
Generic drugs in the EU
DRUG REGULATORY AFFAIRS INTERNATIONAL

View original post 3,639 more words
Marketing Authorisation in Europe
DRUG REGULATORY AFFAIRS INTERNATIONAL
Authorisation Procedures for medicinal products
.png)
Procedures for evaluating medicinal products and granting marketing authorisation
- The centralised procedure, which is compulsory for products derived from biotechnology, for orphan medicinal products and for medicinal products for human use which contain an active substance authorised in the Community after 20 May 2004 (date of entry into force of Regulation (EC) No 726/2004) and which are intended for the treatment of AIDS, cancer, neurodegenerative disorders or diabetes. The centralised procedure is also mandatory for veterinary medicinal products intended primarily for use as performance enhancers in order to promote growth…
View original post 4,373 more words
Data exclusivity for medicinal products in Europe…8+2+1 approach
DRUG REGULATORY AFFAIRS INTERNATIONAL
Data exclusivity for medicinal products in Europe
Why is data exclusivity granted?

View original post 1,449 more words
LUCITANIB a VEGFR/FGFR dual kinase inhibitor in Phase 2 trials
LUCITANIB
6-[7-[(1-aminocyclopropyl)methoxy]-6-methoxyquinolin-4-yl]oxy-N-methylnaphthalene-1-carboxamide
6-(7-((l-aminocyclopropyl)methoxy)-6-methoxyquinolin-4-yloxy)- N-methyl- 1 -naphthamide
6-(7-((l- aminocyclopropyl)methoxy)-6-methoxyquinolin-4-yloxy)-N-methyl-l- naphthamide
1058137-23-7 (E-3810 free base); 1058137-84-0 (E-3810 HCl salt)
| Patent | Submitted | Granted |
|---|---|---|
| Spiro Substituted Compounds As Angiogenesis Inhibitors [US8163923] | 2008-09-18 | 2012-04-24 |
A 4-(3-methoxypropoxy)-3-methylpyridinyl derivative of timoprazole that is used in the therapy of STOMACH ULCERS and ZOLLINGER-ELLISON SYNDROME. The drug inhibits H(+)-K(+)-EXCHANGING ATPASE which is found in GASTRIC PARIETAL CELLS.
For in advanced solid tumors.
Lucitanib (E-3810): Lucitanib, also known as E-3810, is a novel dual inhibitor targeting human vascular endothelial growth factor receptors (VEGFRs) and fibroblast growth factor receptors (FGFRs) with antiangiogenic activity. VEGFR/FGFR dual kinase inhibitor E-3810 inhibits VEGFR-1, -2, -3 and FGFR-1, -2 kinases in the nM range, which may result in the inhibition of tumor angiogenesis and tumor cell proliferation, and the induction of tumor cell death. Both VEGFRs and FGFRs belong to the family of receptor tyrosine kinases that may be upregulated in various tumor cell type

Overview

http://www.clovisoncology.com/products-companion-diagnostics/lucitanib/
Lucitanib is an oral, potent inhibitor of the tyrosine kinase activity of fibroblast growth factor receptors 1 through 3 (FGFR1-3), vascular endothelial growth factor receptors 1 through 3 (VEGFR1-3) and platelet-derived growth factor receptors alpha and beta (PDGFR α-ß). We own exclusive development and commercial rights to lucitanib on a global basis, excluding China. Lucitanib rights to markets outside of the U.S. and Japan have been sublicensed to Les Laboratoires Servier (Servier). We are collaborating with Servier on the global clinical development of lucitanib.

A Phase I/IIa clinical trial of lucitanib was initiated in 2010 and has demonstrated multiple objective responses in FGFR1 gene-amplified breast cancer patients, and objective responses were also observed in patients with tumors often sensitive to VEGFR inhibitors, such as renal cell and thyroid cancer. FGFR amplification is common in a number of tumor types, including breast cancer and squamous non-small cell lung cancer, and we intend to study lucitanib in these cancers as well as other solid tumors exhibiting FGFR pathway activation. A broad Phase II development program has been initiated by us and Servier in multiple indications, including advanced breast cancer and squamous NSCLC. For more information or to participate in the trials, contact the Clovis Oncology Clinical Trial Navigation Service at 1-855-262-3040, or 303-625-5010, or clovistrials@emergingmed.com.

http://www.asianscientist.com/2013/09/pharma/servier-license-lucitanib-simm-china-2013/
WO 2008/112408 Al and US 2008/0227812 Al disclose angiogenesis inhibitors with quinoline structure, useful for the treatment of neoplasias. One of the disclosed products is 6-(7-((l-aminocyclopropyl)methoxy)-6- methoxyquinolin-4-yloxy)-N-methyl-l-naphthamide of formula (I), described in example 3 of the above mentioned patent applications.
According to said documents, compound (I) is prepared by removing the benzyloxycarbonyl protective group from the compound benzyl l-((6- methoxy-4-(5-(methylcarbamoyl)-naphthalen-2-yloxy)quinolin-7- yloxy)methyl)cyclopropyl carbamate (II):
in acid medium or by hydrogenolysis, to give compound (I).
Compound (II) is obtained in a number of steps with different processes in which the benzyloxycarbonyl protected 1 -amino- 1-cyclopropylmethyl moiety is introduced by subjecting the acyl azide obtained from l-((6- methoxy-4-(5-(methylcarbamoyl)naphthalen-2-yloxy)quinolin-7- yloxy)methyl)cyclopropanecarboxylic acid of formula (III):
to Curtius rearrangement, in the presence of benzyl alcohol, or by alkylation of 6-(7-hydroxy-6-methoxyquinolin-4-yloxy)-N- methyl-1-naphthamide of formula (IV):
with 1 -benzyloxy carbony lamino- 1 -methylsolfonyloxymethyl- cyclopropane of formula (V):
The above mentioned applications do not provide yields concerning both the preparation of compound (II) by the two above mentioned reactions, and the conversion of compound (II) to (I).
Compound (III) is prepared by a process in which the 1-carboxy-l- cyclopropylmethyl moiety is introduced in 4-hydroxy-3-methoxyacetophenone as in the form of the ethyl ester, followed by formation of the 4- hydroxyquinoline ring and, finally, by the introduction of the 1- naphthylcarboxyamido fragment.
It is well known that the reactions requiring the use of azides, such as the formation of acyl azides, or Curtius rearrangement of the latter, are potentially hazardous as they involve risk of explosions, therefore they are not suitable for use in preparations on large scale. The synthetic methods reported in WO 2008/1 12408 and US
2008/0227812 include, inter alia, a general synthetic scheme in which the cycloalkyl-alkyl portion of the products is introduced by reaction between a cycloalkyl-alkyl mesylate and an hydroxy or amino acetophenone, followed by nitration to give a nitroacetofenone, reduction of the nitro group to amino group, formation of the 4-hydroxyquinoline ring and further work up of the latter to the final products. The above mentioned applications do not provide examples of the use of this process for compound (I) or the other described products.

SYNTHESIS
Patent
http://www.google.com/patents/WO2008112408A1?cl=en
Example 1
Benzyl l-((6-methoxy-4-(5-(methylcarbamoyl)naphthalen-2-yloxy)quinolin-7-yloxy)methyl)cyclo- propylcarbamate Method A:
6-Hydroxy- 1 -naphthoic acid (1 g) was mixed with acetic anhydride (5 ml) and sulfuric acid (5 drops). The mixture was refluxed for 3 hours and cooled at RT for 10 hours then mixed with water (15 ml). The solid was filtered and washed with water and cold MeOH to give the product as 6-acetoxy-l -naphthoic acid (900 mg) that was mixed with EDC (1.5 eq), HOBt (1 eq), MeNH2-HCl (2.5 eq, methylamine hydrochloride) and DIPEA (2.5 eq) in DCM (25 ml). The reaction was stirred at RT overnight and washed with NaHCO3 solution, dried. The solution was evaporated and mixed with 15% KOH (2 ml) in MeOH (10 ml) further stirred at RT for 30 minutes. The solvent was evaporated and the residue was adjusted to weak acidic with 2N HCl, the solid was filtered and washed with water twice and cold MeOH to give 6-Hydroxy-N-methyl- 1 -naphthamide (720 mg).
7-Benzyloxy-6-methoxy-quinolin-4-ol (WO2006108059) (1 g) was refluxed with POCl3 (8 ml) for 3 hours. The reaction was evaporated and dissolved into DCM (80 ml) that was washed with ice water followed by brine. The organic layer was dried with Na2Sθ4 and evaporated to dryness to give a dark yellow solid as 4-chloro-7-benzyloxy-6-methoxy-quinoline that was mixed with 6-Hydroxy-N-methyl-l -naphthamide (600 mg), DMAP (1.5 eq) in dioxane (40 ml). The reaction was refluxed for three days and diluted with EtOAc, water and extracted with EtOAc three times. The combined organic layer was washed with water, brine and dried. The solution was evaporated and purified with silica gel column to give 6-(7-(benzyloxy)-6-methoxyquinolin-4- yloxy)-N-methyl-l -naphthamide (210 mg). This product was mixed with Pd/C (120 mg, 10%), HCONH4 (210 mg) in EtOH (20 ml). The mixture was refluxed for 1 hour and evaporated then mixed with water (2 ml). The solid was filtered and washed with water twice and cold MeOH as 6- (7-hydroxy-6-methoxyquinolin-4-yloxy)-N-methyl-l -naphthamide for next step without further purification.
N-CBZ-amino-l-(hydroxymethyl)cyclopropane (similarly prepared according to JMC 31, 2004, 1998) (250 mg) was dissolved into DCM (25 ml) with DIPEA (250 1) and stirred at O0C for 15 minutes. To the reaction was added MsCl (1.1 eq) and stirred for 30 minutes. The reaction was washed with NaHCO3 solution, water, brine and dried with Na2SO4. The solution was evaporated to give N-CBZ-ammo-l^methylsulfonyloxymethyFjcyclopropane as an off white solid. This solid was mixed with above 6-(7-hydroxy-6-methoxyquinolin-4-yloxy)-N-methyl- 1 – naphthamide and Cs2CO3 (250 mg) in DMA (4 ml). The reaction was heated at 1000C for 10 hours and mixed with EtOAc and water, then filtered, further extracted with EtOAc. The combined organic layer was evaporated and purified with silica gel column to give the titled product. Mass: (M + 1), 578 Method B:
4-Chloro-7-benzyloxy-6-methoxy-quinoline (3 g) was mixed with 6-Hydroxy- 1 -naphthoic acid (2 g) and KOH (2.5 g) in DMSO (11 ml). The mixture was heated at 130oC for 5 hours and cooled to RT. The reaction was then poured into a stirred water (60 ml) solution slowly to give a precipitate that was filtered to give 6-(7-(benzyloxy)-6-methoxyquinolin-4-yloxy)- 1 -naphthoic acid (2.8 g). This product was mixed with MeNH2-HCl (2 g), EDC (3.3 g), HOBt (2 g) and DIPEA (4 ml) in DCM (80 ml). The reaction was stirred at RT overnight and washed with NaHCO3 solution, dried. The solution was evaporated and purified with silica gel column to give 6-(7-(benzyloxy)-6- methoxyquinolin-4-yloxy)-N-methyl- 1 -naphthamide. The title compound then was prepared according to the same procedures described in Method A. Method C:
Dimethyl l^-cyclopropanedicarboxylate (5 ml) was mixed with NaOH (1.4 g) in MeOH (40 ml)/water (4 ml). The reaction mixture was stirred at RT overnight and the solvent was evaporated. To the residue was added ether (50 ml), water (50 ml) and extracted once. The aqueous layer was acidified with 6N HCl and extracted three times with ether, the combined organic layer was washed with brine, dried and evaporated to give l-(methoxycarbonyl)cyclopropanecarboxylic acid (4 g).
The above product was mixed with DIPEA (1.2 eq) in THF and stirred at 00C for 10 minutes, to the reaction was added ethyl chloro formate (1 eq) slowly and further stirred for 1.5 hours from 00C to RT. To the reaction cooled at 00C was added NaBH4 (1.5 eq) slowly followed by MeOH (2 eq) and stirred for 2 hours from 00C to RT. The reaction was diluted with EtOAc, water and extracted with EtOAc three times. The combined organic layer was washed with water, brine and dried. The solution was evaporated and purified with silica gel column to give methyl 1 -(hydroxymethyl)cyclo- propanecarboxylate (2.5 g).
The above product was dissolved into DCM (40 ml) with DIPEA (4 ml) and stirred at O0C for 15 minutes. To the reaction was added MsCl (1.1 eq) and stirred for 30 minutes. The reaction was washed with NaHCθ3 solution, water, brine and dried with Na2SO4. The solution was evaporated and mixed with 4-hydroxy-3-methoxy-acetophenone (0.9 eq) and K2CO3 (1.5 eq) in DMF (20 ml). The reaction was heated at 1000C for 6 hours and diluted with EtOAc, water and extracted with EtOAc three times. The combined organic layer was washed with water, brine and dried further evaporated to give methyl l-((4-acetyl-2-methoxyphenoxy)methyl)cyclopropane-carboxylate (1.8 g). This product was dissolved into acetic acid (5 ml) and stirred at RT, to the reaction was very slowly added nitric acid (8 ml, 60%) and stirred at RT for 1 hour. The reaction was poured into ice-water and extracted with EtOAc three times. The combined organic layer was washed with water, brine and dried.
The solution was evaporated and mixed with iron powder (1.5 g) and NH4Cl (150 mg) in EtOH/H2O (80 ml, 9/1). The reaction was refluxed for 3 hours and filtered through Celite followed by evaporation. The residue was mixed with EtOAc/H2O and extracted with EtOAc three times. The combined organic layer was washed with water, brine and dried. The solution was evaporated and purified with silica gel column to give methyl l-((5-amino-4-acetyl-2-methoxyphenoxy)methyl)- cyclopropanecarboxylate (1 g).
The above product was mixed with fresh prepared NaOMe (2 eq) in ethylene glycol dimethyl ether (30 ml) and stirred at RT for 1 hour. To the mixture was added HCOOEt (3 eq), the reaction was stirred at RT overnight and neutralized with 6N HCl. The reaction was evaporated with silica gel to dryness and purified on silica gel column with DCM/MeOH as eluent to give methyl l-((4- hydroxy-6-methoxyquinolin-7-yloxy)methyl)cyclopropanecarboxylate (600 mg). This product was refluxed with POCI3 (4 ml) for 3 hours and evaporated, then dissolved into DCM. The solution was washed with ice water followed by brine. The organic layer was dried with Na2SC^ and evaporated to give methyl l-((4-chloro-6-methoxyquinolin-7-yloxy)methyl)cyclopropanecarboxylate (500 mg).
The above product was mixed with DMAP (1.5 eq), 6-Hydroxy-N-methyl- 1 -naphthamide (300 mg) in dioxane (20 ml). The reaction was refluxed for three days and diluted with EtOAc, water and extracted with EtOAc three times. The combined organic layer was washed with water, brine and dried. The solution was evaporated and purified with silica gel column to give methyl 1 -((6-methoxy- 4-(5-(methylcarbamoyl)naphthalen-2-yloxy)quinolin-7-yloxy)methyl)-cyclopropanecarboxylate (200 mg). This product of was mixed with 15% NaOH (3 eq) in MeOH (15 ml) and refluxed for 30 minutes. The reaction was evaporated and adjusted to PH=6, then diluted with EtOAc, water and extracted with EtOAc three times. The combined organic layer was washed with water, brine, dried and evaporated to give l-((6-methoxy-4-(5-(methylcarbamoyl)naphthalen-2-yloxy)quinolin-7- yloxy)methyl)cyclopropanecarboxylic acid (120 mg).
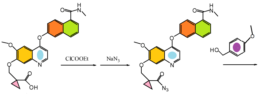
The above product was mixed with DIPEA (0.3 ml) in acetone (5 ml) at 00C. To the reaction was slowly added C1COOCH2CH(CH3)2 (100 1) and stirred for 2 hours from 00C to RT. NaN3 (0.2 g)/H2O (0.5 ml) was added to the reaction and stirred for 30 minutes. The reaction was diluted with EtOAc, water and extracted with EtOAc three times. The combined organic layer was washed with water, brine, dried and evaporated without further purification. The residue was mixed with benzyl alcohol (150 1) in toluene (10 ml) and refluxed for 1.5 hour. The reaction was evaporated and purified with silica gel column to give the titled product. Mass: (M + 1), 578
…………………………….
http://www.google.com/patents/WO2010105761A1?cl=en
sequence of intermediates……………

Example 1: Preparation of l-[(4-acetyl-2-methoxyphenoxy)methyl]- N-benzyloxycarbonyl-1-aminocyclopropane
A 10 L reactor equipped with mechanical stirrer was loaded with triphenylphosphine (340.0 g, 1.296 mol) and THF (2 L) and the suspension was cooled with an ice bath. The stirred suspension was then slowly added with DIAD (264 g, 1.296 mol) over 30 minutes. After stirring for 30 min at 00C, the stirred suspension was added dropwise with a solution of 4-hydroxy- 3-methoxyacetofenone (180 g, 1.08 mol) and DIPEA (210 g, 1.62 mol) in THF (1500 mL). The suspension was left under stirring for 45 min at 00C, then added dropwise with a solution of 1-benzyloxycarbonylamino-l- hydroxymethylcyclopropane (China Gateway) (240 g, 1.08 mol) in THF (1500 mL). After Ih, LC-MS analysis of a sample from the reaction mixture showed the complete disappearance of 1-benzyloxycarbonylamino-l- hydroxymethylcyclopropane. The reaction mixture was evaporated and the crude product was recrystallized with EtOH 95% (4000 mL) to give l-[(4- acetyl-2-methoxyphenoxy)methyl]-N-benzyloxycarbonyl- 1 – aminocyclopropane (214 g, yield: 53.5%) as a white solid.
1H-NMR (300 MHz, CDCl3): δ: 7.41-7.45 (m, 2 H), 7.26 (s, 5 H), 6.77 (d, 1 H), 5.43 (s, 1 H), 5.00 (s, 2 H), 4.04 (s, 2 H), 3.82 (s, 3 H), 2.49 (s, 3H), 0.92 (m, 4 H).
LC-MS: M+H+: 370.4
Example 2: Preparation of l-[(4-acetyl-2-methoxy-5- nitrophenoxy)methyl]-N-benzyloxycarbonyl-l-aminocycIopropane
A solution of HNO3 (65%, 3 mL) in Ac2O (2 mL) at 0°C was slowly added with a suspension of the compound of Example 1 (1.1 g, 2.9 mmol) in
Ac2O (3 mL). After stirring at 00C for 2 h, the reaction mixture was poured into 50 mL of ice/water and the precipitate was recovered by filtration. The resulting yellow solid was recrystallized with 95% EtOH (5 mL) to give l-[(4- acetyl-2-methoxy-5-nitrophenoxy)methyl]-N-benzyloxycarbonyl-l- aminocyclopropane (0.69 g, yield: 56%) as a yellow solid.
1H-NMR (300 MHz, CDCl3): δ: 7.52 (s, 1 H), 7.26 (s, 5 H), 6.67 (s, 1 H), 5.36 (s, IH), 5.02 (s, 2 H), 4.05 (s, 2 H), 3.86 (s, 3 H), 2.42 (s, 3 H), 0.94 (m, 4 H).
LC-MS: M+H+: 414.41
Example 3: Preparation of l-[(4-(3-dimethylaminopropenoyl)-2- methoxy-5-nitrophenoxy)methyl]-N-benzyloxycarbonyl-l- aminocyclopropane
A mixture of the compound of Example 2 (1.7 g, 4.1 mmol) and N5N- dimethylformamide dimethylacetal (0.9 g, 8.2 mmol) in DMF (6 mL) was stirred at 1000C for 2 h. After cooling at room temperature, the reaction mixture was diluted with water (30 mL) and extracted with AcOEt (3 x 50 mL). The combined organic phases were washed with brine (2 x 50 mL), dried and evaporated to give l-[(4-(3-dimethylaminopropenoyl)-2-methoxy-5- nitrophenoxy)methyl]-N-benzyloxycarbonyl-l -aminocyclopropane (1.9 g, yield: 95%) as a yellow solid. 1H-NMR (300 MHz, CDCl3): δ: 7.50 (s, 1 H), 7.27 (s, 5 H), 6.75 (s, 1
H), 5.44 (s, 1 H), 5.23 (s, 1 H), 5.1 1 (br, 1 H), 5.01 (s, 2 H), 4.04 (s, 2 H), 3.83 (s, 3 H), 2.78-3.00 (m, 6 H), 0.94 (m, 4 H) LC-MS: M+H+: 470.49
Example 4: Preparation of l-[(4-hydroxy-6-methoxyquinolin-7- yloxy)methyl]-N-benzyloxycarbonyl-l-aminocyclopropane
A mixture of the compound of Example 3 (1.5 g, 3.2 mmol) and powder iron (1.8 g, 32 mmol) in AcOH (15 mL) was stirred a 800C for 2 h. The reaction mixture was cooled at room temperature, diluted with AcOEt (150 mL), filtered and washed with 50 ml of AcOEt. The filtration liquors were combined, washed with water (2 x 100 mL) and an NaHCO3 saturated solution (2 x 100 mL), dried and evaporated to give l-[(4-hydroxy-6-methoxyquinolin-7-yloxy)methyl]-N- benzyloxycarbonyl-1 -aminocyclopropane (1.2 g, yield: 95%) as a yellow solid.
1H-NMR (300 MHz, MeOD): δ: 7.75 (d, 1 H), 7.51 (s, 1 H), 7.15 (m, 5 H), 6.80 (br, 1 H), 6.20 (d, 1 H), 4.97 (s,2 H), 4.05 (s, 2 H), 3.84 (s, 3 H), 0.87 (m, 4 H).
LC-MS: M+H+: 395.2
Example 5: Preparation of l-[(4-chloro-6-methoxyquinolin-7- yloxy)methyl]-N-benzyIoxycarbonyl-l-aminocyclopropane
a) By chlorination of the compound of Example 4
A 50 ml round-bottom flask fitted with magnetic stirrer, thermometer, condenser and kept under nitrogen atmosphere, was loaded at 20°/25°C with 3.90 g (9.89 mmol) of the compound of Example 4 and 25 ml of POCl3. The resulting suspension became a solution after stirring for a few minutes. The solution was heated at 85°C inner T and after 30 minutes the reaction was monitored by TLC, showing the disappearance of the starting product. The solution was cooled and dropwise added, over about 30 minutes and keeping the temperature below 100C, to a mixture of 250 ml of DCM and 250 ml of water, cooled at 00C. After completion of the addition, stirring was maintained for 30 minutes at 0°-10°C. The phases were separated and the aqueous phase was washed with 150 ml of DCM; the phases were separated and the organic phases combined. The combined organic phase was added with 150 ml of water, stirred at 20°/25°C for 15 minutes and pH was adjusted to 7-8 with a sodium bicarbonate saturated solution. The phases were separated and the organic phase was washed with 150 ml of water; the phases were separated, the organic phase was dried with sodium sulfate, filtered and the solvent evaporated off by distillation under vacuum. Stripping with ethyl ether afforded 3.8 g of a brownish solid. The solid residue was dissolved in 20 ml of tert-butyl methyl ether, stirring at 20°/25°C for an hour; filtered and washed with ter /-butyl methyl ether, then dried to obtain l-[(4-chloro-6- methoxyquinolin-7-yloxy)methyl]-N-benzyloxycarbonyl- l- aminocyclopropane (3.4 g; yield: 87%) having (1H-NMR) titre of 95%.
1H-NMR (500 MHz, DMSO-d6) δ ppm: 8.61 (d, 1 H), 7.91 (s, 1 H), 7.56 (s, 1 H), 7.44 (s, 1 H), 7.38 (s, 1 H), 7.29 (m, 5 H), 4.99 (s, 2 H), 4.23 (s, 2 H), 3.97 (s, 3 H), 0.87 (m, 4 H). b) by Mitsunobu reaction between 4-chloro-7-hydroxy-6- methoxyquinoline and 1 -benzyloxycarbonylamino- 1 – hydroxymethylcyclopropane 20 ml of DCM were added with 4-chloro-7-hydroxy-6- methoxyquinoline (300 mg, 1.43 mmol; from China Gateway),
1 -benzyloxycarbonylamino- 1 -hydroxymethylcyclopropane (412 mg,
1.87 mmol, 1.3 eq; from China Gateway) and triphenylphosphine (490 mg,
1.87 mmol, 1.3 eq). The resulting solution was dropwise added with a solution of DEAD (378 mg, 1.87 mmol, 1.3 eq) in 3 ml of DCM, keeping the temperature at 00C for 2 hours. The mixture was then left at 100C for 20 hours, then filtered to recover the unreacted 4-chloro-7-hydroxy-6- methoxyquinoline. The filtrate was evaporated under vacuum and the resulting residue was added with 20 ml of 95% EtOH and left under stirring for 30 min. The solid was collected by filtration, washed with 5 ml of 95% EtOH and dried under vacuum to give l-[(4-chloro-6-methoxyquinolin-7-yloxy)methyl]-
N-benzyloxycarbonyl-1-aminocyclopropane (273 mg; yield: 46%).
LC-MS: M+H+: 413.1
Example 6: Preparation of benzyl l-[(6-methoxy-4-(5- (methylcarbamoyl)naphthalen-2-yloxy)quinolin-7-yloxy)methyl)]cyclopropyl carbamate (II)
A solution of 0.51 g (2.53 mmol) of 6-hydroxy-N-methyl- 1 – naphthamide prepared according to WO2008/112408, 2, 7 ml of 2,6-lutidine and 0.3 g (2.42 mmol) of DMAP, kept at 20°/25°C and under nitrogen atmosphere, was added with the compound of Example 5 (1.0 g, NMR titre 95%, 2.30 mmol). The suspension was heated to 1400C inner temperature for
6 hours; then cooled to 20°/25°C and added with 80 ml of water and kept under stirring a 20°/25°C for 1 hour; the suspension was filtered and washed with water, to afford 0.88 g (yield: 66%) of benzyl l-[(6-methoxy-4-(5-
(methylcarbamoyl)naphthalen-2-yloxy)quinolin-7-yloxy)methyl)]cyclopropyl carbamate (II).
1H-NMR (500 MHz, DMSO-d6) δ ppm: δ: 8.56 (d, 1 H), 8.50 (d, 1 H), 8.39 (d, 1 H), 8.04 (d, 1 H), 7.94 (s, 1 H), 7.87 (s, 1 H), 7.59 (m, 4 H), 7.41 (s, 1 H), 7.44 (s, 1 H), 7.30 (m, 5 H), 6.56 (d, 1 H), 5.01 (s, 2 H), 4.48 (s, 2 H), 4.23 (s, 2 H), 3.95 (s, 3 H), 0.87 (m, 4 H). LC-MS: M+H+: 578.3
Example 7: Preparation of 6-(7-((l-aminocyclopropyl)methoxy)-6- methoxyquinolin-4-yloxy)-N-methyl-l-naphthamide (I)
A mixture of the compound of Example 6 (0.24 g, 0.42 mmol) in 2 ml of a solution of 40% HBr in acetic acid was stirred at 300C for 3h, then added with 10 ml of water and the reaction mixture was extracted with AcOEt (2 x 10 mL). The organic phases were removed. The aqueous solution was dropwise added with a solution of 50% NaOH to reach pH 10. The mixture was extracted with DCM (3 x 20 mL) and the combined organic phases were dried and evaporated to give a crude containing 6-(7-((l-aminocyclopropyl)methoxy)-6-methoxyquinolin-4- yloxy)-N-methyl-l-naphthamide (I) with purity higher than >94% by LC-MS analysis. This crude was further purified by chromatography on a silica gel column eluting with DCM/MeOH 10: 1), to afford 6-(7-((l- aminocyclopropyl)methoxy)-6-methoxyquinolin-4-yloxy)-N-methyl-l- naphthamide (I) having purity higher than 98% by LC-MS analysis (140 mg, yield: 76%).
1H-NMR (500 MHz, DMSO-d6) δ ppm: 8.47 (d, 2 H), 7.87 (d, 1 H), 7.53 (m, 3 H), 7.51 (m, 1 H), 7.44 (d, 1 H), 7.38 (s, 1 H), 6.50 (d, 1 H), 6.16 (d, 1 H), 5.01 (s, 2 H), 4.05 (s, 2 H), 4.03 (s, 3 H), 3.12 (d, 3 H), 2.09 (m, 2 H), 0.80 (m, 4 H).
LC-MS: M+H+: 444.0
…………………………………………
http://www.google.com/patents/WO2014113616A1?cl=en
6-(7-((l -Aminocyclopropyl)-methoxy)-6-methoxyquinolin-4-yloxy)-N-methyl- 1 -naphthamide (AL3810), or a pharmaceutically acceptable salt (such as hydrochloride salt) thereof, has been developed as an anti-tumor agent also named as E3810 and lucitanib, see “Journal of Cellular and Molecular Medicine vol. 16 issue 10 October 2012. p. 2321-2330 “, “Cancer Res February 15, 2011 vol. 71 no A 1396-1405 “.
This compound has been structurally disclosed in WO20081 12408 as an agiogenesis inhibitor with few preparation methods. A new process has been disclosed in WO2010105761 with the removal of use of sodium azide. Both above disclosed processes have involved a deprotection of benzyl carbmate protected precursor by HBr/Acetic acid solution that is a strong, fuming and high corrosive acidic condition. No crystalline form has been disclosed.
A

B

Process C
Formula III Scheme IV

Example 1
Representation of Process A and Process B
Process for preparation of 6-(7-((l-aminocyclopropyl)methoxy)-6-methoxy-quinolin-4- yloxy)-N-methyl- 1 -naphthamide (AL3810)
To a stirred mixture of 4-methoxybenzyl l-((6-methoxy-4-(5-(methylcarbamoyl)- naphthalen-2-yloxy)-quinolin-7-yloxy)methyl)cyclopropylcarbamate Formula II (150 g) in DCM (1.5 L) was added TFA (150 ml) through an additional funnel for about 30 min at RT. The reaction was stirred at 30°C for 4 hours and added into water (3 L). The aqueous layer was extracted with DCM twice (1.5L X 2) and basified with 3N NaOH (620 ml) to adjust pH 1 1-12 with a fine white solid precipitation. The solid was filtered and washed with water, further suction dry. The solid was dissolved into a mixture of chloroform/methanol (5 L, 3.5L/1.5L) and further washed with brine (2 L). It was dried with MgS04 and filtered. The solution was evaporated with EtOAc (2 L) three times to a slurry solution and cooled to RT. It was filtered and the filter cake was washed with ether, further air dried to give the crude titled compound 105g, yield: 95.9%. MS: (M+l) 444.
Example 2
Representation of Process A and Process B
Process for preparation of 6-(7-((l-aminocyclopropyl)methoxy)-6-methoxy-quinolin-4- yloxy)-N-methyl- 1 -naphthamide (AL3810)
To a stirred mixture of 4-methoxybenzyl l-((6-methoxy-4-(5-(methylcarbamoyl)naph- thalen-2-yloxy)-quinolin-7-yloxy)methyl)cyclopropylcarbamate Formula II (1 g) in ACN (15 ml) was added TSA.H20 (3 eq). The reaction was stirred at RT for 24 hours and it was basified with 3N NaOH. The solution was extracted with DCM three times, washed with brine and dried with MgS04. The solution then was filtered and evaporated, further recrystalized from IPA to give pure titled compound 550 mg, yield: 75%. MS: (M+l) 444. Example 3
Representation of Process C
Process for preparation of 4-methoxybenzyl l-((6-methoxy-4-(5-(methylcarbamoyl)- naphthalen-2-yloxy)-quinolin-7-yloxy)methyl)cyclopropylcarbamate Formula II
To a stirred mixture of 6-hydroxy- 1 -naphthoic acid (19 g, formula 10) in DMF (150 ml) was added CDI (22 g). The reaction was heated at 80°C for 30 min and CH3NH2.HC1 (40 g) was added into the reaction. The reaction was heated for 3 hours at 80°C and cooled to RT and further diluted with water (300 ml). It was acidified with IN HC1 to pH 2-3 and extracted three times with EtOAc (150 ml). The combined organic layer was washed with saturated NaHC03 solution followed by water and brine. The solution was dried with Na2S04 and evaporated to give the 4- rmula 1 1 compound 12 g.
(i) To a mixture of formula 1 1 (6.5 g), formula 12 (6.5 g) and DMAP (5.5 g) was added 1,6- lutidine (20 ml). The reaction was stirred and heated at 135°C for 5 hours from heterogeneous to homogeneous. The reaction was cooled and IPA (35 ml) was added into the reaction under slow stirring for 2 hours at RT. The solid was filtered and further washed with IPA, dried to give the formula 13 compound 5.8 g as a gray solid, yield 57%, or
(ii) To a mixture of formula 1 1 (500 mg), formula 12 (500 mg), Cul (80 mg), Cs2C03 (1 g) and 1-picolinic acid (150 mg) was added DMF (0.5 ml). The reaction was stirred and heated at 120 °C for 24 hours. It was directed loaded on silica gel column to purify to give the formula 13 compound 370 mg, yield 48%, or (iii) To a mixture of formula 1 1 (500 mg), formula 12 (500 mg), Cul (80 mg), CS2CO3 (1 g) and 2,4-pentanedione (10 mg) was added DMF (0.5 ml). The reaction was stirred and heated at 120 °C for 24 hours. It was directed loaded on silica gel column to purify to give the formula 13
A mixture of formula 13 (5.8 g) and TFA (12 ml) was heated at 90°C for one hour. The reaction was evaporated under reduced pressure and triturated with EtOAc. The solid was filtered e formula 14 as a TFA salt 5.5 g, yield 95%.
To a mixture of acid-ester (8.2 g, formula 15) and 4-methoxybenzyl alcohol (9.5 g) in toluene (50 ml) was added DPPA (15 g), the reaction was stirred and TEA was added into the reaction through an additional funnel at RT. The reaction then was refluxed for 20 hours and cooled to RT. To the reaction was added 2N NaOH (30 ml) and followed by extraction with EtOAc three times. The combined organic layer was washed with water to neutral and dried with Na2SOzt. The solution was filtered and evaporated followed by addition of EtOAc/PE (petroleum ether) and stored in a refrigerator overnight. The crystals were filtered and washed with cold EtOAc/PE to give an off white powder. The product formula 15b was vacuum oven dried at 30°C to give 8.0 g as ethyl l-((4-methoxybenzyloxy)carbonylamino)cyclopropanecarboxylate (formula
294.
To a mixture of formula 15b (8.0 g) and THF (50 ml) was added NaBH4 (8 g). The reaction was refluxed for 12 hours. Methanol (15 ml) was slowly added to the reaction and refluxed for 4 hour. The solvent was evaporated and cooled. NH4C1 (6.3 g) and water (60 ml) were added and stirred. The mixture was extracted with DCM three times and dried with Na2S04. The solution was filtered and evaporated followed by addition of ethanol to recrystalize overnight. The crystal was filtered to give an off white powder and further dried in oven to give the product 4.0 g as 4-methoxybenzyl l-(hydroxymethyl)cyclopropylcarbamate (formula 15c),
To a stirred mixture of formula 15c (100 g) and DCM (400 ml) was added DIPEA (78g). The result solution was cooled to 0-5°C with ice/water and further stirred under this temperature for 15 min. MsCl (60g) was added via an addition funnel dropwise keeping temperature below 5°C for about 1.5 hours. After completion of addition, the reaction mixture was allowed stirring at 0-5°C for 30 min and quenched with saturated NaHC03 (300 ml). The solution was extracted with 200 ml DCM twice. The combined DCM layer was washed with 0.1 N HC1 (400 ml) followed by brine. It was dried over Na2S04 and concentrated to obtain an off- white solid 123 g
330.
To a stirred mixture of formula 15d (3.3 g) and KI (3.3 g) was added acetone (30 ml), the reaction was refluxed for 2 hours and cooled. The reaction was evaporated and extracted with EtOAc (30 ml) twice and washed with brine, further evaporated under reduced pressure to give the crude product 2.3 g of formula 15e, MS: (M+l) 362.
Formula II Method A:
To a stirred mixture of formula 14 (500 mg), formula 15d (450 mg), K2C03 (400 mg) and Nal (180 mg) was added acetone (10 ml), the reaction suspension was heated to reflux for 20 hours as one pot reaction. The reaction was evaporated and purified on silica gel column to give the product 510 mg of Formula II. MS: (M+1) 608. lH NMR (DMSO-d6): δ: 8.53-8.54 (m, 2H), 8.37-8.39 (d, 1H), 8.00-8.02 (d, 1H), 7.83-7.88 (m, 2H), 7.53-7.61 (m, 4H), 7.42 (s, 1H), 7.22- 7.24 (d, 2H), 6.83-6.85 (d, 2H), 6.61-6.62 (d, 1H), 4.91 (s, 2H), 4.23 (s, 2H), 3.95 (s, 3H), 3.70 (s, 3H), 2.86-2.87 (d, 3H), 0.83-0.93 (d, 4H).
Method B:
To a stirred mixture of formula 14 (500 mg), formula 15e (500 mg) and K2C03 (400 mg) was added acetone (10 ml), the reaction suspension was heated to reflux for 20 hours. The reaction was evaporated and purified on silica gel column to give the product 560 mg of Formula II. MS: (M+1) 608. ¾ NMR conforms to Formula II from above Method A.
Method C:
To a stirred mixture of formula 14 (33 g), formula 15d (43 g), K2C03 (41 g) and KI (16.6 g) was added acetone (400 ml). The reaction suspension was heated to reflux for about 30 hr. The reaction was concentrated and to the residue was added water (700 ml). The result suspension was stirred for 1 hour slowly to get a brown solid. The solid was filtered and rinsed with water twice further rinsed with ethanol. The crude product was dried in oven at 40°C for 2-3 hours. The product was purified with IPA by recrystalization to give 29 g of Formula II. MS: (M+1) 608. lH NMR conforms to Formula II from above Method A.
Example 4
Representation of Process D
Process for preparation of 4-methoxybenzyl l-((6-methoxy-4-(5-(methylcarba- moyl)naphthalen-2-yloxy)-quinolin-7-yloxy)methyl)cyclopropyl-carbamate Formula II
A mixture of 2-(l-((6-methoxy-4-(5-(methylcarbamoyl)naphthalen-2-yloxy)quino-lin-7- yloxy)methyl)cyclopropyl)acetyl azide formula 17 (WO2008112408, 150 mg) and 4-methoxybenzyl alcohol (0.15 ml) in toluene (10 ml) was refluxed for 1.5 hour. The reaction was evaporated and purified with silica gel column to give the titled product. Mass: (M + 1), 608
Example 5
Representation of Process E Process for preparation of 4-methoxybenzyl l-((6-methoxy-4-(5-(methylcarba- moyl)naphthalen-2-yloxy)-quinolin-7-yloxy)methyl)cyclopropylcarbamate Formula II
A mixture of 6-Hydroxy- 1 -naphthoic acid (1 g) and H2SO4 (0.2ml) in EtOH (25 ml) was refluxed overnight and evaporated, followed by dissolving into EtOAc. The solution was washed with water, IN NaHC03 solution and brine, further dried by Na2S04. The solution was evaporated to give crude ethyl 6-hydroxy- 1 -naphthoate 0.9 g which was reacted with formula 12 at similar preparation conditions to formula 13 of Example 3 to give the above product of formula 18. Formula 19 was similarly prepared to formula 14 of Example 3.
A reaction between formula 19 and formula 15d similarly to the preparation of Formula II of Method A gave ethyl 6-(6-methoxy-7-((l-((4-methoxybenzyloxy)carbonylamino)cyclopro- pyl)methoxy)quinolin-4-yloxy)- 1 -naphthoate which was hydro lyzed with 10% NaOH in EtOH at RT to give 6-(6-methoxy-7-((l-((4-methoxybenzyloxy)carbonylamino)cyclopropyl)methoxy)- quinolin-4-yloxy)-l -naphthoic acid. The resulting acid was acylated similarly to the preparation of formula 1 1 of Example 3 with CH3NH2.HC1 under the heat pre- activation at the presence of CDI to give the titled product.
Example 6
Representation of Process F
Process for preparation of 4-methoxybenzyl l-((6-methoxy-4-(5-(methylcarbamoyl)- naphthalen-2-yloxy)-quinolin-7-yloxy)methyl)cyclopropylcarbamate Formula II
To a mixture of 4-chloro-6-methoxyquilolin-7-ol (formula 21, 5.2g), l-((4-methoxyben- zyloxy)carbonylamino)cyclopropanecarboxylate (formula 15b, 8.3g) and triphenylphosphine (9.8 g) in THF (250 ml) was added DEAD (6.5 g) dropwise at RT in 1.5 hours, the reaction was further stirred for 20 hours at RT and evaporated. The residue was purified with silica gel column to give the 4-methoxybenzyl 1 -((4-chloro-6-methoxy-quinolin-7-yloxy)methyl)cyclopropylcarba- mate formula 21b product 6.5 g.
The titled compound of Formula II was then similarly prepared by using formula 21b to react with 4-hydroxy-N-methyl-naphamide formula 1 1 according to formula 13 of Example 3.
Example 7
Preparation of the crystalline form of 6-(7-((l-aminocyclopropyl)methoxy)-6-methoxy- quinolin-4-yloxy)-N-methyl- 1 -naphthamide (AL3810)
The crude product from Example 1 (105 g) was mixed with isopropanol (2.5 L) and active carbon (5 g), the mixture was heated to reflux for 0.5 hour to dissolve all crude product followed by filtration while it was hot, then the filtrate was refluxed again for 10 minutes and it was cooled to room temperature overnight under a slow stirring condition. The precipitate was filtered and washed with ethyl ether (500 ml x 2), further dried under high vacuum at 80°C to give the pure product (85 g) with melting point at 192°C- 196°C.
HI NMR shown in Fig 1.
DSC shown in Fig 2 having observable endotherm from about 193°C-202°C
TGA shown in Fig 3 demonstrating as an unsolvated material with weight loss at about 230°C
………………………………………….
synthesis…….will be updated
|
References |
1: Colzani M, Noberini R, Romanenghi M, Colella G, Pasi M, Fancelli D, Varasi M, Minucci S, Bonaldi T. Quantitative chemical proteomics identifies novel targets of the anti-cancer multi-kinase inhibitor E-3810. Mol Cell Proteomics. 2014 Jun;13(6):1495-509. doi: 10.1074/mcp.M113.034173. Epub 2014 Apr 2. PubMed PMID: 24696502; PubMed Central PMCID: PMC4047469.
2: Zangarini M, Ceriani L, Bello E, Damia G, Cereda R, Camboni MG, Zucchetti M. HPLC-MS/MS method for quantitative determination of the novel dual inhibitor of FGF and VEGF receptors E-3810 in tumor tissues from xenograft mice and human biopsies. J Mass Spectrom. 2014 Jan;49(1):19-26. doi: 10.1002/jms.3305. PubMed PMID: 24446259.
3: Bello E, Taraboletti G, Colella G, Zucchetti M, Forestieri D, Licandro SA, Berndt A, Richter P, D’Incalci M, Cavalletti E, Giavazzi R, Camboni G, Damia G. The tyrosine kinase inhibitor E-3810 combined with paclitaxel inhibits the growth of advanced-stage triple-negative breast cancer xenografts. Mol Cancer Ther. 2013 Feb;12(2):131-40. doi: 10.1158/1535-7163.MCT-12-0275-T. Epub 2012 Dec 27. PubMed PMID: 23270924.
4: Damia G, Colella G, Camboni G, D’Incalci M. Is PDGFR an important target for E-3810? J Cell Mol Med. 2012 Nov;16(11):2838-9. doi: 10.1111/j.1582-4934.2012.01601.x. PubMed PMID: 22805298.
5: Sala F, Bagnati R, Livi V, Cereda R, D’Incalci M, Zucchetti M. Development and validation of a high-performance liquid chromatography-tandem mass spectrometry method for the determination of the novel inhibitor of angiogenesis E-3810 in human plasma and its application in a clinical pharmacokinetic study. J Mass Spectrom. 2011 Oct;46(10):1039-45. doi: 10.1002/jms.1985. PubMed PMID: 22012670.
6: Bello E, Colella G, Scarlato V, Oliva P, Berndt A, Valbusa G, Serra SC, D’Incalci M, Cavalletti E, Giavazzi R, Damia G, Camboni G. E-3810 is a potent dual inhibitor of VEGFR and FGFR that exerts antitumor activity in multiple preclinical models. Cancer Res. 2011 Feb 15;71(4):1396-405. doi: 10.1158/0008-5472.CAN-10-2700. Epub 2011 Jan 6. PubMed PMID: 21212416.
7: Kawai T, Ikeda H, Harada Y, Saitou T. [Changes in the rat stomach after long-term administration of proton pump inhibitors (AG-1749 and E-3810)]. Nihon Rinsho. 1992 Jan;50(1):188-93. Japanese. PubMed PMID: 1311785.
| Cited Patent | Filing date | Publication date | Applicant | Title |
|---|---|---|---|---|
| WO2008112408A1 * | Feb 24, 2008 | Sep 18, 2008 | Advenchen Lab Llc | Spiro substituted compounds as angiogenesis inhibitors |
| WO2010105761A1 * | Mar 11, 2010 | Sep 23, 2010 | Eos Ethical Oncology Science S.P.A. In Abbreviated Form Eos S.P.A. | A process for the preparation of 6-(7-((1-aminocyclopropyl)methoxy)-6-methoxyquinolin-4-yloxy)-n-methyl-1-naphthamide and synthetic intermediates thereof |
| Reference | ||
|---|---|---|
| 1 | * | BELLO, E. ET AL.: ‘E-3810 Is a Potent Dual Inhibitor of VEGFR and FGFR that Exerts Antitumor Activity in Multiple Preclinical Models‘ CANCER RES. vol. 71, no. 4, 2011, pages 1396 – 1405 |
| 2 | * | SALA, F. ET AL.: ‘Development and validation of a high-performance liquid chromatography-tandem mass spectrometry method for the determination of the novel inhibitor of angiogenesis E-3810 in human plasma and its application in clinical pharmacokinetic study‘ J. MASS. SPECTROM. vol. 46, 2011, pages 1039 – 1045 |
| 3 | * | ZHOU, Y. ET AL.: ‘AL3810, a multi-tyrosine kinase inhibitor, exhibits potent anti-angiogenic and anti-tumour activity via targeting VEGFR, FGFR and PDGFR‘ J. CELL . MOL. MED. vol. 16, no. 10, 2012, pages 2321 – 2330 |
| Cited Patent | Filing date | Publication date | Applicant | Title |
|---|---|---|---|---|
| WO2008112408A1 | Feb 24, 2008 | Sep 18, 2008 | Advenchen Lab Llc | Spiro substituted compounds as angiogenesis inhibitors |
| US20080227812 | Feb 23, 2008 | Sep 18, 2008 | Advenchen Laboratories, Llc | Spiro Substituted Compounds As Angiogenesis Inhibitors |
| Reference | ||
|---|---|---|
| 1 | J. MED. CHEM. vol. 51, 2008, pages 5766 – 5779 | |
| 2 | ORG. REACT. vol. 42, 1992, pages 335 – 656 | |
| 3 | ORGANIC SYNTHESES vol. 63, 1985, page 314 | |
| 4 | SYNTHESIS 1981, pages 1 – 28 | |
| 5 | TETRAHEDRON LETT. vol. 38, 1997, page 191 | |
| 6 | TETRAHEDRON LETTERS vol. 46, 2005, pages 735 – 737 | |
| 7 | * | TOIS J ET AL: “Novel and convenient synthesis of 4(1H)quinolones” TETRAHEDRON LETTERS, ELSEVIER, AMSTERDAM, vol. 46, no. 5, 31 January 2005 (2005-01-31), pages 735-737, XP004705840 ISSN: 0040-4039 |
| 8 | * | WEILIN SUN ET AL: “Biososteric Replacement in the Design and Synthesis of Ligands for Nicotinic Acetylcholine Receptors” MEDICINAL CHEMISTRY RESEARCH, BIRKHÄUSER-VERLAG, BO, vol. 14, no. 5, 1 July 2005 (2005-07-01), pages 241-259, XP019428169 ISSN: 1554-8120 |
| Citing Patent | Filing date | Publication date | Applicant | Title |
|---|---|---|---|---|
| WO2014113616A1 * | Jan 17, 2014 | Jul 24, 2014 | Advenchen Pharmaceuticals, LLC | Process for preparing the anti-tumor agent 6-(7-((1-aminocyclopropyl) methoxy)-6-methoxyquinolin-4-yloxy)-n-methyl-1-naphthamide and its crystalline |
Patent Reference:
EOS ETHICAL ONCOLOGY SCIENCE S.p.A. in abbreviated form EOS S.p.A.; SPINELLI, Silvano; LIVI, Valeria Patent: WO2010/105761 A1, 2010 ; Location in patent: Page/Page column 21 ;
![]() CAS NO. 1058137-23-7, 6-[7-[(1-aminocyclopropyl)methoxy]-6-methoxyquinolin-4-yl]oxy-N-methylnaphthalene-1-carboxamide H-NMR spectral analysis |
![]() CAS NO. 1058137-23-7, 6-[7-[(1-aminocyclopropyl)methoxy]-6-methoxyquinolin-4-yl]oxy-N-methylnaphthalene-1-carboxamide C-NMR spectral analysis |


Advenchen Laboratories is a small pharmaceutical company focusing on pharmaceutical research and development involving small molecule cancer drug discovery …



Amgen/Onyx file multiple myeloma drug in US, EU…..a supplemental New Drug Application has now been filed to support the conversion of this to full approval and expand target population.
![]()
Carfilzomib
synthesis………https://newdrugapprovals.org/2014/08/05/amgens-multiple-myeloma-drug-shows-promise-in-phase-3-trial/
supplemental New Drug Application filed
Amgen and its subsidiary Onyx Pharmaceuticals have submitted filings for their multiple myeloma drug Kyprolis (carfilzomib) on both sides of the Atlantic.
The companies are seeking approval to market their drug for the treatment of patents with relapsed multiple myeloma who have received at least one prior therapy.
read all at…………http://www.pharmatimes.com/Article/15-01-28/Amgen_Onyx_file_multiple_myeloma_drug_in_US_EU.aspx
synthesis………https://newdrugapprovals.org/2014/08/05/amgens-multiple-myeloma-drug-shows-promise-in-phase-3-trial/
| Systematic (IUPAC) name | |
|---|---|
| (S)-4-Methyl-N-((S)-1-(((S)-4-methyl-1-((R)-2-methyloxiran-2-yl)-1-oxopentan-2-yl)amino)-1-oxo-3-phenylpropan-2-yl)-2-((S)-2-(2-morpholinoacetamido)-4-phenylbutanamido)pentanamide | |
| Clinical data | |
| Trade names | Kyprolis |
| Licence data | US FDA:link |
|
|
| Legal status | |
| Routes | Intravenous |
| Identifiers | |
| CAS number | 868540-17-4 |
| ATC code | L01XX45 |
| PubChem | CID 11556711 |
| ChemSpider | 9731489 |
| KEGG | D08880 |
| ChEMBL | CHEMBL451887 |
| Synonyms | PX-171-007 |
| Chemical data | |
| Formula | C40H57N5O7 |
| Molecular mass | 719.91 g mol |
BioCryst’s BCX4161 receives FDA fast-track designation to treat HAE

BioCryst’s BCX4161 receives FDA fast-track designation to treat HAE
BioCryst Pharmaceuticals has received fast-track designation from the US Food and Drug Administration (FDA) for its BCX4161, an orally administered and selective inhibitor of plasma kallikrein in advanced clinical development to treat hereditary angioedema (HAE).
READ HERE……[LINK]
“BCX4161 and our second-generation molecules have the potential to significantly improve HAE patient treatment and their quality of life.”
………………………………………….
PREVIOUS ARTICLE CUT PASTE

(RTTNews.com) – BioCryst Pharmaceuticals Inc. ( BCRX ) will be reporting results from OPuS-1, a phase IIa trial of orally-administered BCX4161 in patients with hereditary angioedema, on Tuesday, May 27, 2014 at 8:30 a.m. Eastern Time.
The OPuS-1 clinical trial is testing 400 mg of BCX4161 administered three times daily for 28 days in up to 25 hereditary angioedema patients who have a high frequency of attacks (≥ 1 per week), in a randomized, placebo-controlled, two-period cross-over design.
Read more: http://www.nasdaq.com/article/bcrx-to-watch-out-for-gtiv-adopts-poison-pill-teva-qgen-drtx-get-fda-nod-20140527-00005#ixzz335Khl0sk
BCX-4161 is a novel, selective inhibitor of plasma kallikrein in development for prevention of attacks in patients with hereditary angioedema (HAE). By inhibiting plasma kallikrein, BCX-4161 suppresses bradykinin production. Bradykinin is the mediator of acute swelling attacks in HAE patients.
……………………………….
old article
BCRX – BioCryst – Entering The HAE Market
BioCryst announced on Monday July 22 the successful completion of a Phase I study on the safety and PK of BCX4161, a candidate for the treatment of Hereditary angioedema (HAE). HAE is a genetic disorder resulting from the loss or dysfunction of complement C1 Inhibitor (C1INH).
Among the functions performed by C1INH is regulation of the hormone bradykinin, which when activated, leads to the dilation of blood vessels. Left unchecked, excess bradykinin can cause painful attacks of swelling, or angioedemas, in any part of the body, including the face, abdomen, hands, and larynx. Death can occur from asphyxiation, particularly in children.
The mechanics involved in HAE are fairly well understood today. There are several approved drugs available today that work at three major points in the pathway. Ultimately, each prevents bradykinin from activating its receptor on endothelial cells.
C1 Inhibitors, of which four have been approved, prevent Factor XIIa activation of Plasma Kallikrein and inhibit Kallikrein itself. The single specific Kallikrein inhibitor is Kalbitor from Dyax. C1INHs and kallikrein inhibitors prevent the formation of bradykinin (labeled “BK” in this diagram). Then there is Firazyr from Shire, a B2 bradykinin receptor antagonist; while not preventing overproduction of the hormone, activation of downstream activity is suppressed.
Interestingly, of all the available therapies, only C1INH Cinryze from Viropharma is approved for prophylactic use- all others are designated strictly for treatment of acute attacks. A key reason for this is Cinryze’s long half-life, allowing sustained activity over longer intervals. As each of these drugs are given by injection, frequent treatment is not practical. Consider, for instance, Kalbitor has a half life of just two hours.
This is where BioCryst comes in. The company is pursuing the less crowded prophylaxis indication. It has the only orally available (although just barely) plasma kallikrein inhibitor. And while PK is not great, requiring three-times daily dosing to ensure adequate drug levels, pills make this a feasible option. As you can see, 800 mg appears optimal, however, 400 mg was selected as the Phase IIa dose due to 3 cases of moderate AEs seen at 800. This study was in healthy volunteers and the drug was otherwise well tolerated [ref].
(From Company Presentation)
BCX4161 is an interesting compound. Based on patent literature, we believe the molecule has a similar structure to the one illustrated below:
BCX4161 is not a specific inhibitor of kallikrein, and in fact has near equal potency against Factor XIIa. This dual-activity is also seen with C1INH, setting the compound apart from Kalbitor and Firazyr.
The different profile may improve efficacy, but that is unknown at this point. Along with Factor XIIa, BCX4161 inhibits additional factors involved in coagulation. Bleeding issues has been something the company has been testing and will be certain to monitor. As a drug designed for chronic use, safety will be a major concern.
A 25 patient Phase IIa study set for Q4 will be placebo-controlled double-blind crossover of the following design:
(From Company Presentation)
Individuals with a high frequency of attacks(~1/week) will be enrolled, the primary endpoint is attack frequency. Viropharma conducted a pivotal trial of similar design (but two twelve week dosing periods), reporting ~50% reduction in attacks vs. placebo. We imagine BioCryst would need to achieve results in this range for the drug to be competitive.
A major impedance toward these efficacy goals will likely be individual adherence to dosing every eight hours schedule. Missed doses will mean severe drops in drug levels, potentially putting the patient at risk for an attack. The company noted patients on Cinryze occasionally miss doses with no apparent adverse effect. We will see if this holds true for their own compound.
The Phase IIa is being run in Germany, ostensibly because of the country’s well organized HAE medical treatment system. The study is expected to initiate in 4Q 2013. BioCryst aims to market the drug in the U.S. on their own, likely partnering in the EU.
Handicapping this Phase II is rather difficult with the lack of any prior efficacy results. BioCryst has selected a well-validated target in a fairly well understood disease. The data suggests BCX4161 is an active drug. What we will soon find out is whether the compound is active enough and has a sufficiently clean profile. As attractive as oral dosing is- it has an achilles heel. Regardless of the medication, patients continue to have attacks, only of less frequency and severity. If a patient should suffer major laryngeal swelling, pills may not be an option as a rescue medicine. Cinryze on the hand can serve as both prophylaxis and acute treatment.
Commercially, we believe the compound will have a difficult time competing with Cinryze. True, Cinryze has its own issues, namely a requirement for infusions every 3 to 4 days, but it is difficult to see how a 3-times/day treatment is much of an improvement. In any case, by the time BCX4161 reaches the market, Viropharma should have a much simpler subcutaneous version of its C1INH available, allowing it to maintain a strong monopoly in prophylaxis HAE treatments. Additional competition may come in the form of a follow-up kallikrein inhibitor in development at Dyax; the long acting antibody is designed specifically for the prophylaxis market and is expected to enter the clinic 2H 2013.
EMA approves AstraZeneca’s lesinurad to treat gout patients

EMA approves AstraZeneca’s lesinurad to treat gout patients
British-Swedish drugmaker AstraZeneca has received approval from European Medicines Agency (EMA) for its lesinurad 200mg tablets to treat gout patients. READ AT…..[LINK]

“The company submitted a MAA based on data from the Clear1, Clear2 and Crystal pivotal Phase III combination therapy studies.”
AstraZeneca’s subsidiary Ardea Biosciences carried out Clear1, Clear2 and Crystal trials.

LESINURAD
Sarpogrelate, 사르포그렐레이트염산염

Sarpogrelate
135159-51-2,HYROCHLORIDE
125926-17-2 (free base)
5-HT 2a receptor antagonist
Useful for treating arterial occlusive disease and ischemic heart disease.
Sarpogrelate (Anplag, MCI-9042, LS-187,118) is a drug which acts as an antagonist at the 5HT2A[1][2] and 5-HT2B[3] receptors. It blocks serotonin-induced platelet aggregation, and has applications in the treatment of many diseases including diabetes mellitus,[4][5] Buerger’s disease,[6] Raynaud’s disease,[7] coronary artery disease,[8] angina pectoris,[9] and atherosclerosis.[10]
| 사르포그렐레이트염산염 |
| Sarpogrelate Hydrochloride |
![]() |
| C24H31NO6& : 465.97 |
| 1-[2-(Dimethylamino)-1-[[2-[2-(3-methoxyphenyl)ethyl]phenoxy]methyl]ethyl hydrogen butanedioate hydrochloride [135159-51-2] |
第十六改正日本薬局方(JP16)名称データベース 検索結果
詳細については第十六改正日本薬局方でご確認ください。
検索キーワード:Sarpogrelate Hydrochloride
検索件数:1
| 第十六改正日本薬局方 化学薬品等サルポグレラート塩酸塩 Sarpogrelate Hydrochloride 塩酸サルポグレラート ![]() C24H31NO6.HCl : 465.97 [135159-51-2] 本品は定量するとき,換算した脱水物に対し,サルポグレ ラート塩酸塩(C24H31NO6・HCl)98.5~101.0%を含む |
Sarpogrelate hydrochloride tablets in 1993 Japan’s first listed under the tradename Anplag, is a 5-HT2 receptor blocker, can inhibit platelet aggregation, inhibition of vascular contraction, has antithrombotic effect and microcirculation. Ulcer indications for the improvement of their chronic arterial occlusive disease caused by pain, and cold ischemic various flu symptoms. -1_ {[2- (3-methoxyphenyl) phenoxy] methyl} succinic acid ethyl ester hydrochloride, the structural formula of sarpogrelate hydrochloride chemical name 2- (dimethylamino)
As follows:
Journal of Medicinal Chemistry (J.Med.Chem, 1990,33: 1818-1823) published synthetic routes as follows:
Sarpogrelate hydrochloride drug substance used in the preparation Sarpogrelate hydrochloride tablets needed to achieve acceptable purity, single hetero content must meet the corresponding requirements. US4485258 discloses a synthesis method of the first sarpogrelate hydrochloride, and recrystallized from acetone to obtain, but the experiments show that sarpogrelate hydrochloride poor solubility in acetone, acetone, hydrochloric acid is not suitable as a recrystallization solvent sarpogrelate. CN101239920A disclosed as acetonitrile, propionitrile, 1,4_ dioxane, tetrahydrofuran, dimethyl formamide, dimethyl acetamide, sulfolane, dimethyl sulfoxide or a mixture of more than two kinds thereof with methanol, ethanol, , acetone, ethyl acetate, diethyl ether, diisopropyl ether or the like can be used as the recrystallization solvent sarpogrelate hydrochloride, the purity of the product can reach 98%. And C2-C10 alkanes, C3-C10 ketones, C2-C10 carboxylic acid esters, Cl-ClO halogenated alkanes, aromatic hydrocarbons or aromatic derivative at room temperature to the reflux temperature of the hydrochloric acid solubility is small should not alone sarpogrelate as a recrystallization solvent, sarpogrelate hydrochloride, and water as a recrystallization solvent or an organic solvent, an aqueous 5% or more can not be obtained a high purity product. Existing literature does not mention the issue of a single impurity content control.

The reaction of 2-hydroxy-3′-methoxybibenzyl (I) with epichlorohydrin (II) by means of NaH in DMF gives 2-(2,3-epoxypropoxy)-3′-methoxybibenzyl (III), which by reaction with dimethylamine in refluxing THF yields 2-[3-(dimethylamino)-2-hydroxypropoxy]-3′-methoxybibenzyl (IV). Finally, this compound is treated with succinic anhydride (V) in refluxing THF and with HCl in acetone.
……………………………..
http://www.google.com/patents/CN103242179A?cl=en

Specific embodiments
Example 1 Preparation of crude sarpogrelate hydrochloride [0019] Example
[0020] 1_ dimethylamino _3- [2- [2- (3_-methoxyphenyl) ethyl] phenoxy] -2-propanol hydrochloride A 250ml 13.7g plus a single-neck flask, then add water 25ml, and stirred to dissolve. With 20% aqueous sodium hydroxide to adjust PH value to 9_14, and extracted with 30ml of toluene, and the organic layer was concentrated to 50 ° C under reduced pressure until no liquid slipped 0 to give a brown oil. Of tetrahydrofuran was added 30g, and stirred to dissolve, butyryl anhydride 4.5g, was heated to reflux with stirring. After the reaction was refluxed for I~4 hours, the reaction was incubated at 40 ° C and concentrated to dryness under reduced pressure; the residue was added ethyl acetate 25g, After stirring to dissolve, the dropwise addition of saturated hydrogen chloride in ethyl acetate solution to adjust PH value to I below, was stirred 50~60min. Centrifugal filtration, was Sarpogrelate hydrochloride crude wet product. 45~55 ° C under reduced pressure (-0.08~-0.1MPa) the residue was dried to less than 0.5% of ethyl acetate to give the crude sarpogrelate hydrochloride 14.7g, yield 86%, HPLC purity 98.6%, largest single heteroatom content of 1.2 %.
Purification of the crude hydrochloride Sarpogrelate Example 2 [0021] Example
[0022] The crude product was sarpogrelate hydrochloride 5g, join butanone 20ml, heated with stirring until dissolved and refluxed 20~30min, cooling to 25~35 ° C, incubated with stirring 40~60min, filtered, and the filter cake was rinsed with a small amount of methyl ethyl ketone to give a white loose solid, 55~65 ° C and dried under reduced pressure to 24h, to give sarpogrelate hydrochloride 4.6g, yield 92%, HPLC purity of 99.9% and a maximum content of 0.04%, a single hybrid.
Example 3 Purification of the crude hydrochloride Sarpogrelate [0023] Example
[0024] The crude product was sarpogrelate hydrochloride 5g, join butanone 30ml, heated with stirring until dissolved and refluxed 20~30min, cooling to 25~35 ° C, incubated with stirring 40~60min, filtered, and the filter cake was rinsed with a small amount of methyl ethyl ketone to give a white loose solid, 55~65 ° C and dried under reduced pressure to 24h, to give 4.55 sarpogrelate hydrochloride, yield 91%, HPLC purity 99.7%, largest single matter content of 0.05%.
Example 4 Purification of the crude hydrochloride Sarpogrelate [0025] Example
[0026] The crude product was sarpogrelate hydrochloride 5g, join butanone 40ml, heated with stirring until dissolved and refluxed 20~30min, cooling to 25~35 ° C, incubated with stirring 40~60min, filtered, and the filter cake was rinsed with a small amount of methyl ethyl ketone to give a white loose solid, 55~65 ° C and dried under reduced pressure to 24h, to give sarpogrelate hydrochloride 4.5g, yield 90%, HPLC purity 99.8%, largest single matter content 0.05%.
Example 5 Purification of the crude hydrochloride Sarpogrelate [0027] Example
[0028] The crude product was sarpogrelate hydrochloride 5g, join butanone 20ml, heated with stirring until dissolved and refluxed 20~30min, cooled slowly with stirring to room temperature, at -10 ° c~o ° c stand for crystallization, filtration, The filter cake was rinsed with a small amount of methyl ethyl ketone to give a white fluffy solid, 55~65 ° C and dried under reduced pressure to 24h, to give the hydrochloride sarpogrelate 4.62g, yield 92.4%, HPLC purity 99.2%, largest single matter content of 0.09%.
………………………………..
Method for preparing crystalline form II of sarpogrelate hydrochloride is claimed. Represents first filing from Dae He Chemical on sarpogrelate, which was developed and launched by Mitsubishi Tanabe Pharma.
References
- Pertz H, Elz S. In-vitro pharmacology of sarpogrelate and the enantiomers of its major metabolite: 5-HT2A receptor specificity, stereoselectivity and modulation of ritanserin-induced depression of 5-HT contractions in rat tail artery. Journal of Pharmacy and Pharmacology. 1995 Apr;47(4):310-6. PMID 7791029
- Nishio H, Inoue A, Nakata Y. Binding affinity of sarpogrelate, a new antiplatelet agent, and its metabolite for serotonin receptor subtypes. Archives Internationales de Pharmacodynamie et de Therapie. 1996 Mar-Apr;331(2):189-202. PMID 8937629
- Muntasir HA, Hossain M, Bhuiyan MA, Komiyama T, Nakamura T, Ozaki M, Nagatomo T. Identification of a key amino acid of the human 5-HT(2B) serotonin receptor important for sarpogrelate binding. Journal of Pharmacological Sciences. 2007 Jul;104(3):274-7. PMID 17609583
- Pietraszek MH, Takada Y, Taminato A, Yoshimi T, Watanabe I, Takada A. The effect of MCI-9042 on serotonin-induced platelet aggregation in type 2 diabetes mellitus. Thrombosis Research. 1993 Apr 15;70(2):131-8. PMID 8322284
- Ogawa S, Takeuchi K, Sugimura K, Sato C, Fukuda M, Lee R, Ito S, Sato T. The 5-HT2 receptor antagonist sarpogrelate reduces urinary and plasma levels of thromboxane A2 and urinary albumin excretion in non-insulin-dependent diabetes mellitus patients. Clinical and Experimental Pharmacology and Physiology. 1999 May-Jun;26(5-6):461-4. PMID 10386239
- Rydzewski A, Urano T, Hachiya T, Kaneko H, Baba S, Takada Y, Takada A. The effect of a 5HT2 receptor antagonist sarpogrelate (MCI-9042) treatment on platelet function in Buerger’s disease. Thrombosis Research. 1996 Dec 15;84(6):445-52. PMID 8987165
- Igarashi M, Okuda T, Oh-i T, Koga M. Changes in plasma serotonin concentration and acceleration plethysmograms in patients with Raynaud’s phenomenon after long-term treatment with a 5-HT2 receptor antagonist. Journal of Dermatology. 2000 Oct;27(10):643-50. PMID 11092268
- Satomura K, Takase B, Hamabe A, Ashida K, Hosaka H, Ohsuzu F, Kurita A. Sarpogrelate, a specific 5HT2-receptor antagonist, improves the coronary microcirculation in coronary artery disease. Clinical Cardiology. 2002 Jan;25(1):28-32. PMID 11808836
- Kinugawa T, Fujita M, Lee JD, Nakajima H, Hanada H, Miyamoto S. Effectiveness of a novel serotonin blocker, sarpogrelate, for patients with angina pectoris. American Heart Journal. 2002 Aug;144(2):E1. PMID 12177659
- Hayashi T, Sumi D, Matsui-Hirai H, Fukatsu A, Arockia Rani P J, Kano H, Tsunekawa T, Iguchi A. Sarpogrelate HCl, a selective 5-HT2A antagonist, retards the progression of atherosclerosis through a novel mechanism. Atherosclerosis. 2003 May;168(1):23-31. PMID 12732383
|
|
||
| Systematic (IUPAC) name | |
|---|---|
| 4-[2-(dimethylamino)-1-({2-[2-(3-methoxyphenyl)ethyl]phenoxy}methyl)ethoxy]-4-oxobutanoic acid | |
| Clinical data | |
| AHFS/Drugs.com | International Drug Names |
| Legal status |
?
|
| Identifiers | |
| CAS number | 125926-17-2 |
| ATC code | None |
| PubChem | CID 5160 |
| IUPHAR ligand | 210 |
| ChemSpider | 4976 |
| UNII | 19P708E787 |
| ChEMBL | CHEMBL52939 |
| Synonyms | Sarpogrelate, (-)-4-[1-dimethylamino-3-[2-[2-(3-methoxyphenyl)ethyl]phenoxy]propan-2-yl]oxy-4-oxobutanoic acid |
| Chemical data | |
| Formula | C24H31NO6 |
| Molecular mass | 429.506 g/mol |
Lesogaberan
Lesogaberan
Lesogaberan (AZD-3355) was[1] an experimental drug candidate developed by AstraZeneca for the treatment of gastroesophageal reflux disease (GERD).[2] As a GABAB receptor agonist,[3] it has the same mechanism of action as baclofen, but is anticipated to have fewer of the central nervous system side effects that limit the clinical use of baclofen for the treatment of GERD.[4]
http://pubs.acs.org/doi/abs/10.1021/jm701425k
We have previously demonstrated that the prototypical GABAB receptor agonist baclofen inhibits transient lower esophageal sphincter relaxations (TLESRs), the most important mechanism for gastroesophageal reflux. Thus, GABAB agonists could be exploited for the treatment of gastroesophageal reflux disease. However, baclofen, which is used as an antispastic agent, and other previously known GABAB agonists can produce CNS side effects such as sedation, dizziness, nausea, and vomiting at higher doses. We now report the discovery of atypical GABAB agonists devoid of classical GABAB agonist related CNS side effects at therapeutic doses and the optimization of this type of compound for inhibition of TLESRs, which has resulted in a candidate drug (R)-7 (AZD3355) that is presently being evaluated in man.
(2R)-(3-Amino-2-fluoropropyl)phosphinic Acid ((R)-7)
References
- AstraZeneca. “AZD3355”. Retrieved 30 December 2011.
- Bredenoord, Albert J. (2009). “Lesogaberan, a GABAB agonist for the potential treatment of gastroesophageal reflux disease”. IDrugs 12 (9): 576–584. PMID 19697277.
- Alstermark, et al.; Amin, K; Dinn, SR; Elebring, T; Fjellström, O; Fitzpatrick, K; Geiss, WB; Gottfries, J et al. (2008). “Synthesis and Pharmacological Evaluation of Novel γ-Aminobutyric Acid Type B (GABAB) Receptor Agonists as Gastroesophageal Reflux Inhibitors”. Journal of Medicinal Chemistry 51 (14): 4315–4320. doi:10.1021/jm701425k. PMID 18578471.
- Brian E. Lacy, Robert Chehade, and Michael D. Crowell (2010). “Lesogaberan”. Drugs of the Future 35 (12): 987–992. doi:10.1358/dof.2010.035.012.1540661.
| Lesogaberan | |
|---|---|
| Identifiers | |
| CAS number | 344413-67-8 |
| PubChem | 9833984 |
| ChemSpider | 23254384 |
| UNII | 4D6Q6HGC7Z |
| ChEMBL | CHEMBL448343 |
| Jmol-3D images | Image 1 |
| Properties | |
| Molecular formula | C3H9FNO2P |
| Molar mass | 141.08 g mol−1 |
A Novel and Practical Synthesis of Ramelteon

An efficient and practical process for the synthesis of ramelteon 1, a sedative-hypnotic, is described. Highlights in this synthesis are the usage of acetonitrile as nucleophilic reagent to add to 4,5-dibromo-1,2,6,7-tetrahydro-8H-indeno[5,4-b]furan-8-one 2 and the subsequent hydrogenation which successfully implement four processes (debromination, dehydration, olefin reduction, and cyano reduction) into one step to produce the ethylamine compound 13where dibenzoyl-l-tartaric acid is selected both as an acid to form the salt in the end of hydrogenation and as the resolution agent. Then, target compound 1 is easily obtained from13 via propionylation. The overall yield in this novel and concise process is almost twice as much as those in the known routes, calculated on compound 2.
A Novel and Practical Synthesis of Ramelteon
http://pubs.acs.org/doi/abs/10.1021/op500386g





DRUG APPROVALS BY DR ANTHONY MELVIN CRASTO
.....






































![6-[7-[(1-aminocyclopropyl)methoxy]-6-methoxyquinolin-4-yl]oxy-N-methylnaphthalene-1-carboxamide NMR spectra analysis, Chemical CAS NO. 1058137-23-7 NMR spectral analysis, 6-[7-[(1-aminocyclopropyl)methoxy]-6-methoxyquinolin-4-yl]oxy-N-methylnaphthalene-1-carboxamide H-NMR spectrum](https://i0.wp.com/pic11.molbase.net/nmr/nmr_image/2014-09-06/001/567/717/1058137-23-7-1h.png)
![6-[7-[(1-aminocyclopropyl)methoxy]-6-methoxyquinolin-4-yl]oxy-N-methylnaphthalene-1-carboxamide NMR spectra analysis, Chemical CAS NO. 1058137-23-7 NMR spectral analysis, 6-[7-[(1-aminocyclopropyl)methoxy]-6-methoxyquinolin-4-yl]oxy-N-methylnaphthalene-1-carboxamide C-NMR spectrum](https://i0.wp.com/pic11.molbase.net/nmr/nmr_image/2014-09-06/001/567/717/1058137-23-7-13c.png)









