+ ESI) m / z 267 [m + Na] +

[0053] Example 3: 2-amino-1- [4-hydroxy-3- (hydroxymethyl) – phenyl-1-one hydrochloride (6)

[0054] 10. 0g of the compound 5 was added to 200mL of ethyl acetate, was added hexamethylenetetramine (1. leq) 6. 2g, room temperature lh, TLC showed complete reaction. After filtration the filter cake was dried in vacuo as a white powder 15. 6g.The above white powder was dissolved in 150mL of ethanol, concentrated hydrochloric acid (5eq) 17. 5mL, room temperature overnight, the reaction was concentrated to dryness in vacuo to give an off-white powder 16. 0g (mixture) administered directly in the next step.

[0055] ^ NMR (400MHz, DMS0-d6): δ 10. 89 (s, 1H), 8. 40 (s, 2H), 7. 98 (d, 1H, J = 2Hz), 7 · 70 (dd , 1H, J = 8Hz and 2Hz), 7 · 02 (d, 1H, J = 8Hz), 4 · 49 (s, 2H), 4 · 43 (s, 2H); MS (+ ESI) m / z 182 [M + H] +

Preparation of 2- (3-hydroxymethyl-4-hydroxyphenyl) -2-carbonyl-ethyl carbamate ⑵ of: [0056] Example 4

[0057] The product from the previous step, compound 6 (hydrochloride) 16. 0g added to 150mL of THF and 150mL water was added 20. 6gNaHC03 (5eq), dissolved 30mL THF was added dropwise to a solution of 9. 8g Boc20, 20min After dropping. Reaction at room temperature lh, TLC showed complete reaction. Water was added, extracted with EA, the organic phase was washed successively with water and brine, dried over anhydrous sodium sulfate, and concentrated in vacuo to a crude solid powder did, then after 1-2 times the amount of reflux in DCM starched white powder 8. 7g, two step yield 76%.

[0058] ^ NMRQOOMHz, DMS0-d6):.. Δ 10. 35 (dr, 1H), 7 94 (s, 1H), 7 75 (d, 1H, J = 8Hz), 6 · 95 (t, 1H , J = 4Hz), 6 · 85 (t, 1H, J = 8Hz), 4 · 49 (s, 2H), 4 · 35 (d, 1H, J = 4Hz), L 39 (s, 9H); MS (ES +) m / z 304 [m + Na] +

[0059] Example 5: 2- (2,2-dimethyl -4H-1,3- benzodioxin-6-yl) -2-carbonyl-ethyl carbamate (7 ) preparation of

[0060] 7. 0g of the compound 2 was dissolved in 70mL of DCM (10-fold amount) was added a catalytic amount of p-toluenesulfonic acid (0. 05eq), was added dropwise 2-dimethoxyethane at reflux propane (2eq) was dissolved in 2-fold amount of DCM, 40min addition was complete, the reaction lh, TLC showed complete reaction. The reaction mixture was washed with saturated NaHC (V Sin three times, the organic phase was dried over anhydrous sodium sulfate, and concentrated in vacuo to give a yellow oil. Of isopropyl ether and recrystallized from n-heptane to obtain a white powder 6. 7g, 83% yield.

[0061] iHNMRGOOMHz, CDC13):. Δ 7. 77 (dd, 1H, J = 8Hz and 2Hz), 7 65 (s, 1H), 6 86 (d, 1H, J = 8Hz), 5 51 (.. dr, 1H), 4 87 (s, 2H), 4 56 (d, 2H, J = 4Hz), 1 56 (s, 6H), 1 47 (s, 9H);…. MS (ES +) m / z 344 [M + Na] +

[0062] Example 6: (2R) -2- (2, 2- dimethyl -4H-1,3- benzodioxin-6-yl) -2-hydroxyethyl carbamate butyl ester (8)

[0063] The catalyst was added 0. 78mL to 10mL of anhydrous THF under nitrogen was added dropwise BH3 ice bath. THF, 20min addition was complete. Was added dropwise under ice-cooling 2. 5g of compound 7 was dissolved in 20mL of anhydrous THF, 50min dropwise addition, reaction was warmed to room temperature 0. 5h, TLC indicated complete reaction. After quenched with methanol under ice-cooling the reaction, the reaction solution was concentrated in vacuo, water was added, extracted with EA, the organic phase washed with water and brine, dried over anhydrous sodium sulfate, and concentrated in vacuo to give a pale yellow oil 2. 8g. After petroleum ether starched white powder 2. 2g, 88% yield.

[0064] iHNMRGOOMHz, CDC13):… Δ 7. 13 (dd, 1H, J = 8Hz and 2Hz), 6 99 (s, 1H), 6 79 (d, 1H, J = 8Hz), 4 92 ( dr, 1H), 4. 71-4. 74 (m, 1H), 3. 42 (d, 1H, J = 12Hz), 3. 20-3. 25 (m, 1H), 1.53 (s, 6H) , 1.44 (s, 9H); MS (+ ESI) m / z 346 [m + Na] +

[0065] Example 7: (5R) -5- (2, 2- dimethyl -4H-1,3- benzodioxin-6-yl) -1, 3 oxazolidin -2 – preparation of ⑴ -one

[0066] Under nitrogen, 8 dissolved in 15mL of DMF 1. 8g compound, at 10-15 ° C, potassium tert-butoxide was added 0. 7g (l. Leq), After completion of the reaction at room temperature lh, TLC the reaction was complete. Ice water was added, a white solid was precipitated, stirring at room temperature after 3h, filtered off with suction, the filter cake was dried to obtain a white powder l.Og, 72% yield (purity 99.6%, ee 99.2%).

[0067] iHNMRGOOMHz, CDC13): δ 7. 15 (dd, 1H, J = 8Hz and 4Hz), 7 · 02 (s, 1H), 6 · 83 (d, 1H, J = 8Hz), 6.09 (br, lH), 5.52 (t, lH, J = 8Hz), 4.84 (s, 2H), 3.92 (t, lH, J = 8Hz), 3.53 (t, lH, J = 8Hz), 1.53 (s, 6H); MS (+ ESI) m / z 250 [m + H] +.

PATENT

https://patents.google.com/patent/WO2017001907A1/en

onverting the formed alcohol, preferably Compound II, to Vilanterol trifenatate, according to the below scheme:

Figure imgf000013_0001
Figure imgf000013_0002

timarate

Figure imgf000013_0003

VII L-tait rate

Figure imgf000013_0004
Figure imgf000013_0005

Example 16: Vilanterol base

Compound VII (5 g, obtained by procedure in Example 10) was dissolved in 5 EtOH (50 mL), followed by addition of 1M HCI solution (50 mL). The mixture was

stirred at room temp, for 90 minutes. Afterwards, pH of the mixture was adjusted to

~9 by addition of 20 % K2C03 solution (25 mL). The mixture was then extracted to dichloromethane (100 mL). Organic phase was washed with water (2 x 25 mL), dried over MgS04 and evaporated to dryness. The residue was purified by column 10 chromatography, elution with mixture of dichloromethane/ethanol/ammonia (50/8/1 ) to give title compound as brownish slightly yellowish oil .

Example 17: Vilanterol trifenatate

Vilanterol base (0.620 g) was dissolved in EtOH (6 mL). Triphenylacetic acid

(0.370 g) was added and the mixture was heated to 50° C and stirred at the same 15 temp, for 15 min. The mixture was then cooled to room temp., followed by cooling in ice-water bath for 90 minutes. The formed suspension was filtered, the filtration cake was washed with cold EtOH and dried at room temp, overnight.

Example 18: Preparation of Vilanterol base 20

( l/ )-2-[(6-{2-[(2,6-dichlorobenzyl)oxy]ethoxy}hexyl)amino]-l-(2,2-dimethyl- 4H-l,3-benzodioxin-6-yl)ethanol (15.5 g, obtained according to the procedure in US

2005/0075394, Example 77(iv)) was dissolved in EtOH (50 mL), followed by addition of 1M HCI solution (50 mL). The mixture was stirred at room temperature for 90 minutes.

Afterwards, the pH of the mixture was adjusted to ~9 by addition of 20 % K2C03 25 solution (25 mL). The mixture was then extracted to dichloromethane ( 100 mL). The organic phase was washed with water (2 x 25 mL), dried over MgS04 and evaporated to dryness.

The crude vilanterol base ( 14.5 g, 90.9 % purity) was dissolved in

dichloromethane and the solution was loaded on a column packed with 300 g Diol-silica 30 in dichloromethane. The column was eluted with dichloromethane with gradient of ethanol (2 – 20 %) . The chromatographic fractions were monitored by TLC. The

fractions containing relatively pure vilanterol were joined and evaporated to dryness, obtaining 11.0 g of vilanterol with purity 97.1 %.

Example 21: Preparation of Vilanterol L-tartrate

EtOH (700 mL) was mixed with 1 M aq. HCI acid (700 mL), the formed mixture 25 was cooled to 5 °C, followed by addition of compound VII L-tartrate ( 100 g, obtained by procedure in Example 15). The mixture was stirred at 5 °C for 15 hours. Afterwards, DCM (500 mL) was added, the mixture was cooled to 0 °C and aq. Solution of K2C03 ( 130g of K2C03 in 200 mL of water) was then added drop wise to the stirred reaction mixture until pH 9 – 9.5 was obtained. Temp, during the addition was kept below 5 °C. 30 The water phase was separated, and extracted with additional DCM (300 mL).

Combined organic extracts were warmed to temp. 20-25 °C and washed with water (2 x 500 mL), 1% brine (500 mL) and 24% brine (500 mL). Afterwards, organic extract was mixed with solution of L-Tartaric acid (26.6 g) in EtOH (210 mL). The mixture was stirred for 10 min. at temp. 20-25°C and then heated by setting the temp, of the 35 reactor jacket to 40°C. All DCM solvent was distilled off under vacuum to residual approximate 350 mL. The mixture was then cooled to 25°C, followed by addition of

EtOAc ( 1.5 L) . The mixture was stirred at 20-25 °C for 1 hour then cooled to -5 °C and stirred overnight. The product was separated by filtration, washed with cold EtOAc and dried under inert gas and room temp. Isolated yield 85%, chemical purity 99.8%, 5 optical purity 99.93%. The sample was analyzed by PXRD, the PXRD pattern is

presented in Figure 5.

Example 22: Preparation of Vilanterol trifenatate

Dichloromethane (256 mL) was mixed with water (256 mL), the formed mixture was cooled to 0 °C, followed by addition of Vilanterol L-tartrate (32 g, obtained by 10 procedure in Example 21 ) and EtOH (64 mL). Afterwards, 25% aq. solution of ammonia (34 mL) was then added drop wise to the stirred mixture. Temp, during the addition was kept below 5 °C. The water phase was separated, and extracted with additional

DCM (128 mL) . Combined organic extracts were warmed to temp. 20-25 °C mixed with MTBE (220 mL), EtOH (64 mL). The obtained mixture was then washed with water (3 x 15 220 mL). Afterwards, the obtained organic extract was mixed with triphenylacetic acid ( 14.5 g) and stirred until complete dissolution at temp. 20-25°C. Then EtOH (96 mL) was added and the mixture was heated by setting the temp, of the reactor jacket to

40°C. Part of DCM solvent was distilled off under vacuum to residual approximate volume 220 mL, The mixture was then cooled to 25°C, followed by addition of MTBE 20 (256 mL). The mixture was stirred at 20-25 °C for 1 hour then cooled to -5 °C and for additional 2 hours. The product was separated by filtration, washed with cold MTBE and dried under inert gas and room temp. Isolated yield 93%, chemical purity 99.8%, optical purity 99.93%.

CN102480971A *2009-09-042012-05-30葛兰素史密丝克莱恩有限责任公司Chemical compounds
WO2013183656A1 *2012-06-042013-12-12大日本住友製薬株式会社Conjugate of g-protein coupled receptor binding ligand and nucleic acid molecule
WO2014041565A2 *2012-09-132014-03-20Laurus Labs Private LimitedAn improved process for the preparation of vilanterol and intermediates thereof
CN103923058A *2014-05-062014-07-16上海鼎雅药物化学科技有限公司Method for synthesizing vilanterol intermediate and salt thereof
CN105646285A *2014-12-022016-06-08上海医药工业研究院Vilanterol intermediate, preparation method and application thereof
WO2017001907A12015-06-292017-01-05Teva Pharmaceuticals International Gmbh

References

  1. Harrell AW, Siederer SK, Bal J, Patel NH, Young GC, Felgate CC, Pearce SJ, Roberts AD, Beaumont C, Emmons AJ, Pereira AI, Kempsford RD: Metabolism and disposition of vilanterol, a long-acting beta(2)-adrenoceptor agonist for inhalation use in humans. Drug Metab Dispos. 2013 Jan;41(1):89-100. doi: 10.1124/dmd.112.048603. Epub 2012 Oct 4. [PubMed:23043183]
  2. Spyratos D, Sichletidis L: Umeclidinium bromide/vilanterol combination in the treatment of chronic obstructive pulmonary disease: a review. Ther Clin Risk Manag. 2015 Mar 25;11:481-7. doi: 10.2147/TCRM.S67491. eCollection 2015. [PubMed:25848294]
 
Patent ID

Title

Submitted Date

Granted Date

US2012309725 COMBINATIONS OF A MUSCARINIC RECEPTOR ANTAGONIST AND A BETA-2 ADRENORECEPTOR AGONIST
2010-11-29
2012-12-06
US2014116434 Dry Powder Inhaler Compositions
2012-06-01
2014-05-01
US2013157991 Dry Powder Inhalation Drug Products Exhibiting Moisture Control Properties and Methods of Administering the Same
2011-08-31
2013-06-20
US2017189424 FLUTICASONE FUROATE IN THE TREATMENT OF COPD
2015-05-27
US9763965 AGGREGATE PARTICLES
2013-04-11
2015-03-26
Patent ID

Title

Submitted Date

Granted Date

US8309572 Muscarinic acetylcholine receptor antagonists
2012-02-22
2012-11-13
US8534281 Manifold for use in medicament dispenser
2006-12-11
2013-09-17
US8161968 Medicament dispenser
2004-07-21
2012-04-24
US8511304 Medicament dispenser
2003-01-22
2013-08-20
US2011319371 PHARMACEUTICAL FORMULATIONS COMPRISING 4-HEXYL)AMINO]-1-HYDROXYETHYL}-2-(HYDROXYMETHYL)PHENOL
2011-12-29
Patent ID

Title

Submitted Date

Granted Date

US6878698 Anti-inflammatory androstane derivatives
2003-05-15
2005-04-12
US6537983 Anti-inflammatory androstane derivatives
2003-03-06
2003-03-25
US7488827 Muscarinic Acetylcholine Receptor Antagonists
2007-10-25
2009-02-10
US6759398 Anti-inflammatory androstane derivative
2002-11-28
2004-07-06
US9750726 COMBINATIONS OF A MUSCARINIC RECEPTOR ANTAGONIST AND A BETA-2 ADRENORECEPTOR AGONIST
2015-12-16
2016-04-07
Patent ID

Title

Submitted Date

Granted Date

US8183257 Muscarinic Acetylcholine Receptor Antagonists
2009-05-14
2012-05-22
US7776895 Inhalation devices for delivering phenethanolamine derivatives for the treatment of respiratory diseases
2009-03-12
2010-08-17
US7439393 Phenethanolamine Derivatives for Treatment of Respiratory Diseases
2008-01-03
2008-10-21
US7498440 Muscarinic acetylcholine receptor antagonists
2007-08-09
2009-03-03
US7629335 Anti-inflammatory androstane derivative
2007-02-01
2009-12-08

/////////////Vilanterol trifenatate, HY-14300ACS-1679, fda 2013, Breo Ellipta,  Relvar Ellipta, 444 , 642444 , GSK-642444  , GW-642444  , GW-642444M , ビランテロール  , ビランテロールトリフェニル酢酸塩 , ビランテロールトリフェナテート

C1=CC=C(C=C1)C(C2=CC=CC=C2)(C3=CC=CC=C3)C(=O)O.C1=CC(=C(C(=C1)Cl)COCCOCCCCCCNCC(C2=CC(=C(C=C2)O)CO)O)Cl

DOLUTEGRAVIR, ドルテグラビルナトリウム


STR1

 

Dolutegravir.svgDolutegravir ball-and-stick model.png

Dolutegravir

ドルテグラビルナトリウム
  • Soltegravir

2H-Pyrido[1′,2′:4,5]pyrazino[2,1-b][1,3]oxazine-9-carboxamide, N-[(2,4-difluorophenyl)methyl]-3,4,6,8,12,12a-hexahydro-7-hydroxy-4-methyl-6,8-dioxo-, (4R,12aS)

(3R,11aS)—N-[(2,4-Difluorophenyl)methyl]-6-hydroxy-3-methyl-5,7-dioxo-2,3,5,7,11,11a-hexahydro[1,3]oxazolo[3,2-a]pyrido[1,2-d]pyrazine-8-carboxamide

(4R,12aS)-N-(2,4-difluorobenzyl)-7-hydroxy-4-methyl-6,8-dioxo-3,4,6,8,12,12a-hexahydro-2H-pyrido[1′,2′:4,5]pyrazino[2,1-b][1,3]oxazine-9-carboxamide
Trade Name:Tivicay
Synonym:GSK1349572, S-349572, GSK572
Date of Approval: August 12, 2013 (US)
Indication:HIV infection
Drug class: Integrase strand transfer inhibitor
Company: ViiV Healthcare,GlaxoSmithKline

INNOVATOR …ViiV Healthcare 
CAS number: 1051375-16-6

1051375-19-9 (Dolutegravir Sodium)

MF:C20H19F2N3O5
MW:419.4

2H-Pyrido[1′,2′:4,5]pyrazino[2,1-b][1,3]oxazine-9-carboxamide, N-[(2,4-difluorophenyl)methyl]-3,4,6,8,12,12a-hexahydro-7-hydroxy-4-methyl-6,8-dioxo-, (4R,12aS)- [ACD/Index Name]
GSK 1349572
S-349572

Chemical Name: (4R,12aS)-N-[(2,4-difluorophenyl)methyl]-7-hydroxy-4-methyl-6,8-dioxo-3,4,6,8,12,12a- hexahydro-2H-pyrido[1′,2′:4,5]pyrazino[2,1-b][1,3]oxazine-9-carboxamide
Patent: US8129385
Patent expiration date: Oct 5, 2027
PCT patent application: W02006116764

ドルテグラビルナトリウム
Dolutegravir Sodium

C20H18F2N3NaO5 : 441.36
[1051375-19-9]

Dolutegravir (DTG, GSK1349572) is an integrase inhibitor being developed for the treatment of human immunodeficiency virus (HIV)-1 infection by GlaxoSmithKline (GSK) on behalf of Shionogi-ViiV Healthcare LLC. DTG is metabolized primarily by uridine diphosphate glucuronyltransferase (UGT)1A1, with a minor role of cytochrome P450 (CYP)3A, and with renal elimination of unchanged drug being extremely low (< 1% of the dose).

Dolutegravir sodium was approved by the U.S. Food and Drug Administration (FDA) on Aug 12, 2013, then approved by European Medicine Agency (EMA) on Jan 16, 2014, and approved by Pharmaceuticals and Medical Devices Agency of Japan (PMDA) on Mar 24, 2014, then approved by Center For Drug Evaluation (CFDA) on Dec 30, 2015. It was co-developed by GlaxoSmithKline & ViiV Healthcare Corporation, then marketed as Tivicay® by ViiV Healthcare in the US and EU and by GlaxoSmithKline & ViiV Healthcare Corporation in JP.

Dolutegravir sodium is an integrase inhibitor which blocks HIV replication by preventing the viral DNA from integrating into the genetic material of human immune cells (T-cells). This step is essential in the HIV replication cycle and is also responsible for establishing chronic infection. It is in combination with other antiretroviral agents for the treatment of HIV-1 infection in adults and children aged 12 years and older and weighing at least 40 kg.

Tivicay® is available as film-coated tablet for oral use, containing 50 mg of free Dolutegravir. The recommended dose is 50 mg Dolutegravir once daily without regards to meals.

APPROVALS

Approval Date Approval Type Trade Name Indication Dosage Form Strength Company Review Classification
2013-08-12 Marketing approval Tivicay HIV infection Tablet, Film coated Eq. 50 mg Dolutegravir ViiV Priority
Approval Date Approval Type Trade Name Indication Dosage Form Strength Company Review Classification
2014-01-16 Marketing approval Tivicay HIV infection Tablet, Film coated 50 mg ViiV
Approval Date Approval Type Trade Name Indication Dosage Form Strength Company Review Classification
2014-03-24 Marketing approval Tivicay HIV infection Tablet, Film coated 50 mg ViiV, GlaxoSmithKline
Approval Date Approval Type Trade Name Indication Dosage Form Strength Company Review Classification
2015-12-30 Marketing approval Tivicay/特威凯 HIV infection Tablet 50 mg GlaxoSmithKline

CLIP

The European Commission has on 21 January 2014 Dolutegravir (Tivicay, ViiV) permit as part of combination therapy for the treatment of HIV-infected persons over the age of 12 years.Dolutegravir (Tivicay, ViiV) is an integrase inhibitor, in combination with other antiretroviral drugs in adults and adolescents can be used from 12 years for the treatment of HIV infection.

Source: Communication from the European Commission

Dolutegravir[1] is a FDA-approved drug[2] for the treatment of HIV infection. Dolutegravir is an integrase inhibitor. Known as S/GSK1349572 or just “572” the drug is marketed as Tivicay[3] by GlaxoSmithKline (GSK). In February, 2013 the Food and Drug Administration announced that it would fast track dolutegravir’s approval process.[4] On August 13, 2013, dolutegravir was approved by the FDA. On November 4, 2013, dolutegravir was approved by Health Canada.[5]

The oral HIV integrase inhibitor S-349572 was originated by Shionogi-GlaxoSmithKline and Shionogi-ViiV Healthcare. In 2013, the product was approved and launched in the U.S. for the treatment of HIV-1 in adults and children aged 12 years and older, in combination with other antiretroviral agents. A positive opinion was received in the E.U for this indication and, in 2014, approval was attained in Europe for this indication. Registration is pending in Japan.

In 2013, orphan drug designation in Japan was assigned to the compound.

Dolutegravir is approved for use in a broad population of HIV-infected patients. It can be used to treat HIV-infected adults who have never taken HIV therapy (treatment-naïve) and HIV-infected adults who have previously taken HIV therapy (treatment-experienced), including those who have been treated with other integrase strand transfer inhibitors. Tivicay is also approved for children ages 12 years and older weighing at least 40 kilograms (kg) who are treatment-naïve or treatment-experienced but have not previously taken other integrase strand transfer inhibitors.[6]

Dolutegravir has also been compared head-to-head with a preferred regimen from the DHHS guidelines in each of the three classes (i.e. 1.) nuc + non-nuc, 2.) nuc + boosted PI, and 3.) nuc + integrase inhibitor).

SPRING-2 compared dolutegravir to another integrase inhibitor, raltegravir, with both coformulated with a choice of TDF/FTC orABC/3TC. After 48 weeks of treatment 88% of those on dolutegravir had less than 50 copies of HIV per mL compared to 85% in the raltegravir group, thus demonstrating non-inferiority.[9]

The FLAMINGO study has been presented at scientific meetings but as of early 2014 has not yet been published. It is an open-label trial of dolutegravir versus darunavir boosted with ritonavir. In this trial 90% of those on dolutegravir based regimens had viral loads < 50 at 48 weeks compared to 83% in the darunavir/r.[10] This 7% difference was statistically significant for superiority of the dolutegravir based regimens.

Another trial comparing dolutegravir to efavirenz, SINGLE, was the first trial to show statistical superiority to an efavirenz/FTC/TDF coformulated regimen for treatment naive patients.[11] After 48 weeks of treatment, 88% of the dolutegravir group had HIV RNA levels < 50 copies / mL versus 81% of the efavirenz group. This has led one commentator to predict that it may replace efavirenz as the first line choice for initial therapy as it can also be formulated in one pill, once-a-day regimens.[12]

Doultegravir has also been studied in patients who have been on previous antiretroviral medications. The VIKING trial looked at patients who had known resistance to the first generation integrase inhibitor raltegravir. After 24 weeks 41% of patients on 50mg dolutegravir once daily and 75% of patients on 50mg twice daily (both along with an optimized background regimen) achieved an HIV RNA viral load of < 50 copies per mL. This demonstrated that there was little clinical cross-resistance between the two integrase inhibitors. [13]

Dolutegravir (also known as S/GSK1349572), a second-generation integrase inhibitor under development by GlaxoSmithKline and its Japanese partner Shionogi for the treatment of HIV infection, was given priority review status from the US Food and Drug Administration (FDA) in February, 2013.

GlaxoSmithKline  marketed the first HIV drug Retrovir in 1987 before losing out to Gilead Sciences Inc. (GILD) as the world’s biggest maker of AIDS medicines. The virus became resistant to Retrovir when given on its own, leading to the development of therapeutic cocktails.

The new once-daily drug Dolutegravir, which belongs to a novel class known as integrase inhibitors that block the virus causing AIDS from entering cells, is owned by ViiV Healthcare, a joint venture focused on HIV in which GSK is the largest shareholder.

Raltegravir (brand name Isentress) received approval by the U.S. Food and Drug Administration (FDA) on 12 October 2007, the first of a new class of HIV drugs, the integrase inhibitors, to receive such approval. it is a potent and well tolerated antiviral agent.  However, it has the limitations of twice-daily dosing and a relatively modest genetic barrier to the development of resistance, prompting the search for agents with once-daily dosing.

Elvitegravir, approved by the FDA on August 27, 2012 as part of theelvitegravir/cobicistat/tenofovir disoproxil fumarate/emtricitabine fixed-dose combination pill (Quad pill, brand name Stribild) has the benefit of being part of a one-pill, once-daily regimen, but suffers from extensive cross-resistance with raltegravir.

STR1DOLUTEGRAVIR

Gilead’s Atripla (Emtricitabine/Tenofovir/efavirenz), approved in 2006 with loss of patent protection in 20121, is the top-selling HIV treatment. The $3.2 billion medicine combines three drugs in one pill, two compounds that make up Gilead’s Truvada (Emtricitabine/Tenofovir) and Bristol- Myers Squibb Co.’s Sustiva (Efavirenz).

A three-drug combination containing dolutegravir and ViiV’s older two-in-one treatment Epzicom(Abacavir/Lamivudine, marketed outside US as Kivexa) proved better than Gilead’s market-leading Atripla  in a clinical trial released in July, 2012 (See the Full Conference Report Here), suggesting it may supplant the world’s best-selling AIDS medicine as the preferred front-line therapy. In the latest Phase III study, after 48 weeks of treatment, 88% of patients taking the dolutegravir-based regimen had reduced viral levels to the goal compared with 81% of patients taking Atripla. More patients taking Atripla dropped out of the study because of adverse events compared with those taking dolutegravir — 10% versus just 2% — which was the main driver of the difference in efficacy. The result was the second positive final-stage clinical read-out for dolutegravir, following encouraging results against U.S. company Merck & Co’s rival Isentress in April, 2012 (See the Conference Abstract Here)..

Dolutegravir is viewed by analysts as a potential multibillion-dollar-a-year seller, as its once-daily dosing is likely to be attractive to patients. The FDA is scheduled to issue a decision on the drug’s approval by August 17。

TIVICAY contains dolutegravir, as dolutegravir sodium, an HIV INSTI. The chemical name of dolutegravir sodium is sodium (4R,12aS)-9-{[(2,4-difluorophenyl)methyl]carbamoyl}-4-methyl-6,8-dioxo-3,4,6,8,12,12a-hexahydro-2H-pyrido[1′,2′:4,5]pyrazino[2,1-b][1,3]oxazin-7-olate. The empirical formula is C20H18F2N3NaO5 and the molecular weight is 441.36 g/mol. It has the following structural formula:

TIVICAY (dolutegravir) Structural Formula Illustration

Dolutegravir sodium is a white to light yellow powder and is slightly soluble in water.

Each film-coated tablet of TIVICAY for oral administration contains 52.6 mg of dolutegravir sodium, which is equivalent to 50 mg dolutegravir free acid, and the following inactive ingredients: D-mannitol, microcrystalline cellulose, povidone K29/32, sodium starch glycolate, and sodium stearyl fumarate. The tablet film-coating contains the inactive ingredients iron oxide yellow, macrogol/PEG, polyvinyl alcohol-part hydrolyzed, talc, and titanium dioxide.

DOLUTEGRAVIR

File:Synthese Dolutegravir.png

http://blog.sina.com.cn/s/blog_de171b9b0101a1ah.html  BELOW

STR1

Dolutegravir Synthesis
Identifications:
1H NMR (Estimated) for Dolutegravir
Experimental: 1H NMR (CDCl3) δ  12.45 (s, 1H), 10.38 (br s, 1H), 8.30 (s, 1H), 7.40-7.30 (m, 1H), 6.85-6.75 (m, 2H), 5.26 (d, J = 5.8, 4.1 Hz, 2H), 5.05-4.95 (m, 1H), 4.64 (d, J = 5.9 Hz, 2H), 4.27 (dd, J = 13.4, 4.2 Hz, 1H), 4.12 (dd, J = 13.6, 6.0 Hz, 1H), 4.05 (t, J = 2.3 Hz, 1H), 4.02 (d, J = 2.2 Hz, 1H), 2.30-2.19 (m, 1H), 1.56 (dd, J = 14.0, 2.0 Hz, 1H), 1.42 (d, J = 7.0 Hz, 3H).

INTRODUCTION

Among viruses, human immunodeficiency virus (HIV), a kind of retrovirus, is known to cause acquired immunodeficiency syndrome (AIDS). The therapeutic agent for AIDS is mainly selected from a group of reverse transcriptase inhibitors (e.g., AZT, 3TC) and protease inhibitors (e.g., Indinavir), but they are proved to be accompanied by side effects such as nephropathy and the emergence of resistant viruses. Thus, the development of anti-HIV agents having the other mechanism of action has been desired.

On the other hand, a combination therapy is reported to be efficient in treatment for AIDS because of the frequent emergence of the resistant mutant. Reverse transcriptase inhibitors and protease inhibitors are clinically used as an anti-HIV agent, however agents having the same mechanism of action often exhibit cross-resistance or only an additional activity. Therefore, anti-HIV agents having the other mechanism of action are desired.

Under the circumstances above, an HIV integrase inhibitor has been focused on as an anti-HIV agent having a novel mechanism of action (Ref: Patent Documents 1 and 2). As an anti-HIV agent having such a mechanism of action, known are carbamoyl-substituted hydroxypyrimidinone derivative (Ref: Patent Documents 3 and 4) and carbamoyl-substituted hydroxypyrrolidione derivative (Ref: Patent Document 5). Further, a patent application concerning carbamoyl-substituted hydroxypyridone derivative has been filed (Ref: Patent Document 6, Example 8).

Other known carbamoylpyridone derivatives include 5-alkoxypyridine-3-carboxamide derivatives and γ-pyrone-3-carboxamide derivatives, which are a plant growth inhibitor or herbicide (Ref: Patent Documents 7-9).

Other HIV integrase inhibitors include N-containing condensed cyclic compounds (Ref: Patent Document 10).

  • [Patent Document 1] WO03/0166275
  • [Patent Document 2] WO2004/024693
  • [Patent Document 3] WO03/035076
  • [Patent Document 4] WO03/035076
  • [Patent Document 5] WO2004/004657
  • [Patent Document 6] JP Patent Application 2003-32772
  • [Patent Document 7] JP Patent Publication 1990-108668
  • [Patent Document 8] JP Patent Publication 1990-108683
  • [Patent Document 9] JP Patent Publication 1990-96506
  • [Patent Document 10] WO2005/016927
  • Patent Document 1 describes compounds (I) and (II), which are useful as anti-HIV drugs and shown by formulae:
    Figure imgb0001
    This document describes the following reaction formula as a method of producing compound (I).
    Figure imgb0002
    Figure imgb0003
    Furthermore, Patent Documents 2 to 6 describe the following reaction formula as an improved method of producing compound (I).
    Figure imgb0004
    Figure imgb0005
        [PATENT DOCUMENTS]

        • [Patent Document 1] International publication No.2006/116764 pamphlet
        • [Patent Document 2] International publication No.2010/011812 pamphlet
        • [Patent Document 3] International publication No.2010/011819 pamphlet
        • [Patent Document 4] International publication No.2010/068262 pamphlet
        • [Patent Document 5] International publication No.2010/067176 pamphlet
        • [Patent Document 6] International publication No.2010/068253 pamphlet
        • [Patent Document 7] US Patent 4769380A
        • [Patent Document 8] International applicationPCT/JP2010/055316

    [NON-PATENT DOCUMENTS]

      • [Non-Patent Document 1] Journal of Organic Chemistry, 1991, 56(16), 4963-4967
      • [Non-Patent Document 2] Science of Synthesis, 2005, 15, 285-387
      • [Non-Patent Document 3] Journal of Chemical Society Parkin Transaction. 1, 1997, Issue. 2, 163-169

A clip and its own references

Dolutegravir sodium (Tivicay®), developed and marketed by GlaxoSmithKline,45 was approved by the FDA in August 2013 as a novel integrase inhibitor for the treatment of HIV infection.46 Dolutegravir was fast-tracked by the FDA in February 2012,47 and joins an important class of drugs known as Integrase Strand Transfer inhibitors (INSTi’s).48 INSTi’s are characterized by their two-metal-chelating scaffolds, which are known to chelate Mg2+ cofactors in the enzyme active site,49, 50 interrupting function of HIV-1 integrase, which is essential for replication of viral DNA into host chromatin.49-51,52 Other drugs in this class, raltegravir and elvitegravir, are known to require either high dosages53 or PK boosting agents,54 respectively, with raltegravir also exhibiting substantial loss of potency in several major HIV-1 integrase mutation pathways.55 Dolutegravir was pursued with the goal of developing a INSTi with a once-daily, low-dosage treatment with improved resistance profile and without the
need for the use of a PK boosting agent.51, 56 Dolutegravir sodium has been approved for treating a broad
population of HIV-infected patients, including adults undergoing their first treatment as well as those
who have been treated with other integrase transfer strand inhibiting agents.46 The most likely process-scale synthesis of dolutegravir sodium, as described in Scheme 8, began with benzyl protection and alkylation of pyrone 46 with benzaldehyde, yielding alcohol 47 in 74% over 2 steps (Scheme 8).57, 58 Alcohol mesylation and in-situ elimination provided the styrenyl olefin 48 in 94% yield, which further underwent an oxidative cleavage of the olefin to generate 49 by sequential addition of RuCl3/NaIO4 and NaClO2 (56% overall yield). Treatment of pyranone 49 with 3-amino-propane-2-diol (50) in ethanol at elevated temperatures delivered the corresponding pyridinone in 83% yield, and this was followed by esterification and sodium periodate-mediated diol cleavage to furnish intermediate 51 in 71% overall yield across the two-step sequence.57, 58 Next, the key ring-forming step in the
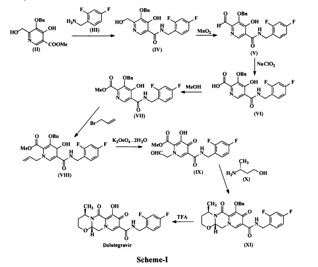
synthesis of dolutegravir sodium consisted of cyclization of 51 with (R)-3-amino-butan-1-ol, a process which relies on substrate control to provide the desired tricyclic carbamoylpyridone system 52 in high stereoselectivity (20/1 in favor of the desired isomer).51 Previously, cyclization of systems such as 51 with unsubstituted amino alcohols were found to yield a mixture of diastereomeric products, therefore indicating the pivotal role of the chiral amino alcohol in influencing stereochemical bias during the overall cyclization step.51, 56 In practice, reaction of 51 with (R)-3-amino-butan-1-ol at 90 °C led to isolation of a single cyclization product 52, after recrystallization from EtOAc.57, 58 From 52, Nbromosuccinimide (NBS) bromination and subsequent treatment with amine 53 under palladiumcatalyzed
amidocarbonylative conditions led to amide 54 in 75% yield over 2 steps. Finally, removal of the benzyl group and subsequent crystallization using sodium hydroxide in water and ethanol provided dolutegravir sodium (VII) in 99% yield.57, 58

 

45 Johns, B. A.; Kawasuji, T.; Taishi, T.; Taoda, Y. WO Patent 2006116764A1, 2006.
46. http://www.fda.gov/NewsEvents/Newsroom/PressAnnouncements/ucm364744.htm.
47. https://newdrugapprovals.org/2013/07/16/dolutegravir-biggest-rival-to-worlds-best-selling-hivdrug-atripla-may-get-fda-approval-by-august-2013/.
48. Pendri, A.; Meanwell, N. A.; Peese, K. M.; Walker, M. A. Expert Opin. Ther. Pat. 2011, 21,1173.
49. Johns, B. A.; Svolto, A. C. Expert Opin. Ther. Pat. 2008, 18, 1225.60
50. Johns, B. A.; Weatherhead, J. G.; Allen, S. H.; Thompson, J. B.; Garvey, E. P.; Foster, S. A.;
Jeffrey, J. L.; Miller, W. H. Bioorg. Med. Chem. Lett. 2009, 19, 1802.
51. Johns, B. A.; Kawasuji, T.; Weatherhead, J. G.; Taishi, T.; Temelkoff, D. P.; Yoshida, H.;Akiyama, T.; Taoda, Y.; Murai, H.; Kiyama, R.; Fuji, M.; Tanimoto, N.; Jeffrey, J.; Foster, S.A.; Yoshinaga, T.; Seki, T.; Kobayashi, M.; Sato, A.; Johnson, M. N.; Garvey, E. P.; Fujiwara,
T. J. Med. Chem. 2013, 56, 5901.
52. Kawasuji, T.; Johns, B. A.; Yoshida, H.; Taishi, T.; Taoda, Y.; Murai, H.; Kiyama, R.; Fuji, M.;Yoshinaga, T.; Seki, T.; Kobayashi, M.; Sato, A.; Fujiwara, T. J. Med. Chem. 2012, 55, 8735.
53. Lennox, J. L.; De Jesus, E.; Lazzarin, A.; Pollard, R. B.; Valdez Ramalho Madruga, J.; Berger,D. S.; Zhao, J.; Xu, X.; Williams-Diaz, A.; Rodgers, A. J.; Barnard, R. J. O.; Miller, M. D.; DiNubile, M. J.; Nguyen, B.-Y.; Leavitt, R.; Sklar, P. Lancet 2009, 374, 796.
54. Ramanathan, S.; Mathias, A. A.; German, P.; Kearney, B. P. Clin. Pharmacokinet. 2011, 50,229.
55. Ceccherini-Silberstein, F.; Malet, I.; D’Arrigo, R.; Antinori, A.; Marcelin, A.-G.; Perno, C.-F.AIDS Rev. 2009, 11, 17.
56. Kawasuji, T.; Johns, B. A.; Yoshida, H.; Weatherhead, J. G.; Akiyama, T.; Taishi, T.; Taoda, Y.;Mikamiyama-Iwata, M.; Murai, H.; Kiyama, R.; Fuji, M.; Tanimoto, N.; Yoshinaga, T.; Seki, T.;Kobayashi, M.; Sato, A.; Garvey, E. P.; Fujiwara, T. J. Med. Chem. 2013, 56, 1124.
57. Johns, B. A.; Duan, M.; Hakogi, T. WO Patent 2010068262A1, 2010.
58. Yoshida, H.; Taoda, Y.; Johns, B. A. WO Patent 2010068253A1, 2010.

CLIPS

Dolutegravir synthesis (EP2602260, 2013). LiHMDS as the non-nucleophilic strong base pulling compound 1 carbonyl group proton alpha position with an acid chloride after 2 and ring closure reaction to obtain 3 , 3 via primary amine 4 ring opening ring closure to obtain 5 , NBS the bromine under acidic conditions to obtain aldehyde acetal becomes 6 , 6 of the aldehyde and amino alcohols 7 and turn off the condensation reaction obtained by the ring 8 , alkaline hydrolysis 8 of bromine into a hydroxyl group and hydrolyzable ester obtained 9 after the 10 occurred acid condensation Dolutegravir.

CLIPS

Synthesis of Dolutegravir (S/GSK1349572, GSK1349572)

SYNTHESIS

2H-Pyrido[1′,2′:4,5]pyrazino[2,1-b][1,3]oxazine-9-carboxamide, N-[(2,4-difluorophenyl)methyl]-3,4,6,8,12,12a-hexahydro-7-hydroxy-4-methyl-6,8-dioxo-, (4R,12aS) ………..dolutegravir

PATENT

US8129385

STR1 STR2

Figure US08129385-20120306-C00099

Desired isomer

Example Z-1

(3R,11aS)—N-[(2,4-Difluorophenyl)methyl]-6-hydroxy-3-methyl-5,7-dioxo-2,3,5,7,11,11a-hexahydro[1,3]oxazolo[3,2-a]pyrido[1,2-d]pyrazine-8-carboxamide sodium salt

Figure US08129385-20120306-C00116

a)

(3R,11aS)—N-[(2,4-Difluorophenyl)methyl]-3-methyl-5,7-dioxo-6-[(phenylmethyl)oxy]-2,3,5,7,11,11a-hexahydro[1,3]oxazolo[3,2-a]pyrido[1,2-d]pyrazine-8-carboxamide. To a solution of 16a (409 mg, 0.87 mmol) in dichloroethane (20 mL) was added (2R)-2-amino-1-propanol (0.14 mL, 1.74 mmol) and 10 drops of glacial acetic acid. The resultant solution was heated at reflux for 2 h. Upon cooling, Celite was added to the mixture and the solvents removed in vacuo and the material was purified via silica gel chromatography (2% CH3OH/CH2Clgradient elution) to give (3R,11aS)—N-[(2,4-difluorophenyl)methyl]-3-methyl-5,7-dioxo-6-[(phenylmethyl)oxy]-2,3,5,7,11,11a-hexahydro[1,3]oxazolo[3,2-a]pyrido[1,2-d]pyrazine-8-carboxamide (396 mg, 92%) as a glass. 1H NMR (CDCl3) δ 10.38 (m, 1H), 8.42 (s, 1H), 7.54-7.53 (m, 2H), 7.37-7.24 (m, 4H), 6.83-6.76 (m, 2H), 5.40 (d, J=10.0 Hz, 1H), 5.22 (d, J=10.0 Hz, 1H), 5.16 (dd, J=9.6, 6.0 Hz, 1H), 4.62 (m, 2H), 4.41 (m, 1H), 4.33-4.30 (m, 2H), 3.84 (dd, J=12.0, 10.0 Hz, 1H), 3.63 (dd, J=8.4, 7.2 Hz, 1H), 1.37 (d, J=6.0 Hz, 3H); ES+MS: 496 (M+1).

b)

(3R,11aS)—N-[(2,4-Difluorophenyl)methyl]-6-hydroxy-3-methyl-5,7-dioxo-2,3,5,7,11,11a-hexahydro[1,3]oxazolo[3,2-a]pyrido[1,2-d]pyrazine-8-carboxamide sodium salt. To a solution of (3R,11aS)—N-[(2,4-difluorophenyl)methyl]-3-methyl-5,7-dioxo-6-[(phenylmethyl)oxy]-2,3,5,7,11,11a-hexahydro[1,3]oxazolo[3,2-a]pyrido[1,2-d]pyrazine-8-carboxamide (396 mg, 0.80 mmol) in methanol (30 mL) was added 10% Pd/C (25 mg). Hydrogen was bubbled through the reaction mixture via a balloon for 2 h. The resultant mixture was filtered through Celite with methanol and dichloromethane.

The filtrate was concentrated in vacuo to give (3R,11aS)—N-[(2,4-difluorophenyl)methyl]-6-hydroxy-3-methyl-5,7-dioxo-2,3,5,7,11,11a-hexahydro[1,3]oxazolo[3,2-a]pyrido[1,2-d]pyrazine-8-carboxamide , DOLUTEGRAVIR   as a pink tinted white solid (278 mg, 86%).

1H NMR (CDCl3) δ 11.47 (m, 1H), 10.29 (m, 1H), 8.32 (s, 1H), 7.36 (m, 1H), 6.82 (m, 2H), 5.31 (dd, J=9.6, 3.6 Hz, 1H), 4.65 (m, 2H), 4.47-4.38 (m, 3H), 3.93 (dd, J=12.0, 10.0 Hz, 1H), 3.75 (m, 1H), 1.49 (d, J=5.6 Hz, 3H); ES+ MS: 406 (M+1).

DOLUTEGRAVIR NA SALT

The above material (278 mg, 0.66 mmol) was taken up in ethanol (10 mL) and treated with 1 N sodium hydroxide (aq) (0.66 ml, 0.66 mmol). The resulting suspension was stirred at room temperature for 30 min. Ether was added and the liquids were collected to provide the sodium salt of the title compound as a white powder (291 mg, 99%). 1H NMR (DMSO-d6) δ 10.68 (m, 1H), 7.90 (s, 1H), 7.35 (m, 1H), 7.20 (m, 1H), 7.01 (m, 1H), 5.20 (m, 1H), 4.58 (m, 1H), 4.49 (m, 2H), 4.22 (m, 2H), 3.74 (dd, J=11.2, 10.4 Hz, 1H), 3.58 (m, 1H), 1.25 (d, J=4.4 Hz, 3H).

UNDESIRED ISOMER

Example Z-9

(3S,11aR)—N-[(2,4-Difluorophenyl)methyl]-6-hydroxy-3-methyl-5,7-dioxo-2,3,5,7,11,11a-hexahydro[1,3]oxazolo[3,2-a]pyrido[1,2-d]pyrazine-8-carboxamide sodium salt

Figure US08129385-20120306-C00124

The title compound was made in two steps using a similar process to that described in example Z-1. 16a (510 mg, 1.08 mmol) and (25)-2-amino-1-propanol (0.17 mL, 2.17 mmol) were reacted in 1,2-dichloroethane (20 mL) with acetic acid to give (3S,11aR)—N-[(2,4-difluorophenyl)methyl]-3-methyl-5,7-dioxo-6-[(phenylmethyl)oxy]-2,3,5,7,11,11a-hexahydro[1,3]oxazolo[3,2-a]pyrido[1,2-d]pyrazine-8-carboxamide (500 mg, 93%). This material was hydrogenated in a second step as described in example Z-1 to give (3S,11aR)—N-[(2,4-Difluorophenyl)methyl]-6-hydroxy-3-methyl-5,7-dioxo-2,3,5,7,11,11a-hexahydro[1,3]oxazolo[3,2-a]pyrido[1,2-d]pyrazine-8-carboxamide (386 mg, 94%) as a tinted white solid. 1H NMR (CDCl3) δ 11.46 (m, 1H), 10.28 (m, 1H), 8.32 (s, 1H), 7.35 (m, 1H), 6.80 (m, 2H), 5.30 (dd, J=10.0, 4.0 Hz, 1H), 4.63 (m, 2H), 4.48-4.37 (m, 3H), 3.91 (dd, J=12.0, 10.0 Hz, 1H), 3.73 (m, 1H), 1.48 (d, J=6.0 Hz, 3H); ES+ MS: 406 (M+1). This material (385 mg, 0.95 mmol) was treated with sodium hydroxide (0.95 mL, 1.0 M, 0.95 mmol) in ethanol (15 mL) as described in example Z-1 to provide its corresponding sodium salt (381 mg, 94%) as a white solid. 1H NMR (DMSO-d6) δ 10.66 (m, 1H), 7.93 (s, 1H), 7.33 (m, 1H), 7.20 (m, 1H), 7.01 (m, 1H), 5.19 (m, 1H), 4.59 (m, 1H), 4.48 (m, 2H), 4.22 (m, 2H), 3.75 (m, 1 H), 3.57 (m, 1H), 1.24 (d, J=5.6 Hz, 3H).

SYNTHESIS OF INTERMEDIATES

Figure US08129385-20120306-C00090

IN ABOVE SCHEME SYNTHESIS UPTO COMPD 9 MAY BE USEFUL IN SYNTHESIS BUT READERS DISCRETION IS SOUGHT IN THIS ?????????????????

1) Maltol 1 (189 g, 1.5 mol) was dissolved in dimethylformamide (1890 ml), and benzyl bromide (184 ml, 1.5 mol) was added. After the solution was stirred at 80° C. for 15 minutes, potassium carbonate (228 g, 1.65 mol) was added, and the mixture was stirred for 1 hour. After the reaction solution was cooled to room temperature, an inorganic salt was filtered, and the filtrate was distilled off under reduced pressure. To the again precipitated inorganic salt was added tetrahydrofuran (1000 ml), this was filtered, and the filtrate was distilled off under reduced pressure to obtain the crude product (329 g, >100%) of 3-benzyloxy-2-methyl-pyran-4-one 2 as a brown oil.

NMR (CDCl3) δ: 2.09 (3H, s), 5.15 (2H, s), 6.36 (1H, d, J=5.6 Hz), 7.29-7.41 (5H, m), 7.60 (1H, d, J=5.6 Hz).

2) The compound 2 (162.2 g, 750 mmol) was dissolved in ethanol (487 ml), and aqueous ammonia (28%, 974 ml) and a 6N aqueous sodium hydroxide solution (150 ml, 900 mmol) were added. After the reaction solution was stirred at 90° C. for 1 hour, this was cooled to under ice-cooling, and ammonium chloride (58 g, 1080 mmol) was added. To the reaction solution was added chloroform, this was extracted, and the organic layer was washed with an aqueous saturated sodium bicarbonate solution, and dried with anhydrous sodium sulfate. The solvent was distilled off under reduced pressure, isopropyl alcohol and diethyl ether were added to the residue, and precipitated crystals were filtered to obtain 3-benzyloxy-2-methyl-1H-pyridine-4-one 3 (69.1 g, 43%) as a pale yellow crystal.

NMR (DMSO-d6) δ: 2.05 (3H, s), 5.04 (2H, s), 6.14 (1H, d, J=7.0 Hz), 7.31-7.42 (5H, m), 7.46 (1H, d, J=7.2 Hz), 11.29 (1H, brs).

3) The above compound 3 (129 g, 699 mmol) was suspended in acetonitrile (1300 ml), and N-bromosuccinic acid imide (117 g, 659 mmol) was added, followed by stirring at room temperature for 90 minutes. Precipitated crystals were filtered, and washed with acetonitrile and diethyl ether to obtain 3-benzyloxy-5-bromo-2-methyl-pyridine-4-ol 4 (154 g, 88%) as a colorless crystal.

NMR (DMSO-d6) δ: 2.06 (3H, s), 5.04 (2H, s), 7.32-7.42 (5H, m), 8.03 (1H, d, J=5.5 Hz), 11.82 (1H, brs).

4) To a solution of the compound 4 (88 g, 300 mmol), palladium acetate (13.4 g, 60 mmol) and 1,3-bis(diphenylphosphino)propane (30.8 g, 516 mmol) in dimethylformamide (660 ml) were added methanol (264 ml) and triethylamine (210 ml, 1.5 mol) at room temperature. The interior of a reaction vessel was replaced with carbon monoxide, and the material was stirred at room temperature for 30 minutes, and stirred at 80 degree for 18 hours. A vessel to which ethyl acetate (1500 ml), an aqueous saturated ammonium chloride solution (1500 ml) and water (1500 ml) had been added was stirred under ice-cooling, and the reaction solution was added thereto. Precipitates were filtered, and washed with water (300 ml), ethyl acetate (300 ml) and diethyl ether (300 ml) to obtain 5-benzyloxy-4-hydroxy-6-methyl-nicotinic acid methyl ester 5 (44.9 g, 55%) as a colorless crystal.

NMR (DMSO-d6) δ: 2.06 (3H, s), 3.72 (3H, s), 5.02 (2H, s), 7.33-7.42 (5H, m), 8.07 (1H, s).

5) After a solution of the compound 5 (19.1 g, 70 mmol) in acetic anhydride (134 ml) was stirred at 130° C. for 40 minutes, the solvent was distilled off under reduced pressure to obtain 4-acetoxy-5-benzyloxy-6-methyl-nicotinic acid methyl ester 6 (19.9 g, 90%) as a flesh colored crystal.

NMR (CDCl3) δ: 2.29 (3H, s), 2.52 (3H, s), 3.89 (3H, s), 4.98 (2H, s), 7.36-7.41 (5H, m), 8.85 (1H, s).

6) To a solution of the compound 6 (46.2 g, 147 mmol) in chloroform (370 ml) was added metachloroperbenzoic acid (65%) (42.8 g, 161 mmol) in portions under ice-cooling, and this was stirred at room temperature for 90 minutes. To the reaction solution was added a 10% aqueous potassium carbonate solution, and this was stirred for 10 minutes, followed by extraction with chloroform. The organic layer was washed with successively with a 10% aqueous potassium carbonate solution, an aqueous saturated ammonium chloride solution, and an aqueous saturated sodium chloride solution, and dried with anhydrous sodium sulfate. The solvent was distilled off under induced pressure, and the residue was washed with diisopropyl ether to obtain 4-acetoxy-5-benzyloxy-6-methyl-1-oxy-nicotinic acid methyl ester 7 (42.6 g, 87%) as a colorless crystal.

NMR (CDCl3) δ: 2.30 (3H, s), 2.41 (3H, s), 3.90 (3H, s), 5.02 (2H, s), 7.37-7.39 (5H, m), 8.70 (1H, s).

7) To acetic anhydride (500 ml) which had been heated to stir at 130° C. was added the compound 7 (42.6 g, 129 mmol) over 2 minutes, and this was stirred for 20 minutes. The solvent was distilled off under reduced pressure to obtain 4-acetoxy-6-acetoxymethyl-5-benzyloxy-nicotinic acid methyl ester 8 (49.6 g, >100%) as a black oil.

NMR (CDCl3) δ: 2.10 (3H, s), 2.28 (3H, s), 3.91 (3H, s), 5.07 (2H, s), 5.20 (2H, s), 7.35-7.41 (5H, m), 8.94 (1H, s).

8) To a solution of the compound 8 (46.8 g, 125 mmol) in methanol (140 ml) was added a 2N aqueous sodium hydroxide solution (376 ml) under ice-cooling, and this was stirred at 50° C. for 40 minutes. To the reaction solution were added diethyl ether and 2N hydrochloric acid under ice-cooling, and precipitated crystals were filtered. Resulting crystals were washed with water and diethyl ether to obtain 5-benzyloxy-4-hydroxy-6-hydroxymethyl-nicotinic acid 9 (23.3 g, 68%) as a colorless crystal.

NMR (DMSO-d6) δ: 4.49 (2H, s), 5.19 (2H, s), 5.85 (1H, brs), 7.14-7.20 (2H, m), 7.33-7.43 (7H, m), 8.30 (1H, s), 10.73 (1H, t, J=5.8 Hz), 11.96 (1H, brs).

9) To a solution of the compound 9 (131 g, 475 mmol), 1-(3-dimethylaminopropyl)-3-ethylcarbodiimide hydrochloride (219 g, 1140 mmol) and 1-hydroxybenzotriazole (128 g, 950 mmol) in dimethylformamide (1300 ml) was added 4-fluorobenzylamine (109 ml, 950 mmol), and this was stirred at 80° C. for 1.5 hours. After the reaction solution was cooled to room temperature, hydrochloric acid was added, followed by extraction with ethyl acetate. The extract was washed with a 5% aqueous potassium carbonate solution, an aqueous saturated ammonium chloride solution, and an aqueous saturated sodium chloride solution, and dried with anhydrous sodium sulfate. The solvent was distilled off under reduced pressure to obtain a mixture (175 g) of 10 and 11. the resulting mixture was dissolved in acetic acid (1050 ml) and water (1050 ml), and zinc (31.1 g, 475 mmol) was added, followed by heating to reflux for 1 hour. After the reaction solution was cooled to room temperature, a 10% aqueous potassium carbonate solution was added, followed by extraction with ethyl acetate. The extract was washed with an aqueous saturated ammonium chloride solution, and an aqueous saturated sodium chloride solution, and dried with anhydrous sodium sulfate. After the solvent was distilled off under reduced pressure, this was washed with diethyl ether to obtain 5-benzyloxy-N-(4-fluoro-benzyl)-4-hydroxy-6-hydroxymethyl-nicotinic acid amide 10 (107 g, 59%) as a colorless crystal.

NMR (DMSO-d6) δ: 4.45 (2H, d, J=4.3 Hz), 4.52 (2H, d, J=5.8 Hz), 5.09 (2H, s), 6.01 (1H, brs), 7.36-7.43 (5H, m), 8.31 (1H, s), 12.63 (1H, brs).

PATENT

SYNTHESIS

EP2602260A1

STR1

Example 3

Figure imgb0128

3H IS DOLUTEGRAVIR

Step 1

N,N-dimethylformamide dimethyl acetal (4.9 ml, 36.5 mmol) was added dropwise to compound 3A (5.0 g, 30.4 mmol) under cooling at 0°C. After stirring at 0°C for 1 hour, 100 ml of ethyl acetate was added to the reaction solution, and the organic layer was washed with a 0.5 N aqueous hydrochloric acid solution (50 ml). The aqueous layer was separated, followed by extraction with ethyl acetate (50 ml). The organic layers were combined, washed with a saturated aqueous solution of sodium bicarbonate and saturated saline in this order, and then dried over anhydrous sodium sulfate. The solvent was distilled off, and the obtained residue was purified by silica gel column chromatography (n-hexane-ethyl acetate: 1:1 (v/v) → ethyl acetate) to obtain 4.49 g (yield: 67%) of compound 3B as an oil.

1H-NMR (CDCl3)δ:1.32 (3H, t, J = 7.1 Hz), 2.90 (3H, br s), 3.29 (3H, br s), 4.23 (2H, q, J = 7.1 Hz), 4.54 (2H, s), 7.81 (1H, s).

Step 2

Lithium hexamethyldisilazide (1.0 M solution in toluene, 49 ml, 49.0 mmol) was diluted with tetrahydrofuran (44 ml). A tetrahydrofuran (10 ml) solution of compound 3B (4.49 g, 20.4 mmol) was added dropwise thereto under cooling at -78°C, and a tetrahydrofuran (10 ml) solution of ethyl oxalyl chloride (3.35 g, 24.5 mmol) was then added dropwise to the mixture. The mixture was stirred at -78°C for 2 hours and then heated to 0°C. 2 N hydrochloric acid was added to the reaction solution, and the mixture was stirred for 20 minutes, followed by extraction with ethyl acetate (200 ml x 2). The organic layer was washed with a saturated aqueous solution of sodium bicarbonate and saturated saline and then dried over anhydrous sodium sulfate. The solvent was distilled off, and the obtained residue was purified by silica gel column chromatography (n-hexane-ethyl acetate: 7:3 → 5:5 → 0:10 (v/v)) to obtain 1.77 g (yield: 31%) of compound 3C as a white solid.

1H-NMR (CDCl3)δ:1.36-1.46 (6H, m), 4.35-4.52 (8H, m), 8.53 (1H, s).

Step 3

Aminoacetaldehyde dimethyl acetal (0.13 ml, 1.20 mmol) was added to an ethanol (6 ml) solution of compound 3C (300 mg, 1.09 mmol) at 0°C, and the mixture was stirred at 0°C for 1.5 hours, then at room temperature for 18 hours, and at 60°C for 4 hours. The solvent in the reaction solution was distilled off under reduced pressure, and the obtained residue was then purified by silica gel column chromatography (n-hexane-ethyl acetate: 5:5 → 0:10 (v/v)) to obtain 252 mg (yield: 64%) of compound 3D as an oil.

1H-NMR (CDCl3)δ:1.36-1.47 (6H, m), 3.42 (6H, s), 3.90 (2H, d, J = 5.2 Hz), 4.37 (3H, q, J = 7.2 Hz), 4.50 (2H, q, J = 7.2 Hz), 8.16 (1H, s).

Step 4

62% H2SO4 (892 mg, 5.64 mmol) was added to a formic acid (10 ml) solution of compound 3D (1.02 g, 2.82 mmol), and the mixture was stirred at room temperature for 16 hours. The formic acid was distilled off under reduced pressure. To the residue, methylene chloride was added, and the mixture was pH-adjusted to 6.6 by the addition of a saturated aqueous solution of sodium bicarbonate. The methylene chloride layer was separated, while the aqueous layer was subjected to extraction with methylene chloride. The methylene chloride layers were combined and dried over anhydrous sodium sulfate. The solvent was distilled off to obtain 531.8 mg of compound 3E as a yellow oil.

1H-NMR (CDCl3) δ: 1.28-1.49 (6H, m), 4.27-4.56 (4H, m), 4.84 (2H, s), 8.10 (1H, s), 9.72 (1H, s).

Step 5

Methanol (0.20 ml, 5.0 mmol), (R)-3-amino-butan-1-ol (179 mg, 2.0 mmol), and acetic acid (0.096 ml, 1.70 mmol) were added to a toluene (5 ml) solution of compound 3E (531 mg, 1.68 mmol), and the mixture was heated to reflux for 4 hours. The reaction solution was cooled to room temperature, then diluted with chloroform, and then washed with a saturated aqueous solution of sodium bicarbonate. The aqueous layer was subjected to extraction with chloroform. The chloroform layers were combined, washed with saturated saline, and then dried over anhydrous sodium sulfate. The solvent was distilled off, and the obtained residue was purified by silica gel column chromatography (chloroform-methanol: 100:0 → 90:10) to obtain 309.4 mg of compound 3F as a brown oil.

1H-NMR (CDCl3) δ: 1.40 (3H, t, J = 7.1 Hz), 1.40 (3H, d, J = 7.1 Hz), 1.55-1.61 (1H, m), 2.19-2.27 (1H, m), 4.00 (1H, d, J = 1.5 Hz), 4.03 (1H, d, J = 2.5 Hz), 4.10 (1H, dd, J = 13.2, 6.3 Hz), 4.26 (1H, dd, J = 13.2, 3.8 Hz), 4.38 (2H, q, J = 7.1 Hz), 5.00-5.05 (1H, m), 5.31 (1H, dd, J = 6.4, 3.9 Hz), 8.10 (1H, s).

Step 6

Potassium trimethylsilanolate (333 mg, 2.34 mmol) was added to a 1,2-dimethoxyethane (2 ml) solution of compound 3F (159 mg, 0.47 mmol), and the mixture was stirred at room temperature for 7 hours. 1 N hydrochloric acid and saturated saline were added to the reaction solution, followed by extraction with chloroform. The chloroform layers were combined and dried over anhydrous sodium sulfate. The solvent was distilled off to obtain 34.4 mg (yield: 25%) of compound 3G as an orange powder.

1H-NMR (CDCl3) δ: 1.46 (3H, d, J = 3.5 Hz), 1.58-1.65 (1H, m), 2.26-2.30 (1H,m), 4.06-4.10 (2H, m), 4.31 (1H, dd, J = 13.8, 5.6 Hz), 4.48 (1H, dd, J = 13.6, 3.9 Hz), 5.03 (1H, t, J = 6.4 Hz), 5.36 (1H, dd, J = 5.5, 4.0 Hz), 8.44 (1H, s), 12.80 (1H, s), 14.90 (1H, s).

Step 7

Compound 3G (16 mg, 0.054 mmol) and 2,4-difluorobenzylamine (17 mg, 0.12 mmol) were dissolved in N,N-dimethylformamide (1 ml). To the solution, N,N,N’,N’-tetramethyl-O-(7-aza-benzotriazol-1-yl)uronium hexafluorophosphate (HATU) (53 mg, 0.14 mmol) and N-methylmorpholine (0.031 ml, 0.28 mmol) were added, and the mixture was stirred at room temperature for 16 hours. 2,4-difluorobenzylamine (17 mg, 0.12 mmol), HATU (64 mg, 0.17 mmol), and N-methylmorpholine (0.037 ml, 0.34 mmol) were further added thereto, and the mixture was stirred at room temperature for additional 16 hours. 0.5 N hydrochloric acid was added to the reaction solution, followed by extraction with ethyl acetate. The ethyl acetate layers were combined, washed with 0.5 N hydrochloric acid and then with saturated saline, and then dried over anhydrous sodium sulfate. The solvent was distilled off, and the obtained residue was purified by preparative high-performance liquid chromatography to obtain 12.5 mg (yield: 55%) of compound 3H as an orange solid.

DOLUTEGRAVIR

1H-NMR (DMSO-d6) δ: 1.36 (3H, d, J = 6.9 Hz), 1.55-1.60 (1H, m), 2.01-2.05 (1H, m), 3.92-3.94 (1H, m), 4.04 (1H, t, J = 12.6 Hz), 4.38-4.41 (1H, m), 4.57-4.60 (1H, m), 4.81-4.83 (1H, m), 5.46-5.49 (1H, m), 7.08-7.11 (1H, m), 7.25-7.30 (1H, m), 7.41 (1H, dd, J = 15.3, 8.7 Hz), 8.53 (1H, s), 10.38 (1H, s), 12.53 (1H, s).

ISOMERS OF DOLUTEGRAVIR

Reference Example 1

Figure imgb0145

Figure imgb0146

Step 1

Acetic acid (180 mg, 3.00 mmol) was added to a toluene (90 ml) solution of compound A-1 (4.39 g, 9.33 mmol) and (R)-3-aminobutan-1-ol (998 mg, 11.2 mmol), and the mixture was stirred at 50°C for 90 minutes. The reaction solution was allowed to cool to room temperature and then poured to a saturated aqueous solution of sodium bicarbonate. The organic layer was separated, while the aqueous layer was subjected to extraction three times with ethyl acetate. The combined extracts were washed with saturated saline and then dried over sodium sulfate. The solvent was distilled off to obtain 4.29 g of crude product A-2.

Step 2

The crude product A-2 obtained in the preceding step was dissolved in ethanol (40 ml). To the solution, a 2 N aqueous sodium hydroxide solution (20 ml) was added at room temperature, and the mixture was stirred at the same temperature for 2 hours. The reaction solution was neutralized to pH 7 using a 2 N aqueous hydrochloric acid solution. The solvent was directly distilled off. The obtained crude product A-3 was subjected to azeotropy with toluene (100 ml) and used in the next step without being purified.

Step 3

HOBt (1.65 g, 12.2 mmol) and WSC HCl (2.34 g, 12.2 mmol) were added at room temperature to a DMF (100 ml) solution of the crude product A-3 obtained in the preceding step, and the mixture was stirred at the same temperature for 15 hours. Water was added to the reaction solution, followed by extraction three times with ethyl acetate. The combined extracts were washed with water three times and then dried over sodium sulfate. The solvent was distilled off, and the obtained oil was subjected to silica gel column chromatography for purification. Elution was performed first with n-hexane-ethyl acetate (3:7, v/v) and then with only ethyl acetate. The fraction of interest was concentrated, and the obtained oil was then dissolved in ethyl acetate. The solution was crystallized with diisopropyl ether as a poor solvent. The obtained crystals were collected by filtration and dissolved again in ethyl acetate. The solution was recrystallized to obtain 1.84 g of compound A-4.

1HNMR (CDCl3) δ: 1.49 (3H, d, J = 6.6 Hz), 1.88-1.96 (1H, m), 2.13-2.26 (1H, m), 3.90-4.17 (4H, m), 4.42-4.47 (1H, m), 4.63 (2H, d, J = 6.0 Hz), 5.12-5.17 (1H, m), 5.17 (1H, d, J = 9.9 Hz), 5.33 (1H, d, J = 9.9 Hz), 6.77-6.87 (2H, m), 7.27-7.42 (4H, m), 7.59-7.62 (2H, m), 8.35 (1H, s), 10.41 (1H, t, J = 5.7 Hz).

Step 4

The compound A-4 was subjected to the hydroxy deprotection reaction described in Step F of the paragraph [0088] to obtain compound A-5.

1HNMR (DMSO-d6) δ:1.41 (3H, d, J = 6.3 Hz), 1.85-1.92 (1H, m), 1.50-1.75 (1H, m), 4.02-4.09 (3H, m), 4.28-4.34 (1H, m), 4.53 (2H, d, J = 5.7 Hz), 4.64 (1H, dd, J = 3.9 Hz, 12.6 Hz), 5.45 (1H, dd, J = 3.6 Hz, 9.3 Hz), 7.06 (1H, ddd, J = 2.7 Hz, 8.4 Hz, 8.4 Hz), 7.20-7.28 (1H, m), 7.35-7.42 (1H, m), 8.43 (1H, s),10.37 (1H, t, J = 6.0 Hz),12.37 (1H, brs).

Reference Example 2

Figure imgb0147

Compound A-1 was reacted with (S)-3-aminobutan-1-ol in Step 1. Compound B-5 was obtained in the same way as in Reference Example 1.

  • 1HNMR (DMSO-d6) δ:1.41 (3H, d, J = 6.3 Hz), 1.85-1.92 (1H, m), 1.50-1.75 (1H, m), 4.02-4.09 (3H, m), 4.28-4.34 (1H, m), 4.53 (2H, d, J = 5.7 Hz), 4.64 (1H, dd, J = 3.9 Hz, 12.6 Hz), 5.45 (1H, dd, J = 3.6 Hz, 9.3 Hz), 7.06 (1H, ddd, J = 2.7 Hz, 8.4 Hz, 8.4 Hz), 7.20-7.28 (1H, m), 7.35-7.42 (1H, m), 8.43 (1H, s),10.37 (1H, t, J = 6.0 Hz),12.37 (1H, brs).

PATENT

W02006116764

Figure imgf000122_0001

ENTRY 68

PATENT

WO 2010068262

STR1

PATENT

WO 2010068253

PATENT

WO 2011119566

PATENT

Synthesis

WO 2012018065

Example 3

Figure JPOXMLDOC01-appb-C000176

I was under cooling added dropwise at 0 ℃ (4.9 ml, 36.5 mmol) and N, N-dimethylformamide dimethyl acetal (5.0 g, 30.4 mmol) in the first step compound 3A. After stirring for 1 hour at 0 ℃, ethyl acetate was added to 100ml, the reaction mixture was washed with 0.5N aqueous hydrochloric acid (50 ml). Was extracted with ethyl acetate (50ml) and solution was separated and the aqueous layer. The organic layers were combined, washed successively with saturated aqueous sodium bicarbonate solution and saturated brine, and then dried over anhydrous sodium sulfate. After the solvent was distilled off, silica gel column chromatography and the residue obtained was – and purified by (n-hexane (v / v) → ethyl acetate 1:1) to an oil (67% yield) of Compound 3B 4.49 g I got a thing.
1 H-NMR (CDCl 3)δ: 1.32 (3H, t, J = 7.1 Hz), 2.90 (3H, br s), 3.29 (3H, br s), 4.23 (2H, q, J = 7.1 Hz), 4.54 (2H, s), 7.81 (1H, s).
Diluted with tetrahydrofuran (44 ml) (1.0M toluene solution, 49 ml, 49.0 mmol) the second step lithium hexamethyldisilazide, under cooling at -78 ℃, compound 3B (4.49 g, 20.4 mmol) in this After dropwise tetrahydrofuran (10 ml) was added dropwise tetrahydrofuran (3.35 g, 24.5 mmol) of ethyl oxalyl chloride and (10 ml) solution. After stirring for 2 hours at -78 ℃, I was warmed to 0 ℃. After washing (200 ml x 2), saturated aqueous sodium bicarbonate solution and the organic layer with saturated brine After stirring for 20 minutes, extracted with ethyl acetate by adding 2N hydrochloric acid, the reaction solution was dried over anhydrous sodium sulfate. After removal of the solvent, silica gel column chromatography and the residue obtained – was purified (n-hexane (v / v) ethyl acetate 7:3 → 5:5 → 0:10), compound 3C 1.77 g (yield I as a white solid 31%).
1 H-NMR (CDCl 3)δ :1.36-1 .46 (6H, m), 4.35-4.52 (8H, m), 8.53 (1H, s).
Was added at 0 ℃ (0.13 ml, 1.20 mmol) the aminoacetaldehyde dimethyl acetal ethanol (300 mg, 1.09 mmol) of the third step compound 3C to (6 ml) solution, 1 hour and 30 minutes at 0 ℃, 18 hours at room temperature , then I was stirred for 4 hours at 60 ℃. After the solvent was evaporated under reduced pressure and the reaction mixture by silica gel column chromatography and the residue obtained was – and purified by (n-hexane (v / v) ethyl acetate 5:5 → 0:10), compound 3D 252 mg (yield: I got as an oil 64%) rate.
1 H-NMR (CDCl 3)δ :1.36-1 .47 (6H, m), 3.42 (6H, s), 3.90 (2H, d, J = 5.2 Hz), 4.37 (3H, q, J = 7.2 Hz), 4.50 (2H, q, J = 7.2 Hz), 8.16 (1H, s).
Was added (892 mg, 5.64 mmol) and 2 SO 4 62-H% formic acid (1.02 g, 2.82 mmol) in a fourth step the compound for 3D (10 ml) solution was stirred at room temperature for 16 hours. Methylene chloride was added to the residue Shi distilled off under reduced pressure and formic acid was adjusted to pH = 6.6 by addition of saturated aqueous sodium bicarbonate. The solution was separated methylene chloride layer was extracted with methylene chloride and the aqueous layer. I was dried over anhydrous sodium sulfate combined methylene chloride layers. The solvent was then distilled off and was obtained as a yellow oil 531.8 mg compound 3E.
1H-NMR (CDCl3) δ: 1.28-1.49 (6H, m), 4.27-4.56 (4H, m), 4.84 (2H, s), 8.10 (1H, s), 9.72 (1H, s).
Amino – – butane – 1 – ol (179 mg, 2.0 mmol), methanol (0.20 ml, 5.0 mmol), (R) -3 toluene (531 mg, 1.68 mmol) in the fifth step to compound 3E (5 ml) solution was added (0.096 ml, 1.70 mmol) acetic acid was heated under reflux for 4 hours. After dilution with chloroform, cooled to room temperature, the reaction mixture was washed with a saturated aqueous sodium bicarbonate solution, and the aqueous layer was extracted with chloroform. After washing with saturated brine combined chloroform layer was dried over anhydrous sodium sulfate. The solvent was then distilled off, silica gel column chromatography and the residue obtained – and (chloroform methanol 100:0 → 90:10), was obtained as a brown oil 309.4 mg compound 3F.
1H-NMR (CDCl3) δ: 1.40 (3H, t, J = 7.1 Hz), 1.40 (3H, d, J = 7.1 Hz), 1.55-1.61 (1H, m), 2.19-2.27 (1H, m), 4.00 (1H, d, J = 1.5 Hz), 4.03 (1H, d, J = 2.5 Hz), 4.10 (1H, dd, J = 13.2, 6.3 Hz), 4.26 (1H, dd, J = 13.2, 3.8 Hz ), 4.38 (2H, q, J = 7.1 Hz), 5.00-5.05 (1H, m), 5.31 (1H, dd, J = 6.4, 3.9 Hz), 8.10 (1H, s).
1,2 (159 mg, 0.47 mmol) in the sixth step compound 3F – was added (333 mg, 2.34 mmol) and potassium trimethylsilanolate dimethoxyethane (2 ml) solution was stirred for 7 hours at room temperature. Brine was added to the 1N-hydrochloric acid to the reaction mixture, followed by extraction with chloroform. The combined chloroform layer was dried over anhydrous sodium sulfate. The solvent was removed by distillation, and I as an orange powder (25% yield) of compound 3G 34.4 mg.
1H-NMR (CDCl3) δ: 1.46 (3H, d, J = 3.5 Hz), 1.58-1.65 (1H, m), 2.26-2.30 (1H, m), 4.06-4.10 (2H, m), 4.31 (1H , dd, J = 13.8, 5.6 Hz), 4.48 (1H, dd, J = 13.6, 3.9 Hz), 5.03 (1H, t, J = 6.4 Hz), 5.36 (1H, dd, J = 5.5, 4.0 Hz) , 8.44 (1H, s), 12.80 (1H, s), 14.90 (1H, s).
2,4 (16 mg, 0.054 mmol) and the seventh step compound 3G – was dissolved in N, N-dimethylformamide (1 ml) (17 mg, 0.12 mmol) difluorobenzyl amine, N, N, N ‘, N was added (0.031 ml, 0.28 mmol) and N-methylmorpholine uronium hexafluorophosphate (HATU) (53 mg, 0.14 mmol), and ‘- tetramethyl-O-(yl 7 – aza – – benzo triazolopyrimidine -1) I was stirred at room temperature for 16 h. 2,4 – was added (0.037 ml, 0.34 mmol) and N-methylmorpholine (64 mg, 0.17 mmol) and (17 mg, 0.12 mmol), HATU difluorobenzylamine, and the mixture was stirred for 16 hours at room temperature. I was extracted with ethyl acetate addition of 0.5N-hydrochloric acid to the reaction mixture. 0.5N-hydrochloric acid and then was washed with saturated brine, and dried over anhydrous sodium sulfate and combined ethyl acetate layer. The solvent was then distilled off, and purified by preparative high performance liquid chromatography residue was obtained as an orange solid (55% yield) of compound 3H 12.5 mg.
1H-NMR (DMSO-d6) δ: 1.36 (3H, d, J = 6.9 Hz), 1.55-1.60 (1H, m), 2.01-2.05 (1H, m), 3.92-3.94 (1H, m), 4.04 (1H, t, J = 12.6 Hz), 4.38-4.41 (1H, m), 4.57-4.60 (1H, m), 4.81-4.83 (1H, m), 5.46-5.49 (1H, m), 7.08-7.11 (1H, m), 7.25-7.30 (1H, m), 7.41 (1H, dd, J = 15.3, 8.7 Hz), 8.53 (1H, s), 10.38 (1H, s), 12.53 (1H, s)

PAPER

http://pubs.acs.org/doi/abs/10.1021/jm400645w

Carbamoyl Pyridone HIV-1 Integrase Inhibitors 3. A Diastereomeric Approach to Chiral Nonracemic Tricyclic Ring Systems and the Discovery of Dolutegravir (S/GSK1349572) and (S/GSK1265744)

GlaxoSmithKline Research & Development, Infectious Diseases Therapeutic Area Unit, Five Moore Drive, Research Triangle Park, North Carolina 27709, United States
Shionogi Pharmaceutical Research Center, Shionogi & Co., Ltd., 3-1-1 Futaba-cho, Toyonaka-shi, Osaka 561-0825, Japan
J. Med. Chem., 2013, 56 (14), pp 5901–5916
DOI: 10.1021/jm400645w

J. Med. Chem. 2013, 56, 5901-5916.

Abstract Image

We report herein the discovery of the human immunodeficiency virus type-1 (HIV-1) integrase inhibitors dolutegravir (S/GSK1349572) (3) and S/GSK1265744 (4). These drugs stem from a series of carbamoyl pyridone analogues designed using a two-metal chelation model of the integrase catalytic active site. Structure–activity studies evolved a tricyclic series of carbamoyl pyridines that demonstrated properties indicative of once-daily dosing and superior potency against resistant viral strains. An inherent hemiaminal ring fusion stereocenter within the tricyclic carbamoyl pyridone scaffold led to a critical substrate controlled diastereoselective synthetic strategy whereby chiral information from small readily available amino alcohols was employed to control relative and absolute stereochemistry of the final drug candidates. Modest to extremely high levels of stereochemical control were observed depending on ring size and position of the stereocenter. This approach resulted in the discovery of 3 and 4, which are currently in clinical development.

STR1

(4R,12aS)-N-(2,4-Difluorobenzyl)-7-hydroxy-4-methyl-6,8-dioxo-3,4,6,8,12,12a-hexahydro-2H-pyrido[1′,2′:4,5]pyrazino-
[2,1-b][1,3]oxazine-9-carboxamide (3). 1H NMR (CDCl3) δ 12.45 (s, 1H),10.38 (br s, 1H), 8.30 (s, 1H), 7.40−7.30 (m, 1H), 6.85−6.75 (m, 2H),5.26 (d, J = 5.8, 4.1 Hz, 2H), 5.05−4.95 (m, 1H), 4.64 (d, J = 5.9 Hz,2H), 4.27 (dd, J = 13.4, 4.2 Hz, 1H), 4.12 (dd, J = 13.6, 6.0 Hz, 1H), 4.05(t, J = 2.3 Hz, 1H), 4.02 (d, J = 2.2 Hz, 1H), 2.30−2.19 (m, 1H), 1.56(dd, J = 14.0, 2.0 Hz, 1H), 1.42 (d, J = 7.0 Hz, 3H). ES+ LC/MS: m/zcalcd 419.13; found 420.13 (M + 1)+.
(4R,12aS)-N-(2,4-Difluorobenzyl)-7-hydroxy-4-methyl-6,8-dioxo-3,4,6,8,12,12a-hexahydro-2H-pyrido[1′,2′:4,5]pyrazino-
[2,1-b][1,3]oxazine-9-carboxamide (3) sodium salt.

1H NMR(DMSO-d6) δ 10.70 (t, J = 6.0 Hz, 1H), 7.89 (s, 1 H), 7.40−7.30 (m, 1H), 7.25−7.16 (m, 1H), 7.06−6.98 (m, 1H), 5.22−5.12 (m, 1H), 4.87−4.74 (m, 1H), 4.51 (d, J = 5.4 Hz, 2H), 4.35−4.25 (m, 1 H), 4.16 (dd, J =1.8, 14.1 Hz, 1 H), 4.05−3.90 (m, 1H), 3.86−3.74 (m, 1 H), 2.00−1.72(m, 1 H), 1.44−1.32 (m, 1 H), 1.24 (d, J = 6.9 Hz, 3H).

STR1

MORE UPDATES……………………………

Process for preparing integrase inhibitors such as dolutegravir and cabotegravir and their analogs, useful for treating viral infections eg HIV infection. Also claims a process for preparing intermediates of dolutegravir and cabotegravir.

(4R, 12aS)-N-[(2,4-Difluorophenyl)methyl]-3 ,4,6,8, 12, 12a-hexahydro-7-hydroxy-4-methyl-6,8-dioxo-2H-pyrido[1 ‘,2’:4,5]pyrazino[2, 1-b][1 ,3]oxazine-9-carboxamide (Formula A):

Formula A

known by the INN name dolutegravir, is a new efficient antiviral agent from the group of HIV integrase inhibitors which is used in combination with some other antiviral agents for treatment of HIV infections, such as AIDS. The compound, which belongs to condensed polycyclic pyridines and was first disclosed in WO2006/1 16764, is marketed.

Another compound disclosed in WO2006/1 16764 is (3S, 1 1 aR)-N-[(2,4-difluorophenyl)methyl]-6-hydroxy-3-methyl-5,7-dioxo-2,3,5,7, 1 1 ,1 1 a-hexahydro[1 ,3]oxazolo[3,2-a]pyrido[1 ,2-d]pyrazine-8-carboxamide (Formula

Formula C

known by the INN name cabotegravir.

The complex structures of dolutegravir and cabotegravir present a synthetic challenge. The first description of the synthesis in WO2006/1 16764 shows a 16-steps synthesis (see Scheme A), which is industrially impractical due to its length and low overall yield.

Scheme A

WO 2010/068253 and WO 2006/1 16764 describe an alternative synthesis. The 1 1 -step synthesis, shown in Scheme B1 and Scheme B2, is based on bromination of the 9-position for further introduction of the carboxylic group. The synthesis relies on the use of expensive palladium catalysts and toxic selenium compounds. Furthermore, some variations of these approaches involve pyrone intermediates in several steps. In some cases pyrones are liquids which can complicate purification, while further reactions form complex mixtures.

doiutegravir

Scheme B2

In further alternative syntheses, acetoacetates were used as starting materials. Such an approach is challenging in terms of introducing the hydroxy group in the 7-position. The variation in Scheme C1 , described in WO2012/018065, starts from 4-benzyloxyacetoacetate. The procedure requires 9 steps, but use expensive reagents like palladium catalysts. Moreover, there is described a possibility of formation a co-crystal between an intermediate and hydroquinone, wherein however the additional step may diminish yields and make the process longer and time consuming.

Scheme C1

The variation in Scheme C2, described in WO2012/018065, starts from 4-chloroacetoacetate. The process is not optimal because of problems in steps which include pyrones and because of problems with conversion of 7-chloro to 7-hydroxy group which includes a disadvantageous use of silanolates with low yield (25%).

Scheme C2

The variation in Scheme C3, described in WO201 1/1 19566, starts from unsubstituted acetoacetate. For the introduction of the 7-hydroxy group, bromination is used and substitution of bromo with hydroxy is performed by a use of silanolates. The substitution of the bromine is achieved in a 43% yield.

Scheme C3

The variation in Scheme C4, described in WO201 1/1 19566, starts from 4-methoxyacetoacetate aiming at preparing dolutegravir or cabotegravir. The process uses lithium bases to affect a difficult to control selective monohydrolysis of a diester.

PATENT

WO 2016113372

Carbotegravir, New Patent, WO 2016113372, Lek Pharmaceutical and Chemical Co DD

LEK PHARMACEUTICALS D.D. [SI/SI]; Verovskova 57 1526 Ljubljana (SI)

MARAS, Nenad; (SI).
SELIC, Lovro; (SI).
CUSAK, Anja; (SI)

ViiV Healthcare is developing cabotegravir (first disclosed in WO2006088173), which in July 2016, was reported to be in phase 2 clinical development.

WO-2016113372

The object of the present invention is to provide short, simple, cost-effective, environmentally friendly and industrially suitable processes for beneficially providing dolutegravir and analogues thereof and cabotegravir and analogues thereof, in particular dolutegravir.

Scheme 1

According to an embodiment of the process of the invention the building block 3-aminobutanol can suitably be substituted with other aminoalcohols to give dolutegravir analogues. For example, using (S)-alaninol gives cabotegravir as the final product. Similarly, using amines other than 2,4-difluorobenzylamine in the amidation step results in the synthesis of other dolutegravir analogues.

According to the another preferred embodiment cabotegravir or a pharmaceutically acceptable salt thereof is prepared by the analogue process, which comprises providing a compound of formula (5c)

5c

converting the compound of formula (5c) to a compound of formula (6c)

6c

by carrying out a chlorination reaction, and converting the compound of formula (6c) to cabotegravir and/or a pharmaceutically acceptable salt thereof.

The compound of formula (5c) can preferably be provided by converting a compound of formula (3) to a compound of formula (4c)

Scheme 2

1. ) EtOCOCI, Et3N / Me2CO

2. ) 2,4-difiuorobenzylamine

Scheme 3

Analogous compound of formula 7c is a useful intermediate in the synthesis of cabotegravir. Scheme 3a

Scheme 4

Examples

The following examples are merely illustrative of the present invention and they should not be considered as limiting the scope of the invention in any way. The examples and modifications or other equivalents thereof will become apparent to those versed in the art in the light of the present entire disclosure. Particularly, all Examples related to the preparation of dolutegravir and intermediates thereof can be used by the analogy for the preparation of cabotegravir and intermediates thereof.

Example 1 :

Methyl acetoacetate (1 , 25.22 g) and dimethylformamide dimethyl acetal (DMFDMA, 35 mL) was heated at 50-55°C for 2 h, then methanol (60 mL), aminoacetaldehyde dimethyl acetal (24 mL) and acetic acid (4 mL) was added an the mixture was heated under reflux for one hour, then concentrated. MTBE (100 mL) was added and the mixture was kept at 5 °C overnight to crystallize. Upon filtration 46 g (92%) of product 2 was recovered.

1H NMR (DMSO-d6): δ 2.31 (s, 3H), 3.30 (s, 6H), 3.49 (m, 2H), 3.61 (s, 3H), 4.43 (m, 1 H), 8.02 (d, 1 H), 10.8 (bs, 1 H). 13C NMR (DMSO-d6): δ 30.52, 35.48, 50.53, 54.23, 98.99, 102.47, 160.70, 166.92, 197.21 .

Example 2:

Compound 2 (5.00 g) was dissolved in 2-propanol, dimethyl oxalate (7.02 g) was added and heated to 40 °C. Sodium methylate (25% in methanol; 20 mL) was slowly (10 min) added, the mixture was then heated to 50-55 °C and stirred at that temperature for 2-2.5 h. The mixture was cooled to ambient temperature, then sodium hydroxide solution (1 M, 65 mL) was added to the mixture and stirred for another 2 h, followed by addition of concentrated hydrochloric acid (1 1 mL) and stirred for another 2 h. The precipitate was filtered and dried to give 8.08 g (NMR assay 47%; 65% yield) of compound 3.

1H NMR (DMSO-d6): δ 2.50 (m, 2H), 3.30 (s. 6H), 4.49 (m, 1 H), 7.06 (s, 1 H); 8.70 (s, 1 H). 13C NMR (DMSO-d6): δ 55.23, 55.37, 102.34, 1 15.47, 120.24, 145.17, 162.71 , 165.22, 178.55.

Example 3:

Compound 2 (158.37 g) was dissolved in methanol (548 mL), followed by the addition of dimethyl oxalate (202.2 g). While keeping the temperature below 30°C, potassium ferf-butoxide (192.1 g) was added and reaction mixture was heated at 50 °C overnight. The suspension was then filtered and the filter cake washed with methanol. The filtrate was concentrated (approximately to 680 mL), then water (680 mL) was added, followed by addition of lithium hydroxide hydrate (143.7 g) while keeping the temperature below 40 °C. The suspension was then stirred at ambient temperature overnight and filtered. To the obtained filtrate, concentrated hydrochloric acid (339 mL) was added while keeping the temperature below 30 °C. The suspension was aged for 2 h and filtered to give 4 as a white powder (95.6 g, NMR assay 100%; 52% yield).

Example 4:

Compound 2 (5.00 g) was dissolved in 2-propanol, dimethyl oxalate (7.02 g) was added and heated to 40 °C. Sodium methylate (25% in methanol; 15 mL) was slowly (10 min) added then the mixture was heated to 50-55 °C and stirred at that temperature for 72 h. The mixture was concentrated and components were separated by flash column chromatography (ethyl acetate/methanol 9:1 to 6:4). Early fractions gave compound 22 upon concentration, late fractions gave compound 23.

Compound 22: 1H NMR (DMSO-d6): δ 2.49 (m, 2H), 3.28 (s, 6H), 3.73 (s, 3H), 3.85 (s, 3H), 4.41 (m, 1 H), 4.50 (m, 1 H), 6.65 (s, 1 H), 8.36 (s, 1 H). 13C NMR (DMSO-d6): δ 51.63, 53.36, 54.25, 55.47, 102.71 , 1 18.24, 123.60, 140.81 , 150.21 , 162.44, 164.49, 173.43.

Compound 23: 1H NMR (DMSO-d6): δ 2.49 (m, 2H), 3.26 (s, 6H); 3.70 (s, 3H); 4.33 (d, 1 H); 4.60 (m, 1 H), 6.19 (s, 1 H), 8.12 (s, 1 H). 13C NMR (DMSO-d6): δ 50.03, 51.34, 54.59, 54.85, 102.91 , 1 16.04, 1 18.19, 148.32, 152.12, 163.46, 165.24, 174.99

Example 5:

Compound 3 (5.5 g; assay 53%) was suspended in acetonitrile, acetic acid (6 mL) and methanesulfonic acid (2.5 mL) were added followed by the heating of mixture to 70 °C for 4 h. The suspension was filtered and filtrate cooled to ambient temperature. Triethylamine (6.6 mL) and (R)-3-amino-butan-1 -ol (1.24 mL) was added followed by heating the mixture at reflux temperature for 20-24 h. The mixture was filtered, filtrate concentrated and 1 M HCI (100 mL) was added, followed by extraction with dichloromethane (3 x 50 mL). Combined organic fractions were concentrated, 2-propanol was added (10 mL) and suspension was stirred at 70-80 °C for 10 min, left to cool to ambient temperature then filtered to give 2.19 g of compound 4 (73%).

1H NMR (DMSO-de): δ 1.31 (d, 3H), 1.52 (m, 1 H), 1 .97 (m, 1 H), 3.89 (m, 1 H), 4.01 (m, 1 H), 4.46 (m, 1 H), 4.64 (m, 1 H), 4.78 (m, 1 H), 5.50 (m, 1 H), 7.29 (s, 1 H), 8.88 (s, 1 H), 15.83 (s, 1 H). 13C NMR (DMSO-d6): δ 15.22, 29.14, 45.26, 51.13, 62.09, 76.03, 1 16.31 , 1 18.79, 140.53, 146.79, 155.36, 165.24, 178.75.

Example 6:

Compound 3 (14.55 g; assay 49%) was suspended in acetonitrile (125 mL), acetic acid (15 mL) and methanesulfonic acid (6.25 mL) were added followed by the heating of mixture to 70 °C for 4 h. The suspension was filtered and filtrate cooled to ambient temperature. Triethylamine (16.5 mL) and (S)-2-aminopropanol (2.45 mL) was added followed by heating the mixture at reflux temperature for 24 h. The insoluble product was filtered, washed with 2-propanol (20 mL) and dried to give (3S, 1 1 aR)-3-methyl-5,7-dioxo-2,3,5,7, 1 1 ,1 1 a-hexahydrooxazolo[3,2-a]pyrido[1 ,2-d]pyrazine-8-carboxylic acid (5.2 g, 75%).

1H NMR (DMSO-d6): δ 1.31 (d, J = 6.3 Hz, 3H), 3.65 (dd, J = 8.6, 6.8 Hz, 1 H), 4.13 (dd, J = 1 1.7, 10.3 Hz, 1 H), 4.28 (m, 1 H), 4.39 (dd, J = 8.6, 6.8 Hz, 1 H), 4.92 (dd, J = 12.3, 4.2 Hz, 1 H), 5.45 (dd, J = 10.2, 4.1 Hz, 1 H), 7.16 (s, 1 H), 8.84 (s, 1 H), 15.74 (s, 1 H).

Example 7:

Compound 4 (0.63 g) was dissolved in dichloromethane (15 mL), cooled to 5°C, then triethylamine (0.31 mL) was added, followed by ethyl chloroformate (0.26 mL), followed by slow (30 min) addition of 2,4-difluorobenzylamine. The mixture was then stirred at ambient temperature for 24 h. Water (10 mL) was added, organic phase was separated and washed with 1 M HCI (15 mL) and water (15 mL), concentrated and treated with 2-propanol to give the product 5 in a quantitative yield.

1H NMR (CDCI3): δ 1.39 (d, 3H), 1.52 (s, 1 H), 2.19 (m, 1 H), 4.00 (m, 2H), 4.16 (m, 1 H), 4.31 (m, 1 H), 4.62 (d, 2H), 5.00 (m, 1 H), 5.27 (m, 1 H), 6.80 (m 2H), 7.33 (m, 2H), 8.49 (s, 1 H), 10.48 (s, 1 H). 13C NMR (CDCI3): 15.50, 29.22, 36.43, 45.19, 51.83, 62.79, 103.71 , 103.91 , 1 1 1 .0, 1 1 1 .18, 120.59, 123.04, 130.40, 137.41 , 144.58, 156.27, 163. 87, 177.83.

Example 8:

To a suspension of 4 (2.84 g, 10 mmol) in a mixture of triethylamine (2.24 mL, 16 mmol) and acetone (50 mL) stirring on an ice bath was added ethyl chloroformate (1 .20 mL, 12 mmol). After stirring for 10 min, 2,4-difluorobenzylamine (1.21 mL, 10 mmol) was added and the mixture left stirring at room temperature for 1 h. The product was isolated by slowly diluting the reaction mixture with water (50 mL), partial concentration, filtration, washing with water (2 50 mL) and drying. There was obtained 5 as a white powder (3.48 g, 86%): mp 181.0-184.7 °C.1H NMR (DMSO-d6): δ 1.29 (d, J = 7.0 Hz, 3H), 1 .56 (dd, J = 13.9, 2.0 Hz, 1 H), 1 .93-2.06 (m, 1 H), 3.90 (ddd, J = 1 1.6, 5.0, 2.1 Hz, 1 H), 3.98 (td, J = 12.0, 2.2 Hz, 1 H), 4.45 (dd, J = 13.6, 6.6 Hz, 1 H), 4.72 (dd, J = 13.6, 3.8 Hz, 1 H), 4.74-4.81 (m, 1 H), 5.44 (dd, J = 6.6, 3.8 Hz, 1 H), 8.93 (s, 1 H), 15.14 (s, 1 H). 13C NMR (DMSO-d6): δ 15.78, 29.13, 44.89, 52.88, 61 .63, 75.61 , 1 13.54, 128.49, 136.42, 145.64, 154.62, 164.58, 174.58

Example 9:

To a suspension of 4 (1 1.36 g, 40 mmol) in acetonitrile (80 mL) stirring at room temperature was added TCCA (9.29 g, 38 mmol) and DABCO (0.23 g, 5 mol%). After stirring at room temperature for 1 h, the reaction was quenched with a mixture of DMSO (5.26 mL) and water (1.33 mL). The insoluble cyanuric acid was removed by filtration and the filtrate evaporated under reduced pressure to give viscous oil. This was triturated in methanol (20 mL) to induce crystallization. The product was filtered, washed with cold methanol (10 mL) and dried to give 7 as a yellowish powder (5.13 g, 41 %): mp 191 .3-198.7 °C.

Example 10:

Attempted chlorination of 23: Compound 23 (0.54g) was suspended in acetonitrile (10 mL) and trichlorocyanuric acid (0.44 g) was added and the solution was stirred at ambient temperature overnight. Precipitate was filtered. Only traces of a product corresponding to the compound 26 could be detected in the reaction mixture by LC-MS analysis. Conversion did not improve with time.

Example 11 :

Attempted chlorination of 3: Compound 3 (0.30 g) was suspended in acetonitrile (5 mL) and trichlorocyanuric acid (0.13 g) was added. The suspension was stirred at ambient temperature overnight. Only traces of a product corresponding to the compound 24 could be detected in the reaction mixture by LC-MS analysis.

Example 12:

9 10

Trichloroisocyanuric acid (0.23 g) was added in a single portion to a stirred solution of the diethyl 1 -(2,2-dimethoxyethyl)-4-oxo-1 ,4-dihydropyridine-2,5-dicarboxylate (9, 0.66 g) in dry acetonitrile (4 mL) at room temperature. The resulting suspension was stirred at room temperature for ca. 24 h. The reaction mixture was diluted with dichloromethane and filtrated. The filtrate was then concentrated in vacuo to afford crude oil (0.86 g). Purification by flash chromatography (eluting ethyl acetate/cyclohexane) furnished diethyl 3-chloro-1 -(2,2-dimethoxyethyl)-4-oxo-1 ,4-dihydropyridine-2,5-dicarboxylate, 10 as a yellow semi-solid (0.38 g). 1H NMR (CDCI3): δ 1.28 (t, J=7A Hz, 3H), 1 .37 (t, J=7.2 Hz, 3H), 3.35 (s, 6H), 3.89 (d, J=5.0 Hz, 2H), 4.27 (q, J=l A Hz, 2H), 4.43 (q, J=l A Hz, 2H), 4.48 (t, J=4.9 Hz, 1 H), 8.15 (s, 1 H). 13C NMR (CDCI3): δ 13.83, 14.13, 55.82, 57.09, 61.41 , 63.72, 102.52, 1 17.35, 126.90, 140.22, 146.92, 160.67, 164.13, 168.95.

Example 13:

Diethyl 1 -(2,2-dimethoxyethyl)-4-oxo-1 ,4-dihydropyridine-2,5-dicarboxylate (9, 0.64 g) was dissolved in anhydrous acetonitrile (6 mL) and treated sequentially with acetic acid (560 μί) and methanesulfonic acid (40 μί). The resulting mixture was heated to 62 °C and stirred for 4 h and more methanesulfonic acid (40 μΙ_) was added. After additional 2 h, more methanesulfonic acid (80 μΙ_) was added. This was repeated after additional 2 h, when more methanesulfonic acid (80 μΙ_) was added. The reaction mixture was stirred additional 17 h at 62 °C then was treated with a mixture of (R)-3-aminobutanol (0.22 g), triethylamine (0.5 mL) and acetonitrile (0.7 mL). The reaction mixture was stirred additional 22 h at 62 °C and then concentrated in vacuo. The crude material was partitioned between dichloromethane and 1 M HCI solution (15 mL). The combined organic phases were dried (Na2S04), filtered and concentrated in vacuo to afford the crude (4R, 12aS)-ethyl 4-methyl-6,8-dioxo-3,4,6,8, 12,12a-hexahydro-2H-pyrido[1 ‘,2’:4,5]pyrazino[2, 1 -b][1 ,3]oxazine-9-carboxylate (11 ) as a brownish oil (0.61 g).

1H NMR (CD3OD): δ 8.44 (s, 1 H), 7.16 (m, 1 H), 5.48 (t, J=4.8 Hz, 1 H), 4.86 (m, 1 H), 4.49 (dd, J=13.6, 4.0 Hz, 1 H), 4.30-4.25 (m, 3H), 4.09 (dt, J=12.1 , 2.3 Hz, 1 H), 3.96 (ddd, J=1 1.7, 5.0, 2.1 Hz, 1 H), 2.18-2.10 (m, 1 H), 1.60-1 .56 (m, 1 H) 1 .39 (d, J=7A Hz, 3H), 1.33 (t, J=7A Hz, 3H). 13C NMR (CDCI3): δ 8.45, 14.08, 15.39, 29.17, 45.04, 45.72, 51 .56, 60.86, 62.61 , 76.33, 1 19.54, 123.72, 136.96, 145.67, 156.26, 163.68, 175.43

Example 14:

10

Diethyl 3-chloro-1 -(2,2-dimethoxyethyl)-4-oxo-1 ,4-dihydropyridine-2,5-dicarboxylate (10, 1.23 g) was dissolved in 85% formic acid (25 mL) at room temperature. The mixture was warmed to 40 °C and stirred for 23 h. The reaction mixture was concentrated in vacuo, and then partitioned between dichloromethane and aqueous NaHC03 solution. The combined organic phases were dried (Na2S04), filtered and concentrated in vacuo to afford brownish oil (0.49 g). The crude oil was dissolved in anhydrous toluene (5 mL) and treated sequentially with (R)-3-aminobutanol (0.19 g), methanol (0.2 mL) and acetic acid (96 μί). The resulting mixture was heated to 90 °C and stirred for 20 h. The reaction mixture was cooled to room temperature and then partitioned between dichloromethane and aqueous NaHC03 solution. The combined organic phases were dried (Na2S04), filtered and concentrated in vacuo to afford the crude (4R,12aS)-Ethyl 7-chloro-4-methyl-6,8-dioxo-3,4,6,8,12, 12a-hexahydro-2H-pyrido[1 ‘,2’:4,5] pyrazino [2, 1-b][1 ,3]oxazine-9-carboxylate (12) as a brownish oil (0.24 g).

Example 15:

To a solution of 4 (5.68 g, 20 mmol) in dichloromethane (50 mL) stirring in an ice bath was added triethylamine (5.6 mL, 40 mmol), followed by ethyl chloroformate (2.61 mL, 26 mmol). After 20 min, ethanol (50 mL) was added. The mixture was then left stirring 24 h at room temperature and concentrated under reduced pressure. The residue was triturated in acetone (80 mL). The insoluble salt (triethylamine hydrochloride) was removed by filtration. The filtrate was evaporated under reduced pressure to give 11 as an amorphous solid in a quantitative yield (6.1 g).

Example 16:

To a stirring solution of 11 (0.94 g, 3.0 mmol) in acetonitrile (8 mL) heated at 40 °C was added TCCA in portions during 1 h (0.44 g, 1 .8 mmol). After an additional 1 h, the reaction mixture was diluted with a solution of NaHS03 (0.60 g) in water (60 mL), extracted with dichloromethane (50 mL) and the extract evaporated under reduced pressure to give a crude product which was purified by flash chromatography (CH2CI2 : MeOH, from 98 : 2 to 80 : 20) to give 12 (0.45 g, 44%).

1H NMR (CDCI3): δ 1.37 (t, J = 7.1 Hz, 3H), 1.38 (d, J = 7.0 Hz, 3H), 1 .56 (dq, J = 13.9, 2.2 Hz, 1 H), 2.21 (m, 1 H), 3.99 (d, J = 2.3 Hz, 1 H), 4.00 (t, J = 1.8 Hz, 1 H), 4.10 (dd, J = 13.2, 6.6 Hz, 1 H), 4.37-4.27 (m, 3H), 4.98 (m, 1 H), 5.35 (dd, J = 6.6, 3.8 Hz, 1 H), 8.07 (s, 1 H).

13C NMR (CDCI3): δ 14.20, 16.09, 29.34, 44.87, 53.73, 61.49, 62.29, 76.01 , 1 16.22, 133.1 1 , 134.18, 144.52, 155.48, 163.88, 169.98.

Example 17:

To a mixture of 7 (3.89 g, 12.2 mmol) in methanol (12 mL) was added sodium methylate (22.3 mL, 97.6 mmol). The reaction mixture was stirred for 24 h at 30 °C and then quenched with a slow addition of 3M hydrochloric acid (35 mL) while stirring in an ice bath. The mixture was concentrated under reduced pressure to remove most of the methanol, then extracted with dichloromethane (2 30 mL), the combined extracts washed with water (30 mL) and evaporated under reduced pressure. Methanol (20 mL) was added to the obtained amorphous residue and removed under reduced pressure to yield the solid 8 (3.69 g, 98%).

1H NMR (CDCI3): δ 15.04 (s, 1 H), 8.42 (s, 1 H), 5.29 (dd, J=5.6, 3.9 Hz, 1 H), 5.01 -4.96 (m, 1 H), 4.42 (dd, J=13.6, 3.6 Hz, 1 H), 4.25 (dd, J=13.6, 6.0 Hz, 1 H), 4.05 (s, 3H), 4.00-3.97 (m, 2H), 2.21 -2-14 (m, 1 H), 1.53 (dd, J=14.1 , 1.9 Hz, 1 H), 1.36 (d, J=7 Hz, 3H). 13C NMR (CDCI3): δ 176.35, 165.94, 155.03, 153.70, 143.08, 130.90, 1 15.94, 76.05, 62.65, 61.45, 53.86, 44.96, 29.43, 16.06.

Example 18:

To a suspension of 7 (2.55 g, 8.0 mmol) in a mixture of triethylamine (1 .46 mL, 10.4 mmol) and acetone (32 mL) stirring on an ice bath was added ethyl chloroformate (0.88 mL, 8.8 mmol). After stirring for 10 min, 2,4-difluorobenzylamine (1.07 mL, 8.8 mmol) was added and the mixture left stirring at room temperature for 1 h. The product was isolated by slowly diluting the reaction mixture with water (40 mL), filtration, washing with water (2 30 mL) and drying. There was obtained 2.91 g of 6 as a white powder (83%).

1H NMR (CDCI3): δ 1.30 (d, J = 7.0 Hz, 3H), 1 .49 (dd, J = 14.0, 2.2 Hz, 1 H), 2.14 (ddd, J = 14.6, 1 1.1 , 6.4 Hz, 1 H), 3.89-3.95 (m, 2H), 4.09-4.15 (m, 1 H), 4.26 (dd, J = 13.4, 3.8 Hz, 1 H), 4.55 (d, J = 5.8 Hz, 2H), 4.89-4.98 (m, 1 H), 5.18 (dd, J = 6.2, 3.8 Hz, 1 H), 6.68-6.79 (m, 2H), 7.23-7.31 (m, 1 H), 8.41 (s, 1 H), 10.24 (t, J = 5.8 Hz, 1 H). 13C NMR (CDCI3): δ 16.09, 26.95, 29.30, 36.79, 45.1 1 , 45.28, 53.86, 62.47, 75.93, 103.87 (t, J = 25.4 Hz), 1 1 1 .21 (dd, J = 21 .0, 3.4 Hz), 1 17.32, 130.58 (dd, J = 9.3, 5.8 Hz), 133.40, 143.54, 155.34, 163.16, 163.25, 163.35, 172.88.

Example 19:

To a suspension of 5 (1 .67 g, 4 mmol) in acetonitrile (20 mL) was added DABCO (23 mg, 5 mol%) and TCCA (0.62 g, 2.52 mmol). The mixture was stirred 18 h at 40 °C protected from light and then quenched with a mixture of DMSO (0.48 mL) and water (0.12 mL). The insoluble cyanuric acid was removed by filtration and washed with acetonitrile (5 mL). The filtrate was evaporated under reduced pressure to give viscous oil that was crystallized from a mixture of methanol (6 mL) and water (3 mL), by slowly cooling the solution from 60 °C to room

temperature. The product 6 was filtered, washed with cold methanol (5 mL) and dried to give an off-white powder (1.07 g, 61 %).

1H NMR (CDCI3): δ 1.30 (d, J = 7.0 Hz, 3H), 1 .49 (dd, J = 14.0, 2.2 Hz, 1 H), 2.14 (ddd, J = 14.6, 1 1.1 , 6.4 Hz, 1 H), 3.89-3.95 (m, 2H), 4.09-4.15 (m, 1 H), 4.26 (dd, J = 13.4, 3.8 Hz, 1 H), 4.55 (d, J = 5.8 Hz, 2H), 4.89-4.98 (m, 1 H), 5.18 (dd, J = 6.2, 3.8 Hz, 1 H), 6.68-6.79 (m, 2H), 7.23-7.31 (m, 1 H), 8.41 (s, 1 H), 10.24 (t, J = 5.8 Hz, 1 H). 13C NMR (CDCI3): δ 16.09, 26.95, 29.30, 36.79, 45.1 1 , 45.28, 53.86, 62.47, 75.93, 103.87 (t, J = 25.4 Hz), 1 1 1 .21 (dd, J = 21.0, 3.4 Hz), 1 17.32, 130.58 (dd, J = 9.3, 5.8 Hz), 133.40, 143.54, 155.34, 163.16, 163.25, 163.35, 172.88.

Example 20:

To a suspension of 6 (0.44 g) in anhydrous methanol (1 mL) was added a 25% methanolic solution of sodium methylate (1 .14 mL) and the mixture stirred for 4 h at 40 °C. The reaction was quenched with acetic acid (0.4 mL), diluted with water (8 mL), extracted with 2-methyltetrahydrofuran (12 mL), the extract washed with 1 M NaOH(aq) (8 mL), water (8 mL) and evaporated under reduced pressure. To the oily residue was added methanol (8 mL) and evaporated under reduced pressure to give 27 as a white solid (0.38 g, 88%).

Example 21 :

The suspension of (4R, 12aS)-7-chloro-N-(2,4-difluorobenzyl)-4-methyl-6,8-dioxo-3,4,6,8,12, 12a-hexahydro-2H-pyrido[1 ‘,2’:4,5]pyrazino[2, 1 -b][1 ,3]oxazine-9-carboxamide (6, 0.44 g) and solid sodium hydroxide (0.20 g) in absolute ethanol (2 mL) was stirred at room temperature for 24 h. The reaction was quenched with 2M H2S04 (1 .18 mL) and left stirring for 2 h at room temperature. The reaction mixture was filtered through fitted funnel rinsing with water (2 x 2 mL). The obtained white precipitate (0.38 g) was suspended in THF-water (1 :1 , 4.5 mL) and stirred at room temperature for ca. 2 h. The reaction mixture was filtered through fitted funnel rinsing with water (2 χ 1 mL) and dried in vacuo at 40°C to afford pure dolutegravir as a white solid (0.33 g, HPLC purity: 99.38%).

1H NMR (DMSO-d6): δ 12.51 (s, 1 H), 10.36 (t, J=5.9 Hz, 1 H), 8.50 (s, 1 H), 7.41-7.36 (m, 1 H), 7.26-7.21 (m, 1 H), 7.07-7.03 (m, 1 H), 5.45 (dd, J=5.4, 4.3 Hz, 1 H), 4.81 -4.76 (m, 1 H), 4.59-4.53 (m, 3H), 4.36 (dd, J=13.8, 5.8 Hz, 1 H), 4.05-4.00 (m, 1 H), 3.91-3.88 (m, 1 H), 2.05-1 .97 (m, 1 H), 1.55-1.52 (m, 1 H), 1 .33 (d, J=7.1 Hz, 3H). 13C NMR (DMSO-d6): δ 170.27, 163.68, 162.29, 161 .78 (dd), 159.82 (dd), 154.61 , 140.64, 130.74 (d), 130.67 (d), 122.37 (d), 1 16.73, 1 15.38, 1 1 1 .33 (d), 103.80 (t), 62.01 , 51 .16, 44.69, 35.74, 29.13, 15.21.

Example 22:

A suspension of dolutegravir (0.31 g) in methanol (4 mL) was cooled to 0 °C.25% Solution of sodium methoxide in methanol was added to the mixture and the resulting suspension was stirred at 0 °C for 2 h, then at room temperature for 23 h. The reaction mixture was then filtered through fitted funnel rinsing with methanol (3 x 10 mL). The white precipitate was dried overnight at room temperature to afford pure dolutegravir sodium as a white solid (0.26 g, HPLC purity: 99.84%).

1H NMR (DMSO-d6): δ 10.70 (t, J=5.8, 1H), 7.89 (s, 1H), 7.37-7.30 (m, 1H), 7.23-7.19 (m, 1H), 7.04-7.01 (m, 1H), 5.17 (m, 1H), 4.81 (t, J=6.4Hz, 1H), 4.51 (d, J=5.5Hz, 2H), 4.32-4.29 (m, 1H), 4.16 (dd, J=14.1, 4.8 Hz, 1H), 3.99-3.94 (m, 1H), 3.82-3.80 (m, 1H), 1.89-1.84 (m, 1H), 1.38 (d, J=12.9 Hz, 1H), 1.24 (d, J=7.0Hz, 3H).13C NMR (DMSO-d6): δ 177.93, 167.12, 166.08, 161.59 (dd), 161.13, 159.63 (dd), 134.26, 130.44 (d), 130.38 (d), 122.90 (d), 114.95, 111.23 (d), 108.78, 103.64 (t), 75.59, 61.95, 53.11, 43.01, 35.32, 29.22, 15.30.

Example 23:

The suspension of 6 (0.44 g) and solid sodium hydroxide (0.20 g) in absolute ethanol (2 mL) was stirred at room temperature for 24 h. The reaction was diluted with absolute ethanol (10 mL) and left stirring for ca. 30 min at room temperature. The reaction mixture was filtered through fitted funnel rinsing with absolute ethanol (3 x 10 mL) and dried in vacuo at room temperature to afford dolutegravir sodium as a pale yellow solid (0.43 g, HPLC purity: 98.80%). 1H NMR (DMSO-d6): δ 10.70 (t, J = 5.8 Hz, 1H), 7.89 (s, 1H), 7.37-7.30 (m, 1H), 7.23-7.19 (m, 1H), 7.04-7.01 (m, 1H), 5.17 (m, 1H), 4.81 (t, J = 6.4 Hz, 1H), 4.51 (d, J = 5.5 Hz, 2H), 4.32-4.29 (m, 1H), 4.16 (dd, J= 14.1, 4.8 Hz, 1H), 3.99-3.94 (m, 1H), 3.82-3.80 (m, 1H), 1.89-1.84 (m, 1H), 1.38 (d, J = 12.9 Hz, 1H), 1.24 (d, J = 7.0 Hz, 3H).13C NMR (DMSO-d6): δ 177.93, 167.12, 166.08, 161.59 (dd), 161.13, 159.63 (dd), 134.26, 130.44 (d), 130.38 (d), 122.90 (d), 114.95, 111.23 (d), 108.78, 103.64 (t), 75.59, 61.95, 53.11, 43.01, 35.32, 29.22, 15.30.

Example 24:

The suspension of (4R,12aS)-N-(2,4-difluorobenzyl)-7-methoxy-4-methyl-6,8-dioxo-3,4,6,8,12, 12a-hexahydro-2H-pyrido[1′,2′:4,5]pyrazino[2,1-6][1,3]oxazine-9-carboxamide (27, 0.43 g) and solid sodium hydroxide (0.20 g) in absolute ethanol (2.5 mL) was stirred at room temperature for ca.24 h. The reaction was diluted with mixture of water/ethanol (5 mL, 1:1) and left stirring for ca. 1.5 h at room temperature. The reaction mixture was filtered through fitted funnel rinsing with mixture of water/ethanol (3 x 5 mL, 1:1) and dried in vacuo at room temperature to afford 15 as a pale yellow solid (0.41 g, HPLC purity: 98.87%).

1H NMR (DMSO-de): δ 10.70 (t, J = 5.8 Hz, 1H), 7.89 (s, 1H), 7.37-7.30 (m, 1H), 7.23-7.19 (m, 1H), 7.04-7.01 (m, 1H), 5.17 (m, 1H), 4.81 (t, J = 6.4 Hz, 1H), 4.51 (d, J = 5.5 Hz, 2H), 4.32-4.29 (m, 1H), 4.16 (dd, J = 14.1, 4.8 Hz, 1H), 3.99-3.94 (m, 1H), 3.82-3.80 (m, 1H), 1.89-1.84 (m, 1H), 1.38 (d, J = 12.9 Hz, 1H), 1.24 (d, J = 7.0 Hz, 3H).13C NMR (DMSO-d6): δ 177.93, 167.12, 166.08, 161.59 (dd), 161.13, 159.63 (dd), 134.26, 130.44 (d), 130.38 (d), 122.90 (d), 114.95, 111.23 (d), 108.78, 103.64 (t), 75.59, 61.95, 53.11, 43.01, 35.32, 29.22, 15.30.

Example 25:

The suspension of {4R, 12aS)-7-chloro-4-methyl-6,8-dioxo-3,4, 6,8, 12,12a-hexahydro-2H-pyrido[1′,2′:4,5]pyrazino[2,1-6][1,3]oxazine-9-carboxylic acid (7, 0.31 g) and solid sodium hydroxide (0.20 g) in absolute ethanol (2.5 mL) was stirred at 50 °C for 3 days. The reaction was quenched with 2M H2S04 (1.2 mL) and left stirring for 7 h at room temperature. The reaction mixture was filtered through fitted funnel rinsing with water (3×5 mL) and ethanol (5 mL) dried in vacuo at 40°C to afford 28 as a pale yellow solid (0.17 g).

1H NMR (DMSO-d6): δ 15.37 (s, 1H), 12.76 (s, 1H), 8.66 (s, 1H), 5.51-5.49 (m, 1H), 4.80-4.78 (m, 1H), 4.65 (dd, J=13.8, 3.7 Hz, 1H), 4.43 (dd, J=13.8, 5.9 Hz, 1H), 4.05 (t, J^^.b Hz, 1H), 3.91 (dd, J=11.4, 3.1 Hz, 1H), 2.07-2.00 (m, 1H), 1.56 (d, J=13.8 Hz, 1H), 1.34 (d, J=7.0 Hz, 3H).13C NMR (DMSO-de): δ 172.21, 165.39, 161.73, 153.61, 141.11, 118.66, 112.99, 75.95, 62.03, 51.50, 44.90, 29.08, 15.18.

Example 26:

The suspension of (4R,12aS)-N-(2,4-difluorobenzyl)-7-methoxy-4-methyl-6,8-dioxo-3,4,6,8, 12, 12a-hexahydro-2H-pyrido[1 ‘,2’:4,5]pyrazino[2, 1 ,3]oxazine-9-carboxamide (27, 0.88 g) and solid sodium hydroxide (0.24 g) in absolute ethanol (20 mL) was stirred at 30 °C for 1.5 h. The reaction was quenched with 2M H2S04 (1 .5 mL) and left stirring for 3 hours at room temperature. The reaction mixture was filtered through fritted funnel and rinsed with water (3 x 2 mL) and ethanol (4 mL), and dried in vacuo at 40 °C to afford O-ethyl dolutegravir (29) as a pale yellow solid (0.25 g). The filtrate was extracted with ethyl acetate (3 x 5 mL). The combined organic layers were dried over MgS04, filtered and concentrated, then dried in vacuo at 40 °C to afford more 29 as a pale yellow solid (0.27 g).

1H NMR (CDCI3): δ 10.37 (t, J = 5.8 Hz, 1 H), 8.36 (s, 1 H), 7.37-7.32 (m, 1 H), 6.83-6.77 (m, 2H), 5.19 (dd, J = 5.9, 3.8 Hz, 1 H), 5.04-4.98 (m, 1 H), 4.61 (d, J = 6Hz, 2H), 4.26-4.22 (m, 3H), 4.1 1 (dd, J = 13.4, 5.9 Hz, 1 H), 3.97 (t, J = 2.4 Hz, 1 H), 3.96 (d, J = 2.4 Hz, 1 H), 2.21-2.14 (m, 1 H), 1.51 (dq, J = 14.0, 2.3 Hz, 1 H), 1 .47 (t, J = 7.0 Hz, 3H), 1 .35 (d, J = 7.1 Hz, 3H).

13C NMR (CDCI3): δ 174.78, 164.17, 162.49 (dd), 160.51 (dd), 155.72, 154.08, 142.32, 130.60 (dd), 129.33, 121 .51 (dd), 1 18.67, 1 1 1 .23 (dd), 103.78 (t), 76.15, 69.74, 62.58, 53.42, 44.58, 36.50 (d), 29.44, 16.04, 15.64.

Example 27:

The suspension of (4R, 12aS)-7-(benzyloxy)-4-methyl-3,4, 12,12a-tetrahydro-2H-pyrido[1 ‘,2’:4,5]pyrazino[2, 1-b][1 ,3]oxazine-6,8-dione (30, 0.68 g, prepared according to prior art) and solid sodium hydroxide (0.40 g) in absolute ethanol (5 mL) was stirred at 50 °C for 14 h. The reaction was quenched with formic acid (0.35 mL), water (2 mL) was added and mixture was left stirring for additional 1 h at room temperature. The reaction mixture was extracted with ethyl acetate (3 x 5 mL) and the combined organic layers concentrated to afford a crude oil. Purification by flash chromatography (eluting with CH2CI2/methanol) afforded 32 as an orange solid (0.26 g, 52 %).

The above procedure if done at room temperature in same time period, affords 31 as orange oil (0.24 g, 43 %).

Compound 32: 1H NMR (DMSO-d6): δ 7.64 (d, J = 7.4 Hz, 1 H), 6.20 (d, J = 7.3 Hz, 1 H), 5.40 (dd, J = 5.1 , 4.2 Hz, 1 H), 4.83-4.78 (m, 1 H), 4.35 (dd, J = 13.6, 3.9 Hz, 1 H), 4.13 (dd, J = 13.6, 5.4 Hz, 1 H), 4.05-4.00 (m, 1 H), 3.90-3.85 (m, 1 H), 2.03-1.95 (m, 1 H), 1.52 (dd, J = 13.9, 1 .9 Hz, 1 H), 1.33 (d, J = 7.1 Hz, 3H). 13C NMR (DMSO-d6): δ 170.96, 163.01 , 153.48, 137.96, 1 16.83, 1 13.52, 76.18, 62.05, 50.39, 44.53, 29.21 , 15.28.

Compound 31 : 1H NMR (DMSO-d6): δ 7.67 (d, J = 7.4 Hz, 1 H), 6.28 (d, J = 7.4 Hz, 1 H), 5.29 (dd, J = 5.4, 3.8 Hz, 1 H), 4.82-4.75 (m, 1 H), 4.32 (dd, J = 13.6, 3.6 Hz, 1 H), 4.10 (dd, J = 13.5, 5.6 Hz, 1 H), 4.03-3.93 (m, 3H), 3.85 (ddd, J = 1 1 .6, 5.0, 2.2 Hz, 1 H), 1.97-1 .89 (m, 1 H), 1 .48 (dd, J = 13.8, 2.1 Hz, 1 H), 1.27 (d, J = 7.1 Hz, 3H), 1.26 (d, J = 7.0 Hz, 3H). 13C NMR (DMSO-d6): δ 174.38, 156.1 1 , 150.82, 139.48, 1 16.39, 1 13.52, 75.92, 67.31 , 61 .80, 51 .36, 44.22, 29.29, 15.76, 15.36.

Exa

The transformation of 6 to dolutegravir with sodium hydroxide in ethanol was monitored for the interconversion of intermediates. The suspension of 6 (0.44 g) and solid sodium hydroxide (0.20 g) in ethanol (3.33 ml.) was stirred at 22 °C. Samples of the reaction mixture were taken after 3, 8 and 24 h for UPLC analysis. After 24 h, the reaction mixture was quenched with 2 M H2S04 (5 ml_), and left stirring at room temperature. The reaction mixture was filtered through fritted funnel, the product rinsed with water (30 ml.) and dried in vacuo at 50 °C overnight to afford dolutegravir as a white solid (0.27 g, 64 %).

The results of reaction monitoring:

Time UPLC analysis (area%)

Entry

(h) compound 6 compound 29 dolutegravir

1 3 h 37.50 20.63 39.99

2 8 h 0.78 15.46 80.32

3 24h 0.31 8.56 88.21

Example 29:

The effect of added water and reaction temperature was evaluated by monitoring 4 reactions in parallel. To the suspensions of 27 (0.86 g) in MeOH were added solid sodium hydroxide (0.40 g) or aqueous solution of NaOH (5 M, 2 ml.) (see Table below). The reactions were stirred in parallel at 50 °C or 22 °C. Samples were taken in timely intervals for UPLC analysis.

The results of reaction monitoring demethylation of 27 in MeOH:

Example 30:

The effect of added water and reaction temperature was evaluated by monitoring 4 reactions in parallel. To the suspensions of 6 (0.88 g) in EtOH were added solid sodium hydroxide (0.40 g) or aqueous solution of NaOH (5 M, 2 mL) (see Table below). The reactions were stirred in parallel at 50 °C or 22 °C. Samples were taken in timely intervals for UPLC analysis.

The results of reaction monitoring of the transformations of 6 in ethanol with NaOH:

dol. = dolutegravir

Exa

The effect of added water and reaction temperature was evaluated by monitoring 4 reactions in parallel. To the suspensions of 27 (0.88 g) in EtOH were added solid sodium hydroxide (0.40 g) or aqueous solution of NaOH (5 M, 2ml_) (see Table below). The reactions were stirred in parallel at 50 °C or 22 °C. Samples were taken in timely intervals for UPLC analysis.

The results of reaction monitoring of the transformations of 27 in ethanol with NaOH:

dol. = dolutegravir

Example 32:

Compound 3 (30 g, 1 10 mmol; assay 99%) was suspended in acetonitrile (450 mL), acetic acid (73 mL) and methanesulfonic acid (25 mL) were added. The reaction mixture was stirred 4 h at 70 °C. The clear red solution was cooled to 25 °C. Triethylamine (77 mL) and (S)-2-aminopropanol (17 mL) were added and the mixture was stirred at reflux temperature for 20 h. The reaction mixture was cooled to 25 °C and the insoluble product filtered, washed with 1 M HCI(aq) (60 mL), water (3 * 60 mL) and dried to give 4c (19.49 g, 67%): mp = 313-315 °C; 1H NMR (DMSO-d6): δ 1.31 (d, J = 6.3 Hz, 3H), 3.65 (dd, J = 8.6, 6.8 Hz, 1 H), 4.13 (dd, J = 1 1.7, 10.3 Hz, 1 H), 4.28 (m, 1 H), 4.39 (dd, J = 8.6, 6.8 Hz, 1 H), 4.92 (dd, J = 12.3, 4.2 Hz, 1 H), 5.45 (dd, J = 10.2, 4.1 Hz, 1 H), 7.16 (s, 1 H), 8.84 (s, 1 H), 15.74 (s, 1 H); 13C NMR (DMSO-d6) 16.5, 51.6, 52.9, 72.4, 81.6, 1 15.8, 1 18.1 , 141.5, 147.6, 153.4, 165.3, 179.0.

PATENT

WO2016016279, NOVEL HYDRATES OF DOLUTEGRAVIR SODIUM

LEK PHARMACEUTICALS D.D. [SI/SI]; Verovskova 57 1526 Ljubljana (SI).
SANDOZ AG [CH/CH]; Lichtstrasse 35 CH-4056 Basel (CH)

HOTTER, Andreas; (AT).
THALER, Andrea; (AT).
LEBAR, Andrija; (SI).
JANKOVIC, Biljana; (SI).
NAVERSNIK, Klemen; (SI).
KLANCAR, Uros; (SI).
ABRAMOVIC, Zrinka; (SI)

The present invention relates to novel hydrates of sodium dolutegravir and their methods of preparation. In addition, the invention relates to a novel crystalline form of sodium dolutegravir, which is a useful intermediate for the preparation of one of the new hydrates. The invention also relates to the use of the new hydrates for the production of pharmaceutical compositions.

Finally, the invention relates to pharmaceutical compositions comprising an effective amount of the novel hydrates, oral dosage forms comprising these pharmaceutical compositions, a process for preparing said oral dosage forms, and the use of such pharmaceutical compositions or dosage forms in the treatment of retroviral infections such as HIV infections -1.

Dolutegravir, chemically designated (4f?, 12aS)-/V-(2,4-difluorobenzyl)-7-hydroxy-4-methyl-6,8-dioxo-3,4,6,8, 12, 12a-hexahydro-2H-pyrido[1 ‘,2’:4,5]pyrazino[2, 1- ?][1 ,3]oxazine-9-carboxamide, is a human immunodeficiency virus type 1 (HIV-1 ) integrase strand transfer inhibitor (INSTI) indicated in combination with other a nti retroviral agents for the treatment of HIV-1 infection. The marketed finished dosage form (TIVICAY™) contains dolutegravir as its sodium salt, chemically denominated sodium (4f?,12aS)-9-((2,4-difluorobenzyl)carbamoyl)-4-methyl-6,8-dioxo-3,4,6,8,12, 12a-hexahydro-2H-pyrido[1 ‘,2’:4,5]pyrazino[2, 1- ?][1 ,3]oxazin-7-olate, which is represented by the following general chemical formula (I):

(I)

WO 2010/068253 A1 discloses a monohydrate and an anhydrous form of dolutegravir sodium as well as a crystalline form of the free compound. Processes for the preparation of said forms are also provided in the application.

WO 2013/038407 A1 discloses amorphous dolutegravir sodium and processes for preparing the same.

Hydrates of pharmaceutical drug substances are of particular interest as they provide new opportunities for preparing novel pharmaceutical compositions with improved quality, activity and/or compliance. This is due to the fact that hydrates have different physicochemical properties compared to their anhydrous counterparts such as melting point, density, habitus, chemical and physical stability, hygroscopicity, dissolution rate, solubility, bioavailability etc., which influence the formulation process and also impact the final drug product.

If an anhydrous form is selected, phase changes during the formulation process induced by hydrate formation must be avoided. This can be particularly difficult if for example wet granulation is used with a substance that is able to form hydrates like dolutegravir sodium.

Hence, a stable hydrate of dolutegravir sodium would allow to easily formulate dolutegravir sodium in a controlled manner and subsequently also facilitate storage and packaging.

However, the so far known dolutegravir sodium monohydrate disclosed in WO 2010/068253 A1 shows excessive water uptake when exposed to moisture and on the other hand already dehydrates below 30% relative humidity.

Therefore, there is a need for hydrates of dolutegravir sodium with improved physicochemical properties, e.g. for hydrates which are stable over a broad humidity range, in particular for hydrates absorbing only low amounts of water at elevated humidity and on the other hand preserving their crystal structure also at dry conditions. In addition, there is a need for pharmaceutical compositions comprising these hydrates, and thus also for hydrates that allow for improved formulation of dolutegravir sodium in pharmaceutical compositions.

SUMMARY OF THE INVENTION

The present invention relates to novel hydrates of dolutegravir sodium and to processes for their preparation. Specifically, the present invention provides crystalline forms of dolutegravir sodium of formula (I) according to respective claims 1 , 5 and 6, with preferred embodiments being set forth in sub-claim 2. The present invention also provides processes for their preparation according to respective claims 3, 7 and 8, with preferred process embodiments being set forth in sub-claim 4. The present invention further provides the uses according to claims 9 and 16, and a pharmaceutical composition according to claim 10, and preferred embodiments thereof according to sub-claims 1 1 and 12. The present invention also provides a process for the preparation of the pharmaceutical composition according to claim

13, and preferred embodiments thereof according to sub-claim 14. The pharmaceutical composition for therapeutic use is set forth in claim 15.

The novel hydrates are physically and chemically stable over a broad humidity range, show only low water uptakes when exposed to moisture and are even stable at dry conditions. Therefore, the novel hydrates are especially suitable for the preparation of pharmaceutical compositions, e.g. in terms of time and costs.

In particular, it has been found that crystal Form HxA exhibits improved properties which allow for improved formulation of Form HxA in pharmaceutical compositions.

In addition, the present invention relates to a novel crystalline form of dolutegravir sodium, which, for the first time, allows the preparation of one of the novel hydrates and is therefore a valuable intermediate.

PATENT

1361/CHE/2013

Dolutegravir (I) is chemically known as (4/?,12aS)-N-[(2,4-difluorophenyl)methyl]-3,4,6,8,12,12a-hexahydro-7-hydroxy-4-methyl-6,8-dioxo-2//-pyrido[r,2′:4,5]pyrazino[2,l-b][l,3]oxazine-9-carboxamide. Dolutegravir is a human immunodeficiency virus type 1 (HIV-1) integrase strand transfer inhibitor (INSTI) indicated in combination with other antiretroviral agents for the treatment of HIV-1 infection. Dolutegravir is being marketed under the trade name Tivicay®. US 8,129,385 disclosed Dolutegravir or its pharmaceutically acceptable salts thereof. US ‘385 also discloses a process for the preparation of Dolutegravir (I). The process involves the condensation of 5-benzyloxy-4-hydroxy-6-hydroxymethyl nicotinic acid (II) with 2,4-difluorobenzylamine (III) to produce 5-benzyloxy-N-(2,4-difluorobenzyl)-4-hydroxy-6-hydroxymethyl nicotinic acid amide (IV), which is further under goes oxidation using manganese dioxide (Mn02) to produce 5-benzyloxy-N-(2,4-difluorobenzyl)-6-formyl-4-hydroxy-nicotinic acid amide (V). This amide compound (V) is reacted with sodium chlorite (NaClCh) to produce 3-benzyloxy-5-(2,4-difluorobenzylcarbamoyl)-4- hydroxy-pyridine-2-carboxylic acid (VI), which is further treated with methanol (MeOH) to produce 3-benzyloxy-5-(2,4-difluorobenzyl)-4-hydroxy-pyridine-2-carboxylic acid methyl ester (VII).

The methyl ester compound (VII) is reacted with 3-bromopropene to produce l-allyl-3-benzyloxy-5-(2,4-difluorobenzyl)-4-oxo-l,4-dihydro-pyridine-2- carboxylic acid methyl ester (VIII), which is further reacted with potassium osmate dihydrate (K2OSO4.2H2O) to produce 3-benzyloxy-5-(2,4-difluorobenzylcarbamoyl)-4-oxo-l-(2-oxo-ethyl)-l,4-dihydropyridine-2-carboxylic acid methyl ester (IX). The compound (IX) is reacted with (R)-3-amino-l-butanol (X) to produce benzyloxy Dolutegravir (XI), which is deprotected by treating with TFA to produce Dolutegravir (I). The process is as shown in scheme-I below:

scheme1

The major disadvantage with the above prior-art process is that it involves large no of steps and tedious work-up procedures to isolate the required product. This results a longer period of time cycle is required to produce Dolutegravir (I), which in turn renders the process more costly and less eco friendly. Further the above processes are low yielding and with less purity. US 8,217,034 discloses variant process for the preparation of Dolutegravir.

This process involves the reaction of methyl l-(2,2-dihydroxyethyl)-4-oxo-3-[(phenylmethyl)oxy]-l,4-dihydro-2-pyridine carboxylate (XII) with (R)-3-amino-l-butanol (X) to produce (4R, 12o5)-4-methyl-7-[(phenylmethyl)oxy]-3,4,12,12a-tetrahydro-2//-pyrido[ 1 \2′,4,5] pyrazino[2,l-b][l,3]oxazine-6,8-dione (XIII), which is further undergoes bromination using NBS to produce (4R,12aS)-9-bromo-4-methyl-7-[(phenylmethyl)oxy]-3,4,12,12a-tetrahydro-2H-pyrido[r,2′:4,5]pyrazino[2,l-b][l,3]oxazine-6,8-dione (XIV). The bromo Compound (XIV) is condensed with 2,4-difluorobenzylamine (III) in the presence of Tetrakis(triphenylphosphine)palladium (Pd(PPh3)4) to produce benzyloxy Dolutegravir (XI), which is hydrogenated in the presence of Pd/C to produce Dolutegravir (I). The process is as shown in Scheme-II below:

scheme2

The major disadvantage with the above prior art process of preparing Dolutegravir is the use of expensive reagent tetrakis(triphenylphosphine)palladium (Pd(PPh3)4> in coupling step. Use of this reagent on industrial scale is not preferred, which makes the process more expensive. WO 2011/119566 discloses another variant process for the preparation of Dolutegravir.

This process involves the reaction of l-(2,2-dimethoxyethyl)-5-methoxy-6-(methoxycarbonyl)-4-oxo-l,4-dihydropyridine-3-carboxylic acid (XV) with acetic acid in presence of methane sulfonic acid to produce 5-methoxy-6-(methoxycarbonyl)-4-oxo-l-(2-oxoethyl)-l,4-dihydropyridine-3-carboxylic acid (XVI), which is further condensed with (R)-3-amino-l-butanol (X) to produce (4R,12aS)-7-methoxy-4-methyl-6,8-dioxo-3,4,6,8,12,12a-hexahydro-2//-pyrido[ 1 ‘,2’:4,5]pyrazino[2,1 -b] [ 1,3]-oxazine-9-carboxylic acid (XVII). This acid Compound XVII is acylated with 2,4-difluorobenzylamine (III) in the presence of carbonyldiimidazole (CDI) to produce methoxy Dolutegravir (XVIII), which is demethylated in the presence of lithium bromide (LiBr) to produce Dolutegravir (I).

The process is as shown in Scheme-3 below:

scheme3

The major disadvantage of the above prior art process of preparing Dolutegravir is the use of expensive and highly moisture sensitive reagent, 1,1-carbonyldiimidazole (CDI), during acylation. Use of this reagent on industrial scale is not preferred due to anhydrous conditions required in the process. However, there is always a need for alternative preparative routes, which for example, involve fewer steps, use reagents that are less expensive and/or easier to handle, consume smaller amounts of reagents, provide a higher yield of product, have smaller and/or more eco-friendly waste products, and/or provide a product of higher purity. Hence, there is a need to develop cost effective and commercially viable process for the preparation of Dolutegravir of formula (I). The present invention is related to a process for the preparation of pure Dolutegravir of formula (I), wherein optically active acid addition salt of (R)-3-amino-l-butanol (X) is directly condensed with 5-methoxy-6-(methoxycarbonyl)-4-oxo-l-(2-oxoethyl)-l,4-dihydropyridine-3-carboxylic acid (XVI) instead of condensing with free base of (R)-3-amino-1-butanol (X). The present invention is also related to a process for the preparation of pure Dolutegravir of formula (I), wherein, inexpensive and easily handling condensing reagents in the condensation of (4R, 12aS)-7-methoxy-4-methyl-6,8-dioxo-3,4,6,8,12,12a-hexahydro-2//-pyrido[l’,2′:4,5]pyrazino [2,l-b][l,3]oxazine-9-carboxylic acid (XVII) with 2,4-difluorobenzylamine (III).

In another embodiment, 5-methoxy-6-(methoxycarbonyl)-4-oxo-l-(2-oxoethyl)-l,4- dihydropyridine-3-carboxylic acid (XVI) used in the present invention is prepared by reacting 4-methoxyacetoacetate (XIX) with N,N-dimethyl-l,l- bis(methyloxy)methanamine (DMF-DMA) (XX) to produce methyl-2- (dimethylaminomethylene)-4-methoxy-3-oxo-butanoate(methyl-3-(dimethylamino)-2 [(methyloxy)acetyl]-2-propenoate) (XXI), which is reacted with aminoacetaldehyde dimethyl acetal (XXII) to produce methyl-2-(2,2-dimethoxyethylaminomethylene)-4-methoxy-3-oxo-butanoate(methyl-3-{[2,2-bis(methyloxy)ethyl]amino}-2-[(methyloxy) acetyl]-2-propenoate) (XXIII).

The compound (XXIII) is contacted with dimethyl ethanedioate in presence of alkali metal alkoxide to produce dimethyl-1-(2,2-dimethoxyethyl)-3-methoxy-4-oxo-l ,4-dihydropyridine-2,5-dicarboxylate (XXIV), which is selectively hydrolyzed with a base to produce l-[2,2-bis(methyloxy)ethyl]-5-(methyloxy)-6-[(methyloxy)carbonyl]-4-oxo-l ,4-dihydro-3-pyridinecarboxylic acid (XV). The compound (XV) is treated with a catalytic amount of a strong protic acid in the presence of acetic acid in an organic solvent to produce a reaction mixture containing 5- methoxy-6-(methoxycarbonyl)-4-oxo-l-(2-oxoethyl)-l,4-dihydropyridine-3-carboxylic acid (XVI), The process is as shown in Scheme-IV below:

scheme4

The following examples illustrate the nature of the invention and are provided for illustrative purposes only and should not be construed to limit the scope of the invention.

Example-1:

EXAMPLES: Example-1: Process for the preparation of Dolutegravir

Step-i: Preparation of (/?)-3-amino-l-butanol tartarate salt: D-(+) Tartaric acid (12.7 g, 0.085 mol) was added in to a solution of (i?,5)-3-amino-l-butnaol (7.5 g, 0.084 mol) in methanol (100 ml) at 40 °C. The reaction mixture was stirred for about 1 hour at 35-40 °C and the reaction mass was cooled to 0-5°C and maintained for 30-40 minutes. The obtained solid was filtered and washed with chilled methanol (10 ml) at 0-5 °C. The solid was dried to get (i?)-3-amino-l-butanol tartarate salt (8.0 g, 40%).

Step-ii: Preparation of (4rt,12a£)-7-methoxy-4-methyl-6,8-dioxo-3,4,6,8,12,12a-hexahydro-2H-pyrido[l’,2′;4,5]pyrazino[2,l-b][l,3]oxazine-9-carboxylic acid (XVII): l-[2,2-Bis(methyloxy)ethyl]-5-(methyloxy)-6-[(methyloxy)carbonyl]-4-oxo-l,4-dihydro-3-pyridinecarboxylic acid (XV) (lOOg; 0.3175 moles) was suspended in acetonitrile (800 ml) and heated to 80-82°C. A mixture of acetic acid (95.25 g), methanesulfonic acid (9.14 g; 0.09525 moles) and acetonitrile (200 ml) were added to the slurry at 80-82°C. The reaction mass was continued at 80-82°C to complete the reaction. After completion of the reaction, anhydrous sodium acetate (65 g) and (/?)-3-amino-l-butanol tartrate salt (79.68g; 0.3334 moles) were added at 20-25°C and stirred at 60-65°C to complete the reaction. The reaction mass was concentrated and acidified with IN aqueous hydrochloric acid (750 ml) and extracted with methylene chloride (1500 ml) at ice cold temperature. The organic layer was separated, concentrated, treated with hot methanol (350 ml) for 2 h, filtered, washed with methanol and dried to yield (4R,12aS)-7-methoxy-4-methyl-6,8-dioxo-3,4,6,8,12,12a-hexahydro-2H-pyrido[ 1′ ,2′ :4,5]pyrazino[2,1 -b] [ 1,3]oxazine-9-carboxylic acid (XVII) (72 g; HPLC purity: 99.07%).

Step-iii: Process for the preparation of Dolutegravir (I). Method A: Triethylamine (3.61 g; 0.0357 moles) was added to the suspension of (4R,12aS)-7- methoxy-4-methyl-6,8-dioxo-3,4,6,8,12,12a-hexahydro-2H-pyrido[ 1′ ,2′ :4,5]pyrazino[2,1 – b][l,3]oxazine-9-carboxylic acid (XVII) (10 g; 0.0325 moles) in methylene chloride (50 ml), and cooled to 10-15°C. Pivaloyl chloride (4.3 g; 0.0357 moles) was added to the reaction mass, and stirred at 10-15°C for 1 h. Thereafter, 2,4-difiuorobenzylamine (5.58 g; 0.0389 moles) was added at 10-15°C and then warmed to 20-25°C to complete the reaction. After completion of the reaction, IN aqueous hydrochloric acid (20 ml) was added, organic layer was separated, washed with 5% w/w aqueous sodium bicarbonate solution (10 ml) followed by 15% w/w aqueous sodium chloride solution (10 ml) and concentrated. To the concentrated mass, acetonitrile (100 ml) and Lithium bromide (5.08 g; 0.0584 moles) were added and heated to 65-70°C for 3 h to complete the reaction. After completion of the reaction, the reaction mass was acidified with 5N aqueous hydrochloric acid (40 ml), concentrated to about 50 ml and DM water was added to crystallize the product at 20-25°C. The slurry was stirred for 2 h, filtered, washed with DM water and dried to yield (4R,12aS)-N-(2,4-difluorobenzyl)-7-hydroxy-4-methyl-6,8-dioxo-3,4,6,8,12,12a,-hexahydro-2H-pyrido[ 1′ ,2′ :4,5]pyrazino[2,1 -b] [ 1,3]oxazine-9-carboxamide (I) (11.5 g, HPLC purity: 99.63%).

Method B: Isobutyl chloroformate (4.65 gm, 0.03404 moles) in methylene chloride (10 ml) was added to the solution of N-methylmorpholine (3.45 gm, 0.03410 moles) and (4R,12aS)-7-methoxy-4-methyl-6,8-dioxo-3,4,6,8,12,12a-hexahydro-2H-pyrido[ 1′ ,2′ :4,5]pyrazino-[2,1 -b][l,3]oxazine-9-carboxy!ic acid (XVII) (10.0 gm, 0.03245 moles) in methylene chloride (60 ml) at -10 to 0°C in about 1 h. 2,4-Difloro benzyl amine (4.88 gm, 0.03409 moles) in methylene chloride (10 ml) was added to the cold reaction mass, and stirred at 20-30°C for completion of reaction. After completion of reaction, the reaction mass was washed with 5%w/w aqueous sodium bicarbonate solution (20 ml), IN hydrochloric acid (20 ml), DM water (20 ml) and concentrated. Acetonitrile (120 ml) and lithium bromide (4.8 gm, 0.05516 moles) were added to the concentrated mass, and stirred at 70-80°C for 3 h to complete the reaction. After completion of reaction, the reaction mass was acidified with 5N aqueous hydrochloric acid (40 ml) and concentrated to about 50 ml. DM Water (100 ml) was added to the concentrated reaction mass and stirred for 2 h at 25-30°C to crystallize the product. The product was filtered, washed with DM Water (50 ml) and dried to yield Dolutegravir (I) (10.7 gm, HPLC purity: 99.60%).

Example-2: Process for the preparation of Dolutegravir (I) (4R, 12aS)-N-(2,4-difluorobenzyl)-7-methoxy-4-methyl-6,8-dioxo-3,4,6,8,12,12a,-hexahydro-2H-pyrido[r,2′:4,5]pyrazino[2,l-b][l,3]oxazine-9-carboxamide (XVIII) (2 g, 0.0046 moles) was suspended in isopropyl alcohol (20 ml) and lithium bromide (0.8 g, 0.00924 moles) was added and stirred at 70-80°C for 15 h to complete the reaction. After completion of reaction the reaction mass was acidified with 5N aqueous hydrochloric acid (5 ml) and concentrated. DM Water (20 ml) was added to the concentrated mass and stirred at 25-30°C to crystallize the product. The product was filtered, washed with DM Water and dried to yield Dolutegravir (I) (1.5 g, HPLC purity: 97.93%).

Dolutegravir

 
 
 

Experimental:

1H NMR (CDCl3) δ  12.45 (s, 1H), 10.38 (br s, 1H), 8.30 (s, 1H), 7.40-7.30 (m, 1H), 6.85-6.75 (m, 2H), 5.26 (d, J = 5.8, 4.1 Hz, 2H), 5.05-4.95 (m, 1H), 4.64 (d, J = 5.9 Hz, 2H), 4.27 (dd, J = 13.4, 4.2 Hz, 1H), 4.12 (dd, J = 13.6, 6.0 Hz, 1H), 4.05 (t, J = 2.3 Hz, 1H), 4.02 (d, J = 2.2 Hz, 1H), 2.30-2.19 (m, 1H), 1.56 (dd, J = 14.0, 2.0 Hz, 1H), 1.42 (d, J = 7.0 Hz, 3H).////////////LINK

Dolutegravir sodium

DOLUTEGRAVIR SODIUM.png

DOLUTEGRAVIR SODIUM; UNII-1Q1V9V5WYQ; Dolutegravir (sodium);  GSK1349572A; GSK 1349572A;  1051375-19-9

Molecular Formula: C20H18F2N3NaO5
Molecular Weight: 441.360596 g/mol


sodium;(4R,12aS)-9-[(2,4-difluorophenyl)methylcarbamoyl]-4-methyl-6,8-dioxo-3,4,12,12a-tetrahydro-2H-pyrido[5,6]pyrazino[2,6-b][1,3]oxazin-7-olate


Sodium(4R,12aS)-9-{[(2,4-Difluorophenyl)methyl]carbamoyl}-4-methyl-6,8-dioxo-3,4,6,8,12,12a-hexahydro-2H-pyrido[1′,2′:4,5]pyrazino[2,1-b][1,3]oxazol-7-olate (1)

Characterization data of 1:
1H NMR (400 MHz, DMSO-d6) δ 10.6–10.7 (t, J = 6.0 Hz, 1H), 7.8 (s, 1H), 7.3 (dd, J = 8.4 and 7.2 Hz, 1H), 7.1–7.2 (m, 1H), 7.0 (t, J = 8.0 Hz, 1H), 5.1 (bs, 1H), 4.7–4.8 (m, 1H), 4.5 (d, J = 5.6 Hz, 2H), 4.2–4.3 (d, J = 11.2 Hz, 1H), 4.1 (m, 1H), 3.9 (m, 1H), 3.7–3.8 (m, 1H), 1.8 (m, 1H), 1.3 (d, J = 13.2 Hz, 1H), 1.2 (d, J = 6.8 Hz, 3H);
13C NMR (400 MHz, DMSO-d6) δ 177.9, 167.0, 166.0, 161.0, 159.9, 160.0, 162.4, 162.5, 158.6, 158.8, 161.1, 161.2, 134.2, 130.4, 130.5, 122–8, 123.0, 114.8, 111.0, 111.3, 108.6, 103.3, 103.8, 75.5, 61.8, 53.1, 42.9, 35.3, 29.1, 15.3;
 IR (KBr, cm–1): 3165, 3072, 2974, 2941, 2873, 1643, 1539, 1504, 1101;
ESI-MS m/z: 418.17.

References

  1. [1] American Medical Association (AMA), STATEMENT ON A NONPROPRIETARY NAME ADOPTED BY THE USAN COUNCIL (Dolutegravir) Accessed 3 December 2011.
  2.  FDA approves new drug to treat HIV infection http://www.fda.gov/NewsEvents/Newsroom/PressAnnouncements/ucm364744.htm Aug. 12, 2013
  3. “U.S. FDA approves GlaxoSmithKline’s HIV drug Tivicay”Reuters. 12 August 2013. Retrieved 13 February 2013.
  4. “GSK wins priority status for new HIV drug in U.S”Reuters. 16 February 2013. Retrieved 18 February 2013.
  5. “ViiV Healthcare receives approval for Tivicay™ (dolutegravir) in Canada for the treatment of HIV”. Retrieved 11 November 2013.
  6. FDA approves new drug to treat HIV infection http://www.fda.gov/NewsEvents/Newsroom/PressAnnouncements/ucm364744.htm Aug. 12, 2013
  7.  U.S. FDA approves GlaxoSmithKline’s HIV drug Tivicay http://www.reuters.com/article/2013/08/12/us-glaxosmithkline-hivdrug-idUSBRE97B0WU20130812 Mon Aug 12, 2013 6:40pm EDT
  8. “Dolutegravir Prescribing Information”. Retrieved 3 January 2014.
  9.  Raffi, F; Jaeger, H; Quiros-Roldan, E; Albrecht, H; Belonosova, E; Gatell, JM; Baril, JG; Domingo, P; Brennan, C; Almond, S; Min, S; extended SPRING-2 Study, Group (Nov 2013). “Once-daily dolutegravir versus twice-daily raltegravir in antiretroviral-naive adults with HIV-1 infection (SPRING-2 study): 96 week results from a randomised, double-blind, non-inferiority trial.”. The Lancet infectious diseases13 (11): 927–35. PMID24074642.
  10. http://www.natap.org/2013/ICAAC/ICAAC_24.htm
  11.  Walmsley, Sharon L.; Antela, Antonio; Clumeck, Nathan; Duiculescu, Dan; Eberhard, Andrea; Gutiérrez, Felix; Hocqueloux, Laurent; Maggiolo, Franco; Sandkovsky, Uriel; Granier, Catherine; Pappa, Keith; Wynne, Brian; Min, Sherene; Nichols, Garrett (7 November 2013). “Dolutegravir plus Abacavir–Lamivudine for the Treatment of HIV-1 Infection”. New England Journal of Medicine369 (19): 1807–1818. doi:10.1056/NEJMoa1215541.
  12.  Sax, Paul. “SINGLE Study Underscores Waning of the Efavirenz Era — But Probably Just in the USA – See more at:http://blogs.jwatch.org/hiv-id-observations/index.php/single-study-underscores-waning-of-the-efavirenz-era-but-probably-just-in-the-usa/2013/11/06/#sthash.A39SderN.dpuf”. Retrieved 19 December 2013.
  13.  Eron, JJ; Clotet, B; Durant, J; Katlama, C; Kumar, P; Lazzarin, A; Poizot-Martin, I; Richmond, G; Soriano, V; Ait-Khaled, M; Fujiwara, T; Huang, J; Min, S; Vavro, C; Yeo, J; VIKING Study, Group (2013 Mar 1). “Safety and efficacy of dolutegravir in treatment-experienced subjects with raltegravir-resistant HIV type 1 infection: 24-week results of the VIKING Study.”. The Journal of infectious diseases207 (5): 740–8. PMID23225901.
  14. WO2010011812A1 * Jul 23, 2009 Jan 28, 2010 Smithkline Beecham Corporation Chemical compounds
    WO2010011819A1 * Jul 23, 2009 Jan 28, 2010 Smithkline Beecham Corporation Chemical compounds
        • [Patent Document 1] International publication No.2006/116764 pamphlet
        • [Patent Document 2] International publication No.2010/011812 pamphlet
        • [Patent Document 3] International publication No.2010/011819 pamphlet
        • [Patent Document 4] International publication No.2010/068262 pamphlet
        • [Patent Document 5] International publication No.2010/067176 pamphlet
        • [Patent Document 6] International publication No.2010/068253 pamphlet
        • [Patent Document 7] US Patent 4769380A
        • [Patent Document 8] International applicationPCT/JP2010/055316

    [NON-PATENT DOCUMENTS]

      • [Non-Patent Document 1] Journal of Organic Chemistry, 1991, 56(16), 4963-4967
      • [Non-Patent Document 2] Science of Synthesis, 2005, 15, 285-387
      • [Non-Patent Document 3] Journal of Chemical Society Parkin Transaction. 1, 1997, Issue. 2, 163-169
Dolutegravir
Dolutegravir.svg
Dolutegravir ball-and-stick model.png
Systematic (IUPAC) name
(4R,12aS)-N-(2,4-difluorobenzyl)-7-hydroxy-4-methyl-6,8-dioxo-3,4,6,8,12,12a-hexahydro-2H-pyrido[1′,2′:4,5]pyrazino[2,1-b][1,3]oxazine-9-carboxamide
Clinical data
Trade names Tivicay
AHFS/Drugs.com Multum Consumer Information
MedlinePlus a613043
License data
Pregnancy
category
  • US: B (No risk in non-human studies)
Routes of
administration
Oral
Legal status
Legal status
Pharmacokinetic data
Bioavailability n/a[1]
Protein binding ≥98.9%
Metabolism UGT1A1 and CYP3A
Biological half-life ~14 hours
Excretion Feces (53%) and urine (18.9%)
Identifiers
CAS Number 1051375-16-6 
ATC code J05AX12 (WHO)
PubChem CID 54726191
IUPHAR/BPS 7365
ChemSpider 25051637 Yes
UNII DKO1W9H7M1 Yes
ChEMBL CHEMBL1229211 Yes
NIAID ChemDB 538122
Chemical data
Formula C20H19F2N3O5
Molar mass 419.38 g/mol
///////////GSK 1349572, S-349572, GSK 1349572, GSK-1349572, GSK1349572, Tivicay®, GSK1349572, GSK-1349572, S/GSK 1349572, S/GSK1349572, S/GSK1349572 (GSK1349572), S/GSK1349572, UNII:DKO1W9H7M1, 1051375-16-6, DOLUTEGRAVIR, 1051375-19-9,  ドルテグラビルナトリウム , Soltegravir
C[C@@H]1CCO[C@@H]2N1C(=O)c3c(c(=O)c(cn3C2)C(=O)NCc4ccc(cc4F)F)O
CC1CCOC2N1C(=O)C3=C(C(=O)C(=CN3C2)C(=O)NCC4=C(C=C(C=C4)F)F)[O-].[Na+]

US Approves Breakthrough Hepatitis C Drug, Sofosbuvir » All About Drugs


SOFOSBUVIR

DO NOT FORGET TO CLICK

US Approves Breakthrough Hepatitis C Drug, Sofosbuvir » All About Drugs

AND ALSO

DO NOT FORGET TO CLICK

SEE………………….http://orgspectroscopyint.blogspot.in/2015/02/sofosbuvir-visited.html

READ ABOUT SYNTHESIS BY CLICKING ABOVE LINK


Sofosbuvir

Sovaldi

M.Wt: 529.45

Formula: C22H29FN3O9P

Isopropyl (2S)-2-[[[(2R,3R,4R,5R)-5-(2,4-dioxopyrimidin-1-yl)-4-fluoro-3-hydroxy-4-methyl-tetrahydrofuran-2-yl]methoxy-phenoxy-phosphoryl]amino]propanoate

A prodrug of 2′-deoxy-2′-alpha-F-2′-beta-C-methyluridine 5′-monophosphate.
GS-7977, PSI-7977

  • GS 7977
  • GS-7977
  • PSI 7977
  • PSI-7977
  • Sofosbuvir
  • Sovaldi
  • UNII-WJ6CA3ZU8B

CAS Registry Number :1190307 -88-0

http://www.ama-assn.org/resources/doc/usan/sofosbuvir.pdf

Indications: Chronic hepatitis C (HCV GT1, GT2, GT3, GT4)
Mechanism: nucleoside NS5B polymerase inhibitor
approved Time: December 6, 2013
,U.S. Patent Number: 7964580,8415322,8334270,7429572;, patent validity: March 26, 2029 (U.S. Patent No.: 7,964,580 and 8,334,270), April 3, 2025 (U.S. Patent No.: 7,429,572 and 8,415,322)

US patent number 7964580, US patent number 8415322, US patent number 8334270,US patent number 7429572 Patent Expiration Date: March 26, 2029 for US patent number 7964580 and 8334270 (2028 in EU); April 3, 2025 for US patent number 7429572 and 8415322

Sales value (estimated): $ 1.9 billion (2014), 6600000000 USD (2016)

Drug Companies: Gilead Sciences, Inc. (Gilead Sciences)

WASHINGTON, Dec. 6, 2013 (AP) — Federal health officials have approved a highly anticipated hepatitis C drug from Gilead Sciences Inc. that is expected to offer a faster, more palatable cure to millions of people infected with the liver-destroying virus.

The Food and Drug Administration said Friday it approved the pill Sovaldi in combination with older drugs to treat the main forms of hepatitis C that affect U.S. patients.

Current treatments for hepatitis C can take up to a year of therapy and involve weekly injections of a drug that causes flu-like side effects. That approach only cures about three out of four patients. Sovaldi is a daily pill that in clinical trials cured roughly 90 percent of patients in just 12 weeks, when combined with the older drug cocktail.http://www.pharmalive.com/us-approves-breakthrough-hepatitis-c-drug

  • The end of October 2013 saw a nod from the FDA given to Gilead’s New Drug Application for Sofosbuvir, a much needed treatment for hepatitis C.
  • As a nucleotide analogue, Sofosbuvir is designed as a once daily treatment.
  • There are roughly 170 million cases of hepatitis C around the world.
  • A report in the Journal of the American Medical Association on August 28, 2013 revealed that the Sofosbuvir and Ribavirin combination treatment effectively cured many patients with the Hepatitis C Virus.
  • The Sofosbuvir and Ribavirin drug combination was void of interferon-based treatments, which  many patients are resistant too.
  • More than 3 million Americans have chronic Hepatitis C Virus, and 22 percent of these patients are African American.

Sofosbuvir (brand names Sovaldi and Virunon) is a drug used for hepatitis C virus (HCV) infection, with a high cure rate.[1][2] It inhibits the RNA polymerase that the hepatitis C virus uses to replicate its RNA. It was discovered at Pharmasset and developed by Gilead Sciences.[3]

Sofosbuvir is a component of the first all-oral, interferon-free regimen approved for treating chronic Hepatitis C.[4]

In 2013, the FDA approved sofosbuvir in combination with ribavirin (RBV) for oral dual therapy of HCV genotypes 2 and 3, and for triple therapy with injected pegylated interferon (pegIFN) and RBV for treatment-naive patients with HCV genotypes 1 and 4.[4] Sofosbuvir treatment regimens last 12 weeks for genotypes 1, 2 and 4, compared to 24 weeks for treatment of genotype 3. The label furhter states that sofosbuvir in combination with ribavirin may be considered for patients infected with genotype 1 who are interferon-ineligible.[5] Sofosbuvir will cost $84,000 for 12 weeks of treatment and $168,000 for the 24 weeks, which some patient advocates have criticized as unaffordable.

Interferon-free therapy for treatment of hepatitis C eliminates the substantial side-effects associated with use of interferon. Up to half of hepatitis C patients cannot tolerate the use of interferon.[6]

Sofosbuvir is a prodrug that is metabolized to the active antiviral agent 2′-deoxy-2′-α-fluoro-β-C-methyluridine-5′-triphosphate.[7] Sofosbuvir is anucleotide analog inhibitor of the hepatitis C virus (HCV) polymerase.[8] The HCV polymerase or NS5B protein is a RNA-dependent RNA polymerase critical for the viral cycle.

The New Drug Application for Sofosbuvir was submitted on April 8, 2013 and received the FDA’s Breakthrough Therapy Designation, which grants priority review status to drug candidates that may offer major treatment advantages over existing options.[9]

On 6th December 2013, the U.S. Food and Drug Administration approved sofosbuvir for the treatment of chronic hepatitis C.[10]

Sofosbuvir is being studied in combination with pegylated interferon and ribavirin, with ribavirin alone, and with other direct-acting antiviral agents.[11][12] It has shown clinical efficacy when used either with pegylated interferon/ribavirin or in interferon-free combinations. In particular, combinations of sofosbuvir with NS5A inhibitors, such as daclatasvir or GS-5885, have shown sustained virological response rates of up to 100% in people infected with HCV.[13]

Data from the ELECTRON trial showed that a dual interferon-free regimen of sofosbuvir plus ribavirin produced a 24-week post-treatment sustained virological response (SVR24) rate of 100% for previously untreated patients with HCV genotypes 2 or 3.[14][15]

Data presented at the 20th Conference on Retroviruses and Opportunistic Infections in March 2013 showed that a triple regimen of sofosbuvir, ledipasvir, and ribavirin produced a 12-week post-treatment sustained virological response (SVR12) rate of 100% for both treatment-naive patients and prior non-responders with HCV genotype 1.[16] Gilead has developed a sofosbuvir + ledipasvir coformulation that is being tested with and without ribavirin.

Sofosbuvir will cost $84,000 for 12 weeks of treatment used for genotype 1 and 2, and $168,000 for the 24 weeks used for genotype 3.[17] This represents a substantial pricing increase from previous treatments consisting of interferon and ribavirin, which cost between $15,000 and $20,000.[18] The price is also significantly higher than that of Johnson & Johnson‘s recently approved drug simeprevir (Olysio), which costs $50,000 and also treats chronic hepatitis C.[18] The high cost of the drug has resulted in a push back from insurance companies and the like, includingExpress Scripts, which has threatened to substitute lower priced competitors, even if those therapies come with a more unfriendly dosing schedule.[18] Other treatments that have recently entered the market have not matched the efficacy of sofosbuvir, however, allowing Gilead to set a higher price until additional competition enters the market.[18] Patient advocates such as Doctors Without Borders have complained about the price, which is particularly difficult for underdeveloped countries to afford.[19]

ChemSpider 2D Image | Sofosbuvir | C22H29FN3O9P

sofosbuvir

  1.  News: United States to approve potent oral drugs for hepatitis C, Sara Reardon, Nature, 30 October 2013
  2.  Sofia MJ, Bao D, Chang W, Du J, Nagarathnam D, Rachakonda S, Reddy PG, Ross BS, Wang P, Zhang HR, Bansal S, Espiritu C, Keilman M, Lam AM, Steuer HM, Niu C, Otto MJ, Furman PA (October 2010). “Discovery of a β-d-2′-deoxy-2′-α-fluoro-2′-β-C-methyluridine nucleotide prodrug (PSI-7977) for the treatment of hepatitis C virus”. J. Med. Chem. 53 (19): 7202–18.doi:10.1021/jm100863xPMID 20845908.
  3.  “PSI-7977”. Gilead Sciences.
  4. Tucker M (December 6, 2013). “FDA Approves ‘Game Changer’ Hepatitis C Drug Sofosbuvir”. Medscape.
  5.  “U.S. Food and Drug Administration Approves Gilead’s Sovaldi™ (Sofosbuvir) for the Treatment of Chronic Hepatitis C – See more at: http://www.gilead.com/news/press-releases/2013/12/us-food-and-drug-administration-approves-gileads-sovaldi-sofosbuvir-for-the-treatment-of-chronic-hepatitis-c#sthash.T9uTbSWK.dpuf”. Gilead. December 6, 2013.
  6.  “Sofosbuvir is safer than interferon for hepatitis C patients, say scientists”. News Medical. April 25, 2013.
  7.  Murakami E, Tolstykh T, Bao H, Niu C, Steuer HM, Bao D, Chang W, Espiritu C, Bansal S, Lam AM, Otto MJ, Sofia MJ, Furman PA (November 2010). “Mechanism of activation of PSI-7851 and its diastereoisomer PSI-7977”J. Biol. Chem. 285 (45): 34337–47.doi:10.1074/jbc.M110.161802PMC 2966047PMID 20801890.
  8.  Alejandro Soza (November 11, 2012). “Sofosbuvir”. Hepaton.
  9.  “FDA Advisory Committee Supports Approval of Gilead’s Sofosbuvir for Chronic Hepatitis C Infection”Drugs.com. October 25, 2013.
  10.  “FDA approves Sovaldi for chronic hepatitis C”FDA New Release. U.S. Food and Drug Administration. 2013-12-06.
  11.  Murphy T (November 21, 2011). “Gilead Sciences to buy Pharmasset for $11 billion”.Bloomberg Businessweek.
  12.  Asselah T (January 2014). “Sofosbuvir for the treatment of hepatitis C virus”. Expert Opin Pharmacother 15 (1): 121–30. doi:10.1517/14656566.2014.857656PMID 24289735.
  13.  “AASLD 2012: Sofosbuvir and daclatasvir dual regimen cures most people with HCV genotypes 1, 2, or 3”News. European Liver Patients Association. 2012-11-21.
  14.  AASLD: PSI-7977 plus Ribavirin Can Cure Hepatitis C in 12 Weeks without Interferon. Highleyman, L. HIVandHepatitis.com. 8 November 2011.
  15.  Gane EJ, Stedman CA, Hyland RH, Ding X, Svarovskaia E, Symonds WT, Hindes RG, Berrey MM (January 2013). “Nucleotide polymerase inhibitor sofosbuvir plus ribavirin for hepatitis C”.N. Engl. J. Med. 368 (1): 34–44. doi:10.1056/NEJMoa1208953PMID 23281974.
  16.  CROI 2013: Sofosbuvir + Ledipasvir + Ribavirin Combo for HCV Produces 100% Sustained Response. Highleyman, L. HIVandHepatitis.com. 4 March 2013.
  17.  Campbell T (December 11, 2013). “Gilead’s Sofosbuvir Gets New Name, Price, Headaches”. The Motley Fool.
  18.  Cohen, J. (2013). “Advocates Protest the Cost of a Hepatitis C Cure”. Science 342 (6164): 1302–1303. doi:10.1126/science.342.6164.1302PMID 24337268edit

The chemical structure

Chemical Structure of Sovaldi_Sofosbuvir_Hepatatis C-Gilead

GS-7977, (S)-isopropyl 2-(((S)-(((2R,3R,4R,5R)-5-(2,4-dioxo-3,4- dihydropyrimidin^l(2H)-yl)-4-fluoro-3-hydroxy-4-methyltetrahydrofuran-2- yl)methoxy)(phenoxy)phosphoryl)amino)propanoate, available from Gilead Sciences, Inc., is described and claimed in U.S. Patent No. 7,964,580. (See also US 2010/0016251, US 2010/0298257, US 201 1/0251 152 and US 2012/0107278.) GS-7977 has the structure:

Figure imgf000013_0001

GS-7977 can be crystalline or amorphous. Examples of preparing crystalline and amorphous forms of GS-7977 are disclosed in US 2010/0298257 (US 12/783,680) and US 201 1/0251 152 (US 13/076,552),

Chemical Synthesis of Sofosbuvir_Sovaldi_GS-7977_PSI-7977_Hepatitis C_Gilead

Commerically available isopropylidine protected D-glyceraldehyde was reacted with (carbethoxyethylidene)triphenylmethylphosphorane gave the chiral pentenoate ester YP-1. Permanganate dihydroxylation of YP-1 in acetone gave the D-isomer diol YP-2. The cyclic sulfate YP-3 was obtained by first making the cyclic sulfite with thionyl chloride and then oxidizing to cyclic sulfate with sodium hypochlorite. Fluorination of YP-3 with triethylamine-trihydrofluoride(TEA-3HF) in the presence of triethylamine, followed by the hydrolysis of sulfate ester in the presence of concentrated HCl provided diol YP-4 which was benzoylated to give ribonolactone YP-5. Reduction of YP-5 with Red-Al followed by chlorination with sulfuryl chloride in the presence of catalytic amount of tetrabutylammonium bromide yielded YP-6. The conversion of YP-6 to benzoyl protected 2′-deoxyl-2′-alpha-F-2′-Beta-C-methylcytidine (YP-7) was achieved by using O-trimethyl silyl-N4-benzoylcytosine and stannic chloride. Preparation of the uridine nucleoside YP-8 was accomplished by first heating benzoyl cytidine YP-7 in acetic acid then treating with methoanolic ammonia to provide YP-8 in 78% yield.

The phosphoramidating reagent YP-9 was obtained by first reacting phenyldichlorophosphate with L-Alanine isopropyl ester hydrochloride and then with pentafluorophenol. Isolation of single Sp diastereomer YP-9 was achieved via crystallization-induced dynamic resolution in the presence of 20% MTBE/hexane at room temperature.

The uridine nucleoside YP-8 was treated with tert-butylmagnesium chloride in dry THF, followed by pentafluorophenyl Sp diastereomer YP-9 to furnish the Isopropyl (2S)-2-[[[(2R,3R,4R,5R)-5-(2,4-dioxopyrimidin-1-yl)-4-fluoro-3-hydroxy-4-methyl-tetrahydrofuran-2-yl]methoxy-phenoxy-phosphoryl]amino]propanoate (Sovaldi, sofosbuvir, GS-7977, PSI-7977)。

…………

US 7429572

US  8415322

US 7964580

US 8334270B

WO 2006012440

WO 2011123668

US8334270

/US20080139802

……………………………………………

In US 20050009737 published Jan. 13, 2005, J. Clark discloses fluoro-nucleoside derivatives that inhibit Hepatitis C Virus (HCV) NS5B polymerase. In particular, 4-amino-1-((2R,3R,4R,5R)-3-fluoro-4-hydroxy-5-hydroxymethyl-3-methyl-tetrahydro-faran-2-yl)-1H-pyrimidin-2-one (18) was a particularly potent inhibitor of HCV polymerase as well as the polymerase of other Flaviviridae.

Figure US20080139802A1-20080612-C00002

In WO2006/012440 published Feb. 2, 2006, P. Wang et al disclose processes for the preparation of 18. Introduction of the cytosine is carried out utilizing the Vorbruggen protocol. In US 20060122146 published Jun. 8, 2006, B.-K. Chun et al. disclose and improved procedures for the preparation of the 2-methyl-2-fluoro-lactone 10. In the latter disclosure the nucleobase is glycosylated by reacting with ribofuranosyl acetate which is prepared by reduction of 10 with LiAlH(O-tert-Bu)followed by acetylaton of the intermediate lactol which was treated with an O-trimethylsilyl N4-benzoylcytosine in the presence of SnClto afford the O,O,N-tribenzoylated nucleoside.

……………………………………………………………….

http://www.google.nl/patents/US20080139802

The present process as described in SCHEME A and the following examples contain numerous improvements which have resulted in higher yields of the desired nucleoside. The asymmetric hydroxylation of 22 was discovered to be best carried out with sodium permanganate in the presence of ethylene glycol, sodium bicarbonate in acetone which afforded the diol in 60-64% on pilot plant scale. The sodium permanganate procedure avoids introduction of osmium into the process stream. Further more the stereospecific hydroxylation can be accomplished without using an expensive chiral ligand. The requisite olefin is prepared from (1S,2S)-1,2-bis-((R)-2,2-dimethyl-[1,3]dioxolan-4-yl)-ethane-1,2-diol (20) (C. R. Schmid and J. D. Bryant, Org. Syn. 1995 72:6-13) by oxidative cleavage of the diol and treating the resulting aldehyde with 2-(triphenyl-λ5-phosphanylidene)-propionic acid ethyl ester to afford 22.

Figure US20080139802A1-20080612-C00005

(i) NaIO4, NaHCO3, DCM; (ii) MeC(═PPh3)CO2Et; (iii) acetone-NaMnO(aq), ethylene glycol, NaHCO3, −10 to 0° C.; aq. NaHSO(quench); (iv) i-PrOAc, MeCN, TEA, SOCl2; (v) i-PrOAc, MeCN, NaOCl; (vi) TEA-3HF, TEA; (vii) HCl (aq)-BaCl2-aq; (viii) (PhCO)2O, DMAP, MeCN, (ix) RED-AL/TFE (1:1), DCM; (x) SO2Cl2-TBAB, DCM; (xi) 32, SnCl4-PhCl; (xii) MeOH-MeONa

EXAMPLE 3 (2S,3R)-3-[(4R)-2,2-dimethyl-[1,3]dioxolan-4-yl]-2,3-dihydroxy-2-methyl-propionic acid ethyl ester (24)

Figure US20080139802A1-20080612-C00008

A suspension of 22 (10 kg, CAS Reg. No. 81997-76-4), ethylene glycol (11.6 kg), solid NaHCO(11.8 kg) and acetone (150 L) is cooled to ca.-15° C. A solution of 36% aqueous NaMnO(19.5 kg) is charged slowly (over 4 h) to the suspension maintaining reaction temperature at or below −10° C. After stirring for 0.5 h at −10° C., an aliquot of the reaction mixture (ca. 5 mL) is quenched with 25% aqueous sodium bisulfite (ca. 15 mL). A portion of resulting slurry is filtered and submitted for GC analysis to check the progress of the reaction. When the reaction is complete, the reaction mixture is quenched by slow addition (over 40 min) of cooled (ca. 0° C.) 25% aqueous NaHSO(60 L). The temperature of the reaction mixture is allowed to reach 4° C. during the quench. CELITE® (ca. 2.5 kg) is then slurried in acetone (8 kg) and added to the dark brown reaction mixture. The resulting slurry is aged at RT to obtain light tan slurry. The slurry is filtered, and the filter cake is washed with acetone (3×39 kg). The combined filtrate is concentrated by vacuum distillation (vacuum approximately 24 inches of Hg; max pot temperature is 32° C.) to remove the acetone. The aqueous concentrate is extracted with EtOAc (3×27 kg), and the combined organic extracts were washed with water (25 L). The organic phase is then concentrated by atmospheric distillation and EtOAc is replaced with toluene. The volume of the batch is adjusted to ca. 20 L. Heptane (62 kg) is added and the batch cooled to ca. 27° C. to initiate crystallization. The batch is then cooled to −10° C. After aging overnight at −10° C., the product is filtered, washed with 10% toluene in heptane and dried at 50° C. under vacuum to afford 6.91 kg (59.5%) of 24 (CARN 81997-76-4) as a white crystalline solid.

EXAMPLE 4 (3R,4R,5R)-3-Fluoro-4-hydroxy-5-hydroxymethyl-3-methyl-dihydro-furan-2-one (10)

Figure US20080139802A1-20080612-C00009

steps 1 & 2—A dry, clean vessel was charged with 24 (6.0 kg), isopropyl acetate (28.0 kg), MeCN (3.8 kg) and TEA (5.4 kg). The mixture was cooled to 5-10° C., and thionyl chloride (3.2 kg) was added slowly while cooling the solution to maintain the temperature below 20° C. The mixture was stirred until no starting material was left (GC analysis). The reaction was typically complete within 30 min after addition is complete. To the mixture was added water (9 kg) and after stirring, the mixture was allowed to settle. The aqueous phase was discarded and the organic phase was washed with a mixture of water (8 kg) and saturated NaHCO(4 kg) solution. To the remaining organic phase containing 36 was added MeCN (2.5 kg) and solid NaHCO(3.1 kg). The resulting slurry was cooled to ca. 10° C. Bleach (NaOCl solution, 6.89 wt % aqueous solution, 52.4 kg, 2 eq.) was added slowly while cooling to maintain temperature below 25° C. The mixture was aged with stirring over 90-120 min at 20-25° C., until the reaction was complete (GC analysis). After completion of the reaction, the mixture was cooled to ca. 10° C. and then quenched with aqueous Na2SOsolution (15.1% w/w, 21 kg) while cooling to maintain temperature below 20° C. The quenched reaction mixture was filtered through a cartridge filter to remove inorganic solids. The filtrate was allowed to settle, and phases are separated and the aqueous phase is discarded. The organic layer was washed first with a mixture of water (11 kg) and saturated NaHCOsolution (4.7 kg), then with of saturated NaHCOsolution (5.1 kg). DIPEA (220 mL) was added to the organic phase and the resulting solution was filtered through CELITE® (bag filter) into a clean drum. The reactor was rinsed with isopropyl acetate (7 kg) and the rinse is transferred to the drum. The organic phase was then concentrated under vacuum (25-28 inches of Hg) while maintaining reactor jacket temperature at 45-50° C. to afford 26 as an oil (˜10 L). Additional DIPEA (280 mL) was added and the vacuum distillation was continued (jacket temperature 50-55° C.) until no more distillate was collected. (batch volume ca. 7 L).

step 3—To the concentrated oil from step 2 containing 26 was added TEA (2.34 kg) and TEA-trihydrofluoride (1.63 kg). The mixture was heated to 85° C. for 2 h. The batch was sampled to monitor the progress of the reaction by GC. After the reaction was complete conc. HCl (2.35 kg) was added to the mixture and the resulting mixture heated to ca. 90° C. (small amount of distillate collected). The reaction mixture was stirred at ca. 90° C. for 30 min and then saturated aqueous BaCl2solution (18.8 kg) was added. The resulting suspension was stirred at about 90° C. for 4 h. The resulting mixture was then azeotropically dried under a vacuum (9-10 inches of Hg) by adding slowly n-propanol (119 kg) while distilling off the azeotropic mixture (internal batch temperature ca. 85-90° C.). To the residual suspension was added toluene (33 kg) and vacuum distillation was continued to distill off residual n-propanol (and traces of water) to a minimum volume to afford 28.

step 4—To the residue from step 3 containing 28 was added MeCN (35 kg) and ca. 15 L was distilled out under atmospheric pressure. The reaction mixture was cooled to ca. 10° C. and then benzoyl chloride (8.27 kg) and DMAP (0.14 kg) are added. TEA (5.84 kg) was added slowly to the reaction mixture while cooling to maintain temperature below 40° C. The batch was aged at ca. 20° C. and the progress of the benzoylation is monitored by HPLC. After completion of the reaction, EtOAc (30 kg) was added to the mixture and the resulting suspension is stirred for about 30 min. The reaction mixture was filtered through a CELITE® pad (using a nutsche filter) to remove inorganic salts. The solid cake was washed with EtOAc (38 kg). The combined filtrate and washes were washed successively with water (38 kg), saturated NaHCOsolution (40 kg) and saturated brine (44 kg). The organic phase was polish-filtered (through a cartridge filter) and concentrated under modest vacuum to minimum volume. IPA (77 kg) was added to the concentrate and ca. 25 L of distillate was collected under modest vacuum allowing the internal batch temperature to reach ca. 75° C. at the end of the distillation. The remaining solution was then cooled to ca. 5° C. over 5 h and optionally aged overnight. The precipitate was filtered and washed with of cold (ca. 5° C.) IPA (24 kg). The product was dried under vacuum at 60-70° C. to afford 6.63 kg (70.7% theory of 10 which was 98.2% pure by HPLC.

EXAMPLE 1 Benzoic acid 3-benzoyloxy-5-(4-benzoylamino-2-oxo-2H-pyrimidin-1-yl)-4-fluoro-4-methyl-tetrahydro-furan-2-ylmethyl ester (14)

Figure US20080139802A1-20080612-C00006

Trifluoroethanol (4.08 kg) is added slowly to a cold solution (−15° C.) of RED-AL® solution (12.53 kg) and toluene (21.3 kg) while maintaining the reaction temperature at or below −10° C. After warming up to RT (ca. 20° C.), the modified RED-AL reagent mixture (30.1 kg out of the 37.6 kg prepared) is added slowly to a pre-cooled solution (−15° C.) of fluorolactone dibenzoate 10 (10 kg) in DCM (94.7 kg) while maintaining reaction temperature at or below −10° C. After reduction of the lactone (monitored by in-process HPLC), a catalytic amount of tetrabutylammonium bromide (90 g) is added to the reaction mixture. Sulfiiryl chloride (11.86 kg) is then added while maintaining reaction temperature at or below 0° C. The reaction mixture is then heated to 40° C. until formation of the chloride is complete (ca. 4 h) or warmed to RT (20-25° C.) and stirred over night (ca. 16 h). The reaction mixture is cooled to about 0° C., and water (100 L) is added cautiously while maintaining reaction temperature at or below 15° C. The reaction mixture is then stirred at RT for ca. 1 h to ensure hydrolytic decomposition of excess sulfuryl chloride and the phases are separated. The organic layer is washed with a dilute solution of citric acid (prepared by dissolving 15.5 kg of citric acid in 85 L of water) and then with dilute KOH solution (prepared by dissolving 15 kg of 50% KOH in 100 L of water). The organic phase is then concentrated and solvents are replaced with chlorobenzene (2×150 kg) via atmospheric replacement distillation. The resulting solution containing 30 is dried azeotropically.

A suspension of N-benzoyl cytosine (8.85 kg), ammonium sulfate (0.07 kg) and hexamethyldisilazane (6.6 kg) in chlorobenzene (52.4 kg) is heated to reflux (ca. 135° C.) and stirred (ca. 1 h) until the mixture becomes a clear solution. The reaction mixture is then concentrated in vacuo to obtain 32 as a syrupy liquid. The anhydrous solution of 30 in chlorobenzene (as prepared) and stannic chloride (28.2 kg) is added to this concentrate. The reaction mixture is maintained at about 70° C. until the desired coupling reaction is complete (ca. 10 h) as determined by in-process HPLC. Upon completion, the reaction mixture is cooled to RT and diluted with DCM (121 kg). This solution is added to a suspension of solid NaHCO(47 kg) and CELITE® (9.4 kg) in DCM (100.6 kg). The resulting slurry is cooled to 10-15° C., and water (8.4 kg) is added slowly to quench the reaction mixture. The resulting suspension is very slowly (caution: gas evolution) heated to reflux (ca. 45° C.) and maintained for about 30 min. The slurry is then cooled to ca. 15° C. and filtered. The filter cake is repeatedly reslurried in DCM (4×100 L) and filtered. The combined filtrate is concentrated under atmospheric pressure (the distillate collected in the process is used for reslurrying the filter cake) until the batch temperature rises to about 90° C. and then allowed to cool slowly to about −5° C. The resulting slurry is aged for at least 2 h at −5° C. The precipitated product is filtered and washed with IPA (30 kg+20 kg), and oven-dried in vacuo at about 70° C. to afford 8.8 kg (57.3%) of 1-(2-deoxy-2-fluoro-2-methyl-3-5-O-dibenzoyl-β-D-ribofuranosyl)-N-4-benzoylcytosine (14, CAS Reg No. 817204-32-3) which was 99.3% pure.

EXAMPLE 2 4-Amino-1-(3-fluoro-4-hydroxy-5-hydroxymethyl-3-methyl-tetrahydro-furan-2-yl)-1H-pyrimidin-2-one (18)

Figure US20080139802A1-20080612-C00007

A slurry of 14 (14.7 kg) in MeOH (92.6 kg) is treated with catalytic amounts of methanolic sodium methoxide (0.275 kg). The reaction mixture is heated to ca. 50° C. and aged (ca. 1 h) until the hydrolysis is complete. The reaction mixture is quenched by addition of isobutyric acid (0.115 kg). The resulting solution is concentrated under moderate vacuum and then residual solvents are replaced with IPA (80 kg). The batch is distilled to a volume of ca. 50 L. The resulting slurry is heated to ca. 80° C. and then cooled slowly to ca. 5° C. and aged (ca. 2 h). The precipitated product is isolated by filtration, washed with IPA (16.8 kg) and dried in an oven at 70° C. in vacuo to afford 6.26 kg (88.9%) of 18 which assayed at 99.43% pure.

………………………………………………………………………

https://www.google.com/patents/US8334270

EXAMPLE 4 Preparation of 2′-deoxy-2′-fluoro-2′-C-methyluridine

2′-Deoxy-2′-fluoro-2′-C-methylcytidine (1.0 g, 1 eq) (Clark, J., et al., J. Med. Chem., 2005, 48, 5504-5508) was dissolved in 10 ml of anhydrous pyridine and concentrated to dryness in vacuo. The resulting syrup was dissolved in 20 ml of anhydrous pyridine under nitrogen and cooled to 0° C. with stirring. The brown solution was treated with benzoyl chloride (1.63 g, 3 eq) dropwise over 10 min. The ice bath was removed and stirring continued for 1.5 h whereby thin-layer chromatography (TLC) showed no remaining starting material. The mixture was quenched by addition of water (0.5 ml) and concentrated to dryness. The residue was dissolved in 50 mL of dichloromethane (DCM) and washed with saturated NaHCOaqueous solution and H2O. The organic phase was dried over NaSOand filtered, concentrated to dryness to give N4,3′,5′-tribenzoyl-2′-Deoxy-2′-fluoro-2′-C-methylcytidine (2.0 g, Yield: 91%).

N4,3′,5′-tribenzoyl-2′-Deoxy-2′-fluoro-2′-C-methylcytidine (2.0 g, 1 eq) was refluxed in 80% aqueous AcOH overnight. After cooling and standing at room temperature (15° C.), most of the product precipitated and then was filtered through a sintered funnel. White precipitate was washed with water and co-evaporated with toluene to give a white solid. The filtrate was concentrated and co-evaporated with toluene to give additional product which was washed with water to give a white solid. Combining the two batches of white solid gave 1.50 g of 3′,5′-dibenzoyl-2′-Deoxy-2′-fluoro-2′-C-methyluridine (Yield: 91%).

To a solution of 3′,5′-dibenzoyl-2′-Deoxy-2′-fluoro-2′-C-methyluridine (1.5 g, 1 eq) in MeOH (10 mL) was added a solution of saturated ammonia in MeOH (20 mL). The reaction mixture was stirred at 0° C. for 30 min, and then warmed to room temperature slowly. After the reaction mixture was stirred for another 18 hours, the reaction mixture was evaporated under reduced pressure to give the residue, which was purified by column chromatography to afford pure compound 2′-deoxy-2′-fluoro-2′-C-methyluridine (500 mg, Yield: 60%).

Example numbers 13-54 and 56-66 are prepared using similar procedures described for examples 5-8. The example number, compound identification, and NMR/MS details are shown below:

entry 25
Figure US08334270-20121218-C00063
entry 251H NMR (DMSO-d6) δ 1.13-1.28 (m, 12H), 3.74-3.81 (m, 2H), 3.95-4.08 (m, 1H), 4.20-4.45 (m, 2H), 4.83-4.87 (m, 1H), 5.52-5.58 (m, 1H),5.84-6.15 (m, 3H), 7.17-7.23 (m, 3H), 7.35-7.39 (m, 2H), 7.54-7.57(m, 1H), 11.50 (s. 1H); MS, m/e 530.2 (M + 1)+

…………………………………..

Synthesis of diastereomerically pure nucleotide phosphoramidates.

Ross BS, Reddy PG, Zhang HR, Rachakonda S, Sofia MJ.

J Org Chem. 2011 Oct 21;76(20):8311-9. doi: 10.1021/jo201492m. Epub 2011 Sep 26.

The HCV NS5B nucleoside and non-nucleoside inhibitors.

Membreno FE, Lawitz EJ.

Clin Liver Dis. 2011 Aug;15(3):611-26. doi: 10.1016/j.cld.2011.05.003. Review.

Discovery of a β-d-2′-deoxy-2′-α-fluoro-2′-β-C-methyluridine nucleotide prodrug (PSI-7977) for the treatment of hepatitis C virus.

Sofia MJ, Bao D, Chang W, Du J, Nagarathnam D, Rachakonda S, Reddy PG, Ross BS, Wang P, Zhang HR, Bansal S, Espiritu C, Keilman M, Lam AM, Steuer HM, Niu C, Otto MJ, Furman PA.

J Med Chem. 2010 Oct 14;53(19):7202-18. doi: 10.1021/jm100863x.

Mechanism of activation of PSI-7851 and its diastereoisomer PSI-7977.

Murakami E, Tolstykh T, Bao H, Niu C, Steuer HM, Bao D, Chang W, Espiritu C, Bansal S, Lam AM, Otto MJ, Sofia MJ, Furman PA.

J Biol Chem. 2010 Nov 5;285(45):34337-47. doi: 10.1074/jbc.M110.161802. Epub 2010 Aug 26.

Michael J. Sofia,Donghui Bao, Wonsuk Chang, Jinfa Du, Dhanapalan Nagarathnam, Suguna Rachakonda, P. Ganapati Reddy, Bruce S. Ross, Peiyuan Wang, Hai-Ren Zhang, Shalini Bansal, Christine Espiritu, Meg Keilman, Angela M. Lam, Holly M. Micolochick Steuer, Congrong Niu, Michael J. Otto, and Phillip A. Furman; Discovery of a β-D-2-Deoxy-2-a-fluoro-2-β-C-methyluridine Nucleotide Prodrug (PSI-7977) for the Treatment of Hepatitis C Virus; J. Med. Chem. 2010, 53, 7202–7218; Pharmasset, Inc.

Bruce S. Ross, P. Ganapati Reddy , Hai-Ren Zhang , Suguna Rachakonda , and Michael J. Sofia; Synthesis of Diastereomerically Pure Nucleotide Phosphoramidates; J. Org. Chem., 2011, 76 (20), pp 8311–8319; Pharmasset, Inc.

Peiyuan Wang, Byoung-Kwon Chun, Suguna Rachakonda, Jinfa Du, Noshena Khan, Junxing Shi, Wojciech Stec, Darryl Cleary, Bruce S. Ross and Michael J. Sofia; An Efficient and Diastereoselective Synthesis of PSI-6130: A Clinically Efficacious Inhibitor of HCV NS5B Polymerase; J. Org. Chem., 2009, 74 (17), pp 6819–6824;Pharmasset, Inc.

Jeremy L. Clark, Laurent Hollecker, J. Christian Mason, Lieven J. Stuyver, Phillip M. Tharnish, Stefania Lostia, Tamara R. McBrayer, Raymond F. Schinazi, Kyoichi A. Watanabe, Michael J. Otto, Phillip A. Furman, Wojciech J. Stec, Steven E. Patterson, and Krzysztof W. Pankiewicz; Design, Synthesis, and Antiviral Activity of 2‘-Deoxy-2‘-fluoro-2‘-C-methylcytidine, a Potent Inhibitor of Hepatitis C Virus Replication; J. Med. Chem., 2005, 48 (17), pp 5504–5508; Pharmasset, Inc

SOVALDI is the brand name for sofosbuvir, a nucleotide analog inhibitor of HCV NS5B polymerase.

The IUPAC name for sofosbuvir is (S)-Isopropyl 2-((S)-(((2R,3R,4R,5R)-5-(2,4-dioxo-3,4-dihydropyrimidin-1(2H)-yl)-4-fluoro-3-hydroxy-4-methyltetrahydrofuran-2-yl)methoxy)-(phenoxy)phosphorylamino)propanoate. It has a molecular formula of C22H29FN3O9P and a molecular weight of 529.45. It has the following structural formula:

SOVALDI™ (sofosbuvir) Structural Formula Illustration

Sofosbuvir is a white to off-white crystalline solid with a solubility of ≥ 2 mg/mL across the pH range of 2-7.7 at 37 oC and is slightly soluble in water.

SOVALDI tablets are for oral administration. Each tablet contains 400 mg of sofosbuvir. The tablets include the following inactive ingredients: colloidal silicon dioxide, croscarmellose sodium, magnesium stearate, mannitol, and microcrystalline cellulose. The tablets are film-coated with a coating material containing the following inactive ingredients: polyethylene glycol, polyvinyl alcohol, talc, titanium dioxide, and yellow iron oxide.

Want to know everything on vir series

click

http://drugsynthesisint.blogspot.in/p/vir-series-hep-c-virus-22.html

AND

http://medcheminternational.blogspot.in/p/vir-series-hep-c-virus.html

updated

J. Med. Chem. 2005, 48, 5504.
WO2008045419A1
CN201180017181

 

(WO2015139602) Sofosbuvir New Patent

(WO2015139602) 2′-SUBSTITUTED-2,2′-DEHYDRATED URIDINE OR 2′-SUBSTITUTED-2,2′-DEHYDRATED CYTIDINE COMPOUND AND PREPARATION METHOD AND USE THEREOF
ZHANG, Rongxia
A further object of the present invention to provide a method for preparing a compound of formula I.
The present invention provides a process for preparing a compound I 2′-deoxy-2′-fluoro-2′-substituted uridine or 2′-deoxy-2′-fluoro-cytidine using the following formula or 2′-deoxy-2′-substituted 2′-2′-substituted nitrile or uridine 2′-deoxy-2′-substituted-2′-carbonitrile The method of cytidine compound,
2′-deoxy-2′-fluoro-2′-methyl-uridine (IIIa) is the preparation of anti-hepatitis C drugs Sofosbuvir key intermediate.
Sofosbuvir developed by Gilead Science Company, FDA on December 6, 2013 Sofosbuvir formally approved for the treatment of chronic hepatitis C virus (HCV) infection. Sofosbuvir is first used to treat certain types of HCV infection without the use of interferon effective and safe drugs. Clinical trials have shown, sofosbuvir can achieve very high proportion of sustained virologic response (clinical cure). More revolutionary breakthrough that, sofosbuvir without joint peginterferon α situation is still very significant effect, such as sofosbuvir ribavirin genotype 2 and genotype 3 patients with previously untreated chronic hepatitis C continued virological response rate of 100%. Sofosbuvir is a prodrug is metabolized in vivo to 2′-deoxy-2′-fluoro-2′-methyl-uridine-5′-monophosphate.
Currently reported 2′-deoxy-2′-fluoro-2′-methyl uridine synthetic methods are as follows:

In the literature (Journal of Medicinal Chemistry, 2005,48,5504) in order cytidine as a raw material, first selectively protected 3 ‘, 5′-hydroxyl group, and then oxidizing the 2′-hydroxyl to a carbonyl group, and the reaction of methyllithium get the 2’-hydroxyl compound, and then removing the protective group, use benzoyl protected 3 ‘, 5’-hydroxyl group, and then reacted with DAST fluorinated compound, followed by hydrolysis and aminolysis reaction products, such as the following Reaction Scheme. The method of route length, the need to use expensive silicon ether protecting group molecule relatively poor economy; conducting methylation time will generate a non-methyl enantiomer beta bits.

In Patent (WO2005003147, WO2006031725A2, US20040158059) using 2′-fluoro-2′-methyl – ribose derivative with N- benzoyl cytosine for docking the reaction, then after the hydrolysis, aminolysis reaction to obtain the final product, As shown in the following reaction scheme. Raw material of the process is not readily available, synthetic steps cumbersome, expensive; the reaction product obtained contained docking base for the alpha position isomers, need purification removed to form waste.
SUMMARY OF THE INVENTION
The present inventors have designed and synthesized a compound of formula I as shown, the compound may be a fluorinated or nitrile reaction of 2′-deoxy-2′-fluoro-2′-get-substituted uridine or 2 under appropriate conditions’ – 2′-deoxy-2′-fluoro-2′-deoxy-2′-substituted cytidine or nitrile uridine or 2′-substituted-2′-deoxy-2′-substituted-2′-cytidine nitrile compound; or a compound of formula I or a nitrile group by fluoro reaction, followed by deprotection reaction to give 2′-deoxy-2′-fluoro-2′-substituted uridine or 2′-deoxy-2′-fluoro–2 ‘- cytidine or 2′-substituted-2′-deoxy-2′-nitrile-substituted uridine or 2′-deoxy-2′-substituted-2′-cytidine compound nitrile group; or a compound of formula I through the opening cyclization reaction, and then through the group of fluoro or nitrile, and finally deprotection reaction to give 2′-deoxy-2′-fluoro-2′-substituted uridine or 2′-deoxy-2′-fluoro-2’-substituted Cellular glycoside or 2 ‘substituted-2′-deoxy-2′-carbonitrile 2′-deoxy-uridine or 2′-substituted-2’-cytidine compound nitrile group; or a compound of formula I through a ring-opening reaction, and then 2 ‘- hydroxyl forming a leaving group, and then after a nitrile group or a fluorinated reaction, the final deprotection reaction of 2′-deoxy-2′-fluoro-2′-substituted uridine or 2′-deoxy-2′- cytidine or 2′-fluoro-2′-substituted-2′-deoxy-2′-nitrile-substituted uridine or 2′-deoxy-2′-substituted-2’-cytidine nitrile compound.
It is therefore an object of the present invention is to provide a compound of the general formula I prepared 2′-deoxy-2′-fluoro-2′-substituted uridine or 2′-deoxy-2′-fluoro-2′-substituted cytidine or 2′-substituted-2′-deoxy-2′-carbonitrile uridine or 2′-deoxy-2′-substituted-2′-carbonitrile The method of cytidine compound.
Example 1:
The 2′-C- methyl uridine (18.4g, 0.07mol), N, N’- carbonyldiimidazole (216.2g, 0.10mol), sodium bicarbonate (8.4g, 0.10mol) was suspended N, N- two dimethylformamide (50ml), the temperature was raised to 130 ℃, reaction for 4 hours, cooled and filtered to remove inorganic salts, the filtrate was added ethyl acetate (200ml), analyze the material at room temperature, suction filtered, washed with ethyl acetate cooled to, drying to give a yellow solid (19.9g, yield: 83%).
Ia: 1 H NMR (300 MHz, CD 3 OD): [delta] 7.80 (d, 1H, J = 7.5 Hz), 6.05 (d, 1H, J = 7.5 Hz), 5.91 (s, 1H), 4.34 (d, 1H, J = 4.8Hz), 4.07 (m, 1H), 3.56 (m, 2H), 1.63 (s, 3H); ESI-MS m / z (M + 1) 241.
Example 2:
The compound of Example 1 Ia (0.24g, 1mmol)) was dissolved in 70% HF in pyridine was heated to 140 ~ 150 ℃, stirred for 3 hours, cooled and the solvent was removed under reduced pressure, the residue was added acetone, beating, and filtered to give solid (0.18g, yield: 70%).
IIIa: 1 H NMR (300 MHz, DMSO-d 6 ): [delta] 11.48 (s, 1H), 7.82 (d, 1H, J = 6.0 Hz), 6.00 (d, 1H, J = 15.6 Hz), 5.67 (m , 2H), 5.30 (s, 1H), 3.85 (m, 3H), 3.62 (s, 1H), 1.25 (d, 3H, J = 16.8Hz), ESI-MS m / z (M-1) 259.
Example 3:
Compound Ib (0.45g, 1mmol) was dissolved in a mixture of dichloromethane and pyridine, was added DAST (0.32g), stirred for 24 hours, added dichloromethane (20ml) was diluted with water (30ml × 2), dried over anhydrous dried over sodium sulfate, filtered and the solvent removed under reduced pressure to give the residue was subjected to column chromatography to give the product (0.36g, yield: 78%).
IIa: 1 H NMR (400 MHz, CDCl 3 and DMSO-d 6 ): [delta] 7.99 (d, J = 7.6 Hz, 2H), 7.90 (d, J = 7.6 Hz, 2H), 7.34 ~ 7.61 (m, 7H ), 6.10 (brs, 1H), 5.64 (brs, 1H), 5.42 (d, J = 8.0Hz, 1H), 4.53-4.68 (m, 3H), 1.40 (d, J = 22.8Hz, 3H); ESI -MS m / z (M + 1) 469.
Example 4:
The compound of Example 3 IIa (0.47g, 1mmol) dissolved in 10% methanol solution of ammonia and stirred overnight, the solvent was removed under reduced pressure, and the residue was slurried in ethyl acetate, filtered to give a white solid (0.2g, yield : 77%).
IIIa: 1 H NMR (300 MHz, DMSO-d 6 ): [delta] 11.48 (s, 1H), 7.82 (d, 1H, J = 6.0 Hz), 6.00 (d, 1H, J = 15.6 Hz), 5.67 (m , 2H), 5.30 (s, 1H), 3.85 (m, 3H), 3.62 (s, 1H), 1.25 (d, 3H, J = 16.8Hz), ESI-MS m / z (M-1) 259.
Example 5:
Compound IVa (0.57g, 1mmol) was dissolved in dichloroethane (20ml) was added trifluoromethanesulfonic acid trimethylsilyl ester (1ml), was heated for 12 hours, cooled, and the reaction solution was concentrated dryness, added two dichloromethane (100ml) was dissolved, washed successively with water (50ml) and saturated brine (50ml), dried over anhydrous sodium sulfate, filtered, and the filtrate was concentrated to dryness to give an oil which was purified by column chromatography to give a white solid (0.3g, yield : 67%).
Ib: 1 H NMR (300 MHz, CDCl 3 ): δ7.96-8.10 (m, 6H), 7.41-7.65 (m, 9H), 7.32 (d, 1H, J = 5.4 Hz), 6.09 (d, 1H, J = 5.4Hz), 5.79 (m, 2H), 4.67 (m, 1H), 4.48 (m, 2H), 1.81 (s, 3H); ESI-MS m / z (M-1) 447.
Example 6:
N The compound of Example 1 Ia (1.3g, 5.4mmol) dissolved in dry, N- dimethylformamide (10ml) was added p-toluenesulfonic acid monohydrate (1.12g, 5.9mmol) and 3,4- dihydropyran (1.28ml, 14.04mmol), The reaction was stirred for 5 hours at room temperature, water was added and the methylene chloride solution was separated, the organic layer was concentrated and purified by silica gel chromatography to give the product 1.3g.
Ic: 1 H NMR (300 MHz, CDCl 3 ): [delta] 7.29 (m, 1H), 6.08 (m, 1H), 5.61 (m, 1H), 4.33-4.72 (m, 4H), 3.37-3.90 (m, 6H), 1.43-1.82 (m, 12H), 1.25 (s, 3H); ESI-MS m / z (M + 1) 427.
Example 7:
The solvent was removed, the residue was purified compound of Example 6 Ic (0.43g, 1mmol) was dissolved in 70% HF in pyridine was heated to 100 ~ 120 ℃, stirred for 5 hours, cooled, reduced pressure was purified through silica gel column to give a solid ( 0.18g, yield: 72%).
IIIa: 1 H NMR (300 MHz, DMSO-d 6 ): [delta] 11.48 (s, 1H), 7.82 (d, 1H, J = 6.0 Hz), 6.00 (d, 1H, J = 15.6 Hz), 5.67 (m , 2H), 5.30 (s, 1H), 3.85 (m, 3H), 3.62 (s, 1H), 1.25 (d, 3H, J = 16.8Hz), ESI-MS m / z (M-1) 259.
Example 8:
The compound of Example 6 Ic (50mg, 0.122mmol) was dissolved in methanol (1ml) was added 1N sodium hydroxide solution (0.2ml), stirred at room temperature overnight, water was added and the methylene chloride solution was separated, the organic layer was concentrated after purified by column chromatography to give the product (45mg, yield: 87%).
VA: 1 H NMR (300 MHz, CDCl 3 ): [delta] 7.89 (d, 1H, J = 4.5Hz), 6.01 (s, 1H), 5.95 (d, 1H, J = 4.5Hz), 5.65 (m, 2H ), 4.73 (m, 3H), 4.59 (m, 1H), 3.52-4.30 (m, 4H), 1.56-1.80 (m, 12H), 1.32 (s, 3H); ESI-MS m / z (M + 35) 461.
Example 9:
The mixture of Example 8 Compound Va (0.43g, 1mmol) was dissolved in dichloromethane and pyridine, was added DAST (0.32g), stirred for 24 hours, added dichloromethane (20ml) was diluted with water (30ml × 2) and washed , dried over anhydrous sodium sulfate, filtered, and concentrated under reduced pressure to obtain compound IIb. Compound IIb is dissolved in methanol (10ml) was added p-toluenesulfonic acid (200mg), stirred for 6 hours at room temperature, the methanol was removed under reduced pressure, silica gel column chromatography to give the product IIIa (180mg, yield: 75%).
IIIa: 1 H NMR (300 MHz, DMSO-d 6 ): [delta] 11.48 (s, 1H), 7.82 (d, 1H, J = 6.0 Hz), 6.00 (d, 1H, J = 15.6 Hz), 5.67 (m , 2H), 5.30 (s, 1H), 3.85 (m, 3H), 3.62 (s, 1H), 1.25 (d, 3H, J = 16.8Hz), ESI-MS m / z (M-1) 259.
Example 10:
The 2′-C- methyl uridine (0.2g, 0.8mmol) was dissolved in N, N- dimethylformamide (4ml) was added N, N’- carbonyldiimidazole (0.194g, 1.2mmol) and sodium bicarbonate (55mg, 0.66mmol), was heated to 130 ℃, stirred for 4 hours, cooled and the solvent was removed under reduced pressure, and the residue was dissolved in 70% HF in pyridine was heated to 140 ~ 150 ℃, stirred for 3 hours, cooled, The solvent was removed under reduced pressure, the residue was added to acetone and filtered to obtain a solid IIIa (0.12g, yield: 60%).
Example 11:
The 2′-C- methyl uridine (0.2g, 0.8mmol) was dissolved in N, N- dimethylformamide (4ml) was added diphenyl carbonate (0.256g, 1.2mmol) and sodium bicarbonate ( 55mg, 0.66mmol), was heated to 150 ℃, stirred for 6 hours, cooled and the solvent was removed under reduced pressure, and the residue was dissolved in 70% HF in pyridine was heated to 140 ~ 150 ℃, stirred for 3 hours, cooled and the solvent was removed under reduced pressure The residue was added to acetone and filtered to obtain a solid IIIa (0.13g, yield: 65%).
Example 12:
Under nitrogen, the compound of Example 9 Example Va (4.26g, 10mmol) was dissolved in dry tetrahydrofuran (100ml) was added triethylamine (6g, 60mmol), cooled to -78 ℃, was added trifluoromethanesulfonic anhydride (4.23g , 15mmol), stirred for 1 hour, the reaction system was added saturated ammonium chloride solution, extracted three times with methylene chloride, organic phases were combined, dried over anhydrous sodium sulfate, concentrated, and the residue was subjected to silica gel column chromatography to give the product Vb ( 4g, yield: 72%). ESI-MS m / z (M-1) 557.
Compound Vb (4g) was dissolved in dry tetrahydrofuran, was added tetrabutylammonium fluoride (1.87g, 7.1mmol), warmed to reflux, cooled to room temperature after heating for 1 hour, water was added to the reaction system, and extracted with methylene chloride three times, the combined organic phase was dried over anhydrous sodium sulfate, concentrated, and the residue was subjected to silica gel column chromatography to give the product IIb (2.7g, yield: 88%). ESI-MS m / z (M-1) 427.
Compound IIb (2.7g) was dissolved in methanol (20ml) was added 3M hydrochloric acid (10ml), 50 ℃ stirred for 8 hours, and concentrated to give a solid, was added acetonitrile, beating, and filtered to give the product IIIa (1g, yield: 61%).
IIIa: 1 H NMR (300 MHz, DMSO-d 6 ): [delta] 11.48 (s, 1H), 7.82 (d, 1H, J = 6.0 Hz), 6.00 (d, 1H, J = 15.6 Hz), 5.67 (m , 2H), 5.30 (s, 1H), 3.85 (m, 3H), 3.62 (s, 1H), 1.25 (d, 3H, J = 16.8Hz), ESI-MS m / z (M-1) 259.








 UPDATE DEC2015………….
File:Sofosbuvir structure.svg

SOFOSBUVIR

NEW PATENT WO2015188782,

(WO2015188782) METHOD FOR PREPARING SOFOSBUVIR

CHIA TAI TIANQING PHARMACEUTICAL GROUP CO., LTD [CN/CN]; No. 8 Julong North Rd., Xinpu District Lianyungang, Jiangsu 222006 (CN)

Sofosbuvir synthesis routes currently used include the following two methods:



https://patentscope.wipo.int/search/en/detail.jsf?docId=WO2015188782&redirectedID=true

Preparation Example 1 sofosbuvir implementation

Step (a):

At 0 ℃, dichloro-phenyl phosphate (6.0g, 28.4mmol) in dry dichloromethane (30ml) and stirred added alanine isopropyl ester hydrochloride (4.8g, 28.4mmol), the mixture After stirring and cooling to -55 ℃, was slowly added dropwise triethylamine (6.5g, 64mmol) and dichloromethane (30ml) mixed solution, keeping the temperature during at -55 ℃, dropping was completed, stirring was continued for 60 minutes, after liters to -5 ℃ stirred for 2 hours, TLC monitored the reaction was complete. To remove triethylamine hydrochloride was filtered and the filtrate evaporated under reduced pressure to give compound 3-1 as a colorless oil (Sp / Rp = 1/1).

31 PNMR (CDCl 3 , 300 Hz, H 3 PO 4 as internal standard): δ8.25 & 7.94 (1: 1);

1 HNMR (CDCl 3 , 300 MHz): δ7.39-7.34 (m, 2H), 7.27-7.18 (m, 3H), 5.10-5.02 (m, 1H), 4.51 (br, 1H), 4.11 (m, 1H ), 1.49 (d, 3H), 1.29-1.24 (m, 6H);

13 C NMR (CDCl 3 , 300 MHz): δ172.1 (Rp), 196.3 (Sp), 129.8,129.6 (d), 125.9,120.5 (d), 69.7 (d), 50.7 (d), 21.6 (d), 20.4 (d).

Step (b):

At 5 ℃, the compound of formula 2 (5.20g, 20.0mmol) in dry THF (30ml) and stirred at t-butyl chloride (1.0M THF solution, 42ml, 42.0mmol). The reaction temperature was raised to 25 ℃, and the mixture was stirred for 30 minutes. After addition of lithium chloride (21.0mmol), was slowly added dropwise the compound 3-1 (approximately 28.4mmol) and THF (30ml) mixed solution, keeping the temperature during at 5 ℃. Bi drops, stirred for 15 hours. With aqueous 1N HCl (25ml) The reaction solution was quenched (HPLC assay Sp: Rp ratio of 4: 1). Toluene was added (100ml), temperature was raised to room temperature. The organic layer was washed with 1N HCl, water, 5% Na 2 CO 3 and washed with brine, dried over anhydrous magnesium sulfate, filtered, and the solvent was distilled off under reduced pressure to a solid, was added methylene chloride (20ml), stirred for 5 minutes plus isopropyl ether, stirring was continued for 2 hours, the precipitated solid was filtered off. The solid was dissolved by heating in dichloromethane (60ml), slowly cooled to room temperature and the precipitated crystalline solid. Repeat if necessary obtain pure crystalline sofosbuvir (2.6g, yield 25%, HPLC purity measured 98.8%).

31 PNMR (CDCl 3 , 300 Hz, H 3 PO 4 as internal standard): δ3.54ppm;

13 C NMR (CDCl 3 , 300 Hz): δ173.1 (d), 162.7 (s), 150.2 (d), 139.3 (d), 129.6 (q);

MS (M + H): 530.1.

Preparation of compounds of formula 2 shown in Example 3-2

(1) a nucleophilic reagent as NaSCN, the phase transfer catalyst is TBAB

The compound (product of Example 1, step (a)) is represented by the formula 3-1 is dissolved in dichloromethane (20ml) was added TBAB (2.8mmol), the NaSCN (35mmol) in water (2.0ml) was added dropwise It was added to the reaction solution. Dropping was completed, stirring was continued for 60 minutes, the solid was removed by filtration. The filtrate was washed with water, add MgSO 4 dried for 24 hours. Filtered, and the filtrate was evaporated under reduced pressure, to obtain a compound of formula 3-2 as (where X = SCN).

1 HNMR (CDCl 3 , 500Hz): δ7.32-7.13 (m, 3H), 7.08-7.02 (m, 2H), 5.0-4.9 (m, 1H), 3.92 (m, 1H), 1.49 (m, 3H ), 1.23-1.17 (m, 6H);

31 PNMR (CDCl 3 , 300 Hz, H 3 PO 4 internal standard): δ-18.16 / -18.26.

(2) nucleophile NaSCN, phase transfer catalyst is 18-crown-6 ether

The compound (product of Example 1, step (a)) is represented by the formula 3-1 is dissolved in ethyl acetate (20ml) was added 18-crown -6 (2.8mmol), the NaSCN (35mmol) was added to the above the reaction mixture. Dropping was completed, stirring was continued for 60 minutes, the solid was removed by filtration. The filtrate was washed with water, add MgSO 4 dried for 24 hours. Filtered, and the filtrate was evaporated under reduced pressure, to obtain a compound of formula 3-2 as (where X = SCN).

(3) nucleophile NaSCN, phase transfer catalyst is TBAB and 18-crown-6

The compound (product of Example 1, step (a)) is represented by the formula 3-1 is dissolved in dichloromethane (20ml) was added TBAB (2.8mmol) and 18-crown -6 (2.8mmol), the NaSCN (35mmol) in water (2.0ml) was added to the reaction solution. Dropping was completed, stirring was continued for 60 minutes, the solid was removed by filtration. The filtrate was washed with water, add MgSO 4 dried for 24 hours. Filtered, and the filtrate was evaporated under reduced pressure, to obtain a compound of formula 3-2 as (where X = SCN).

(4) nucleophile as NaN 3 , phase transfer catalyst is TBAB

The compound (product of Example 1, step (a)) is represented by the formula 3-1 is dissolved in dichloromethane (20ml) was added TBAB (2.8mmol), the NaN 3 (35 mmol) in water (2.0ml) solution of was added dropwise to the reaction solution. Dropping was completed, stirring was continued for 60 minutes, the solid was removed by filtration. The filtrate was washed with water, add MgSO 4 dried for 24 hours. Filtered, and the filtrate was evaporated under reduced pressure, to obtain a compound of formula 3-2 as (where X = N 3 ).

1 HNMR (CDCl 3 , 500Hz): δ7.30-7.33 (m, 2H), 7.27-7.21 (m, 3H), 5.10-5.05 (m, 1H), 4.12-4.00 (m, 1H), 1.43 (d , 3H), 1.28-1.17 (m, 6H);

31 PNMR- (CDCl 3 , 300 Hz, H 3 PO 4 internal standard): δ2.04 / 2.19.

(5) the nucleophilic reagent is KCN, the phase transfer catalyst is TBAB

The compound was dissolved in methylene chloride as in formula 3-1 (20ml), was added TBAB (2.8mmol), the KCN (35mmol) in water (2.0ml) was added dropwise to the reaction solution. Dropping was completed, stirring was continued for 60 minutes, the solid was removed by filtration. The filtrate was washed with water, add MgSO 4 dried for 24 hours. Filtered, and the filtrate was evaporated under reduced pressure to remove the solvent to give a compound as shown in Formula 3-2 (where X = CN).

1 HNMR (CDCl 3 , 300 Hz): δ7.22-7.13 (m, 3H), 7.09-7.02 (m, 2H), 5.01-4.95 (m, 1H), 4.08-3.93 (m, 1H), 1.43-1.35 (m, 3H), 1.20-1.17 (m, 6H);

31 PNMR (CDCl 3 , 300 Hz, H 3 PO 4 internal standard): δ-2.71 / -2.93.

Preparation Example 3 sofosbuvir implementation

(1) X is SCN

Under 5 ℃, the compound (5.20g, 20.0mmol) as shown in Equation 2 in dry THF (30ml) in. T-butyl chloride was added with stirring (1.0M THF solution, 42ml, 42.0mmol). The reaction temperature was raised to 25 ℃, and the mixture was stirred for 30 minutes. After addition of lithium chloride (21.0mmol), was slowly added dropwise a compound of formula 3-2 (Preparation Example 2 28.4 mmol, obtained) and THF (30ml) mixed solution, keeping the temperature during at 5 ℃. After dropping was completed, the mixture was stirred for 15 hours. With aqueous 1N HCl (25ml) The reaction solution was quenched (HPLC assay Sp: Rp ratio of 6: 1). After further addition of toluene (100ml), temperature was raised to room temperature. The organic layer was washed with 1N HCl, water, 5% Na 2 CO 3 and washed with brine, dried over anhydrous magnesium sulfate, filtered, and the solvent was distilled off under reduced pressure to a solid, was added methylene chloride (20ml), stirred for 5 minutes plus isopropyl ether, stirring was continued for 2 hours, the precipitated solid was filtered off. The solid was dissolved by heating in dichloromethane (60ml), slowly cooled to room temperature and the precipitated crystalline solid. Repeat if necessary obtain pure crystalline sofosbuvir (3.6g, yield 34%, HPLC purity measured 98.7%).

1 HNMR (CDCl 3 , 300 MHz): [delta] 8.63 (s, 1H, NH), 7.46 (d, 1H, C6-H), 7.36 (t, 2H, O-aromatic), 7.18-7.24 (m, 3H, m, P-aromatic), 6.20-6.14 (d, 1H, Cl’-H), 5.70-5.68 (d, 1H, C5-H), 5.05-4.97 (m, 1H, CH- (CH 3 ) 2 ) , 4.57-4.41 (m, 2H, C5′-H2), 4.12-4.09 (d, 1H, C3′-H), 4.06-3.79 (m, 3H, C3′-OH, C4′-H, Ala-CH -CH 3 ), 3.79 (s, 1H, Ala-NH), 1.44 (d, 3H, C2′-H3), 1.36-1.34 (d, 3H, Ala-CH 3 ), 1.25-1.23 (t, 6H, CH- (CH 3 ) 2 );

P 31 NMR (CDCl 3 , 300 Hz, H 3 PO 4 internal standard): δ3.56.

(2) X is N 3

Under 5 ℃, the compound (5.20g, 20.0mmol) as shown in Equation 2 in dry THF (30ml) in. T-butyl chloride was added with stirring (1.0M THF solution, 42ml, 42.0mmol). The reaction temperature was raised to 25 ℃, and the mixture was stirred for 30 minutes. Was added lithium chloride (21.0mmol), was slowly added dropwise after the compound of formula 3-2 obtained in Preparation Example 2 (about 28.4 mmol) and THF (30ml) mixed solution, keeping the temperature during at 5 ℃. Bi drops, stirred for 15 hours. With aqueous 1N HCl (25ml) The reaction solution was quenched (HPLC assay Sp: Rp ratio of 7: 1). After further addition of toluene (100ml), temperature was raised to room temperature. The organic layer was washed with 1N HCl, water, 5% Na 2 CO 3 and washed with brine, dried over anhydrous magnesium sulfate, filtered, and the solvent was distilled off under reduced pressure to a solid, was added methylene chloride (20ml), stirred for 5 minutes plus isopropyl ether, stirring was continued for 2 hours, the precipitated solid was filtered off. The solid was dissolved by heating in dichloromethane (60ml), slowly cooled to room temperature and the precipitated crystalline solid. Repeat if necessary obtain pure crystalline sofosbuvir (4.2g, yield 40%, HPLC purity measured 98.8%).

1 HNMR (CDCl 3 , 300 MHz): [delta] 8.63 (s, 1H, NH), 7.46 (d, 1H, C6-H), 7.36 (t, 2H, O-aromatic), 7.18-7.24 (m, 3H, m, P-aromatic), 6.20-6.14 (d, 1H, Cl’-H), 5.70-5.68 (d, 1H, C5-H), 5.05-4.97 (m, 1H, CH- (CH 3 ) 2 ) , 4.57-4.41 (m, 2H, C5′-H2), 4.12-4.09 (d, 1H, C3′-H), 4.06-3.79 (m, 3H, C3′-OH, C4′-H, Ala-CH -CH 3 ), 3.79 (s, 1H, Ala-NH), 1.44 (d, 3H, C2′-H3), 1.36-1.34 (d, 3H, Ala-CH 3 ), 1.25-1.23 (t, 6H, CH- (CH 3 ) 2 );

P 31 NMR (CDCl 3 , 300 Hz, H 3 PO 4 internal standard): δ3.56.

(3) X is CN

Under 5 ℃, the compound (5.20g, 20.0mmol) as shown in Equation 2 in dry THF (30ml) in. T-butyl chloride was added with stirring (1.0M THF solution, 42ml, 42.0mmol). The reaction temperature was raised to 25 ℃, and the mixture was stirred for 30 minutes. After addition of lithium chloride (21.0mmol), was slowly added dropwise a compound of formula 3-2 obtained in Preparation Example 2 (about 28.4 mmol) and THF (30ml) mixed solution, keeping the temperature during at 5 ℃. Bi drops, stirred for 15 hours. With aqueous 1N HCl (25ml) The reaction solution was quenched (HPLC assay Sp: Rp ratio of 6: 1). After further addition of toluene (100ml), temperature was raised to room temperature. The organic layer was washed with 1N HCl, water, 5% Na 2 CO 3 and washed with brine, dried over anhydrous magnesium sulfate, filtered, and the solvent was distilled off under reduced pressure to a solid, was added methylene chloride (20ml), stirred for 5 minutes plus isopropyl ether, stirring was continued for 2 hours, the precipitated solid was filtered off. The solid was dissolved by heating in dichloromethane (60ml), slowly cooled to room temperature and the precipitated crystalline solid. Repeat if necessary obtain pure crystalline sofosbuvir (4.02g, yield 40%, HPLC purity measured 98.8%).

1 HNMR (CDCl 3 , 300 MHz): [delta] 8.63 (s, 1H, NH), 7.46 (d, 1H, C6-H), 7.36 (t, 2H, O-aromatic), 7.18-7.24 (m, 3H, m, P-aromatic), 6.20-6.14 (d, 1H, Cl’-H), 5.70-5.68 (d, 1H, C5-H), 5.05-4.97 (m, 1H, CH- (CH 3 ) 2 ) , 4.57-4.41 (m, 2H, C5′-H2), 4.12-4.09 (d, 1H, C3′-H), 4.06-3.79 (m, 3H, C3′-OH, C4′-H, Ala-CH -CH 3 ), 3.79 (s, 1H, Ala-NH), 1.44 (d, 3H, C2′-H3), 1.36-1.34 (d, 3H, Ala-CH 3 ), 1.25-1.23 (t, 6H, CH- (CH 3 ) 2 );

P 31 NMR (CDCl 3 , 300 Hz, H 3 PO 4 internal standard): δ3.56.

File:Sofosbuvir structure.svg


//////

////////////////

amcrasto@gmail.com feder-0005.gif from 123gifs.eu

MACITENTAN , 马昔腾坦 , ماسيتانتان , Мацитентан , マシテンタン


File:Macitentan skeletal.svg

MACITENTAN

N-[5-(4-Bromophenyl)-6-[2-[(5-bromo-2-pyrimidinyl)oxy]ethoxy]-4-pyrimidinyl]-N’-propylsulfamide,

N-[5-(4-Bromophenyl)-6-[2-[(5-bromo-2-pyrimidinyl)oxy]ethoxy]-4-pyrimidinyl] -N’-propylsulfamide

CAS NO  441798-33-0

ACT-064992, Opsumit,UNII-Z9K9Y9WMVL
Mechanism of Action: Endothelin receptor antagonist (ERA)
Date of Approval: October 18, 2013(US)
Indication: Pulmonary Hypertension (PAH)
Company: Actelion Pharmaceuticals Ltd
PCT patent application: WO2002053557

FDA N204410, MACITENTANTABLET; ORAL10MG, OPSUMIT, ACTELION PHARMS LTD

Macitentan is achiral

Macitentan is a crystalline powder that is insoluble in water. In the solid state macitentan is very stable, is not hygroscopic, and is not light sensitive.

Mp 135–136 °C;………….J. Med. Chem., 2012, 55 (17), pp 7849–7861, DOI: 10.1021/jm3009103/CN 104447572
Rf (silica gel, heptane:ethyl acetate 1:1) 0.44.
LC-MS: tR = 0.79 min, [M + H]+ = 588.86 (major isotope).
HR-LC-MS: tR = 1.96 min; (m + H)/z = 586.9711, found = 586.9714.
 
1H NMR (CDCl3): δ 8.51 (s, 2 H), 8.49 (s, 1 H), 7.58–7.63 (m, 2 H), 7.16–7.21 (m, 2 H), 6.88 (s, 1 H), 5.61 (t, J = 6.2 Hz, 1 H), 4.72–4.76 (m, 2 H), 4.62–4.66 (m, 2 H), 2.99 (q, J = 6.8 Hz, 2 H), 1.61 (h, J = 7.3 Hz, 2 H), 0.97 (t, J = 7.4 Hz, 3 H)……………..J. Med. Chem., 2012, 55 (17), pp 7849–7861,DOI: 10.1021/jm3009103
13C NMR (CDCl3): δ 11.6, 22.7, 46.1, 65.3, 65.9, 104.8, 112.4, 123.7, 128.0, 131.7, 133.0, 155.7, 156.4, 159.7, 163.5, 166.3…………….J. Med. Chem., 2012, 55 (17), pp 7849–7861,DOI: 10.1021/jm3009103

Macitentan (Opsumit® )is a novel dual endothelin receptor antagonist that resulted from a tailored drug discovery process. Macitentan has a number of potentially key beneficial characteristics – i.e., increased in vivo preclinical efficacy vs. existing ERAs resulting from sustained receptor binding and tissue penetration properties. A clinical pharmacology program indicated a low propensity of macitentan for drug-drug interactions.

Macitentan (ACT-064992) is a tissue-targeting dual ET(A)/ET(B) endothelin (ET) receptor antagonist designed for tissue targeting. Macitentan inhibited ET-1-induced contractions in isolated endothelium-denuded rat aorta (ET(A) receptors) and sarafotoxin S6c-induced contractions in isolated rat trachea (ET(B) receptors). In diabetic rats, chronic administration of macitentan decreased blood pressure and proteinuria and prevented end-organ damage. Treatment with macitentan enhanced the cytotoxicity mediated by paclitaxel as measured by the degree of apoptosis in tumor cells and tumor-associated endothelial cells. A Phase III clinical trial of macitentan was successfully completed in 2012.

Macitentan.png

Macitentan is an investigational drug being studied for the treatment of pulmonary arterial hypertension. It acts as a dualendothelin receptor antagonist and is being developed by Actelion.[1] A Phase III clinical trial was successfully completed in 2012.[2]

on 22 October 2012 – Actelion (SIX: ATLN) announced that it has submitted a New Drug Application (NDA) to the US Food and Drug Administration (FDA) seeking approval for macitentan (Opsumit®) for the treatment of patients with pulmonary arterial hypertension

Actelion’s experimental lung drug macitentan prolonged overall survival by more than a third according to detailed study data, which the company hopes will convince investors it has a viable follow-up product to secure its commercial future.

Europe’s largest standalone biotech company wants the drug, which treats pulmonary arterial hypertension — a disease that causes high blood pressure in the arteries of the lungs — to replace blockbuster Tracleer.

Tracleer currently makes up 87 percent of sales but loses patent protection in 2015 and has also seen its market share eroded by Gilead’s Letairis.

Pharmacokinetics

Macitentan has an active metabolite, ACT-132577, which is an oxidative depropylation product. Both macitentan and ACT-132577 are mainly excreted in form of hydrolysis products via urine (about 2/3 of all metabolites) and faeces (1/3).[3]

Co-administration of ciclosporin has only a slight effect on the concentrations of macitentan and its active metabolite, whilerifampicin decreases the area under the curve (AUC) of the drug’s blood plasma concentration by 79%, and ketoconazoleapproximately doubles it. This corresponds to the finding that macitentan is mainly metabolised via the liver enzyme CYP3A4.[4]

SYNTHESIS

The synthesis begins with the reaction of chlorosulfonyl isocyanate (1) (dissolved in dichloromethane at 0 ° C) with one equivalent of tert-butanol. This produces a by BOC protected Aminosulfonylchlorid (2). With one equivalent of n-propylamine (dissolved in 3 eq. Of triethylamine, dichloromethane, at 0 ° C, RT 16 h) is produced by a hydrochloric acid elimination BOC-protected sulfamide (3). This is dissolved in 5 M HCl and dioxane (4-8 h), the BOC protecting group is cleaved. The sulfamide formed (4) is potassium tert-butoxide-(dissolved in MeOH, 3h) is converted to the potassium salt (5). Tert-butoxide potassium acts as a very strong base for deprotonation. This sulfamide potassium salt reacts with the nucleophilic substituents on the heteroaromatic Dichlorpyrimidinderivat (6) (dissolved in dimethyl sulfoxide, at room temperature, RT 42-72 h) under KCl-cleavage to a Monochlorpyrimidin intermediate (7). By treatment with ethylene glycol (dissolved in dimethyl ether, potassium-tert-butoxide,), the ethylene glycol side chain is generated (8). With 2-chloro-5-bromo-pyrimidine (dissolved in tetrahydrofuran, close, at 60-75 ° C) is formed under elimination of HCl in an S N 1 reaction Macitentan (9)…………Journal of Medicinal Chemistry 55, 2012 S. 7849-7861, doi : 10.1021 / jm3009103 .

Synthesis of Macitentan

…………………………………………….

SYNTHESIS

http://www.yaopha.com/

YOU CAN READ AT YAOPHA.COM, lovely site to see for drugs

http://www.yaopha.com/%E8%8D%AF%E7%89%A9%E5%90%88%E6%88%90-drug-synthesis/opsumit-macitentan-%E9%A9%AC%E8%A5%BF%E6%9B%BF%E5%9D%A6/

Synthesis of Opsumit_Macitentan-pulmonary arterial hypertension-Actelion 肺动脉高压药物马西替坦的合成路线

联系我们 Contact US

如果您有关于yaopha.com的问题或建议请与我们联系,具体方式如下:

E-mail:contactus@yaopha.com

………………………….

SYNTHESIS

(WO2006/051502A2, JMC2012, 7849). Chlorosulfonyl isocyanate ( 1 ) reaction with tert-butyl alcohol 2 , which is then reacted with n-propylamine 3 . 3 de-boc protected through the acid after reaction with potassium t-butoxide 4 . Another compound 5 with NaH after acidic protons off with dimethyl carbonate ( 6 ) to obtain 7 . 7 and formamidine hydrochloride ( 8 ) to ring chlorinated later POCl3 9 . 9 and 4 SNAr reaction occurs 10 . 10under basic conditions with ethylene glycol SNAr reaction occurs again in alkaline conditions with11 SNAr reaction occurs MACITENTAN.

………………………

http://www.google.com/patents/WO2014155304A1?cl=en

LC-MS (Agilent MS detector G1956B with Agilent 1200 Binary Pump and DAD).

Parameters of the LC-MS method:

Injection volume: 2 |jL

Column: Kinetex C18, 2.6 μιη, 2.1 x 50 mm

Column flow rate: 1 mL/min

Eluents: Eluent A: water + 0.08% TFA

Eluent B: MeCN + 0.012% TFA

Gradient: 2.0 min 95% B

2.8 min 95% B

3.0 min 5% B

Temperature: 40°C Detector wavelength 210 nm

Figure imgf000003_0001

Preparation B: N-[5-(4-bromophenyl)-6-[2-[(5-bromo-2-pyrimidinyl)oxy]ethoxy]- 4-pyrimidinyl] -N’-propylsulfamide (macitentan):

N-(5-(4-bromophenyl)-6-(2-hydroxyethoxy)pyrimidin-4-yl)propane- 1-sulfamide (200 g; 0.46 mol; see Example 2 or 3) and 5-bromo-2-chloropyrimidine (117 g; 0.60 mol; 1.3 eq) were dissolved in toluene (3 L) and DMF (400 mL). The reaction mixture was warmed up to 50°C and toluene (approx. 400 mL) was distilled our under reduced pressure. The mixture was cooled to 0 °C and tBuOK (156 g, 3 eq, 1.38 mol) was added portionwise. It was stirred at 20 °C for 1 h. Water (1 L) was added and the pH of the solution was adjusted to 3-5 using 33% aq. HC1. The mixture was heated to 50°C and the layers were separated. The org. phase was treated with charcoal at 50°C and filtered over Celite. The filter cake was rinsed with toluene. At 50°C, water (1 L) was added to the org. layer. The layers were separated. The org. layer was concentrated under reduced pressure to a total volume of 1 L and cooled to 0°C. The solid obtained was filtered off. It was rinsed with toluene and MeOH. The crude material was suspended in EA (1 L) and heated to 50°C. 300 mL of EA were distilled out and MeOH (400 mL) was added. The suspension was cooled down to 0°C. The solid was filtered off, rinsed with MeOH and dried under reduced pressure to afford the title compound as a white solid (225 g; 83% yield).

……………………

PAPER

http://pubs.acs.org/doi/abs/10.1021/jm3009103

J. Med. Chem., 2012, 55 (17), pp 7849–7861
DOI: 10.1021/jm3009103
Abstract Image

Starting from the structure of bosentan (1), we embarked on a medicinal chemistry program aiming at the identification of novel potent dual endothelin receptor antagonists with high oral efficacy. This led to the discovery of a novel series of alkyl sulfamide substituted pyrimidines. Among these, compound 17 (macitentan, ACT-064992) emerged as particularly interesting as it is a potent inhibitor of ETA with significant affinity for the ETB receptor and shows excellent pharmacokinetic properties and high in vivo efficacy in hypertensive Dahl salt-sensitive rats. Compound 17 successfully completed a long-term phase III clinical trial for pulmonary arterial hypertension

N-[5-(4-Bromophenyl)-6-[2-[(5-bromo-2-pyrimidinyl)oxy]ethoxy]-4-pyrimidinyl]-N′-propylsulfamide (17)

………………………….. to give 17 (11.99 g, 88%) as a white powder;
mp 135–136 °C; Rf (silica gel, heptane:ethyl acetate 1:1) 0.44.
LC-MS: tR = 0.79 min, [M + H]+ = 588.86 (major isotope).
HR-LC-MS: tR = 1.96 min; (m + H)/z = 586.9711, found = 586.9714.
1H NMR (CDCl3): δ 8.51 (s, 2 H), 8.49 (s, 1 H), 7.58–7.63 (m, 2 H), 7.16–7.21 (m, 2 H), 6.88 (s, 1 H), 5.61 (t, J = 6.2 Hz, 1 H), 4.72–4.76 (m, 2 H), 4.62–4.66 (m, 2 H), 2.99 (q, J = 6.8 Hz, 2 H), 1.61 (h, J = 7.3 Hz, 2 H), 0.97 (t, J = 7.4 Hz, 3 H).
13C NMR (CDCl3): δ 11.6, 22.7, 46.1, 65.3, 65.9, 104.8, 112.4, 123.7, 128.0, 131.7, 133.0, 155.7, 156.4, 159.7, 163.5, 166.3.

……………

WO 2015004265  click

Example 3 : N-(5-(4-bromophenyl)-6-(2-hydroxyethoxy)pyrimidin-4-yl)pr opane- 1- sulfamide (reaction in and work-up with MIBK):

EG (124 mL, 3.7 mol, 6.0 eq.) was added to a warm (40-50°C) suspension of the compound of Preparation A (150 g, 0.37 mol) in MIBK (600 mL). Solid KOtBu (114 g, 1.11 mol, 3.0 eq.) was added portionwise so that IT < 60°C. The mixture was stirred for

2- 3 h at 100-105°C. After completion of the reaction (LC-MS control), it was cooled to 50 °C. A 40%) aq. solution of citric acid monohydrate (300 mL) was added until pH 4 was reached. The layers were separated. The org. phase was washed with water (450 mL) and the layers were separated. Water (450 mL) was added and the mixture was warmed to 50°C. It was stirred at 50°C for 5 min. The layers were separated. The org. phase was concentrated under vacuum at 50°C until 200 mL of MIBK were removed. Hept (800 mL) was added dropwise at 70-75°C until turbidity was observed. The mixture was seeded with an analytically pure sample of N-(5-(4-bromophenyl)-6-(2 hydroxy ethoxy)pyrimidin-4-yl)propane-l-sulfamide and stirred at 60-65°C for 30 min. It was allowed to cool to 5°C within 5 h. It was filtered off, rinsed with a cold MIBK/Hept mixture (300 mL, 1 : 1) and dried under vacuum at 50°C to yield the title compound as a white solid (121 g; 76% yield).

The product had NMR data equivalent to those reported in Bolli et al, J. Med. Chem. (2012), 55, 7849-7861. [M+H]+ = 430 and 432. LC-MS: tR = 1.46 min; purity: 98.4% a/a. Residual ethylene glycol (GC-FID): 530 ppm.

…….

CN 104447572 click

(l) Martin H. Bolli et al. Reported the synthesis of Marcy cefotetan follows:

Figure CN104447572AD00042

[0008] The method W 5- (4- desert phenyl) -4,6-dichloro-chewing clever as a starting material, N- propyl amine Lai ugly bell in DMS0 as a reaction solvent, an alcohol bell as t a base under substitution reaction conditions, the reaction temperature needs of 24-7 to give

Figure CN104447572AD00043
Figure CN104447572AD00044

The intermediate compound 15, compound 15 in hexylene glycol dimethyl off as the reaction solvent, a tertiary alcohol under conditions with a strong base clock as hexanediol substitution reaction, l〇 (TC Reaction of 18-2 to give compound 17, Compound 17 was then reacted with 5-chloro-chewing desert -2 clever substitution reaction at tetraammine Qiao Nan as a reaction solvent, ammoniated axis as the alkali conditions, the reaction to give the final product of Marcy cefotetan The route every step the higher the yield, the experimental use of N- propyl amine Lai ugly bell hygroscopic, unstable and a long time before the two-step reaction, the reaction at the second step requires l〇 (TC high temperature 18-2 technology is not suitable for industrial production.

[0009] International Patent W02002 / 053557 discloses some preparation methods and other Massey cefotetan column derivative method at each step of the preparation of the reaction times are longer, some reactions up to 4 days, and the resulting intermediate are purified by column chromatography method is not suitable for industrial production.

A method for preparing Marcy cefotetan, comprising the steps of: (1) the compound of formula II with N- cyclopropyl sulfonamide compound of formula III 5- (4- bromophenyl) -4, 6- dichloropyrimidine substitution reaction is converted to the formula IV:
Figure CN104447572AC00021
Compound (2) in the presence of a strong base of formula IV with a compound of formula V glycol substitution reaction to give a compound of formula VI:
Figure CN104447572AC00022
Compound (3) a strong base of formula VI in the presence of a substitution reaction conditions to give a compound of formula I with a compound of formula W occurs:
Figure CN104447572AC00023
, The resulting compound of formula I as Marcy cefotetan.

[00 pairs (3) N- [5- (4- desert) -6-mouth – [(5-desert -2- chew clever-yl) oxy] hexyl oxy] -4-chewing clever yl] -N ‘- Lai ugly propyl amine (Formula I) Synthesis

[0036] Weigh 20gN-5- (4- desert) -6- (2-2- light hexyl group -) 4- chew clever group -N ‘- Lai ugly propyl amine, 200ml dried DMS0 added to 1L H jar, add 20g of alcohol t-clock was added in portions, then add 17. 7g5- desert – dichloro chew clever, 30-4 (TC reduction reaction, the reaction and the reaction solution. a 10% sample skillfully acid to adjust PH value 3 to 4, the reaction mixture was added to 1000ml water, olive mix, suction. suction Massey cefotetan get wet crude product 42g, 450ml of methanol was added at room temperature and then beating 20min, filtration and dried 45C to give white solid was dried under vacuum to give 23.2 Marcy cefotetan yield;.. 85%

[0037] The compound (Formula I) relating to the physical and chemical properties, spectroscopic data are as follows:

[0038] branded point; 135-136 ° C; we NMR (300MHz, DMS0) 5 (egg m):… 9 8 (s, lH), 8 7 (s, 2H), 8 5 (s, l H,) 7. 5 (s, 2H), 7. 2 (s, IH), 7. 1 (s, 2H,) 4. 7 (s, 2H), 4. 6 (s, 2H,) 2. 8 (s, 2H,), 1. 5 (m, 2H,), 0. 81 (m, 3H), MS Qiaoqiao m / z 589 ([M + Tin +).

…………

see

WO 2002053557

http://www.google.com/patents/WO2002053557A1?cl=en

………..

NMR spectroscopy 

Assignment of the signals mentioned in the text of the H-NMR spectrum of the drug Macitentan

1 H-NMR 

Solvent: CDCl 3

δ 8.51 (s, 2H, CH) 11 , 8.49 (s, 1 H, CH) 10 , 7.58 to 7.63 (m, 2H, CH) 9 , 7.16 to 7.21 ( m, 2H, CH) 8 , 6.88 (s, 1H, NH) 7 , 5.61 (t, J = 6.2 Hz, 1H, NH) 6 , 4.72 to 4.76 (m, 2H , CH 2 ) 5 , 4.62 to 4.66 (m, 2H, CH 2 ) 4 , 2.99 (q, J = 6.8 Hz, 2H, CH 2 ) 3 , 1.61 (h, J = 7.3 Hz, 2H, CH2 ) 2 , 0.97 (t, J = 7.4 Hz, 3H, CH 3 ) 1 . [Journal of Medicinal Chemistry 55, 2012 S. 7849-7861, doi : 10.1021 / jm3009103 .]

 ……………………………………………………………………………………

Gatfield, John; Grandjean, Celia Mueller; Bur, Daniel; Bolli, Martin H.; Nayler, Oliver (2014): Proton assignment in macitentan as used in NMR interpretation.Figure_9.tif. PLOS ONE. 10.1371/journal.pone.0107809.g009.

13 C-NMR 

Solvent: CDCl 3

δ 11.6, 22.7, 46.1, 65.3, 65.9, 104.8, 112.4, 123.7, 128.0, 131.7, 133.0, 155.7, 156 , 4, 159.7, 163.5, 166.3. [     Journal of Medicinal Chemistry 55, 2012 S. 7849-7861, doi : 10.1021 / jm3009103 .        ]

NMR PREDICT BY ME

1H NMR PREDICT

Predict 1H proton NMR spectra GRAPH Predict 1H proton NMR spectra VAL

13C NMR PREDICT BY ME

Predict 13c  NMR spectra GRAPH Predict 13c  NMR spectra VAL

COSY PREDICT BY ME, WORLDDRUGTRACKER ON A WHEELCHOPPER SCALING NEW HEIGHTS

COSY NMR prediction (20)

REFERENCES

  1.  Bolli, M. H.; Boss, C.; Binkert, C.; Buchmann, S.; Bur, D.; Hess, P.; Iglarz, M.; Meyer, S.; Rein, J.; Rey, M.; Treiber, A.; Clozel, M.; Fischli, W.; Weller, T. (2012). “The Discovery of N-[5-(4-Bromophenyl)-6-[2-[(5-bromo-2-pyrimidinyl)oxy]ethoxy]-4-pyrimidinyl]-N′-propylsulfamide (Macitentan), an Orally Active, Potent Dual Endothelin Receptor Antagonist”. Journal of Medicinal Chemistry 55 (17): 7849–7861. doi:10.1021/jm3009103PMID 22862294.
  2.  “Macitentan”. Actelion. Retrieved 22 August 2012.
  3.  Bruderer, S.; Hopfgartner, G. R.; Seiberling, M.; Wank, J.; Sidharta, P. N.; Treiber, A.; Dingemanse, J. (2012). “Absorption, distribution, metabolism, and excretion of macitentan, a dual endothelin receptor antagonist, in humans”. Xenobiotica 42 (9): 901–910.doi:10.3109/00498254.2012.664665PMID 22458347.
  4.  Bruderer, S.; Äänismaa, P. I.; Homery, M. C.; Häusler, S.; Landskroner, K.; Sidharta, P. N.; Treiber, A.; Dingemanse, J. (2011).“Effect of Cyclosporine and Rifampin on the Pharmacokinetics of Macitentan, a Tissue-Targeting Dual Endothelin Receptor Antagonist”The AAPS Journal 14 (1): 68–78. doi:10.1208/s12248-011-9316-3PMC 3282010PMID 22189899.
  5. Bolli, M. H.; Boss, C.; Binkert, C.; Buchmann, S.; Bur, D.; Hess, P.; Iglarz, M.; Meyer, S.; Rein, J.; Rey, M.; Treiber, A.; Clozel, M.; Fischli, W.; Weller, T. (2012). “The Discovery of N-[5-(4-Bromophenyl)-6-[2-[(5-bromo-2-pyrimidinyl)oxy]ethoxy]-4-pyrimidinyl]-N′-propylsulfamide (Macitentan), an Orally Active, Potent Dual Endothelin Receptor Antagonist“. Journal of Medicinal Chemistry, 2012, 55 (17): 7849–7861
  6. Martin Bolli, Christoph Boss, Martine Clozel, Walter Fischli, Thomas Weller, Novel sulfamides and their use as endothelin receptor antagonists, WO2002053557 A1, CA2431675A1, CA2431675C, CN1524079A, CN100432070C, DE60118782D1, DE60118782T2, EP1345920A1, EP1345920B1, EP1693372A1, US7094781, US7285549, US20040077670, US20060178365,
  7. Martin Bolli, Christoph Boss, Martine Clozel, Walter Fischli, Thomas Weller, Sulfamides as endothelin receptor antagonists for the treatment of cardiovascular diseases, WO2006051502
  8. Martine Clozel, Therapeutic compositions containing macitentan,WO2010018549 A2, CA2731370A1, CN102099026A, CN102099026B, EP2315587A2, US20110136818(WO2006/051502A2, JMC2012, 7849). Chlorosulfonyl isocyanate ( 1 ) reaction with tert-butyl alcohol 2 , which is then reacted with n-propylamine 3 . 3 de-boc protected through the acid after reaction with potassium t-butoxide 4 . Another compound 5 with NaH after acidic protons off with dimethyl carbonate ( 6 ) to obtain 7 . 7 and formamidine hydrochloride ( 8 ) to ring chlorinated later POCl3 9 . 9 and 4 SNAr reaction occurs 10 . 10under basic conditions with ethylene glycol SNAr reaction occurs again in alkaline conditions with11 SNAr reaction occurs MAXI cefotetan.

External links

Actelion Ltd

Actelion Ltd is a biopharmaceutical company with its corporate headquarters in Allschwil/Basel, Switzerland. Actelion’s first drug Tracleer®, an orally available dual endothelin receptor antagonist, has been approved as a therapy for pulmonary arterial hypertension. Actelion markets Tracleer through its own subsidiaries in key markets worldwide, including the United States (based in South San Francisco), the European Union, Japan, Canada, Australia and Switzerland. Actelion, founded in late 1997, is a leading player in innovative science related to the endothelium – the single layer of cells separating every blood vessel from the blood stream. Actelion’s over 2,400 employees focus on the discovery, development and marketing of innovative drugs for significant unmet medical needs. Actelion shares are traded on the SIX Swiss Exchange (ticker symbol: ATLN) as part of the Swiss blue-chip index SMI (Swiss Market Index SMI®).

Macitentan
Macitentan skeletal.svg
Systematic (IUPAC) name
N-[5-(4-Bromophenyl)-6-[2-[(5-bromo-2-pyrimidinyl)oxy]ethoxy]-4-pyrimidinyl]-N’-propylsulfamide
Clinical data
Trade names Opsumit
Pregnancy
category
  • US: X (Contraindicated)
Legal status
Routes of
administration
Oral
Pharmacokinetic data
Metabolism Hydrolysis, oxidation (CYP3A4)
Excretion 2/3 urine, 1/3 faeces
Identifiers
CAS Registry Number 441798-33-0
ATC code C02KX04
PubChem CID: 16004692
ChemSpider 13134960
ChEBI CHEBI:76607
Synonyms ACT-064992
Chemical data
Formula C19H20Br2N6O4S
Molecular mass 588.273 g/mol
Patent Submitted Granted
Sulfamides and their use as endothelin receptor antagonists [US7094781] 2004-04-22 2006-08-22
Sulfamides and their use as endothelin receptor antagonists [US7285549] 2006-08-10 2007-10-23
Stable Pharmaceutical Compositions Comprising a Pyrimidine – Sulfamide [US2008233188] 2008-09-25
Combination Comprising Paclitaxel for Treating Ovarian Cancer [US2010311774] 2010-12-09
Stable pharmaceutical compositions comprising a pyrimidine-sulfamide [US2010004274] 2010-01-07
SULFONYLUREA MODULATORS OF ENDOTHELIN RECEPTOR [US2011082151] 2011-04-07
ENDOTHELIN RECEPTOR ANTAGONISTS FOR EARLY STAGE IDIOPATHIC PULMONARY FIBROSIS [US2010022568] 2007-04-12 2010-01-28
THERAPEUTIC COMPOSITIONS CONTAINING MACITENTAN [US2011136818] 2011-06-09
Therapeutic Compositions Comprising a Specific Endothelin Receptor Antagonist and a PDE5 Inhibitor [US2009318459] 2009-12-24

Patent and Exclusivity 


Patent Data

Appl No Prod No Patent No Patent
Expiration
Drug Substance
Claim
Drug Product
Claim
Patent Use
Code
N204410 001 US7094781 Oct 12, 2022 Y Y
N204410 001 US8268847 Apr 18, 2029 U – 1446
N204410 001 US8367685 Oct 4, 2028 Y U – 1445

Exclusivity Data

Appl No Prod No Exclusivity Code Exclusivity Expiration
N204410 001 ODE Oct 18, 2020
N204410 001 NCE Oct 18, 2018

U1446 METHOD OF TREATING PULMONARY HYPERTENSION COMPRISING ADMINISTERING MACITENTAN IN COMBINATION WITH A COMPOUND HAVING PHOSPHODIESTERASE-5 INHIBITORY PROPERTIES

U1445 METHOD OF TREATING PULMONARY ARTERIAL HYPERTENSION BY ADMINISTERING A PHARMACEUTICAL COMPOSITION COMPRISING MACITENTAN AND A POLYSORBATE, WHERIN THE POLYSORBATE REPRESENTS 0.1 TO 1% OF THE WEIGHT OF SAID PHARMACEUTICAL COMPOSITION

OPSUMIT (macitentan) is an endothelin receptor antagonist. The chemical name of macitentan is N-[5-(4-Bromophenyl)-6-[2-[(5-bromo-2-pyrimidinyl)oxy]ethoxy]-4-pyrimidinyl]-N’-propylsulfamide. It has a molecular formula of C19H20Br2N6O4S and a molecular weight of 588.27. Macitentan is achiral and has the following structural formula:

OPSUMIT® (macitentan) Structural Formula Illustration

Macitentan is a crystalline powder that is insoluble in water. In the solid state macitentan is very stable, is not hygroscopic, and is not light sensitive.

OPSUMIT is available as a 10 mg film-coated tablet for once daily oral administration. The tablets include the following inactive ingredients: lactose monohydrate, magnesium stearate, microcrystalline cellulose, polysorbate 80, povidone, and sodium starch glycolate Type A. The tablets are film-coated with a coating material containing polyvinyl alcohol, soya lecithin, talc, titanium dioxide, and xanthan gum.

//////

Ospemifene ….EMA accepts MAA submission of Shionogi’s ospemifene for the treatment of VVA


Ospemifene.svg

Ospemifene
CAS Number: 128607-22-7

OSPHENA is indicated for the treatment of moderate to severe dyspareunia, a symptom of vulvar and vaginal atrophy, due to menopause

Also known as:
  • CCRIS 9205
  • Deamino-hydroxytoremifene
  • Fc-1271
  • FC-1271a
  • Ospemifene
  • Osphena
  • UNII-B0P231ILBK

Molecular Formula: C24H23ClO2
Molecular Weight: 378.89 g.mol-1

Ospemifene, FC-1271a
2-[4-[4-Chloro-1,2-diphenyl-1(Z)-butenyl]phenoxy]ethanol
 2-(P-((Z)-4-Chloro-1,2-diphenyl-1-butenyl)phenoxy)ethanol
 2-(4-(4-Chloro-1,2-diphenyl-but-1-enyl)phenoxy)ethanol
Orion Corp. (Originator), Hormos (Codevelopment) 

Marja Sodervall, Maire Eloranta, Arja Kalapudas, Brian Kearton, Michael McKenzie, “METHODS FOR THE PREPARATION OF FISPEMIFENE FROM OSPEMIFENE.” U.S. Patent US20080214860, issued September 04, 2008.

US20080214860

Data

Patent No

US

PatentExpireyDate patent use code
6245819 Jul 21, 2020 U-1369
8236861 Aug 11, 2026 U-1369
8236861 Aug 11, 2026 U-1370
Exclusivity Code ExclusivityDate
NCE Feb 26, 2018

UPDATE……….ON OCT 2015

Date of issue ofmarketing authorisation valid throughout the European Union 15/01/2015

NMR……http://file.selleckchem.com/downloads/nmr/S428501-Ospemifene-HNMR-Selleck.pdf

HPLC….http://file.selleckchem.com/downloads/hplc/S428501-Ospemifene-HPLC-Selleck.pdf

Ospemifene appears as a white to almost white, non-hygroscopic crystalline powder. It is insoluble in water, soluble in ethanol and propanol, very slightly soluble in isopropanol. The partition coefficient was found 4.43 and the pKa was calculated 14.26. The molecule has two geometrical isomeric forms. The active substance ospemifene is the Z-isomer. Polymorphism was not observed.

The chemical name of the active substance ospemifene is Z-2-[4-(4-chloro-1,2-diphenylbut-1-enyl) phenoxy]ethanol, corresponding to the molecular formula C24H23O2Cl and has a relative molecular mass of 378.9.

Ospemifene is a new selective non-hormonal estrogen receptor modulator (SERM) that is used for the treatment of moderate to severe dyspareunia, a symptom of vulvar and vaginal atrophy, due to menopause. FDA approved on February 26, 2013.

Bone Diseases, Treatment of, ENDOCRINE DRUGS, Gynecological Disorders, Treatment of , Hormone Replacement Therapy, METABOLIC DRUGS, Treatment of Osteoporosis, Treatment of Postmenopausal Syndrome , Selective Estrogen Receptor Modulators (SERM)

Article

OSPEMIFINE

Article 27 March 2013

Shionogi Limited, the London-based European subsidiary of Shionogi & Co., Ltd announced today that on 26th March 2013 the European Medicines Agency (EMA) accepted its Marketing Authorisation Application (MAA) submission for ospemifene for the treatment of vulvar and vaginal atrophy (VVA) in post-menopausal women.

this is already approved by FDA

“We are pleased to announce the MAA submission for ospemifene to the EMA following the US Food and Drug Administration (FDA) approval last month. The acceptance of the MAA submission for ospemifene not only represents an important step forward in expanding the treatment options for women living in Europe with this condition, but it is also an important milestone for Shionogi as it continues to build its business in Europe” said Takashi Takenoshita, CEO of Shionogi Limited.

Osphena (ospemifene) to treat women experiencing moderate to severe dyspareunia (pain during sexual intercourse), a symptom of vulvar and vaginal atrophy due to menopause.

Dyspareunia is a condition associated with declining levels of estrogen hormones during menopause. Less estrogen can make vaginal tissues thinner, drier and more fragile, resulting in pain during sexual intercourse.

Osphena, a pill taken with food once daily, acts like estrogen on vaginal tissues to make them thicker and less fragile, resulting in a reduction in the amount of pain women experience with sexual intercourse.

“Dyspareunia is among the problems most frequently reported by postmenopausal women,” said Victoria Kusiak, M.D., deputy director of the Office of Drug Evaluation III in the FDA’s Center for Drug Evaluation and Research. “Osphena provides an additional treatment option for women seeking relief.”

Osphena’s safety and effectiveness were established in three clinical studies of 1,889 postmenopausal women with symptoms of vulvar and vaginal atrophy. Women were randomly assigned to receive Osphena or a placebo. After 12 weeks of treatment, results from the first two trials showed a statistically significant improvement of dyspareunia in Osphena-treated women compared with women receiving placebo. Results from the third study support Osphena’s long-term safety in treating dyspareunia.

Common side effects reported during clinical trials included hot flush/flashes, vaginal discharge, muscle spasms, genital discharge and excessive sweating.

Osphena is marketed by Florham Park, N.J.-based Shionogi, Inc.

  • Shionogi Files a New Drug Application for Ospemifene Oral Tablets 60mg for the Treatment of Vulvar and Vaginal Atrophy – May 9, 2012
  • END OF ARTICLE

OSPHENA is an estrogen agonist/antagonist. The chemical structure of ospemifene is shown in Figure 1.

Figure 1: Chemical structure

OSPHENA® (ospemifene) Structural Formula Illustration

The chemical designation is Z-2-[4-(4-chloro-1,2-diphenylbut-1-enyl)phenoxy]ethanol, and has the empirical formula C24H23ClO2, which corresponds to a molecular weight of 378.9. Ospemifene is a white to off-white crystalline powder that is insoluble in water and soluble in ethanol.

Each OSPHENA tablet contains 60 mg of ospemifene. Inactive ingredients include colloidal silicon dioxide, hypromellose, lactose monohydrate, magnesium stearate, mannitol, microcrystalline cellulose, polyethylene glycol, povidone, pregelatinized starch, sodium starch glycolate, titanium dioxide, and triacetin.

INTRODUCTION

Ospemifene (commercial name Osphena produced by Shionogi) is an oral medication indicated for the treatment of dyspareunia – pain during sexual intercourse – encountered by some women, more often in those who are post-menopausal. Ospemifene is aselective estrogen receptor modulator (SERM)[1] acting similarly to an estrogen on thevaginalepithelium, building vaginal wall thickness which in turn reduces the pain associated with dyspareunia. Dyspareunia is most commonly caused by “vulval and vaginal atrophy.”[2]

The medication was approved by the FDA in February 2013.[3]

Ospemifene is used to treat dyspareunia. It is available as a 60 mg tablet that is taken by mouth once a day. The fact that ospemifene can be taken orally is an advantage over other products that are used to treat dyspareunia, because these are generally in a topical dosage form and have to be applied locally.[2] The oral dosage form is much easier and more convenient for patients to administer.

It is “an agonist/antagonist that makes vaginal tissue thicker and less fragile resulting in a reduction in the amount of pain women experience with sexual intercourse.”[2] This drug should be used for the shortest amount of time possible due to associated adverse effects.[2]

Approval process

Hormos Medical Ltd., which is a part of QuatRx Pharmaceuticals, filed a patent on January 19, 2005 for a solid dosage form of ospemifene.[5] In March of 2010, QuatRX Pharmaceuticals licensed ospemifene to Shionogi & Co., Ltd. for them to develop it into a product and put it on the market.[6] A New Drug Application (NDA) was submitted to the FDA on April 26, 2012.[7] Amendments to the NDA were submitted in June, July, August, October, and November 2012, and January and February of 2013.[7] It was ultimately approved by the FDA on February 26, 2013.[6]

Preclinial and clinical trials

Preclinical trials were performed in ovariectomized rats to model menopause.[8] Oral ospemifene was compared with raloxifene (another SERM), its metabolites 4-hydroxy ospemifene and 4′-hydroxy ospemifene, estradiol, and ospemifene administered as an intravaginal suppository.[8] Estradiol was used as a positive control and raloxifene was used because it is in the same drug class as ospemifene.[8]Multiple doses of oral ospemifene were tested.[8] 10 mg/kg/day of Ospemifene was found to cause a greater increase in vaginal weight and vaginal epithelial height than 10 mg/kg/day of raloxifene.[8] Vaginal weight had a 1.46x increase after a two week treatment of 10mg/kg/day of ospemifene.[8] The number of progesterone receptors was increased in the vaginal stroma and epithelium, which indicates that ospemifene has “estrogenic activity.”[8]

A binding assay was also performed to measure the affinity of ospemifene for the estrogen receptor (ERα and ERβ).[8] The study showed that ospemifene bound ERα and ERβ with similar affinity.[8] Ospemifene bound the estrogen receptors with a lower affinity than estradiol.[8] Ospemifene was shown to be an antagonist of “ERE-mediated transactivation on MCF-7 cells,” which the authors concluded indicates “anti-estrogenic activity in breast cancer cells.”[8]

Two 12 week phase 3 clinical trials were performed for ospemifene.[9] To evaluate the efficacy of the drug, 4 signs and symptoms of dyspareunia were measured. These included the “change in percent parabasal cells,” “change in percent superficial cells,” “change in vaginal pH,” and “change in most bothersome symptom (vaginal dryness and vaginal pain associated with sexual activity.”[9]Ospemifene was more effective than placebo in all four of these categories.[9] A dose-response was also seen in the trial; ospemifene 60 mg had greater efficacy than ospemifene 30 mg.[9] Safety was also evaluated in these phase 3 trials. There was a 5.2% increase in the incidence of hot flushes, 1.6% increase in urinary tract infections, and 0.5% increase in the incidence of headache with ospemifene over placebo.[9] One of the phase 3 trials was double-blinded and randomized and involved 826 women who were post-menopausal.[10]The women in the study were required to have one or more vulvovaginal atrophy (VVA) symptom that was moderate or severe in nature, no more than 5% of cells that were superficial when given a vaginal smear, and have a vaginal pH of at least 5.0.[10] Another phase 3 trial involved 605 women who were between the ages of 40 and 80, were diagnosed with VVA, and whose worst symptom was dyspareunia.[11]

OSPEMIFENE

In the first half of the 2013 fiscal year, Osphena® generated 0.1 B yen in revenue, which is probably roughly equivalent to $974, 944 U.S. dollars.[12] When Osphena® was put onto the market, it was predicted to earn $495 million in 2017.[13]

OSPHENA is an estrogen agonist/antagonist. The chemical structure of ospemifene is shown in Figure 1.

Figure 1: Chemical structure

OSPHENA™ (ospemifene) Structural Formula Illustration

The chemical designation is Z-2-[4-(4-chloro-1,2-diphenylbut-1-enyl)phenoxy]ethanol, and has the empirical formula C24H23ClO2, which corresponds to a molecular weight of 378.9. Ospemifene is a white to off-white crystalline powder that is insoluble in water and soluble in ethanol.

Each OSPHENA tablet contains 60 mg of ospemifene. Inactive ingredients include colloidal silicon dioxide, hypromellose, lactose monohydrate, magnesium stearate, mannitol, microcrystalline cellulose, polyethylene glycol, povidone, pregelatinized starch, sodium starch glycolate, titanium dioxide, and triacetin.

“SERM”s (selective estrogen receptor modulators) have both estrogen-like and antiestrogenic properties (Kauffman & Bryant, 1995). The effects may be tissue-specific as in the case of tamoxifen and toremifene which have estrogen-like effects in the bone, partial estrogen-like effect in the uterus and liver, and pure antiestrogenic effect in breast cancer.

Raloxifene and droloxifen are similar to tamoxifen and toremifene, except that their antiestrogenic properties dominate. Based on the published information, many SERMs are more likely to cause menopausal symptoms than to prevent them. They have, however, other important benefits in elderly women: they decrease total and LDL cholesterol, thus deminishing the risk of cardiovascular diseases, and they may prevent osteoporosis and inhibit breast cancer growth in postmenopausal women.

Ospemifene is the Z-isomer of the compound of formula (I)

Figure imgb0001

and it is one of the main metabolites of toremifene, is known to be an estrogen agonist and antagonist (Kangas, 1990; International patent publications WO 96/07402 and WO 97/32574 ). The compound is also called (deaminohydroxy)toremifene and it is also known under the code FC-1271a. Ospemifene has relatively weak estrogenic and antiestrogenic effects in the classical hormonal tests (Kangas, 1990). It has anti-osteoporosis actions and it decreases total and LDL cholesterol levels in both experimental models and in human volunteers (International patent publications WO 96/07402 and WO 97/32574 ). It also has antitumor activity in an early stage of breast cancer development in an animal breast cancer model.

Ospemifene is also the first SERM which has been shown to have beneficial effects in climacteric syndromes in healthy women. The use of ospemifene for the treatment of certain climacteric disorders in postmenopausal women, namely vaginal dryness and sexual dysfunction, is disclosed in WO 02/07718 . The published patent application WO 03/103649 describes the use of ospemifene for inhibition of atrophy and for the treatment or prevention of atrophyrelated diseases or disorders in women, especially in women during or after the menopause.

SYNTHESIS

credit chemdrug
The condensation of desoxybenzoin (I) with 2-(benzyloxy)ethyl bromide (II) by means of aqueous 48% NaOH containing triethylbenzylammonium chloride (TEBAC) gives 4-(benzyloxy)-1,2-diphenyl-1-butanone (III), which by reaction with the Grignard reagent (IV) – prepared from 4-(tetrahydropyranyloxy)phenyl bromide (V) and Mg in THF – yields the triphenylbutanol derivative (VI). Elimination of the THP-protecting group of compound (VI) by means of H2SO4 in ethanol/water at room temperature affords the triphenylbutanol derivative (VII), which is debenzylated by hydrogenation with H2 over Pd/C in ethanol to provide the butane-1,4-diol derivative (VIII). Cyclization of the butane-1,4-diol (VIII) by means of H2SO4 in hot ethanol/water gives 2-(4-hydroxyphenyl)-2,3-diphenyltetrahydrofuran (IX), which is treated with 48% HBr in refluxing AcOH to yield a mixture of (E)- and (Z)-4-(4-hydroxyphenyl)-3,4-diphenyl-3-buten-1-ol (X), which is separated by chemical work up. The phenolic OH group of the desired (Z)-isomer (X) is condensed with 2-(benzyloxy)ethyl bromide (II) by means of NaOH and tetrabutylammonium bromide in refluxing toluene/ water to afford the benzyloxyethyl ether (XII). Reaction of the aliphatic OH group of ether (XII) with PPh3 and CCl4 in acetonitrile provides the corresponding chloro derivative (XIII), which is finally debenzylated with H2 over Pd/C in ethyl acetate/ethanol.
Sorbera, L.A.; Castar, J.; Bay
Ospemifene. Drugs Fut 2004, 29, 1, 38
………………………………………………..

 SYNTHESIS

US 4996225; US 5491173,
WO 9732574, WO 9607402,
The condensation of desoxybenzoin (I) with tetrahydropyranyl ether (II) in aq. 48% NaOH containing TEBAC gives 1,2-diphenyl-4-(tetrahydropyranyloxy)-1-butanone (III), which by a Grignard condensation with 4-methoxyphenylmagnesium bromide (IV) in THF yields the monoprotected triphenylbutanediol (V). The deprotection of (V) with H2SO4 in ethanol/water at room temperature affords the triphenylbutane-1,4-diol (VI), which is cyclized with H2SO4 in hot ethanol/water to provide 2-(4-methoxyphenyl)-2,3-diphenyltetrahydrofuran (VII). The reaction of (VII) with 48% HBr in refluxing acetic acid gives a mixture of (E)- and (Z)-4-(4-hydroxyphenyl)-3,4-diphenyl-1-butanol that is separated by chemical working up to obtain the desired (Z)-isomer (VIII). The condensation of the phenolic OH of (VIII) with benzyl protected 2-bromoethanol (IX) by means of NaOH and tetrabutylammonium bromide in refluxing toluene/water gives the benzyloxyethyl ether (X). The reaction of the aliphatic OH group of (X) with PPh3 and CCl4 in acetonitrile yields the corresponding chloro derivative (XI), which is finally debenzylated by hydrogenation with H2 over Pd/C in ethyl acetate/ethanol.
……………………………………………………………

SYNTHESIS

Ospemifene simple structure, its point is to control the synthesis of the product cis-trans isomerization of the double bond. Chloride 1 and benzene ( 2 ) occurs pay – acylation reaction 3 . Ester4 aluminum trichloride under the action of Fries rearrangement of 5 , 5 on the propylene oxide under alkaline conditions to obtain 6 , 6 and 3 McMurry coupling occurs directly generated Ospemifene.

……………………………………………

SYNTHESIS

https://www.google.com/patents/EP2121553B1

  • Ospemifene is the Z-isomer of the compound of formula (Ib)

    Figure imgb0006
  • The common starting material in the syntheses of (Ib), namely compound (II), is previously known (Toivola, 1990; EP 0095875 ). According to a method disclosed in EP 095875 , this compound was prepared by dealkylation of a corresponding ether to give (II). The method may be used to produce a mixture of isomers of compounds (Ib), but most preferably is used to prepare the pure E- and Z-isomers of this compound.
  • Particularly in case the Z-isomer of the compound (Ib) is desired, a preferable method for the synthesis of compound (II) is a McMurry reaction of commercially available starting materials, 4-hydroxybenzophenone with 3-chloropropiophenone. The McMurry reaction is a well-known reductive coupling of ketones involving two steps: (1) a single electron transfer to the carbonyl groups from an alkali metal, followed by (2) deoxygenation of the 1,2-diol with low-valent titanium to yield the alkene. This reaction produces mainly the Z-isomer of compound (II)
  • Figure imgb0011
  • The alkylation in step a) is carried out in an organic solvent, preferably carried out in tetrahydrofuran. It is also preferable to add a base to the solvent, most preferably sodium hydride
        EXAMPLE 14-(4-Chloro-1,2-diphenyl-but-1-enyl)phenol (Compound II)

      • Zinc (15.0 g, 0.23 mol) and tetrahydrofuran (THF) (180 ml) was added to the reaction vessel and cooled to -10 °C. Titan tetrachloride was added dropwise to the mixture (21.6 g, 0.114 mol) at about -10 °C. After the addition was completed the mixture was refluxed for two hours. Then the mixture was cooled to 40 °C and 4-hydroxybenzophenone (7.68 g, 0.039 mol) and 3-chloropropiophenone (6.48 g, 0.039 mol) dissolved in THF (75 ml) were added to the mixture. Refluxing was continued for additional 3.5 hours. The cooled reaction mixture was poured in aqueous potassium carbonate solution (21 g K2CO3 + 210 ml water) and allowed to stand overnight at the ambient temperature. The mixture was filtered and the precipitate was washed with THF. The filtrate was evaporated to dryness. The residue was dissolved in ethyl acetate and washed with water. Ethyl acetate phase was evaporated to dryness and the residue was crystallized first from methanol-water (8:2) and then from methanol-water (9:1). Yield 5.4 g.
      • Z-isomer:1H NMR (CDCl3): 2.92 (t, 2H, =CH2CH2Cl), 3.42 (t, 2H, =CH2CH2 Cl), 6.48 (d, 2H, aromatic proton ortho to hydroxy), 6.75 (d, 2H, aromatic proton meta to hydroxy), 7.1-7.4 (m, 10H, aromatic protons)

EXAMPLE 2

2-[4-(4-Chloro-1,2-diphenyl-but-1-enyl)-phenoxy]-ethanol (Compound Ib)

      • 4-(4-Chloro-1,2-diphenyl-but-1-enyl)phenol (0.23 g, 0.689 mmol) was dissolved in tetrahydrofuran (3 ml) under nitrogen atmosphere. Sodium hydride (0.025 g, 1.03 mmol) was added to the solution and the mixture was stirred at room temperature for an hour. 2-(2-iodo-ethoxy)-tetrahydropyran (0.3 g, 1.17 mmol) was added and the mixture was refluxed for 2 hours. Additional portions of 2-(2-iodo-ethoxy)-tetrahydro-pyran (0.5 g, 2 mmol) were added to the mixture during seven hours. After cooling and adding water, THF was evaporated and the mixture was extracted three times with ethyl acetate. The organic phase was washed with 2 N aqueous sodium hydroxide and water, dried with sodium sulphate and evaporated to dryness. The residue (which is Compound (IV) where Pr is tetrahydropyranyl) was dissolved in ethanol and acidified with 2 N aqueous hydrogen chloride solution. The mixture was stirred at room temperature over night, evaporated and extracted with dichloromethane. After washing with water the organic phase was dried (Na2SO4) and evaporated. The residue was purified by flash chromatography with dichloromethane/methanol 9.5/0.5 as eluent. Yield 0.17 g, 59 %.
      • Z-isomer, 1H NMR (CDCl3): 2.92 (t, 2H, =CH2CH2Cl), 3.42 (t, 2H, =CH2CH2 Cl), 3.85-3.89 (m, 4H, OCH2CH2), 6.56 (d, 2H, aromatic proton ortho to hydroxy), 6.80 (d, 2H, aromatic proton meta to hydroxy), 7.1-7.43 (m, 10H, aromatic protons).

EXAMPLE 3

2-[4-(4-Chloro-1,2-diphenyl-but-1-enyl)-phenoxy]-ethanol (Compound Ib)

  • The compound was prepared by the same method as described in Example 2 using 2-(2-iodo-ethoxymethyl)-benzene as a reagent and removing the benzylic protecting group using the method described in Example (e) ofUS Patent No. 6,891,070 B2 . Briefly, the removal is carried out under a nitrogen atmosphere, in the presence of Zn powder and acetyl chloride.
      EXAMPLE 5

2-[4-(4-Chloro-1,2-diphenyl-but-1-enyl)-phenoxy]-ethanol (Compound Ib)

  • [4-(4-Chloro-1,2-diphenyl-but-1-enyl)-phenoxy]-acetic acid ethyl ester (Example 4) was dissolved in tetrahydrofuran at room temperature under nitrogen atmosphere. Lithium aluminium hydride was added to the solution in small portions until the reaction was complete. The reaction was quenched by adding saturated ammonium chloride solution to the mixture. The product was extracted into toluene, which was dried and evaporated in vacuo. The yield 100 mg, 43 %.
  • 1H NMR (CDCl3): 2.92 (t, 2H, =CH2CH2Cl), 3.42 (t, 2H, =CH2CH2 Cl), 3.85-3.89 (m, 4H, OCH2CH2), 6.56 (d, 2H, aromatic proton ortho to hydroxy), 6.80 (d, 2H, aromatic proton meta to hydroxy), 7.1-7.43 (m, 10H, aromatic protons).

PATENT

https://www.google.com/patents/US6891070

e) 2-{2-[4-(4-Chloro-1,2-diphenyl-but-1-enyl)phenoxy]ethoxy}ethanol:

Z-1-{4-[2-(2-Benzyloxy-ethoxy)ethoxy]phenyl}-4-chloro-1,2-diphenyl-but-1-ene (3.8 g, 7.4 mmol) is dissolved in ethyl acetate under nitrogen atmosphere, Zn powder (0.12 g, 1.85 mmol) and acetyl chloride (1.27 g, 16.3 mmol) are added and the mixture is stirred at 50° C. for 3 h (Bhar, 1995). The reaction mixture is cooled to room temperature, water (10 ml) is added and stirring is continued for additional 10 min. The aqueous layer is separated and the organic phase is washed with 1 M aqueous hydrogen chloride solution and with water. Ethyl acetate is evaporated and the residue is dissolved in methanol (16 ml) and water (4 ml). The acetate ester of the product is hydrolysed by making the mixture alkaline with sodium hydroxide (1 g) and stirring the mixture at room temperature for 1 h. Methanol is evaporated, water is added and the residue is extracted in ethyl acetate and washed with 1 M hydrogen chloride solution and with water. Ethyl acetate is evaporated and the residue is dissolved in toluene (25 ml), silica gel (0.25 g) is added and mixture is stirred for 15 min. Toluene is filtered and evaporated to dryness.

The residue is crystallised from heptane-ethyl acetate (2:1). The yield is 71%.

Z-isomer: 1H NMR (CDCl3): 2.92 (t, 2H), 3.41 (t, 2H), 3.58-3.63 (m, 2H), 3.69-3.80 (m, 4H), 3.96-4.01 (m, 2H), 6.56 (d, 2H), 6.78 (d, 2H), 7.10-7.40 (m, 10H).

E-2-{2-[4-(4-Chloro-1,2-diphenyl-but-1-enyl)phenoxy]ethoxy}ethanol is prepared analogously starting from E-1-{4-[2-(2-benzyloxy-ethoxy)ethoxy]phenyl}-4-chloro-1,2-diphenyl-but-1-ene. The product is purified by flash chromatography with toluene-methanol (10:0.5) as eluent.

E-isomer: 1H NMR (CDCl3): 2.97 (t, 2H), 3.43 (t, 2H), 3.65-3.79 (m, 4H), 3.85-3.90 (m, 2H), 4.13-4.17 (m, 2H), 6.85-7.25 (m, 2H).

Debenzylation of 1-{4-[2-(2-benzyloxy-ethoxy)ethoxy]phenyl}-4-chloro-1,2-diphenyl-but-1-ene is also carried out by hydrogenation with Pd on carbon as a catalyst in ethyl acetate-ethanol solution at room temperature.

PATENT

http://www.google.com/patents/WO2014060639A1?cl=en

EXAMPLE 5. Preparation of (Z)-2-[4-(4-chloro-l,2-diphenyl-but-l-enyl)- phenoxy]ethanol (ospemifene) by base hydrolysis of pivaloyl-groiip
; . (Z)-2-(4-(4-Chloro- l ,2-diphenylbut-l-en- l-yl)phenqxy)ethyl pivalate ( 1 g, 2.16 mmol) was dissolved in THF (8 ml) followed by addition of MeOH (1 ml) and water (1 ml). Sodium hydroxide (0.1 g, 2.5 mmol) was added in orie portion and the reaction was stirred at room temperature for 12 h. After completion of the reaction the mixture was partitioned between water (20 ml) and EtOAc (20 ml). Organic phase was washed with water (20 ml) and brine (20 ml); dried (Na2S04), filtered, and concentrated: The residue was crystallized from -PrOH yielding ospernifene (0:29 g, 35 %) as a white solid.

1H-NMR (400 MHz, CDC13) δ (ppm): 7.37 (2H, t, 7=8Hz, ArH), 7.29 (3Η, t, J=7.2Hz, ArH), 7.20 (2Η, t,7=7.6Hz, ArH), 7.16-7.13 (3Η, m, ArH), 6.80 (2Η, d, J=8.8Hz, ArH), 6.57 (2Η, d, 7=8.8Hz, ArH), 3.94 (2Η, t, y=4.4Hz, ArOCH2CH2OH), 3.87 (2H, m, ArOCH2CH OH), 3.42 (2H, t, J=7.2Hz, C1CH2CH2), 2.92 (2H, t, 7=7.2Hz, C1CH2CH2), 1.95 (1Η, t, 7=6.4Hz, OH).  

13C- NMR (100 MHz, CDC13) δ (ppm): 157.2, 143.2, 142.1 , 141.3, 2 x 135.7, 132.2, 130.0, 129.8, 128.8, 128.7, 127.4, 127.0, 113.9, 69.3, 61.8, 43.3, 39.0.

EXAMPLE 6. Preparation of (Z)-2-[4-(4-chloro-l,2-diphenyl-but-l-enyl)- phenoxy]ethanol (ospernifene) by reductive cleavage of pivaloyl-grou
(Z)-2-(4-(4-Chloro- 1 ,2-diphenylbut- 1 -en- 1 -yl)phenoxy)ethyl pivalate (3.5 g, 7.56 mmol) was dissolved in toluene (35 ml) and stirred under nitrogen for 5 min at room temperature. Lithium aluminium hydride solution (1 M in THE) (7.56 ml, 7.56 n mbi) was added dropwise to the reaction and the mixture was stirred at room temperature for 30 min. After HPLC indicated completion, the reaction was quenched by addition of saturated NH4Cl-sblution (75 ml). Additional amount of toluene (30 ml) was added and the phases were separated. The organic phase was washed with water (50 ml), brine (50 ml), dried (Na2S04), filtered and concentrated in vacuo. The residue was crystallized from 90 % MeOH yielding ospernifene (1 ,75 g, 61 9c) as a white solid.

1H NMR PREDICT

13C NMR PREDICT

References

  1.  Rutanen EM, Heikkinen J, Halonen K, Komi J, Lammintausta R, Ylikorkala O (2003). “Effects of ospemifene, a novel SERM, on hormones, genital tract, climacteric symptoms, and quality of life in postmenopausal women: a double-blind, randomized trial”. Menopause10 (5): 433–9.doi:10.1097/01.GME.0000063609.62485.27.PMID14501605.
  2.  Tanzi MG (April 2013). “Ospemifene: New treatment for postmenopausal women.”Pharmacy Today. American Pharmacists Association.
  3. “FDA approves Osphena for postmenopausal women experiencing pain during sex”FDA News Release (U.S. Food and Drug Administration). 2013-02-26.
  4. “Ospemifene: Indications, Side Effects, Warnings”. Drugs.com.
  5. EP application 2286806, Lehtola V-M, Halonen K, “Solid formulations of ospemifene”, published 2011-02-23, assigned to Hormos Medical Ltd.
  6. “Shionogi Files a New Drug Application for Ospemifene Oral Tablets 60mg for the Treatment of Vulvar and Vaginal Atrophy”. Drugs.com.
  7.  Kusiak V (2013-02-13). “NDA Approval” (PDF). U.S. Food and Drug Administration.
  8.  Unkila M, Kari S, Yatkin E, Lammintausta R (November 2013). “Vaginal effects of ospemifene in the ovariectomized rat preclinical model of menopause”. J. Steroid Biochem. Mol. Biol.138: 107–15.doi:10.1016/j.jsbmb.2013.04.004PMID23665515.
  9.  Center for Drug Evaluation and Research (2013-02-26). “Clinical Pharmacology and Biopharmaceutics Review Application Number 203505Orig1s000” (PDF). Office of Clinical Pharmacology Review. U.S. Food and Drug Administration.
  10.  Bachmann GA, Komi JO (2010). “Ospemifene effectively treats vulvovaginal atrophy in postmenopausal women: results from a pivotal phase 3 study”. Menopause17 (3): 480–6.doi:10.1097/gme.0b013e3181c1ac01PMID20032798.
  11.  Portman DJ, Bachmann GA, Simon JA (June 2013). “Ospemifene, a novel selective estrogen receptor modulator for treating dyspareunia associated with postmenopausal vulvar and vaginal atrophy”. Menopause20 (6): 623–30.doi:10.1097/gme.0b013e318279ba64PMID23361170.
  12. http://www.shionogi.co.jp/en/ir/pdf/e_p131101.pdf. First Half of Fiscal 2013 Financial Results. Nov. 1, 2013.
  13. http://www.thepharmaletter.com/article/fda-approves-shionogi-s-osphena-for-postmenopausal-women-experiencing-pain-during-sex. ThePharmaLetter

PATENTS

8-8-2012
Method for enhancing the bioavailablity of ospemifene
1-21-2011
METHOD FOR THE PREPARATION OF THERAPEUTICALLY VALUABLE TRIPHENYLBUTENE DERIVATIVES
11-5-2010
METHODS FOR THE INHIBITION OF ATROPHY OR FOR TREATMENT OR PREVENTION OF ATROPHY-RELATED SYMPTOMS IN WOMEN
10-13-2010
METHOD FOR THE PREPARATION OF THERAPEUTICALLY VALUABLE TRIPHENYLBUTENE DERIVATIVES
3-18-2009
METHODS FOR THE PREPARATION OF FISPEMIFENE FROM OSPEMIFENE
5-11-2007
Novel oral formulations of ospemifene
5-11-2007
Formulations of fispemifene
1-11-2006
Methods for the inhibition of atrophy or for treatment or prevention of atrophy-related symptoms in women
12-9-2005
Methods for the inhibition of atrophy or for treatment or prevention of atrophy-related symptoms in women
8-26-2005
Solid formulations of ospemifene
8-26-2005
Method for treatment or prevention of osteoporosis in individuals with high bone turnover
4-6-2005
Triphenylalkene derivatives and their use as selective estrogen receptor modulators
6-11-2003
Triphenylalkene derivatives and their use as selective estrogen receptor modulators
6-13-2001
Method for the treatment of vaginal dryness and sexual dysfunction in women during or after the menopause

FDA Approves Osphena,Ospemifene for Postmenopausal Women Experiencing Dyspareunia


Ospemifene.svg

Ospemifene
CAS Number: 128607-22-7

Molecular Formula: C24H23ClO2
Molecular Weight: 378.89 g.mol-1

February 26, 2013 — The U.S. Food and Drug Administration today approved Osphena (ospemifene) to treat women experiencing moderate to severe dyspareunia (pain during sexual intercourse), a symptom of vulvar and vaginal atrophy due to menopause.

Dyspareunia is a condition associated with declining levels of estrogen hormones during menopause. Less estrogen can make vaginal tissues thinner, drier and more fragile, resulting in pain during sexual intercourse.

Osphena, a pill taken with food once daily, acts like estrogen on vaginal tissues to make them thicker and less fragile, resulting in a reduction in the amount of pain women experience with sexual intercourse.

“Dyspareunia is among the problems most frequently reported by postmenopausal women,” said Victoria Kusiak, M.D., deputy director of the Office of Drug Evaluation III in the FDA’s Center for Drug Evaluation and Research. “Osphena provides an additional treatment option for women seeking relief.”

Osphena’s safety and effectiveness were established in three clinical studies of 1,889 postmenopausal women with symptoms of vulvar and vaginal atrophy. Women were randomly assigned to receive Osphena or a placebo. After 12 weeks of treatment, results from the first two trials showed a statistically significant improvement of dyspareunia in Osphena-treated women compared with women receiving placebo. Results from the third study support Osphena’s long-term safety in treating dyspareunia.

Common side effects reported during clinical trials included hot flush/flashes, vaginal discharge, muscle spasms, genital discharge and excessive sweating.

Osphena is marketed by Florham Park, N.J.-based Shionogi, Inc.

Ospemifene, FC-1271a
2-[4-[4-Chloro-1,2-diphenyl-1(Z)-butenyl]phenoxy]ethanol
Orion Corp. (Originator), Hormos (Codevelopment)
Bone Diseases, Treatment of, ENDOCRINE DRUGS, Gynecological Disorders, Treatment of , Hormone Replacement Therapy, METABOLIC DRUGS, Treatment of Osteoporosis, Treatment of Postmenopausal Syndrome , Selective Estrogen Receptor Modulators (SERM)
  • Shionogi Files a New Drug Application for Ospemifene Oral Tablets 60mg for the Treatment of Vulvar and Vaginal Atrophy – May 9, 2012
credit chemdrug
The condensation of desoxybenzoin (I) with 2-(benzyloxy)ethyl bromide (II) by means of aqueous 48% NaOH containing triethylbenzylammonium chloride (TEBAC) gives 4-(benzyloxy)-1,2-diphenyl-1-butanone (III), which by reaction with the Grignard reagent (IV) – prepared from 4-(tetrahydropyranyloxy)phenyl bromide (V) and Mg in THF – yields the triphenylbutanol derivative (VI). Elimination of the THP-protecting group of compound (VI) by means of H2SO4 in ethanol/water at room temperature affords the triphenylbutanol derivative (VII), which is debenzylated by hydrogenation with H2 over Pd/C in ethanol to provide the butane-1,4-diol derivative (VIII). Cyclization of the butane-1,4-diol (VIII) by means of H2SO4 in hot ethanol/water gives 2-(4-hydroxyphenyl)-2,3-diphenyltetrahydrofuran (IX), which is treated with 48% HBr in refluxing AcOH to yield a mixture of (E)- and (Z)-4-(4-hydroxyphenyl)-3,4-diphenyl-3-buten-1-ol (X), which is separated by chemical work up. The phenolic OH group of the desired (Z)-isomer (X) is condensed with 2-(benzyloxy)ethyl bromide (II) by means of NaOH and tetrabutylammonium bromide in refluxing toluene/ water to afford the benzyloxyethyl ether (XII). Reaction of the aliphatic OH group of ether (XII) with PPh3 and CCl4 in acetonitrile provides the corresponding chloro derivative (XIII), which is finally debenzylated with H2 over Pd/C in ethyl acetate/ethanol.
Sorbera, L.A.; Castar, J.; Bay
Ospemifene. Drugs Fut 2004, 29, 1, 38